Electrochemical Ammonia Synthesis from Dilute Gaseous Nitric Oxide Reduction at Ambient Conditions
Abstract
1. Introduction
2. Results and Discussion
2.1. Structural Characterizations
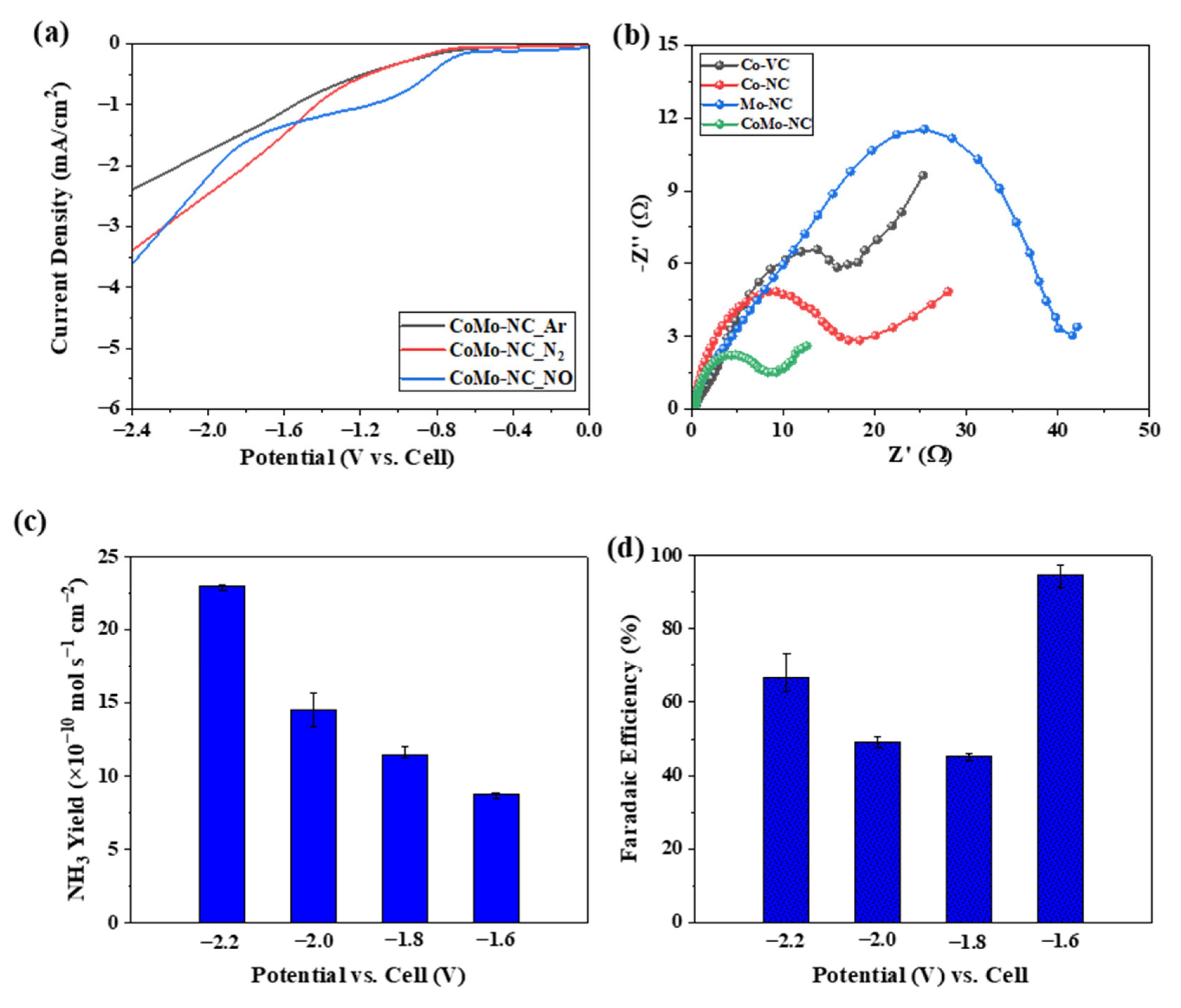
2.2. NORR Electrocatalytic Performance and Brief Discussion
2.3. Electrocatalyst Stability Tests
2.4. Origin of NH3 Yield
2.5. Catalyst Loading and NO Flowrate Effect
3. Materials and Methods
3.1. Catalysts Preparation
3.1.1. Preparation of Co-TPP and Mo-TPP
3.1.2. Preparation of Co-NC, Mo-NC, and CoMo-NC
3.2. Catalysts Characterization
3.3. Electrochemical Characterization
3.3.1. Electrode Fabrication
3.3.2. MEA Preparation
3.4. Product Quantification
3.5. Equations Used for Calculation
4. Conclusions
Supplementary Materials
Author Contributions
Funding
Data Availability Statement
Acknowledgments
Conflicts of Interest
References
- Niu, H.; Zhang, Z.; Wang, X.; Wan, X.; Kuai, C.; Guo, Y. A Feasible Strategy for Identifying Single-Atom Catalysts Toward Electrochemical NO-to-NH3 Conversion. Small 2021, 17, 2102396. [Google Scholar] [CrossRef] [PubMed]
- Ramu, A.G.; Renukadevi, R.; Silambarasan, P.; Moon, I.S.; Govindarasu, M.; Choi, D. Discovering a catholyte-free design for gas phase electrocatalytic NO gas reduction to NH3 at room temperature. J. Environ. Chem. Eng. 2023, 11, 110751. [Google Scholar] [CrossRef]
- Markandaraj, S.S.; Muthusamy, T.; Shanmugam, S. Electrochemical Reduction of Nitric Oxide with 1.7% Solar-to-Ammonia Efficiency over Nanostructured Core-Shell Catalyst at Low Overpotentials. Adv. Sci. 2022, 9, 220141. [Google Scholar] [CrossRef] [PubMed]
- Long, J.; Chen, S.; Zhang, Y.; Guo, C.; Fu, X.; Deng, D.; Xiao, J. Direct Electrochemical Ammonia Synthesis from Nitric Oxide. Angew. Chem. 2020, 59, 9711–9718. [Google Scholar] [CrossRef]
- Zhang, H.; Li, Y.; Cheng, C.; Zhou, J.; Yin, P.; Wu, H.; Liang, Z.; Zhang, J.; Yun, Q.; Wang, L.; et al. Isolated Electron-Rich Ruthenium Atoms in Intermetallic Compounds for Boosting Electrochemical Nitric Oxide Reduction to Ammonia. Angew. Chem. 2023, 62, 202213351. [Google Scholar] [CrossRef]
- Han, L.; Cai, S.; Gao, M.; Hasegawa, J.Y.; Wang, P.; Zhang, J.; Shi, L.; Zhang, D. Selective Catalytic Reduction of NOx with NH3 by Using Novel Catalysts: State-of-the-Art and Future Prospects. Chem Rev. 2019, 119, 10916–10976. [Google Scholar] [CrossRef] [PubMed]
- Fan, J.; Lv, M.; Luo, W.; Ran, X.; Deng, Y.; Zhang, W.; Yang, J. Exposed metal oxide active sites on mesoporous titania channels: A promising design for low temperature selective catalytic reduction of NO with NH3. Chem. Commun. 2018, 54, 3783–3786. [Google Scholar] [CrossRef]
- Skalska, K.; Miller, J.S.; Ledakowicz, S. Trends in NOx abatement: A review. Sci. Total Environ. 2010, 408, 3976–3989. [Google Scholar] [CrossRef]
- Kim, D.H.; Ringe, S.; Kim, H.; Kim, S.; Kim, B.; Bae, G.; Oh, H.S.; Jaouen, F.; Kim, W.; Kim, H.; et al. Selective electrochemical reduction of nitric oxide to hydroxylamine by atomically dispersed iron catalyst. Nat. Commun. 2021, 12, 1856. [Google Scholar] [CrossRef]
- Zhang, L.; Liang, J.; Wang, Y.; Mou, T.; Lin, Y.; Yue, L.; Li, T.; Liu, Q.; Luo, Y.; Li, N.; et al. High-performance electrochemical NO reduction into NH3 by MoS2 nanosheet. Angew. Chem. 2021, 60, 25263–25268. [Google Scholar] [CrossRef]
- Xiao, Y.; Shen, C. Transition-metal borides (MBenes) as new high-efficiency catalysts for nitric oxide electroreduction to ammonia by a high-throughput approach. Small 2021, 17, 2100776. [Google Scholar] [CrossRef] [PubMed]
- Song, P.; Wang, H.; Kang, L.; Ran, B.; Song, H.; Wang, R. Electrochemical nitrogen reduction to ammonia at ambient conditions on nitrogen and phosphorus co-doped porous carbon. Chem. Commun. 2019, 55, 687–690. [Google Scholar] [CrossRef] [PubMed]
- Kim, D.; Shin, D.; Heo, J.; Lim, H.; Lim, J.; Jeong, H.M.; Kim, B.; Heo, I.; Oh, I.; Lee, B.; et al. Unveiling Electrode–Electrolyte Design-Based NO Reduction for NH3 Synthesis. ACS Energy Lett. 2020, 5, 3647–3656. [Google Scholar] [CrossRef]
- Chen, X.; Guo, Y.; Du, X.; Zeng, Y.; Chu, J.; Gong, C.; Huang, J.; Fan, C.; Wang, X.; Xiong, J. Atomic Structure Modification for Electrochemical Nitrogen Reduction to Ammonia. Adv. Energy Mater. 2019, 10, 1903172. [Google Scholar] [CrossRef]
- Yesudoss, D.K.; Chun, H.; Han, B.; Shanmugam, S. Accelerated N2 reduction kinetics in hybrid interfaces of NbTiO4 and nitrogen-doped carbon nanorod via synergistic electronic coupling effect. Appl. Catal. B 2022, 304, 120938. [Google Scholar] [CrossRef]
- Kwon, Y.; Kim, S.K.; Kim, Y.B.; Son, S.J.; Nam, G.D.; Park, H.J.; Cho, W.; Yoon, H.C.; Joo, J.H. Nitric oxide utilization for ammonia production using solid electrolysis cell at atmospheric pressure. ACS Energy Lett. 2021, 6, 4165–4172. [Google Scholar] [CrossRef]
- Colucci, J.A.; Foral, M.J.; Langer, S.H. Nitric oxide reduction at noble metal electrodes: A voltammetric study in acid solution. Electrochim. Acta 1985, 30, 1675–1685. [Google Scholar] [CrossRef]
- Peng, X.; Mi, Y.; Bao, H.; Liu, Y.; Qi, D.; Qiu, Y.; Zhuo, L.; Zhao, S.; Sun, J.; Tang, X. Ambient electrosynthesis of ammonia with efficient denitration. Nano Energy 2020, 78, 105321. [Google Scholar] [CrossRef]
- Li, Z.; Ma, Z.; Liang, J.; Ren, Y.; Li, T.; Xu, S.; Liu, Q.; Li, N.; Tang, B.; Liu, Y. MnO2 nanoarray with oxygen vacancies: An efficient catalyst for NO electroreduction to NH3 at ambient conditions. Mater. Today Phys. 2022, 22, 100586. [Google Scholar] [CrossRef]
- Mou, T.; Liang, J.; Ma, Z.; Zhang, L.; Lin, Y.; Li, T.; Liu, Q.; Luo, Y.; Liu, Y.; Gao, S. High-efficiency electrohydrogenation of nitric oxide to ammonia on a Ni2P nanoarray under ambient conditions. J. Mater. Chem. A 2021, 9, 24268–24275. [Google Scholar] [CrossRef]
- Shi, J.; Wang, C.; Yang, R.; Chen, F.; Meng, N.; Yu, Y.; Zhang, B. Promoting nitric oxide electroreduction to ammonia over electron-rich Cu modulated by Ru Doping. Sci. China Chem. 2021, 64, 1493–1497. [Google Scholar] [CrossRef]
- Yuyeon, S.; Renata, A.M.; Vincent, R.; Benoît, L.; Sangaraju, S. Nickel Nanoparticles Confined in Core–Shell Derived from Covalent Organic Framework for the Efficient Electrocatalytic NO Reduction to NH3. ACS Appl. Energy Mater. 2024, 7, 2514–2523. [Google Scholar]
- Fengyu, G.; Ting, S.; Yaru, L.; Shunzheng, Z.; Yaxin, N.; Honghong, Y.; Yuansong, Z.; Xiaolong, T. Study on electrocatalysis NORR properties to produce NH3 over the Cu-based catalyst modified by Co-doping using in-situ electrodeposition method. Fuel 2024, 374, 132412. [Google Scholar]
- Zhaodong, N.; Shiying, F.; Xinyong, L. Efficient electrocatalytic nitric oxide reduction to ammonia using manganese spinel oxides. J. Mater. Chem. A 2024, 12, 19988–19994. [Google Scholar]
- Ogura, K.; Ishikawa, H. Electrochemical conversion of nitrous oxide into ammonia in the presence of iron complexes. J. Chem. Soc. Faraday Trans. 1 Phys. Chem. Condens. Phases 1984, 80, 2243–2253. [Google Scholar] [CrossRef]
- Cheon, S.; Kim, W.J.; Kim, D.Y.; Kwon, Y.; Han, J.I. Electro-synthesis of ammonia from dilute nitric oxide on a gas diffusion electrode. ACS Energy Lett. 2022, 7, 958–965. [Google Scholar] [CrossRef]
- Pham, E.K.; Chang, S.-G. Removal of NO from flue gases by absorption to an iron (ii) thiochelate complex and subsequent reduction to ammonia. Nature 1994, 369, 139–141. [Google Scholar] [CrossRef]
- He, Q.; Wang, L.; Xiao, F.; Su, R.; Chen, L.; Jiang, Y.; Jia, B.; He, P.; Zeng, Y.; Zhou, Y.; et al. Strongly coupled cobalt–molybdenum–boron nanoparticles anchored on graphene oxide as highly efficient electrocatalyst for oxygen evolution reaction. Ionics 2024, 30, 2259–2271. [Google Scholar] [CrossRef]
- Kumar, P.; Kannimuthu, K.; Zeraati, A.S.; Roy, S.; Wang, X.; Wang, X.; Samanta, S.; Miller, K.A.; Molina, M.; Trivedi, D.; et al. High-Density Cobalt Single-Atom Catalysts for Enhanced Oxygen Evolution Reaction. J. Am. Chem. Soc. 2023, 145, 8052–8063. [Google Scholar] [CrossRef]
- Chung, S.; Ju, H.; Choi, M.; Yoon, D.; Lee, J. Local Proton Source Enhanced Nitrogen Reduction on a Combined Cobalt-Molybdenum Catalyst for Electrochemical Ammonia Synthesis. Angew. Chem. 2022, 61, 202212676. [Google Scholar] [CrossRef]
- O’Donnell, S.; Snelgrove, M.; Shiel, K.; Weiland, C.; Hughes, G.; Woicik, J.; O’Neill, D.; Jose, F.; McFeely, C.; O’Connor, R. Growth chemistry of cobalt nitride by plasma enhanced atomic layer deposition. Mater. Res. Express 2022, 9, 106402. [Google Scholar] [CrossRef]
- Kumar, A.; Srivastava, P.C. X-ray photoelectron spectroscopy (XPS) study of Heusler alloy (Co2FeAl) interfaced with semiconductor (n-Si) structure. Mater. Sci.-Pol. 2019, 37, 116–121. [Google Scholar] [CrossRef]
- Wan, H.; Bagger, A.; Rossmeisl, J. Electrochemical Nitric Oxide Reduction on Metal Surfaces. Angew. Chem. 2021, 60, 21966–21972. [Google Scholar] [CrossRef] [PubMed]
- Chen, S.; Perathoner, S.; Ampelli, C.; Mebrahtu, C.; Su, D.; Centi, G. Electrocatalytic Synthesis of Ammonia at Room Temperature and Atmospheric Pressure from Water and Nitrogen on a Carbon-Nanotube-Based Electrocatalyst. Angew. Chem. 2017, 129, 2743–2747. [Google Scholar] [CrossRef]
- Song, Y.; Johnson, D.; Peng, R.; Hensley, D.K.; Bonnesen, P.V.; Liang, L.; Huang, J.; Yang, F.; Zhang, F.; Qiao, R.; et al. A physical catalyst for the electrolysis of nitrogen to ammonia. Sci. Adv. 2018, 4, e1700336. [Google Scholar] [CrossRef]
- Bunea, S.; Coppens, M.; Urakawa, A. Electrochemical Conversion of NO to NH3 in a PEM Cell. ACS Catal. 2023, 17, 11345–11351. [Google Scholar] [CrossRef]
- Harish, R.I.; Dinesh, D.; Yuyeon, S.; Sangaraju, S. Tuning the electrocatalytic nitric oxide reduction activity of copper through alloying with nickel for NH3 production at low overpotentials. J. Mater. Chem. A 2024, 12, 16052–16062. [Google Scholar]
- Yechuan, Z.; Jiachen, Z.; Fang, P.; Huajun, Y.; Zhengxiang, G.; Hanjun, S. Copper rhodium nanosheet alloy for electrochemical NO reduction reaction via selective intermediate adsorption. J. Mater. Chem. A 2024, 12, 15651–15657. [Google Scholar]
- Chen, K.; Shen, P.; Zhang, N.; Ma, D.; Chu, K. Electrocatalytic NO Reduction to NH3 on Mo2C Nanosheets. Inorg. Chem. 2023, 62, 653–658. [Google Scholar] [CrossRef]
- Wu, D.; He, B.; Wang, Y.; Lv, P.; Ma, D.; Jia, Y. Double-atom catalysts for energy-related electrocatalysis applications: A theoretical perspective. J. Phys. D Appl. Phys. 2022, 55, 203001. [Google Scholar] [CrossRef]
- Lv, P.; Wu, D.; He, B.; Li, X.; Zhu, R.; Tang, G.; Lu, Z.; Ma, D.; Jia, Y. An efficient screening strategy towards multifunctional catalysts for the simultaneous electroreduction of NO3−, NO2− and NO to NH3. J. Mater. Chem. A 2022, 10, 9707–9716. [Google Scholar] [CrossRef]
- He, B.; Lv, P.; Wu, D.; Li, X.; Zhu, R.; Chu, K.; Ma, D.; Jia, Y. Confinement catalysis of a single atomic vacancy assisted by aliovalent ion doping enabled efficient NO electroreduction to NH3. J. Mater. Chem. A 2022, 10, 18690–18700. [Google Scholar] [CrossRef]
- Yao, X.; Huang, L.; Halpren, E.; Chen, L.Z.; Chen, L.; Singh, C.V. Structural Self-Regulation-Promoted NO Electroreduction on Single Atoms. J. Am. Chem. Soc. 2023, 48, 26249–26256. [Google Scholar] [CrossRef] [PubMed]
- Anantharaj, S.; Kundu, S. Do the Evaluation Parameters Reflect Intrinsic Activity of Electrocatalysts in Electrochemical Water Splitting? ACS Energy Lett. 2019, 6, 1260–1264. [Google Scholar] [CrossRef]
- He, X.; He, Q.; Deng, Y. A versatile route to fabricate single atom catalysts with high chemoselectivity and regioselectivity in hydrogenation. Nat. Commun. 2019, 10, 3663. [Google Scholar] [CrossRef]






| Abbreviations | Meaning |
|---|---|
| Co-VC | Cobalt doped Vulcan Carbon |
| Co-NC | Cobalt-embedded Nitrogen-doped Carbon |
| Mo-NC | Molybdenum-embedded Nitrogen-doped Carbon |
| CoMo-NC | Cobalt, Molybdenum-embedded Nitrogen-doped Carbon |
Disclaimer/Publisher’s Note: The statements, opinions and data contained in all publications are solely those of the individual author(s) and contributor(s) and not of MDPI and/or the editor(s). MDPI and/or the editor(s) disclaim responsibility for any injury to people or property resulting from any ideas, methods, instructions or products referred to in the content. |
© 2024 by the authors. Licensee MDPI, Basel, Switzerland. This article is an open access article distributed under the terms and conditions of the Creative Commons Attribution (CC BY) license (https://creativecommons.org/licenses/by/4.0/).
Share and Cite
Rasheed, H.U.; Kim, J.H.; Kim, T.-S.; Lee, K.; Shim, J.; Kim, S.H.; Yoon, H.C. Electrochemical Ammonia Synthesis from Dilute Gaseous Nitric Oxide Reduction at Ambient Conditions. Catalysts 2024, 14, 838. https://doi.org/10.3390/catal14110838
Rasheed HU, Kim JH, Kim T-S, Lee K, Shim J, Kim SH, Yoon HC. Electrochemical Ammonia Synthesis from Dilute Gaseous Nitric Oxide Reduction at Ambient Conditions. Catalysts. 2024; 14(11):838. https://doi.org/10.3390/catal14110838
Chicago/Turabian StyleRasheed, Haroon Ur, Jae Hyung Kim, Taek-Seung Kim, Kyungho Lee, Joonmok Shim, Sung Hyung Kim, and Hyung Chul Yoon. 2024. "Electrochemical Ammonia Synthesis from Dilute Gaseous Nitric Oxide Reduction at Ambient Conditions" Catalysts 14, no. 11: 838. https://doi.org/10.3390/catal14110838
APA StyleRasheed, H. U., Kim, J. H., Kim, T.-S., Lee, K., Shim, J., Kim, S. H., & Yoon, H. C. (2024). Electrochemical Ammonia Synthesis from Dilute Gaseous Nitric Oxide Reduction at Ambient Conditions. Catalysts, 14(11), 838. https://doi.org/10.3390/catal14110838

