Abstract
Esterification of levulinic acid with ethanol was investigated using deep eutectic systems based on choline chloride and oxalic or p-toluenesulfonic acid as catalysts under conventional heating and alternative energy inputs, namely microwave, ultrasound, and mechanochemical treatment. The experiments were performed under varying operating conditions such as catalyst type and loading, alcohol to carboxylic acid molar ratio, temperature, or time. The obtained results demonstrate the overall better catalytic performance of the p-toluenesulfonic acid-based deep eutectic mixture in comparison with the oxalic acid-based analogue. The best results: levulinic acid conversion of 76% and 58%, for p-toluenesulfonic and oxalic acid containing deep eutectic systems, respectively, with 100% selectivity for both cases, were achieved for microwave-assisted synthesis with 5 wt.% of catalyst and excess alcohol to acid (molar ratio 5), at 413.15 K and for 10 min. The main advantage of all of the alternative activation methods studied (microwaves, ultrasounds, and ball mill processing) was the significant reduction in the reaction time.
1. Introduction
Esters are one of the most fundamental compounds in organic chemistry that find applications in a number of products of industrial interest [1,2]. They are omnipresent in cosmetics, food products, pharmaceuticals, paints and coatings, or as various solvents and intermediates in polymer production. Low-molecular esters derived from short-chain acids are oftentimes recognised for their fruity aroma, thus are useful as flavouring agents or fragrances. On the other hand, the boost in global production of biodiesel has driven the growth in the long-chain esters market. Biofuels continue to be essential to meet fast-growing demand for transportation and alleviate the negative impact of vehicle emissions. Esters of levulinic acid, the top platform molecule obtained from biomass [3], have been recently proposed as both gasoline and diesel additives capable of enhancing fuel quality, such as reduction in toxicity and sulphur content, improvement in lubricity, stability in flash point, and viscosity [4,5]. Potentially produced from bioethanol, ethyl levulinate constitutes a particularly attractive alternative to petroleum-derived fuels [6,7].
Commercially, esters are produced mainly through two paths: the direct esterification of carboxylic acid with alcohol (Fischer transformation) and, to a lesser extent, transesterification of ester with alcohol [1,2] (Figure 1). The Fischer process is a classical reversible reaction where one of the products (typically water) needs to be continuously removed from the reaction mixture, or a significant excess of one of the substrates (usually alcohol) needs to be used in order to displace the equilibrium and enhance the acid conversion. Additionally, the slow rate of reaction calls for activation either by a catalyst or high temperature.
Figure 1.
The main routes of ester synthesis.
In a conventional process at industrial scale, the most frequently used catalysts are simple mineral acids, i.e., sulphuric acid. Despite good activity, these homogeneous catalysts are hazardous and corrosive in nature and cause problems with side reactions and product separation, not to mention difficulties in their recycling [7]. New, more environmentally acceptable options are desired, and deep eutectic systems (DES) have recently gained increasing attention in the role of a catalytic medium [8,9,10,11].
DES are mixtures of two or more compounds (hydrogen bond acceptors—HBA and hydrogen bond donors—HBD) that result in a significantly lower melting point of the blend compared to its individual components. Owing to the simple and straightforward preparation at low cost, many DES find applications in various sectors as, in general, biocompatible and biodegradable, non-toxic and non-volatile alternatives to conventional organic solvents or even ionic liquids [12,13]. Until now, several DES have been examined for the preparation of long-chain esters [14,15,16,17,18,19,20], and only limited studies have been devoted to the esterification of short-chain acids [21,22,23]. Due to a polarity difference between the ester and the DES, it has been shown that upon esterification reaction, a spontaneous separation of a liquid phase may occur [24,25,26]. The phenomenon will be more pronounced for long wax esters rather than small esters, particularly if additional functional groups are present in the structure influencing the solubility patterns. The process parameters as well as the ratio between particular components of the reactional mixture will also affect the separation. Cao et al. [21] explored the esterification of acetic acid (in excess) with butanol using DES composed of choline chloride and chromium(III) chloride hexahydrate (ChCl:2CrCl3·6H2O), at room temperature and for 24 h. The occurrence of the phase split led to high yields (93%) and good selectivity of organic ester. Taysun et al. [22] investigated the same reaction, but with stoichiometric amounts of substrates, employing eutectic systems containing benzyl tri-methyl ammonium chloride as HBA and p-toluenesulfonic, oxalic, or citric acids as HBD, at temperatures between 353 and 363 K for 180 min. The authors did not mention any phase separation, and only moderate (65%) conversion of acetic acid was reported at these particular conditions. There exists only one report addressing the esterification of levulinic acid with ethanol in the presence of DES [23]. M. Sert screened six potential DES composed of choline chloride as HBA and p-toluenesulfonic, acetic, malonic, oxalic, citric, and formic acids as HBD. It has been shown that p-toluenesulfonic-based DES gave the best results, followed by the DES containing oxalic acid, similarly as in the work of Taysun et al. [22], but no information was given on any phase separation. The overall acidity of the DES catalyst follows the order of the pKa values for the HBD used: p-toluenesulfonic acid: pKa = 1.99; oxalic acid: pKa1 = 1.23 and pKa2 = 4.19; malonic acid: pKa1 = 2.83 and pKa2 = 5.69; citric acid: pKa1 = 3.09, pKa2 = 4.75, and pKa3 = 5.41; formic acid: pKa = 3.77; and acetic acid: pKa = 4.76, adjusted for a particular HBA:HBD molar ratio used [27].
In this work, we compare conventional with alternative synthetic methods (microwave-, ultrasound-, and mechanochemistry-assisted protocols) of ethyl levulinate (EL) production from levulinic acid (LA) and ethanol, using DES composed of choline chloride and oxalic or p-toluenesulfonic acids. The influence of various operational parameters, i.e., temperature, time, alcohol-to-acid ratio, and catalyst loading, on the reaction outcome is studied. Accompanying phase behaviour studies of pseudo-ternary systems serve to assess the extraction effect of DES in the esterification process. The main objective of this study is to access the feasibility of particular DES to induce phase spit in the esterification reaction and how particular variables can influence the process.
2. Results and Discussion
2.1. Phase Behaviour Studies
In order to evaluate the extracting potential of choline chloride-based DES in the esterification reaction, the immiscibility region was examined for the simplified, pseudo-ternary systems containing DES, the main product, ethyl levulinate, and one of the substrates, levulinic acid or ethanol. The phase behaviour data were collected at two temperatures, 313.15 and 333.15 K, selected as a compromise. On one side, it was important to keep the temperature as high as possible to enhance the potential reaction kinetics, but on the other, lowering the temperature is crucial to avoid excessive evaporation of an alcohol (the boiling point of ethanol is 351.5 K whereas that of levulinic acid is 518.7 K [28]) and to reduce the energy consumption for synthesis and separation. Figure 2 depicts the binodal curves for four pseudo-ternary mixtures: (a) (ChCh:pTSA+EL+LA) and (ChCh:OxAc+EL+LA), and (b) (ChCh:pTSA+EL+EtOH) and (ChCh:OxAc+EL+EtOH), at both temperatures, and the detailed data can be found in the Supplementary File, in Table S1.

Figure 2.
Mass-based liquid–liquid phase diagrams for pseudo-ternary systems composed of (a) LA, EL, and DES (circles, ChCl:OxAc, or triangles, ChCl:pTSA), or (b) EtOH, EL, and DES (squares, ChCl:OxAc, or diamonds, ChCl:pTSA), at 313.15 K (filled symbols) and 333.15 K (empty symbols).
As can be seen from Figure 2, the pTSA-based DES shows partial solubility in ethyl levulinate and only a minor two-phase region, whereas DES containing oxalic acid seems almost completely immiscible with the studied ester. The systems with ChCl:OxAc are characterised by a considerable biphasic region regardless of the type of substrate added, indicating their aptness to serve as an extractant for on-line removal of ester from the reaction mixture via phase splitting.
An ideal bifunctional solvent should not only possess strong acidity to catalyse the esterification but also the appropriate polarity and good hydrogen bonding ability to dissolve unconverted reactants and co-produced water, facilitating phase separation [24]. The oxalic acid is the simplest dibasic acid capable of creating strong hydrogen bonds, making it a suitable option for intensifying the synthesis of esters. The studied change in the temperature had little effect on the mutual solubility of the components of the systems.
2.2. Conventional Esterification of Levulinic Acid with Ethanol
M. Sert reported on the esterification of levulinic acid with ethanol using pTSA-based DES catalytic medium under conventional heating [23]. The optimised reaction conditions included 5 wt.% of DES with respect to levulinic acid, ethyl alcohol in excess (5 times), 353.15 K, and 3 h. Here, given the promising results of phase behaviour studies, the synthesis of ethyl levulinate using OxAc-based DES was investigated, and the list of all the reactions performed, with detailed numerical information, can be found in the Supplementary File, in Table S2.
2.2.1. Effect of the Catalyst Loading
The amount of DES used affects both the extracting capability as well as the catalytic performance of the system. The synthesis of ethyl levulinate using OxAc-based DES was explored for catalyst loading varying from 5 to 185 wt.% (with respect to levulinic acid), and the results are presented in Figure 3 and Table S2 (entries 4–10).
Figure 3.
Effect of the ChCl:OxAc loading on the esterification of LA to EL (circles with continuous line, LA conversion; triangles with dotted line, EL yield; and diamonds with dashed line, EL selectivity), at 343.15 K, 3 h, and alcohol:acid alcohol:acid molar ratio of 5.
As expected, increasing the amount of catalyst dosage enhances the acid conversion. Auto-catalysed esterification exhibits low reaction rates; only 10% of LA was converted with 4% of ethyl levulinate formed at 343.15 K and 3 h (Table S2, entry 1), which is in accordance with the literature value of 8% [23]. Blank experiments with bulk catalysts, choline chloride, and oxalic acid provided similar conversions, 9 and 13% (Table S2, entries 2 and 3), respectively, showing a lack of improvement. The addition of ChCl:OxAc eutectic mixture leads to a pronounced increase in LA conversion along with EL yield, reaching values of 70 and nearly 100%, respectively. Yet, at quantities of DES equal to or higher than 20 wt.%, undesirable catalyst consumption was observed (confirmed by GC-FID analysis with diethyl oxalate as a reference). It was previously discussed in the literature that DES composed of choline chloride and carboxylic acids may suffer from internal esterification between the -COOH group of the acid and the -OH moiety of ChCl [29,30]. Rodriguez et al. investigated the thermal and long-term stability of this family of DES and concluded that elevated temperature accelerates the process [29]. Marrucho and co-workers suggested that the grinding method of DES preparation seems more adequate since it does not favour ester formation [30]. In the current study, at 343.15 K, no products of DES degradation were detected for catalyst loadings of 5 or 10 wt.%, thus indicating that only catalytic amounts of DES should be used for further studies.
2.2.2. Effect of the Temperature
As mentioned before, the temperature of the process has a significant impact on its outcomes. The elevated temperature may considerably improve the reaction rate and levulinic acid conversion, particularly if it leads to continuous removal of one of the products, shifting the reaction equilibrium towards ester formation. However, when it is too high, contamination with side- and/or degradation-products (i.e., from DES) might occur. Lowering the temperature of the process minimises energy consumption, may limit contamination, and facilitates separation through a potential phase split upon the course of the reaction.
The temperature effect on the esterification of levulinic acid with ethanol was investigated for 5 wt.% of ChCl:OxAc as catalyst, a molar ratio of ethanol to acid of 5:1, and during 3 h. The experimental results are demonstrated in Figure 4 and Table S2 (entries 4, 11–15).
Figure 4.
Influence of process temperature on the esterification of LA to (circles with continuous line, LA conversion; triangles with dotted line, EL yield; and diamonds with dashed lines EL selectivity) at 343.15 K, 3 h, and for 5 wt.% of ChCl:OxAc catalyst and alcohol:acid molar ratio of 5.
For the chosen catalyst type and reaction conditions, the increase in the temperature, from 313.15 to 363.15 K, had only little effect on the overall acid conversion. Yet, it had a significant influence on selectivity towards the desired ester, reaching almost 90% at 363.15 K. Since there was no considerable change in ester selectivity beyond 343.15 K and thinking of potential separation as well as restraining the DES internal esterification, the mild reaction temperature of 343.15 K was selected for further studies. This temperature is noticeably distinct from the decomposition temperature determined previously for the choline chloride/oxalic acid DES. On the basis of the dynamic thermogravimetric analysis (TGA) results, the ChCl:OxAc was generally referred to as thermally stable with a broad operational window. The freezing point of this deep eutectic mixture (with freezing point depression equalled to 212 K) was determined at 34 °C (307.15 K) [31], whereas the decomposition temperature was at 162 °C (435.15 K) [29,30,32].
In previous works on the esterification of different carboxylic acids with DES as catalytic medium, the optimum temperature varied from 343.15 to 363.15 K [14,15,16,17,18,19,20], which is consistent with the choice made in this study.
2.2.3. Effect of the Reaction Time
The previous experiments in this work, on the influence of the catalyst dosage and temperature, were performed for 3 h, as indicated in the literature [23]. In order to confirm this selection, the kinetics of levulinic acid esterification were studied up to 5 h at 343.15 K with 5 wt.% of ChCl:OxAc catalyst and an alcohol:acid molar ratio of 5 (Figure 5 and Table S2 (entries 4, 16–19)).
Figure 5.
Kinetic data for the esterification of LA to EL (circles with continuous line, LA conversion; triangles with dotted line, EL yield; and diamonds with dashed line, EL selectivity), at 343.15 K, and for 5 wt.% of ChCl:OxAc catalyst and alcohol:acid molar ratio of 5.
As can be seen from Figure 5, the transformation of levulinic acid to ethyl levulinate seems to reach equilibrium already after 2 h. However, similarly as in the case of the temperature influence, in order to assure its completion and to improve ester selectivity, 3 h were chosen as optimum.
2.2.4. Effect of Substrates Ratio
The Fischer esterification is a process with high atom economy unless a great excess of one of the reactants is used, and this is a common practice on a commercial scale in order to displace the reaction equilibrium towards product formation. The ideal ratio of substrates depends on the mutual solubilities of the reactional mixture components as well as operational conditions. Cao et al. found that for the esterification of acetic acid with n-butanol with ChCl:2CrCl3·6H2O, the excess of carboxylic acid was more advantageous. However, in the majority of cases, the high excess of alcohol is applied to force a one-way reaction, reaching values of up to 10 for the alcohol:acid molar ratio in the case of some free fatty acid esterification with pTSA-based DES [17,18].
In this work, the range of ethanol:levulinic acid molar ratio studied was from stoichiometric amounts up to 6, with other parameters being fixed at 5 wt.% of ChCl:OxAc catalyst, 3 h and at 343.15 K. The obtained results are presented in Figure 6 and Table S2 (entries 20–24).
Figure 6.
Effect of the alcohol to acid ratio on the esterification of LA to EL (circles with continuous line, LA conversion; triangles with dotted line, EL yield; and diamonds with dashed line, EL selectivity) for 5 wt.% of ChCl:OxAc catalyst, 3 h, and at 343.15 K.
As can be noticed from Figure 6, upon an increase in the amount of alcohol with respect to acid, the conversion of levulinic acid remained relatively constant, whereas the selectivity towards ester dropped from 95 to 74%. These results are consistent with the outcomes obtained by M. Sert [23]. The author noticed slight increases in the conversion of LA using 5 wt.% of ChCl:pTSA catalyst, with an EtOH:LA molar ratio of 5, at 353.15K and for 3 h, and a similar decrease in the selectivity from 100 to 87%.
Even though the stochiometric ratio of substrates showed the best performance, the consumption of catalyst was detected by the GC-FID analysis in such a reactional mixture. It is important to increase the amount of alcohol not only to push the reaction equilibrium of this reversible transformation but also to suppress the esterification of DES components.
Additionally, from the point of view of a potential phase split, the higher amounts of alcohol may help to extract unconverted acid and water from the ester phase, leading to higher purity of the desired product. However, too much excess is unfavourable for the chemical reaction (excessive dissolution of the reactional mixture and drop in conversion) and for maintaining the heterogeneity of the system to ease the separation.
2.2.5. Potential Mechanism
In Scheme 1, the tentative mechanism of levulinic acid esterification with ethanol, using ChCl:OxAc as catalyst, is proposed. In the presence of the DES, protonation of carbonyl oxygen occurs, thus enhancing the electrophilic character of carbonyl carbon, which is as such susceptible to nucleophilic attack by alcohol. Elimination of water molecules and subsequent deprotonation yield the desired product.
Scheme 1.
Tentative mechanism of esterification of levulinic acid with ethanol in the presence of ChCl:OxAc DES.
2.3. Esterification Reaction with Alternative Energy Inputs
In order to accelerate the reaction rate and enhance the product yield, alternative options of providing energy for the synthesis of esters were investigated, namely ultrasound, mechanochemical, and microwave treatments. The experiments were performed for ChCl:OxAc and ChCl:pTSA eutectic mixtures, a 5:1 molar ratio of ethanol to levulinic acid, and at varying conditions of time and/or temperature. The details can be found in the Supplementary File, in Table S3.
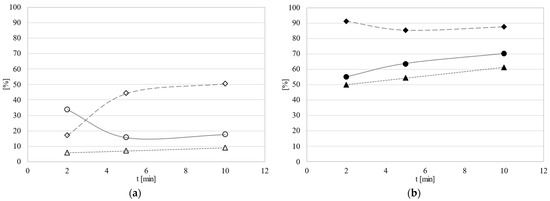
2.3.1. Ultrasound-Assisted Esterification
The esterification reactions under sonification were conducted at 343.15 K and during 10 min, 1 or 3 h (numerical data provided in the Supplementary File, in Table S3, entries 6–11). Figure 7 clearly demonstrates the superior catalytic performance of pTSA-based DES to OxAc-based analogue. After 3 h, both the conversion and yield reached almost 100% (Table S3, entry 11), which is comparable to LA esterification using the traditional heating and stirring method, where 100% conversion and 98% yield were achieved under the same operational conditions (Table S3, entry 5; results omitted in Figure 7 for clarity). M. Sert reported nearly 100% conversion of levulinic acid already after 1 h, but the author used more than twice the molar ratio of p-toluenesulfonic acid (the main acidic component of the catalyst) to choline chloride in the eutectic mixture applied in the reaction [23].
Figure 7.
Ultrasound-mediated esterification of LA to EL with an alcohol:acid molar ratio of 5 at 343.15 K and 5 wt.% of (a) ChCl:OxAc (empty symbols) or (b) ChCl:pTSA (filled symbols); (circles with continuous lines, LA conversion; triangles with dotted lines, and EL yield; diamonds with dashed lines, EL selectivity).
Similar conclusions can be drawn for the system containing ChCl:OxAc as catalyst; all of the parameters, conversion, yield, and selectivity, reached comparable values, regardless of the heating method applied, after 1 or 3 h (Table S3, entries 2,4 vs. 7,8). Here, the only difference lies in the outcomes of the shortest experiment. The ultrasound-assisted synthesis showed its superiority to the conventional process (Table S3, entry 1), as it seems to have reached the equilibrium LA conversion already after 10 min (Table S3, entry 6).
There exist numerous reports in the literature on the application of ultrasound-induced esterification (or transesterification) for the production of biodiesel [33,34]. This activation method effectively promotes the miscibility of the reactants due to the cavitation effect. Since triglycerides and alcohols are not readily miscible, the ultrasound irradiation is a particularly attractive source of energy as it improves mixing between the two phases, leading to better results. In the current approach of using DES as dual-function media, homogenising of the reactional mixture is actually undesirable, thus does not lead to significant improvements in the catalytic performance.
2.3.2. Mechanosynthesis of Ethyl Levulinate
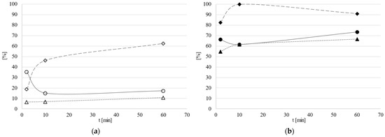
Mechanochemistry transfers mechanical energy onto chemical systems by forces such as compression, shear, or friction. This technology has been mainly used as a biomass pretreatment step, aiming at breaking the linkages between its components and facilitating further chemical or biochemical processing [35,36]. Yet, mechanochemical activation also generates high-energy micro-environments that can influence the course of a chemical reaction. In this study, the initial temperature for the esterification was set at room temperature. Unfortunately, due to the equipment limitations, it was impossible to measure the final temperature to which the reactional mixture was raised with localised pressure and frictional heat provided by kinetic energy.
It is interesting to observe from Figure 8 that already after 2 min of the esterification reaction in the ball mill, the acid conversion reached considerable values, both for pTSA- and OxAc-based eutectic systems. Again, the fast procedure is the main advantage of the mechanochemical treatment. After 10 min of ball milling, the LA conversion using ChCl:OxAc as catalyst reached 18% with much improved selectivity of 50% (Table S3, entry 14), in comparison to 8 and 2%, respectively, for the conventional process (Table S3, entry 1; results omitted in Figure 8 for clarity).
Figure 8.
Mechanosynthesis of EL from LA and EtOH with an alcohol:acid molar ratio of 5 at 343.15 K and 5 wt.% of (a) ChCl:OxAc (empty symbols) or (b) ChCl:pTSA (filled symbols); (circles with continuous lines, LA conversion; triangles with dotted lines, EL yield; and diamonds with dashed lines, EL selectivity).
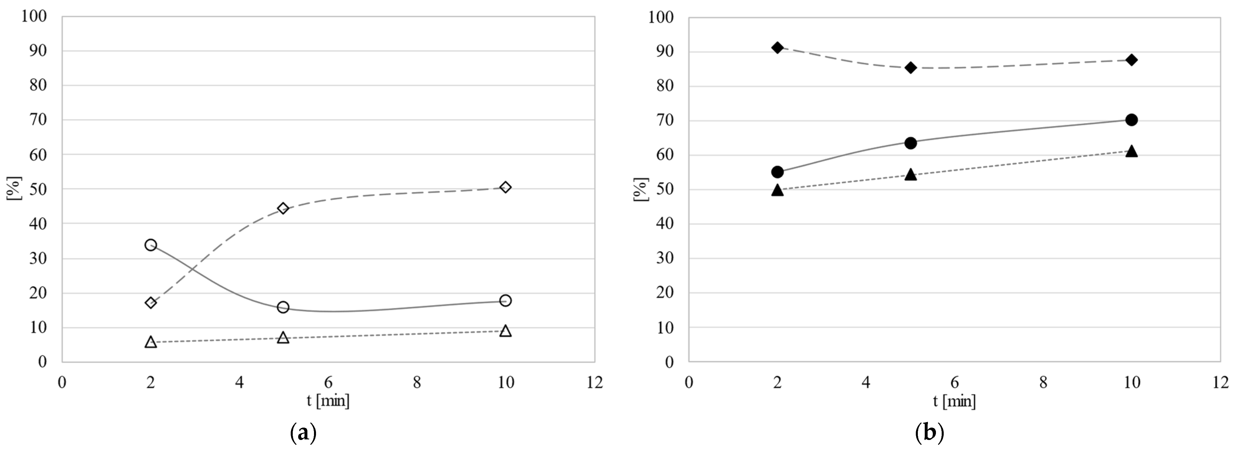
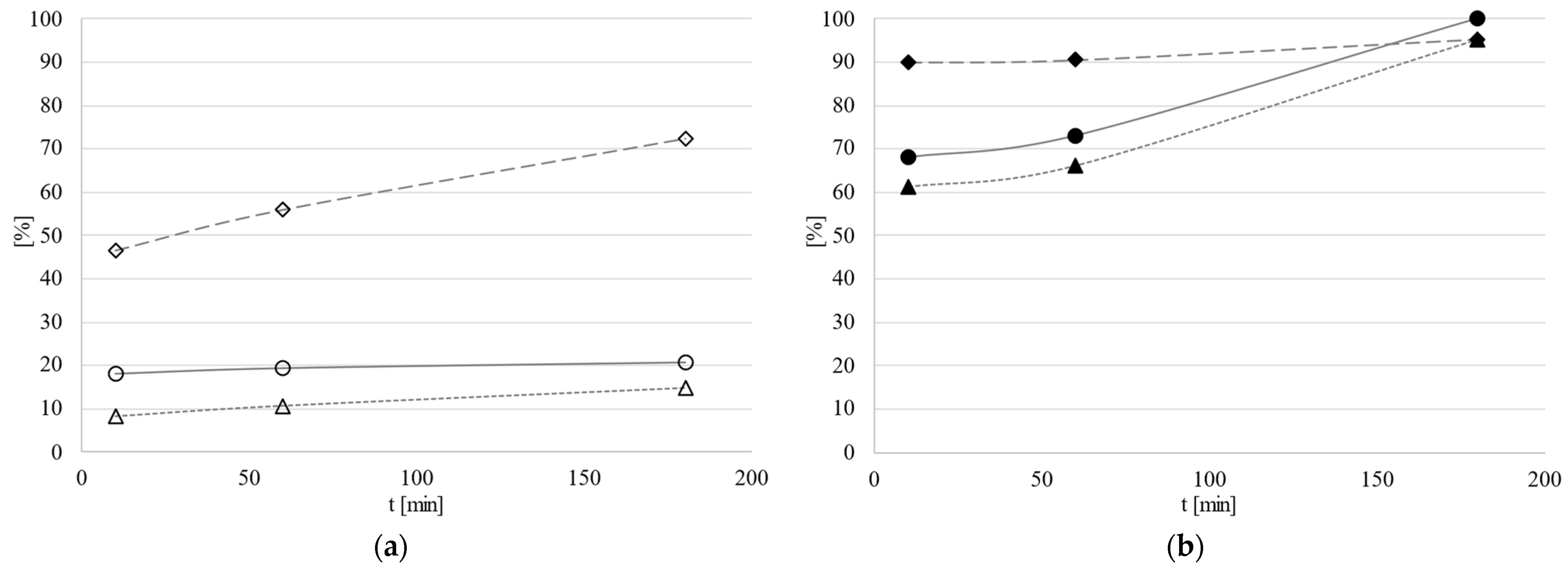
2.3.3. Microwave-Induced Esterification of Levulinic Acid
Microwave irradiation receives increasing attention in organic synthesis as a very efficient manner of producing internal heating by direct coupling of microwave energy with molecules present in the reactional mixture (solvent, reagents, catalysts), as opposed to classical thermal heating where the heat needs to be transferred via conduction and convection. The absorption of microwaves is mainly related to electromagnetic interactions, which are specific to polar molecules (dipoles). In the esterification reaction, ethanol molecules (present in excess) align with the changes in magnetic field produced upon microwave irradiation, causing molecules to rotate rapidly and producing heat due to molecular friction. As a result, the energy is transferred to other components of the reaction mixture uniformly and fast throughout the sample, leading to improvements in process outcomes. It can also be observed in this study that samples subjected to microwaves exhibited immediately high LA conversion for both types of DES investigated (Figure 9, detailed data in Table S3, entries 18–27). There existed an initial drop in the LA conversion during the first minutes of the reaction, followed by a smooth increase until conversion reached values of approximately 20% for the ChCl:OxAc-based system and 74% for the pTSA-based mixture. During these early minutes, the formation of ethyl levulinate was intensified, leading to selectivity exceeding 60 and 90%, depending on the system involved. As in the cases of ultrasound- and ball mill-assisted protocols, the microwave irradiation allowed to reach the best results in shorter time than for conventionally heated systems.
Figure 9.
Microwave-mediated esterification of EL from LA and EtOH with an alcohol:acid molar ratio of 5 at 343.15 K and 5 wt.% of (a) ChCl:OxAc (empty symbols) or (b) ChCl:pTSA (filled symbols); (circles with continuous lines, LA conversion; triangles with dotted lines, EL yield; and diamonds with dashed lines, EL selectivity).
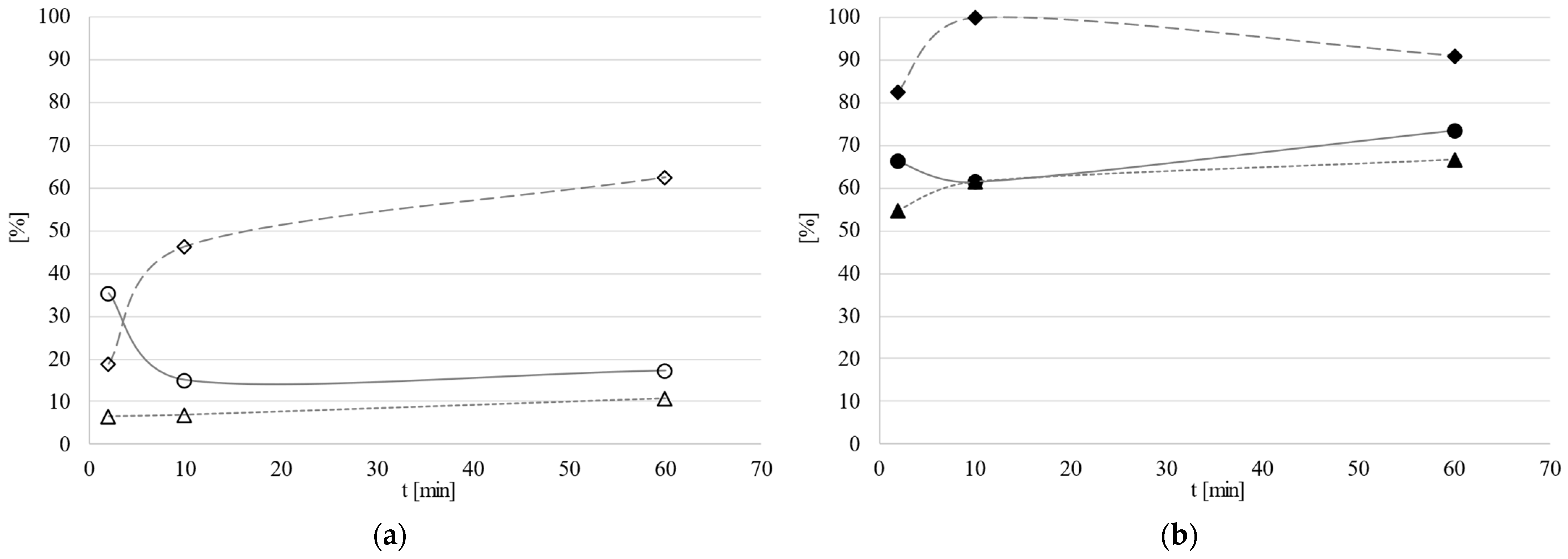
Figure 10 presents the influence of the temperature on the microwave-mediated conversion of levulinic acid to the corresponding ethyl ester. As expected, the temperature has proven to possess a positive effect on the reaction rate. At 413.15 K and within only 10 min, the selectivity towards ethyl levulinate achieved 100%, with the conversion reaching values of nearly 60 and 80% for oxalic and p-toluenesulfonic acid containing DES, respectively (Table S3, entries 22 and 27). Further increase in temperature is undesirable since it may lead to degradation of the eutectic mixture and/or internal esterification between DES components. Yet, it is important to note that at 393.15 K, no diethyl oxalate was detected for the system with oxalic acid-based DES, suggesting that the microwave treatment may suppress the unwanted secondary reaction.
Figure 10.
Influence of the temperature on the microwave-assisted esterification of LA to EL with an alcohol:acid molar ratio of 5 during 10 min and 5 wt.% of (a) ChCl:OxAc (empty symbols) or (b) ChCl:pTSA (filled symbols); (circles with continuous lines, LA conversion; triangles with dotted lines, EL yield; and diamonds with dashed lines, EL selectivity).
2.4. Comparison with the Literature Data
The results obtained in the current study are in accordance with the observations made by other authors studying levulinic acid alcoholysis with homogeneous catalytic systems (Table 1). The most commonly studied catalysts are derivatives of sulfonic acid, p-toluenesulfonic acid functionalised materials in particular. It has been reported that pTSA on its own exhibits similar activity to sulphuric mineral acid (H2SO4), both reaching 100% LA conversion when a big excess (10 times) of ethanol with respect to the acid is used under 5 min of microwave irradiation [37,38]. With the reduced excess of alcohol (5 times, the same as in this study), the acid conversion reaches 72% at 343.15 K for H2SO4, when the reaction runs for 3 h under conventional heating. At the same operational conditions (thermal heating in an oil bath, 5:1 ethanol/levulinic acid molar ratio, 343.15 K, 3 h), the ChCl:pTSA eutectic mixture could promote the LA conversion nearly 100%, as verified in this study and the previous report [23]. In microwave-assisted esterification, rising temperature to 393.15 K and maintaining the 5:1 molar ratio of alcohol to acid resulted in comparable results for homogeneous pTSA (80% LA conversion after 5 min) [38] and the ChCl:pTSA eutectic mixture studied in this work (74% after 10 min). When microwave irradiation was applied, the maximum value of LA conversion, for both pTSA- and OxAc-based eutectic systems, did not differ much from the results obtained with the classical thermal heating method, with the only difference being the time needed to reach that particular value. Likewise, Haider and co-workers concluded that only minor differences in LA conversion under the microwave irradiation (97% at 383 K in 90 min) and the non-microwave instant heating reactor (90% at 383 K in 90 min) were measured when investigating the esterification of levulinic acid with ethanol using a silicotungstic acid catalyst [39].
Table 1.
The literature data on homogeneous esterification of carboxylic acids at conditions similar to those examined in this work.
The reduction in reaction time was pointed out as the main advantage also for the other two alternative energy inputs discussed in this work. However, ultrasound and mechanochemical treatments till now were rather used as activation techniques in a biomass pretreatment step or in the synthesis of catalysts for further transformation of levulinic acid [47,48,49]. For example, Liu et al. investigated microwave-induced conversion of carbohydrates present in a ball-milled corn stover in ethanol medium and over the combined SO3H-IL and Al2(SO4)3 catalyst at 443.15 K [47]. The authors found that the distribution of products was highly sensitive to the molar ratio of components of the catalytic system. Among detected chemicals, the authors listed ethyl levulinate but also, i.e., ethyl-D-glycopyranoside, levoglucosenone, or furfural. Fuchineco et al. [48] and Lanaya et al. [49] used ultrasounds and microwaves to prepare heterogenous catalysts, UiO-66-NH2 MOF (Metal–Organic Framework), and sulphated nanostructured zirconia oxides, respectively, to subsequently perform esterification of levulinic acid under conventional thermal heating.
Regarding the application of DES for esterification of levulinic acid with ethanol, there is only one report that has already been discussed in this work, and that does not mention the desired phase split. Yet, there exist more publications examining the bifunctional activity of DES, or even ionic liquids (ILs), for different reactional systems, and they are listed in the “homogeneous with in situ phase split” section of Table 1. It is important to highlight that in almost all these cases, better performances of DES (LA conversion equal to or higher than 90%) were recorded once spontaneous separation took place.
2.5. Benefits and Limitations
The proposed process employs low-cost and easy-to-prepare deep eutectic systems that have surged as one of the most promising alternativities to the use of toxic, conventional compounds; here, as an option for hazardous and very corrosive mineral acids, i.e., sulphuric acid, or metal-based complexes. Choline chloride is a biocompatible and easily available quaternary ammonium salt. Combined with an acidic component, it creates a catalyst that can be successfully used in the esterification reaction, leading to a reduction in adverse impacts on human health and the environment. By choosing the appropriate process conditions, it seems possible to restrain the potential degradation of oxalic acid-based DES. Yet, the stability aspect needs to always be taken into consideration, and the pTSA-based eutectic mixture shows its superiority over DES with carboxylic acid.
The current study offers comparatively high conversions, but with a significantly lower reactant ratio and at a reduced temperature and time of the process, particularly in the case of alternative energy input methods. Of course, the scale-up potential of such methods would still need to be assessed. Microwave technology entails high investment costs, and scaling up may be restricted due to, i.e., insufficient penetration depth of irradiation into the reaction mixture, heat loss, additional reflection of microwaves, and changes in absorption [2]. Sonification requires a high input of energy for its operation, raising the overall cost of production, not to mention the requirement for custom-made equipment for specific applications. Scale-up of mechanochemical processes depends heavily on scalability of particular mechanochemical devices, and heat generation upon milling may cause some issues with energy efficiency if additional cooling systems are required [35].
3. Materials and Methods
3.1. Materials
The components of DES were supplied by ACROS Organics (now Thermo Scientific Chemicals, Haverhill, MA, USA), choline chloride (99%) and oxalic acid (anhydrous, 98%), and Merck KgaA (Darmstadt, Germany), p-toluenesulfonic acid monohydrate (>99%). The substrates, levulinic acid (98%) and ethanol (absolute, min. 99.98%), were purchased from Sigma Aldrich (St. Louis, MI, USA) and GramMol (North Salt Lake, UT, USA), respectively. The ethyl levulinate (99%) from Sigma Aldrich and diethyl oxalate (>98%) from Tokyo Chemical Industry, Tokyo, Japan, TCl (Hong Kong, China), served as references in gas chromatography analysis, with tetradecane (>99%), Sigma-Aldrich, used as an internal standard. All chemicals were used as provided by the suppliers.
3.2. Apparatus and Experimental Procedure
3.2.1. Preparation of DES
The appropriate amounts of choline chloride, ChCl, (HBA) and p-toluenesulfonic acid, pTSA, or oxalic acid, OxAc, (HBDs) were weighted (KERN ABT 220-50NM analytical balance with stated accuracy of ±3 × 10–2 mg) and heated together, under stirring, in a controlled thermostatic bath at 363.1 K (LLG Labware uniSTIRRER 7, accuracy of 0.1 K) until a clear, homogeneous liquid was formed. Prepared eutectic mixtures, both ChCl:pTSA and ChCl:OxAc in a 1:1 molar ratio, were cooled to room temperature, properly sealed with the parafilm, and used in reactions without further purification.
3.2.2. Determination of Binodal Curves
Binodal curves for the pseudo-ternary systems (DES + ethyl levulinate + levulinic acid or ethanol) were determined using the turbidometric titration method [50] at two constant temperatures of 313.15 and 333.15 K and atmospheric pressure. The Pyrex-glass equilibrium cell (of approximately 5 mL), which use was already described in detail elsewhere [51,52], was filled with a pseudo-ternary mixture of a known overall composition within the two-phase region (KERN ABT 220-50NM analytical balance with stated accuracy of ±3 × 10–2 mg) and placed in the isothermal bath (Heidolph MR 3001 heating and stirring plate combined with the Pt100 thermocouple, DOSTAMAN electronics P 650, accuracy of ±0.03 K). After stirring for 30 min, levulinic acid or ethanol was added very slowly in a dropwise manner, under continuous agitation, until a homogeneous phase was obtained (monophasic region). The amount of the acid or alcohol added was recorded, and the mixture composition at the binodal curve point was calculated. All the experiments were performed at least twice.
The validity of the experimental method was confirmed by carrying out replicas of the assays at random conditions. The estimated uncertainty of the composition of the binodal curve point (cloud point) was ±0.004 (in mass fraction).
3.2.3. Esterification Reaction
The conventional esterification of levulinic acid with ethanol was carried out in a 100 mL round-bottom flask equipped with a condenser in a controlled-temperature oil bath with a magnetic stirrer (LLG Labware uniSTIRRER 7, accuracy of 0.1 K). In a typical run, known amounts of DES, levulinic acid, and ethanol were introduced to the flask and quickly heated up to a desired temperature. The reaction mixture was stirred at 400 rpm for an appropriate time, after which the reaction mixture was cooled down rapidly to avoid further reaction and analysed.
The microwave-assisted synthesis was performed in the Milestone flexiWAVE reactor, equipped with a rotating carousel with 15 positions for PTFE high-pressure vessels and direct control of the process and temperature (Milestone Srl, Milan, Italy).
The ultrasound-induced esterification was performed in the Bandelin ultrasonic bath DT 510 H (BANDELIN Electronic GmbH & Co. KG, Berlin, Germany).
The mechanosynthesis was performed in the Omni Bead Ruptor 12 Homogenizer (OMNI International, Kennesaw, GA, USA), using glass beads, at ambient temperature (initial temperature value) for the required time.
Some of the esterification experiments were carried out in duplicate, and the average values with an error of 2% were reported.
3.2.4. Analysis
The reaction products were analysed in a gas chromatographer (6890 from Agilent Technologies with autosampler HT3100A from HTA) equipped with a flame ionisation detector (GC-FID) and the HP-5MS column (Agilent J&W GC Columns; 30 m, 0.25 ID, 0.25 μM film). Helium gas (Alphagaz 99.999%) served as the carrier gas with flow set at 1.0 mL/min. A sample of 1 μL was injected at 250 °C (split ratio 1:30) with the detector operating at the same temperature. The column oven temperature was initially set at 70 °C and then increased to 120 °C at a rate of 10 °C min−1. After keeping the column temperature at 120 °C for 5 min, it was ramped to 200 °C at a rate of 30 °C min−1 and maintained at the final temperature for 2.33 min. The chromatographic working conditions allowed for the complete separation of the target compounds, and the products were quantified by an internal standard method using tetradecane.
4. Conclusions
In conclusion, deep eutectic systems constitute a promising catalytic medium for the esterification of carboxylic acids, particularly when they are capable of provoking in situ phase separation. That was not the case for DES studied in this work, either due to unfavourable miscibility patterns as indicated by the liquid–liquid phase behaviour studies for p-toluenesulfonic acid-based DES or owing to limitations related to DES stability (eutectic mixtures containing oxalic acid). Nevertheless, it was still possible to employ the investigated eutectic mixtures as successful catalysts (in catalytic amounts) for the esterification of levulinic acid with ethanol, especially when the experiments were coupled with alternatives to conventional heating methods. The overall better catalytic performance of the p-toluenesulfonic acid-based deep eutectic mixture in comparison with the oxalic acid-based analogue was observed. After only 10 min and under microwave irradiation at 343.15 K, levulinic acid conversion was 62% and 15%, respectively, for p-toluenesulfonic and oxalic acid-containing deep eutectic systems. For comparison, sonification of the reactional mixture at the same conditions yielded 68% and 18% of ethyl levulinate, while 10 min of ball mill treatment, at 301.15 K, gave rise to 70% and 18% of the desired product for p-toluenesulfonic acid- and oxalic acid-based DES, respectively. Therefore, good catalytic performance under reduced reaction time proves the potential of these media for ester synthesis when coupled with alternative energy inputs.
Supplementary Materials
The following supporting information can be downloaded at: https://www.mdpi.com/article/10.3390/catal14120842/s1, Table S1: Binodal points data for the pseudo-ternary mixtures containing DES (either ChCl:OxAc or ChCl:pTSA), EL, and LA or EtOH, at 313.15 or 333.15 K, in mass fraction; Table S2: Optimisation of the operational conditions for the esterification of LA to EL under conventional heating and stirring method; Table S3: The esterification of LA to EL using alternative energy sources and 5 wt.% of either ChCl:OxAc or ChCl:pTSA, with EtOH to LA molar ratio of 5.
Author Contributions
Conceptualization, M.E.Z.; methodology, M.M., L.F. and A.V.M.N.; formal analysis, L.F., A.V.M.N., A.R.C.D. and M.E.Z.; investigation, M.S., F.P., M.J.K. and M.E.Z.; resources, M.M. and A.R.C.D.; writing—original draft, M.E.Z.; writing—review and editing, M.M., A.V.M.N. and A.R.C.D.; supervision, M.E.Z.; funding acquisition, M.E.Z. All authors have read and agreed to the published version of the manuscript.
Funding
This work received financial support from FCT/MCTES (UIDP/50006/2020 DOI 10.54499/UIDP/50006/2020) through national funds and project PTDC/EQU-EPQ/1039/2021.
Data Availability Statement
Data are contained within the article and Supplementary Materials.
Acknowledgments
This work received support and help from FCT/MCTES (LA/P/0008/2020 DOI 10.54499/LA/P/0008/2020, UIDP/50006/2020 DOI 10.54499/UIDP/50006/2020, and UIDB/50006/2020 DOI 10.54499/UIDB/50006/2020) through national funds and project PTDC/EQU-EPQ/1039/2021. This work was further supported by the European Union’s Horizon 2020 (European Research Council) under grant agreement no ERC-2016-CoG 725034 and European Cooperation in Science and Technology (COST Action CA 18224 (GREENERING, Green Chemical Engineering Network towards upscaling sustainable processes) grant). GC-FID data were obtained by the Analysis Laboratory LAQV-Requimte, Chemistry Department, NOVA FCT, Portugal.
Conflicts of Interest
The authors declare no conflicts of interest.
References
- Hoydonckx, H.E.; De Vos, D.E.; Chavan, S.A.; Jacobs, P.A. Esterification and transesterification of renewable chemicals. Top. Catal. 2004, 27, 83–96. [Google Scholar] [CrossRef]
- Khan, Z.; Javed, F.; Shamair, Z.; Hafeez, A.; Fazal, T.; Aslam, A.; Zimmerman, W.B.; Rehman, F. Current developments in esterification reaction: A review on process and parameters. J. Ind. Eng. Chem. 2021, 103, 80–101. [Google Scholar] [CrossRef]
- Werpy, T.; Petersen, G. Top Value Added Chemicals from Biomass Volume 1. In Results of Screening for Potential Candidates from Sugars and Synthesis Gas; U.S. Department of Energy (DOE): Golden, CO, USA, 2004; DOE/GO-102004-1992; Available online: https://www.nrel.gov/docs/fy04osti/35523.pdf (accessed on 10 September 2024).
- Badgujara, K.C.; Badgujara, V.C.; Bhanage, B.M. A review on catalytic synthesis of energy rich fuel additive levulinate compounds from biomass derived levulinic acid. Fuel Process. Technol. 2020, 197, 106213. [Google Scholar] [CrossRef]
- Leal Silva, J.F.; Grekin, R.; Pinto Mariano, A.; Maciel Filho, R. Making Levulinic Acid and Ethyl Levulinate Economically Viable: A Worldwide Technoeconomic and Environmental Assessment of Possible Routes. Energy Technol. 2018, 6, 613–639. [Google Scholar] [CrossRef]
- Ahmad, E.; Imteyaz Alam, M.d.; Pant, K.K.; Ali Haider, M. Catalytic and mechanistic insights into the production of ethyl levulinate from biorenewable feedstocks. Green Chem. 2016, 18, 4804–4823. [Google Scholar] [CrossRef]
- Shan, J.; Wang, Q.; Hao, H.; Guo, H. Critical Review on the Synthesis of Levulinate Esters from Biomass-Based Feedstocks and Their Application. Ind. Eng. Chem. Res. 2023, 62, 17135–17147. [Google Scholar] [CrossRef]
- Liu, P.; Hao, J.-W.; Mo, L.-P.; Zhang, Z.-H. Recent advances in the application of deep eutectic solvents as sustainable media as well as catalysts in organic reactions. RSC Adv. 2015, 5, 48675–48704. [Google Scholar] [CrossRef]
- Ünlü, E.; Arıkaya, A.; Takaç, S. Use of deep eutectic solvents as catalyst: A mini-review. Green Process Synth. 2019, 8, 355–372. [Google Scholar] [CrossRef]
- Qin, H.; Hu, X.; Wang, J.; Cheng, H.; Chen, L.; Qi, Z. Overview of acidic deep eutectic solvents on synthesis, properties and applications. Green Energy Environ. 2020, 5, 8–21. [Google Scholar] [CrossRef]
- Kalhor, P.; Ghandi, K. Deep Eutectic Solvents as Catalysts for Upgrading Biomass. Catalysts 2021, 11, 178. [Google Scholar] [CrossRef]
- Smith, E.L.; Abbott, A.P.; Ryder, K.S. Deep Eutectic Solvents (DESs) and Their Applications. Chem. Rev. 2014, 114, 11060–11082. [Google Scholar] [CrossRef]
- Hansen, B.B.; Spittle, S.; Chen, B.; Poe, D.; Zhang, Y.; Klein, J.M.; Horton, A.; Adhikari, L.; Zelovich, T.; Doherty, B.W.; et al. Deep Eutectic Solvents: A Review of Fundamentals and Applications. Chem. Rev. 2021, 121, 1232–1285. [Google Scholar] [CrossRef] [PubMed]
- De Santi, V.; Cardellini, F.; Brinchi, L.; Germani, R. Novel Brønsted acidic deep eutectic solvent as reaction media for esterification of carboxylic acid with alcohols. Tetrahedron Lett. 2012, 53, 5151–5155. [Google Scholar] [CrossRef]
- Sunitha, S.; Kanjilal, S.; Reddy, P.S.; Prasad, R.B.N. Liquid–liquid biphasic synthesis of long chain wax esters using the Lewis acidic ionic liquid choline chloride-2ZnCl2. Tetrahedron Lett. 2007, 48, 6962–6965. [Google Scholar] [CrossRef]
- Li, Z.; Liu, W.; Yang, G. Solvent-free synthesis of oleic acid-based wax esters using recyclable acidic deep eutectic solvent. Grasas Aceites 2022, 73, e444. [Google Scholar] [CrossRef]
- Hayyan, A.; Hashim, M.A.; Hayyan, M.; Mjalli, F.S.; AlNashef, I.M. A new processing route for cleaner production of biodiesel fuel using a choline chloride based deep eutectic solvent. J. Clean. Prod. 2014, 65, 246–251. [Google Scholar] [CrossRef]
- Hayyan, A.; Hashim, M.A.; Mjalli, F.S.; Hayyan, M.; AlNashef, I.M. A novel phosphonium-based deep eutectic catalyst for biodiesel production from industrial low grade crude palm oil. Chem. Eng. Sci. 2013, 92, 81–88. [Google Scholar] [CrossRef]
- Qin, H.; Song, Z.; Zeng, Q.; Cheng, H.; Chen, L.; Qi, Z. Bifunctional Imidazole-PTSA Deep Eutectic Solvent for Synthesizing Long-Chain Ester IBIBE in Reactive Extraction. AIChE J. 2019, 65, 675–683. [Google Scholar] [CrossRef]
- Wang, R.; Qin, H.; Song, Z.; Cheng, H.; Chen, L.; Qi, Z. Toward reactive extraction processes for synthesizing long-chain esters: A general approach by tuning bifunctional deep eutectic solvent. Chem. Eng. J. 2022, 445, 136664. [Google Scholar] [CrossRef]
- Cao, J.; Qi, B.; Liu, J.; Shang, Y.; Liu, H.; Wang, W.; Lv, J.; Chen, Z.; Zhang, H.; Zhou, X. Deep eutectic solvent choline chloride·2CrCl3·6H2O: An efficient catalyst for esterification of formic and acetic acid at room temperature. RSC Adv. 2016, 6, 21612–21616. [Google Scholar] [CrossRef]
- Taysun, M.B.; Sert, E.; Atalay, F.S. Physical properties of benzyl tri-methyl ammonium chloride based deep eutectic solvents and employment as catalyst. J. Mol. Liq. 2016, 223, 845–852. [Google Scholar] [CrossRef]
- Sert, M. Catalytic effect of acidic deep eutectic solvents for the conversion of levulinic acid to ethyl levulinate. Renew. Energy 2020, 153, 1155–1162. [Google Scholar] [CrossRef]
- Maugeri, Z.; Leitner, W.; Domínguez de María, P. Practical separation of alcohol–ester mixtures using Deep-Eutectic-Solvents. Tetrahedron Lett. 2012, 53, 6968–6971. [Google Scholar] [CrossRef]
- Samarov, A.; Prikhodko, I.; Shner, N.; Sadowski, G.; Held, C.; Toikka, A. Liquid−Liquid Equilibria for Separation of Alcohols from Esters Using Deep Eutectic Solvents Based on Choline Chloride: Experimental Study and Thermodynamic Modeling. J. Chem. Eng. Data 2019, 64, 6049–6059. [Google Scholar] [CrossRef]
- Samarov, A.; Shner, N.; Mozheeva, E.; Toikka, A. Liquid-liquid equilibrium of alcohol–ester systems with deep eutectic solvent on the base of choline chloride. J. Chem. Thermodyn. 2019, 131, 369–374. [Google Scholar] [CrossRef]
- Williams, R. pKa Values in Water Compilation. ACS Division of Organic Chemistry, updated 4/7/2022. Available online: https://organicchemistrydata.org/hansreich/resources/pka/pka_data/pka-compilation-williams.pdf (accessed on 20 September 2024).
- Brown, R.L.; Stein, S.E. Boiling Point Data in NIST Chemistry WebBook. In NIST Standard Reference Database Number 69; Linstrom, P.J., Mallard, W.G., Eds.; National Institute of Standards and Technology: Gaithersburg, MD, USA, 2013; p. 20899. [Google Scholar] [CrossRef]
- Rodriguez Rodriguez, N.; van den Bruinhorst, A.; Kollau, L.J.B.M.; Kroon, M.C.; Binnemans, K. Degradation of Deep-Eutectic Solvents Based on Choline Chloride and Carboxylic Acids. ACS Sustainable Chem. Eng. 2019, 7, 11521–11528. [Google Scholar] [CrossRef]
- Florindo, C.; Oliveira, F.S.; Rebelo, L.P.N.; Fernandes, A.M.; Marrucho, I.M. Insights into the Synthesis and Properties of Deep Eutectic Solvents Based on Cholinium Chloride and Carboxylic Acids. ACS Sustainable Chem. Eng. 2014, 2, 2416–2425. [Google Scholar] [CrossRef]
- Abbott, A.P.; Boothby, D.; Capper, G.; Davies, D.L.; Rasheed, R.K. Deep Eutectic Solvents Formed between Choline Chloride and Carboxylic Acids: Versatile Alternatives to Ionic Liquids. J. Am. Chem. Soc. 2004, 126, 9142–9147. [Google Scholar] [CrossRef]
- Chen, W.; Xue, Z.; Wang, J.; Jiang, J.; Zhao, X.; Mu, T. Investigation on the Thermal Stability of Deep Eutectic Solvents. Acta Phys.-Chim. Sin. 2018, 34, 904–911. [Google Scholar] [CrossRef]
- Veljković, V.B.; Avramović, J.M.; Stamenković, O.S. Biodiesel production by ultrasound-assisted transesterification: State of the art and the perspectives. Renew. Sustain. Energy Rev. 2012, 16, 1193–1209. [Google Scholar] [CrossRef]
- Malek, M.N.F.A.; Hussin, N.M.; Embong, N.H.; Bhuyar, P.; Rahim, M.H.A.; Govindan, N.; Maniam, G.P. Ultrasonication: A process intensification tool for methyl ester synthesis: A mini review. Biomass Conv. Bioref. 2023, 13, 1457–1467. [Google Scholar] [CrossRef]
- Gaudino, E.C.; Cravotto, G.; Manzoli, M.; Tabasso, S. Sono- and mechanochemical technologies in the catalytic conversion of biomass. Chem. Soc. Rev. 2021, 50, 1785–1812. [Google Scholar] [CrossRef] [PubMed]
- Gilet, A.; Quettier, C.; Wiatz, V.; Bricout, H.; Ferreira, M.; Rousseau, C.; Monflier, E.; Tilloy, S. Unconventional media and technologies for starch etherification and esterification. Green Chem. 2018, 20, 1152–1168. [Google Scholar] [CrossRef]
- Russo, V.; Hrobar, V.; Mäki-Arvela, P.; Eränen, K.; Sandelin, F.; Di Serio, M.; Salmi, T. Kinetics and Modelling of Levulinic Acid Esterification in Batch and Continuous Reactors. Top. Catal. 2018, 61, 1856–1865. [Google Scholar] [CrossRef]
- Negus, M.P.; Mansfield, A.C.; Leadbeater, N.E. The preparation of ethyl levulinate facilitated by flow processing: The catalyzed and uncatalyzed esterification of levulinic acid. J. Flow Chem. 2015, 5, 148–150. [Google Scholar] [CrossRef]
- Ahmad, E.; Alam, M.I.; Pant, K.K.; Haider, M.A. Insights into the Synthesis of Ethyl Levulinate under Microwave and Nonmicrowave Heating Conditions. Ind. Eng. Chem. Res. 2019, 58, 16055–16064. [Google Scholar] [CrossRef]
- Martins, F.P.; Rodrigues, F.A.; Silva, M.J. Fe2(SO4)3-catalyzed levulinic acid esterification: Production of fuel bioadditives. Energies 2018, 11, 1263. [Google Scholar] [CrossRef]
- Huang, Y.B.; Yang, T.; Cai, B.; Chang, X.; Pan, H. Highly efficient metal salt catalyst for the esterification of biomass derived levulinic acid under microwave irradiation. RSC Adv. 2016, 6, 2106–2111. [Google Scholar] [CrossRef]
- Castro, G.A.D.; Fernandes, S.A. Microwave-assisted green synthesis of levulinate esters as biofuel precursors using calix[4]arene as an organocatalyst under solvent-free conditions. Sustain. Energy Fuels 2021, 5, 108–111. [Google Scholar] [CrossRef]
- Wang, J.; Wang, J.; Cui, H.; Li, Z.; Wang, M.; Yi, W. Spontaneous Biphasic System with Lithium Chloride Hydrate for Efficient Esterification of Levulinic Acid. Chem. Sel. 2022, 7, e202200347. [Google Scholar] [CrossRef]
- Kalghatgi, S.G.; Bhanage, B.M. Green syntheses of levulinate esters using ionic liquid 1-methyl imidazolium hydrogen sulphate [MIM][HSO4] in solvent free system. J. Mol. Liq. 2019, 281, 70–80. [Google Scholar] [CrossRef]
- Zeng, Q.; Song, Z.; Qin, H.; Cheng, H.; Chen, L.; Pan, M.; Heng, Y.; Qi, Z. Ionic liquid [BMIm][HSO4] as dual catalyst-solvent for the esterification of hexanoic acid with n-butanol. Catal. Today 2020, 339, 113–119. [Google Scholar] [CrossRef]
- Zeng, Q.; Qin, H.; Cheng, H.; Chen, L.; Qi, Z. Development of a reactive extraction process for isobutyl isobutyrate formation intensified by bifunctional ionic liquid. Chem. Eng. Sci. 2019, 1, 100001. [Google Scholar] [CrossRef]
- Liu, H.; Chen, X.; Zhang, Y.; Lu, M.; Lyu, H.; Han, L.; Xiao, W. Alcoholysis of Ball-Milled Corn Stover: The Enhanced Conversion of Carbohydrates into Biobased Chemicals over Combination Catalysts of [Bmim-SO3H][HSO4] and Al2(SO4)3. Energy Fuels 2020, 34, 7085–7093. [Google Scholar] [CrossRef]
- Fuchineco, D.A.B.; Heredia, A.C.; Mendoza, S.M.; Rodríguez-Castellón, E.; Crivello, M.E. Production of Levulinic Esters by Heterogeneous Catalysis with Zr Metal−Organic Frameworks in Pressure Reactors. Ind. Eng. Chem. Res. 2022, 61, 17821–17832. [Google Scholar] [CrossRef]
- Lanaya, S.; Jemli, Y.E.; Khallouk, K.; Abdelouahdi, K.; Hannioui, A.; Solhy, A.; Barakat, A. Sulfated Well-Defined Mesoporous Nanostructured Zirconia for Levulinic Acid Esterification. ACS Omega 2022, 7, 27839–27850. [Google Scholar] [CrossRef] [PubMed]
- Kaul, A. The Phase Diagram. In Aqueous Two-Phase Systems: Methods and Protocols. Methods in Biotechnology; Hatti-Kaul, R., Ed.; Humana Press: Totowa, NJ, USA, 2000; Volume 11. [Google Scholar]
- Bogel-Łukasik, E.; Lourenço, C.; Zakrzewska, M.E.; Bogel-Łukasik, R. Insight into the Phase Equilibrium Phenomena of Systems Containing Dienes and Dicyanamide Ionic Liquids as a New Potential Application. J. Phys. Chem. B 2010, 114, 15605–15609. [Google Scholar] [CrossRef]
- Bogel-Łukasik, R.; Matkowska, D.; Zakrzewska, M.E.; Bogel-Łukasik, E.; Hofman, T. The phase envelopes of alternative solvents (ionic liquid, CO2) and building blocks of biomass origin (lactic acid, propionic acid). Fluid. Phase Equilibr. 2010, 295, 177–185. [Google Scholar] [CrossRef]
Disclaimer/Publisher’s Note: The statements, opinions and data contained in all publications are solely those of the individual author(s) and contributor(s) and not of MDPI and/or the editor(s). MDPI and/or the editor(s) disclaim responsibility for any injury to people or property resulting from any ideas, methods, instructions or products referred to in the content. |
© 2024 by the authors. Licensee MDPI, Basel, Switzerland. This article is an open access article distributed under the terms and conditions of the Creative Commons Attribution (CC BY) license (https://creativecommons.org/licenses/by/4.0/).