Influence of the La0.2Sr0.7Ti0.95Ni0.05O3 (LSTN) Synthesis Method on SOFC Anode Performance
Abstract
1. Introduction
2. Results and Discussion
2.1. LSTN Powders Characterization
2.2. Nickel Exsolution from LSTN
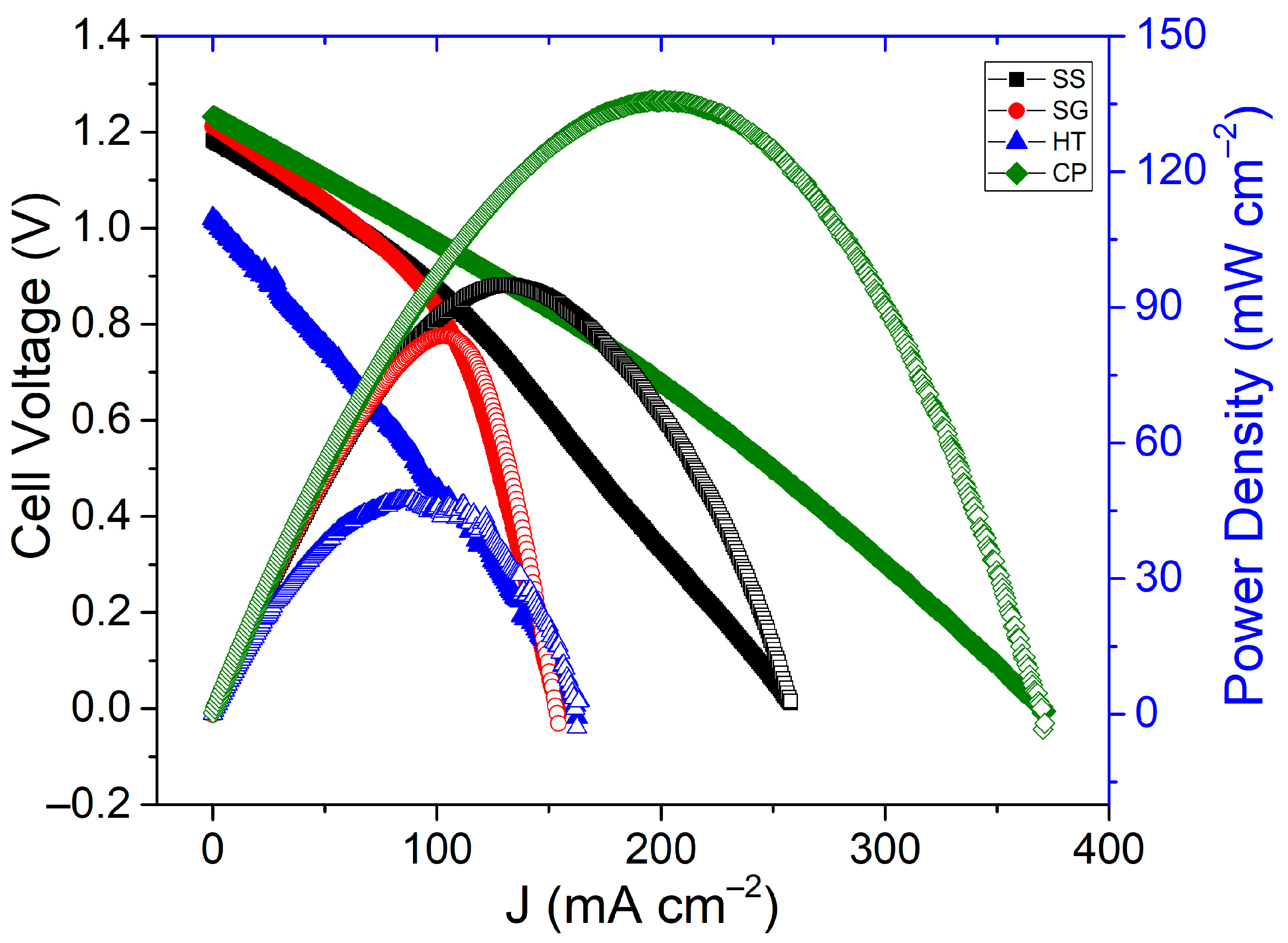
2.3. Fuel Cell Performance
2.4. Electrochemical Impedance Spectroscopy and Stability Testing
3. Experimental
3.1. Catalyst Precursors and Chemicals
3.2. LSTN Catalyst Synthesis
3.2.1. Solid State Reaction
3.2.2. Sol-Gel Combustion Synthesis
3.2.3. Hydrothermal Synthesis
3.2.4. Co-Precipitation Synthesis
3.3. Fuel Cell Fabrication
3.4. Fuel Cell Performance and Stability Testing
3.5. Material Characterization
4. Conclusions
Supplementary Materials
Author Contributions
Funding
Data Availability Statement
Conflicts of Interest
References
- Stambouli, A.B.; Traversa, E. Solid Oxide Fuel Cells (SOFCs): A Review of an Environmentally Clean and Efficient Source of Energy. Renew. Sustain. Energy Rev. 2002, 6, 433–455. [Google Scholar] [CrossRef]
- Jiang, S.P.; Chan, S.H. A Review of Anode Materials Development in Solid Oxide Fuel Cells. J. Mater. Sci. 2004, 39, 4405–4439. [Google Scholar] [CrossRef]
- Mahato, N.; Banerjee, A.; Gupta, A.; Omar, S.; Balani, K. Progress in Material Selection for Solid Oxide Fuel Cell Technology: A Review. Prog. Mater. Sci. 2015, 72, 141–337. [Google Scholar] [CrossRef]
- Li, X.; Zhao, H.; Xu, N.; Zhou, X.; Zhang, C.; Chen, N. Electrical Conduction Behavior of La, Co Co-Doped SrTiO3perovskite as Anode Material for Solid Oxide Fuel Cells. Int. J. Hydrogen Energy 2009, 34, 6407–6414. [Google Scholar] [CrossRef]
- Burnat, D.; Heel, A.; Holzer, L.; Kata, D.; Lis, J.; Graule, T. Synthesis and Performance of A-Site Deficient Lanthanum-Doped Strontium Titanate by Nanoparticle Based Spray Pyrolysis. J. Power Sources 2012, 201, 26–36. [Google Scholar] [CrossRef]
- Slater, P.R.; Fagg, D.P.; Irvine, J.T.S. Synthesis and Electrical Characterisation of Doped Perovskite Titanates as Potential Anode Materials for Solid Oxide Fuel Cells. J. Mater. Chem. 1997, 7, 2495–2498. [Google Scholar]
- Park, B.H.; Choi, G.M. Performance and Redox-Stability of La and Ni Co-Doped SrTiO3 Anode of Solid Oxide Fuel Cell. ECS Trans. 2015, 68, 1473–1479. [Google Scholar] [CrossRef]
- Park, B.H.; Choi, G.M. Redox Stability of La0.2Sr0.7Ti0.9Ni0.1O3-δ (LSTN)-Gd0.2Ce0.8O2-δ (GDC) Composite Anode. Int. J. Hydrogen Energy 2017, 42, 28559–28566. [Google Scholar] [CrossRef]
- Athayde, D.D.; Souza, D.F.; Silva, A.M.A.; Vasconcelos, D.; Nunes, E.H.M.; Diniz da Costa, J.C.; Vasconcelos, W.L. Review of Perovskite Ceramic Synthesis and Membrane Preparation Methods. Ceram. Int. 2015, 42, 6555–6571. [Google Scholar] [CrossRef]
- Singh, S.; Zubenko, D.; Rosen, B.A. Influence of LaNiO3 Shape on Its Solid-Phase Crystallization into Coke-Free Reforming Catalysts. ACS Catal. 2016, 6, 4199–4205. [Google Scholar] [CrossRef]
- Xu, X.; Pan, Y.; Zhou, W.; Chen, Y.; Zhang, Z.; Shao, Z. Toward Enhanced Oxygen Evolution on Perovskite Oxides Synthesized from Different Approaches: A Case Study of Ba0.5Sr0.5Co0.8Fe0.2O3−δ. Electrochim. Acta 2016, 219, 553–559. [Google Scholar] [CrossRef]
- Kumar, M.; Srikanth, S.; Ravikumar, B.; Alex, T.C.; Das, S.K. Synthesis of Pure and Sr-Doped LaGaO3, LaFeO3 and LaCoO3 and Sr,Mg-Doped LaGaO3 for ITSOFC Application Using Different Wet Chemical Routes. Mater. Chem. Phys. 2009, 113, 803–815. [Google Scholar] [CrossRef]
- da Conceição, L.; Silva, C.R.B.; Ribeiro, N.F.P.; Souza, M.M.V.M. Influence of the Synthesis Method on the Porosity, Microstructure and Electrical Properties of La0.7Sr0.3MnO3 Cathode Materials. Mater. Charact. 2009, 60, 1417–1423. [Google Scholar] [CrossRef]
- Bevilacqua, M.; Montini, T.; Tavagnacco, C.; Vicario, G.; Fornasiero, P.; Graziani, M. Influence of Synthesis Route on Morphology and Electrical Properties of LaNi0.6Fe0.4O3. Solid State Ion. 2006, 177, 2957–2965. [Google Scholar] [CrossRef]
- Bell, R.J.; Millar, G.J.; Drennan, J. Influence of Synthesis Route on the Catalytic Properties of La1-XSrxMnO3. Solid State Ion. 2000, 131, 211–220. [Google Scholar] [CrossRef]
- Sfeir, J.; Vaucher, S.; Holtappels, P.; Vogt, U.; Schindler, H.J.; Van Herle, J.; Suvorova, E.; Buffat, P.; Perret, D.; Xanthopoulos, N.; et al. Characterization of Perovskite Powders for Cathode and Oxygen Membranes Made by Different Synthesis Routes. J. Eur. Ceram. Soc. 2005, 25, 1991–1995. [Google Scholar] [CrossRef]
- Shao, Z.; Zhou, W.; Zhu, Z. Advanced Synthesis of Materials for Intermediate-Temperature Solid Oxide Fuel Cells. Prog. Mater. Sci. 2012, 57, 804–874. [Google Scholar] [CrossRef]
- Xu, X.; Wang, W.; Zhou, W.; Shao, Z. Recent Advances in Novel Nanostructuring Methods of Perovskite Electrocatalysts for Energy-Related Applications. Small Methods 2018, 2, 1800071. [Google Scholar] [CrossRef]
- Huang, K. An Emerging Platform for Electrocatalysis: Perovskite Exsolution. Sci. Bull. 2016, 61, 1783–1784. [Google Scholar] [CrossRef]
- Santaya, M.; Jiménez, C.E.; Arce, M.D.; Carbonio, E.A.; Toscani, L.M.; Garcia-Diez, R.; Knop-Gericke, A.; Mogni, L.V.; Bär, M.; Troiani, H.E. Exsolution versus Particle Segregation on (Ni,Co)-Doped and Undoped SrTi0.3Fe0.7O3-δ Perovskites: Differences and Influence of the Reduction Path on the Final System Nanostructure. Int. J. Hydrogen Energy 2023, 48, 38842–38853. [Google Scholar] [CrossRef]
- Myung, J.H.; Neagu, D.; Miller, D.N.; Irvine, J.T.S. Switching on Electrocatalytic Activity in Solid Oxide Cells. Nature 2016, 537, 528–531. [Google Scholar] [CrossRef]
- Zhu, S.; Fan, J.; Li, Z.; Wu, J.; Xiao, M.; Du, P.; Wang, X.; Jia, L. Metal Exsolution from Perovskite-Based Anode in Solid Oxide Fuel Cells. Chem. Commun. 2024. [Google Scholar] [CrossRef]
- Yang, J.; Zhou, J.; Liu, Z.; Sun, Y.; Yin, C.; Wang, K.; Li, R.; Zhou, Z.; Wu, K. Exploring Heterogeneous Phases in Highly A-Site-Deficient Titanate with Ni Exsolution. J. Power Sources 2023, 580, 233369. [Google Scholar] [CrossRef]
- Azough, F.; Jackson, S.S.; Ekren, D.; Freer, R.; Molinari, M.; Yeandel, S.R.; Panchmatia, P.M.; Parker, S.C.; Maldonado, D.H.; Kepaptsoglou, D.M.; et al. Concurrent La and A-Site Vacancy Doping Modulates the Thermoelectric Response of SrTiO3: Experimental and Computational Evidence. ACS Appl. Mater. Interfaces 2017, 9, 41988–42000. [Google Scholar] [CrossRef] [PubMed]
- Battle, P.D.; Bennett, J.E.; Sloan, J.; Tilley, R.J.D.; Vente, J.F. A-Site Cation-Vacancy Ordering in Sr(1-3x/2)La(x)TiO3: A Study by HRTEM. J. Solid State Chem. 2000, 149, 360–369. [Google Scholar] [CrossRef]
- Young, V.; Otagawa, T. XPS Studies on Strontium Compounds. Appl. Surf. Sci. 1985, 20, 228–248. [Google Scholar] [CrossRef]
- Greczynski, G.; Hultman, L. Towards Reliable X-Ray Photoelectron Spectroscopy: Sputter-Damage Effects in Transition Metal Borides, Carbides, Nitrides, and Oxides. Appl. Surf. Sci. 2021, 542, 148599. [Google Scholar] [CrossRef]
- Nagarkar, P.V.; Searson, P.C.; Gealy, F.D. Effect of Surface Treatment on SrTiO3: An x-Ray Photoelectron Spectroscopic Study. J. Appl. Phys. 1991, 69, 459–462. [Google Scholar] [CrossRef]
- Chan, C.-M.; Trigwell, S.; Duerig, T. Oxidation of an NiTi Alloy. Surf. Interface Anal. 1990, 15, 349–354. [Google Scholar] [CrossRef]
- Vasquez, R.P. SrTiO3 by XPS. Surf. Sci. Spectra 1992, 1, 129–135. [Google Scholar] [CrossRef]
- Cavazzani, J.; Squizzato, E.; Brusamarello, E.; Glisenti, A. Exsolution in Ni-Doped Lanthanum Strontium Titanate: A Perovskite-Based Material for Anode Application in Ammonia-Fed Solid Oxide Fuel Cell. Int. J. Hydrogen Energy 2022, 47, 13921–13932. [Google Scholar] [CrossRef]
- Vasquez, R.P. X-Ray Photoelectron Spectroscopy Study of Sr and Ba Compounds. J. Electron Spectros. Relat. Phenomena 1991, 56, 217–240. [Google Scholar] [CrossRef]
- Uwamino, Y.; Ishizuka, T.; Yamatera, H. X-Ray Photoelectron Compounds Spectroscopy of Rare-Earth. J. Electron Spectros. Relat. Phenomena 1984, 34, 67–78. [Google Scholar] [CrossRef]
- Mansour, A.N. Characterization of NiO by XPS. Surf. Sci. Spectra 1994, 3, 231–238. [Google Scholar] [CrossRef]
- Mansour, A.N. Nickel Monochromated Al Kα XPS Spectra from the Physical Electronics Model 5400 Spectrometer. Surf. Sci. Spectra 1994, 3, 221–230. [Google Scholar] [CrossRef]
- Mcintyre, N.S.; Cook, M.G. X-Ray Photoelectron Studies on Some Oxides and Hydroxides of Cobalt, Nickel, and Copper. Anal. Chem. 1975, 47, 2208–2213. [Google Scholar] [CrossRef]
- Van der Heide, P. X-ray Photoelectron Spectroscopy: An Introduction to Principles and Practices; John Wiley & Sons: Hoboken, NJ, USA, 2011. [Google Scholar]
- Neagu, D.; Tsekouras, G.; Miller, D.N.; Ménard, H.; Irvine, J.T.S. In Situ Growth of Nanoparticles through Control of Non-Stoichiometry. Nat. Chem. 2013, 5, 916–923. [Google Scholar] [CrossRef] [PubMed]
- Steiger, P.; Alxneit, I.; Ferri, D. Nickel Incorporation in Perovskite-Type Metal Oxides—Implications on Reducibility. Acta Mater. 2019, 164, 568–576. [Google Scholar] [CrossRef]
- Lee, J.J.; Kim, K.; Kim, K.J.; Kim, H.J.; Lee, Y.M.; Shin, T.H.; Han, J.W.; Lee, K.T. In-Situ Exsolution of Ni Nanoparticles to Achieve an Active and Stable Solid Oxide Fuel Cell Anode Catalyst on A-Site Deficient La0.4Sr0.4Ti0.94Ni0.06O3-δ. J. Ind. Eng. Chem. 2021, 103, 264–274. [Google Scholar] [CrossRef]
- Steiger, P.; Burnat, D.; Madi, H.; Mai, A.; Holzer, L.; Van Herle, J.; Kröcher, O.; Heel, A.; Ferri, D. Sulfur Poisoning Recovery on a Solid Oxide Fuel Cell Anode Material through Reversible Segregation of Nickel. Chem. Mater. 2019, 31, 748–758. [Google Scholar] [CrossRef]
- Kwon, O.; Joo, S.; Choi, S.; Sengodan, S.; Kim, G. Review on Exsolution and Its Driving Forces in Perovskites. J. Phys. Energy 2020, 2, 032001. [Google Scholar] [CrossRef]
- Singh, S.; Prestat, E.; Huang, L.F.; Rondinelli, J.M.; Haigh, S.J.; Rosen, B.A. Role of 2D and 3D Defects on the Reduction of LaNiO3 Nanoparticles for Catalysis. Sci. Rep. 2017, 7, 10080. [Google Scholar] [CrossRef]
- Bornovski, R.; Huang, L.F.; Komarala, E.P.; Rondinelli, J.M.; Rosen, B.A. Catalytic Enhancement of CO Oxidation on LaFeO3 Regulated by Ruddlesden-Popper Stacking Faults. ACS Appl. Mater. Interfaces 2019, 11, 33850–33858. [Google Scholar] [CrossRef]
- Neagu, D.; Oh, T.S.; Miller, D.N.; Ménard, H.; Bukhari, S.M.; Gamble, S.R.; Gorte, R.J.; Vohs, J.M.; Irvine, J.T.S. Nano-Socketed Nickel Particles with Enhanced Coking Resistance Grown in Situ by Redox Exsolution. Nat. Commun. 2015, 6, 8120. [Google Scholar] [CrossRef] [PubMed]
- Zhou, X.; Yan, N.; Chuang, K.T.; Luo, J. Progress in La-Doped SrTiO3 (LST)-Based Anode Materials for Solid Oxide Fuel Cells. RSC Adv. 2014, 4, 118–131. [Google Scholar] [CrossRef]
- Hussain, S.; Yangping, L. Review of Solid Oxide Fuel Cell Materials: Cathode, Anode, and Electrolyte. Energy Transit. 2020, 4, 113–126. [Google Scholar] [CrossRef]
- Bilal Hanif, M.; Motola, M.; Qayyum, S.; Rauf, S.; Khalid, A.; Li, C.J.; Li, C.X. Recent Advancements, Doping Strategies and the Future Perspective of Perovskite-Based Solid Oxide Fuel Cells for Energy Conversion. Chem. Eng. J. 2022, 428, 132603. [Google Scholar] [CrossRef]
- Jiang, S.P.; Badwal, S.P.S. Hydrogen Oxidation at the Nickel and Platinum Electrodes on Yttria-Tetragonal Zirconia Electrolyte. J. Electrochem. Soc. 1997, 144, 3777–3784. [Google Scholar] [CrossRef]
- Minh, N.Q. Solid Oxide Fuel Cell Technology—Features and Applications. Solid State Ionics 2004, 174, 271–277. [Google Scholar] [CrossRef]
- Arrivé, C.; Delahaye, T.; Joubert, O.; Gauthier, G. Exsolution of Nickel Nanoparticles at the Surface of a Conducting Titanate as Potential Hydrogen Electrode Material for Solid Oxide Electrochemical Cells. J. Power Sources 2013, 223, 341–348. [Google Scholar] [CrossRef]
- Qianli, M.; Tietz, F.; Leonide, A.; Ivers-Tiffée, E. Impedance Studies on Solid Oxide Fuel Cells with Yttrium-Substituted SrTiO3 Ceramic Anodes. ECS Trans. 2011, 35, 1421–1433. [Google Scholar] [CrossRef]
- Burnat, D.; Nasdaurk, G.; Holzer, L.; Kopecki, M.; Heel, A. Lanthanum Doped Strontium Titanate—Ceria Anodes: Deconvolution of Impedance Spectra and Relationship with Composition and Microstructure. J. Power Sources 2018, 385, 62–75. [Google Scholar] [CrossRef]
- Tao, S.; Irvine, J.T.S. Synthesis and Characterization of (La0.75Sr0.25)Cr0.5Mn0.5O3-δ, a Redox-Stable, Efficient Perovskite Anode for SOFCs. J. Electrochem. Soc. 2004, 151, 252–259. [Google Scholar] [CrossRef]
- Cheng, J. Synthesis of LAXSR1-XTIO3anode Materials by Sol-Gel Auto-Combustion Method. J. Chil. Chem. Soc. 2012, 57, 969–971. [Google Scholar] [CrossRef][Green Version]
- Beale, A.M.; Paul, M.; Sankar, G.; Oldman, R.J.; Catlow, C.R.A.; French, S.; Fowles, M. Combined Experimental and Computational Modelling Studies of the Solubility of Nickel in Strontium Titanate. J. Mater. Chem. 2009, 19, 4391–4400. [Google Scholar] [CrossRef]
- Zhang, F.; Karaki, T.; Adachi, M. Synthesis of Nanosized (Pb,Sr)TiO3 perovskite Powders by Coprecipitation Processing. Powder Technol. 2005, 159, 13–16. [Google Scholar] [CrossRef]









| Synthesis Method | Calcination Temperature (°C) | Cell Parameter a0 (Å) | Phases in XRD | BET Surface Area (m2/g) |
|---|---|---|---|---|
| Solid state | 1200 | 3.905 | LSTN, Sr2TiO4 | 15.8 |
| Sol-gel | 1000 | 3.904 | LSTN, Sr2TiO4, TiO2 rutile | 19.2 |
| Hydrothermal | No calcination | 3.914 | LSTN, LaSrO2.5, SrCO3, La2O2CO3 | 34.2 |
| Co-precipitation | 900 | 3.911 | LSTN, LaSrO2.5 | 39.8 |
Disclaimer/Publisher’s Note: The statements, opinions and data contained in all publications are solely those of the individual author(s) and contributor(s) and not of MDPI and/or the editor(s). MDPI and/or the editor(s) disclaim responsibility for any injury to people or property resulting from any ideas, methods, instructions or products referred to in the content. |
© 2024 by the authors. Licensee MDPI, Basel, Switzerland. This article is an open access article distributed under the terms and conditions of the Creative Commons Attribution (CC BY) license (https://creativecommons.org/licenses/by/4.0/).
Share and Cite
Dahan, M.; Fadeev, L.; Hayun, H.; Gozin, M.; Gelbstein, Y.; Rosen, B.A. Influence of the La0.2Sr0.7Ti0.95Ni0.05O3 (LSTN) Synthesis Method on SOFC Anode Performance. Catalysts 2024, 14, 79. https://doi.org/10.3390/catal14010079
Dahan M, Fadeev L, Hayun H, Gozin M, Gelbstein Y, Rosen BA. Influence of the La0.2Sr0.7Ti0.95Ni0.05O3 (LSTN) Synthesis Method on SOFC Anode Performance. Catalysts. 2024; 14(1):79. https://doi.org/10.3390/catal14010079
Chicago/Turabian StyleDahan, Moran, Ludmila Fadeev, Hagay Hayun, Michael Gozin, Yaniv Gelbstein, and Brian A. Rosen. 2024. "Influence of the La0.2Sr0.7Ti0.95Ni0.05O3 (LSTN) Synthesis Method on SOFC Anode Performance" Catalysts 14, no. 1: 79. https://doi.org/10.3390/catal14010079
APA StyleDahan, M., Fadeev, L., Hayun, H., Gozin, M., Gelbstein, Y., & Rosen, B. A. (2024). Influence of the La0.2Sr0.7Ti0.95Ni0.05O3 (LSTN) Synthesis Method on SOFC Anode Performance. Catalysts, 14(1), 79. https://doi.org/10.3390/catal14010079

