Electrocatalytic Hydrogen Evolution of Transition Metal (Fe, Co and Cu)–Corrole Complexes Bearing an Imidazole Group
Abstract
:1. Introduction
2. Results and Discussion
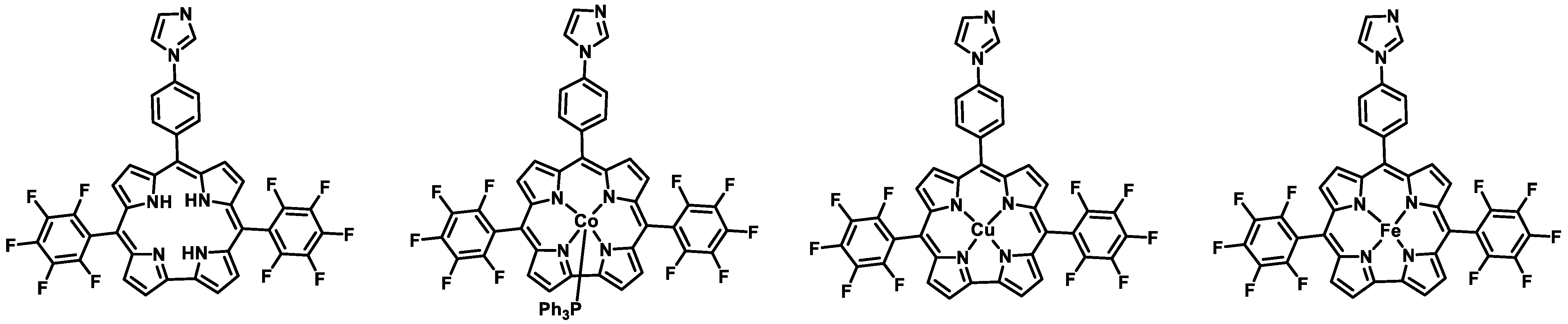
2.1. Synthesis and Characterization
2.1.1. UV-Vis of Freebase Corrole and Metal Complexes
2.1.2. Structural Characterization by Single-Crystal X-ray Diffraction
2.1.3. X-ray Photoelectron Spectroscopy
2.2. Cyclic Voltammetry Studies
2.3. Electrocatalytic Activity of Metal Corroles in DMF
2.4. Possible Catalytic Pathways for Hydrogen Production
2.5. Electrocatalytic Proton Reduction in Neutral Aqueous Media
3. Materials and Methods
- Synthesis of 5,15-bis-(pentafluorophenyl)-10-[4-(1H-imidazole)phenyl]-corrole
- Synthesis of cobalt 5,15-bis-(pentafluorophenyl)-10-[4-(1H-imidazole)phenyl]-corrole
- Synthesis of copper 5,15-bis-(pentafluorophenyl)-10-[4-(1H-imidazole)phenyl]-corrole
- Synthesis of iron 5,15-bis-(pentafluorophenyl)-10-[4-(1H-imidazole)phenyl]-corrole
4. Conclusions
Supplementary Materials
Author Contributions
Funding
Data Availability Statement
Acknowledgments
Conflicts of Interest
References
- Armaroli, N.; Balzani, V. The Hydrogen Issue. ChemSusChem 2011, 4, 21–36. [Google Scholar] [CrossRef] [PubMed]
- Seh, Z.W.; Kibsgaard, J.; Dickens, C.F.; Chorkendorff, I.; Nørskov, J.K.; Jaramillo, T.F. Combining theory and experiment in electrocatalysis: Insights into materials design. Science 2017, 355, eaad4998. [Google Scholar] [CrossRef] [PubMed]
- Sazali, N. Emerging technologies by hydrogen: A review. Int. J. Hydrogen Energy 2020, 45, 18753–18771. [Google Scholar] [CrossRef]
- Hosseini, S.E.; Butler, B. An overview of development and challenges in hydrogen powered vehicles. Int. J. Green Energy 2020, 17, 13–37. [Google Scholar] [CrossRef]
- Alshammari, B.H.; Begum, H.; Ibrahim, F.A.; Hamdy, M.S.; Oyshi, T.A.; Khatun, N.; Hasnat, M.A. Electrocatalytic Hydrogen Evolution Reaction from Acetic Acid over Gold Immobilized Glassy Carbon Surface. Catalysts 2023, 13, 744. [Google Scholar] [CrossRef]
- Xie, L.; Tian, J.; Ouyang, Y.; Guo, X.; Zhang, W.; Apfel, U.; Cao, R. Water-Soluble Polymers with Appending Porphyrins as Bioinspired Catalysts for the Hydrogen Evolution Reaction. Angew. Chem. Int. Ed. 2020, 59, 15844–15848. [Google Scholar] [CrossRef] [PubMed]
- Guo, X.; Wang, N.; Li, X.; Zhang, Z.; Zhao, J.; Ren, W.; Ding, S.; Xu, G.; Li, J.; Apfel, U.; et al. Homolytic versus Heterolytic Hydrogen Evolution Reaction Steered by a Steric Effect. Angew. Chem. Int. Ed. 2020, 59, 8941–8946. [Google Scholar] [CrossRef] [PubMed]
- Chen, X.; An, X.; Tang, L.; Chen, T.; Zhang, G. Confining platinum clusters in ZIF-8-derived porous N-doped carbon arrays for high-performance hydrogen evolution reaction. Chem. Eng. J. 2022, 429, 132259. [Google Scholar] [CrossRef]
- Xin, Y.; Wang, F.; Chen, L.; Li, Y.; Shen, K. Superior bifunctional cobalt/nitrogen-codoped carbon nanosheet arrays on copper foam enable stable energy-saving hydrogen production accompanied with glucose upgrading. Green Chem. 2022, 24, 6544–6555. [Google Scholar] [CrossRef]
- Li, H.; Li, X.; Lei, H.; Zhou, G.; Zhang, W.; Cao, R. Convenient Immobilization of Cobalt Corroles on Carbon Nanotubes through Covalent Bonds for Electrocatalytic Hydrogen and Oxygen Evolution Reactions. Chemsuschem 2019, 12, 801–806. [Google Scholar] [CrossRef]
- Lemon, C.M.; Huynh, M.; Maher, A.G.; Anderson, B.L.; Bloch, E.D.; Powers, D.C.; Nocera, D.G. Electronic Structure of Copper Corroles. Angew. Chem.-Int. Ed. 2016, 55, 2176–2180. [Google Scholar] [CrossRef] [PubMed]
- Peng, X.Y.; Han, J.X.; Li, X.L.; Liu, G.J.; Xu, Y.H.; Peng, Y.X.; Nie, S.; Li, W.Z.; Li, X.R.; Chen, Z.; et al. Electrocatalytic hydrogen evolution with a copper porphyrin bearing meso-(o-carborane) substituents. Chem. Commun. 2023, 59, 10777–10780. [Google Scholar] [CrossRef] [PubMed]
- Islam, M.N.; Ahmed, J.; Faisal, M.; Algethami, J.S.; Aoki, K.; Nagao, Y.; Harraz, F.A.; Hasnat, M.A. Efficient Electrocatalytic Hydrogen Evolution Reaction on CuO Immobilized Stainless-Steel Electrode Prepared by the SILAR Method. ChemistrySelect 2023, 8, e202301077. [Google Scholar] [CrossRef]
- Tatematsu, R.; Inomata, T.; Ozawa, T.; Masuda, H. Electrocatalytic Hydrogen Production by a Nickel(II) Complex with a Phosphinopyridyl Ligand. Angew. Chem. Int. Ed. 2016, 55, 5247–5250. [Google Scholar] [CrossRef] [PubMed]
- Simkhovich, L.; Mahammed, A.; Goldberg, I.; Gross, Z. Synthesis and Characterization of Germanium, Tin, Phosphorus, Iron, and Rhodium Complexes of Tris(pentafluorophenyl)corrole, and the Utilization of the Iron and Rhodium Corroles as Cyclopropanation Catalysts. Chem.—A Eur. J. 2001, 7, 1041–1055. [Google Scholar] [CrossRef]
- Zhang, W.; Lai, W.Z.; Cao, R. Energy-Related Small Molecule Activation Reactions: Oxygen Reduction and Hydrogen and Oxygen Evolution Reactions Catalyzed by Porphyrin- and Corrole-Based Systems. Chem. Rev. 2017, 117, 3717–3797. [Google Scholar] [CrossRef] [PubMed]
- Joseph, M.; Haridas, S. Recent progresses in porphyrin assisted hydrogen evolution. Int. J. Hydrogen Energy 2020, 45, 11954–11975. [Google Scholar] [CrossRef]
- Yu, B.; Chen, X.; Zhao, Y.; Chen, W.; Xiao, X.; Liu, H. Graphene Oxide-based Cobalt Porphyrin Composites for Electrocatalytic Hydrogen Evolution Reaction. Chem. J. Chin. Univ.-Chin. 2022, 43, 20210549. [Google Scholar]
- Beyene, B.B.; Hung, C.-H. Recent progress on metalloporphyrin-based hydrogen evolution catalysis. Coord. Chem. Rev. 2020, 410, 213234. [Google Scholar] [CrossRef]
- Li, X.; Lei, H.; Xie, L.; Wang, N.; Zhang, W.; Cao, R. Metalloporphyrins as Catalytic Models for Studying Hydrogen and Oxygen Evolution and Oxygen Reduction Reactions. Acc. Chem. Res. 2022, 55, 878–892. [Google Scholar] [CrossRef]
- Qi, X.W.; Yang, G.; Guo, X.S.; Si, L.P.; Zhang, H.; Liu, H.Y. Electrocatalytic Hydrogen Evolution by Water-Soluble Cobalt (II), Copper (II) and Iron (III) meso-Tetrakis(carboxyl)porphyrin. Eur. J. Inorg. Chem. 2023, 26, 8. [Google Scholar] [CrossRef]
- Di Natale, C.; Gros, C.P.; Paolesse, R. Corroles at work: A small macrocycle for great applications. Chem. Soc. Rev. 2022, 51, 1277–1335. [Google Scholar] [CrossRef] [PubMed]
- Zhang, D.-X.; Yuan, H.-Q.; Wang, H.-H.; Ali, A.; Wen, W.-H.; Xie, A.-N.; Zhan, S.-Z.; Liu, H.-Y. Transition metal tetrapentafluorophenyl porphyrin catalyzed hydrogen evolution from acetic acid and water. Transit. Met. Chem. 2017, 42, 773–782. [Google Scholar] [CrossRef]
- Wan, B.; Cheng, F.; Lan, J.; Zhao, Y.; Yang, G.; Sun, Y.M.; Si, L.P.; Liu, H.Y. Electrocatalytic hydrogen evolution of manganese corrole. Int. J. Hydrogen Energy 2023, 48, 5506–5517. [Google Scholar] [CrossRef]
- Lv, H.; Zhang, X.-P.; Guo, K.; Han, J.; Guo, H.; Lei, H.; Li, X.; Zhang, W.; Apfel, U.-P.; Cao, R. Coordination Tuning of Metal Porphyrins for Improved Oxygen Evolution Reaction. Angew. Chem. Int. Ed. 2023, 62, e202305938. [Google Scholar] [CrossRef] [PubMed]
- Lei, H.T.; Li, X.L.; Meng, J.; Zheng, H.Q.; Zhang, W.; Cao, R. Structure Effects of Metal Corroles on Energy-Related Small Molecule Activation Reactions. Acs Catal. 2019, 9, 4320–4344. [Google Scholar] [CrossRef]
- Mahammed, A.; Mondal, B.; Rana, A.; Dey, A.; Gross, Z. The cobalt corrole catalyzed hydrogen evolution reaction: Surprising electronic effects and characterization of key reaction intermediates. Chem. Commun. 2014, 50, 2725–2727. [Google Scholar] [CrossRef]
- Liu, Z.Y.; Lai, J.W.; Yang, G.; Ren, B.P.; Lv, Z.Y.; Si, L.P.; Zhang, H.; Liu, H.Y. Electrocatalytic hydrogen production by CN-substituted cobalt triaryl corroles. Catal. Sci. Technol. 2022, 12, 5125–5135. [Google Scholar] [CrossRef]
- Chen, H.; Huang, D.L.; Hossain, M.S.; Luo, G.T.; Liu, H.Y. Electrocatalytic activity of cobalt tris(4-nitrophenyl)corrole for hydrogen evolution from water. J. Coord. Chem. 2019, 72, 2791–2803. [Google Scholar] [CrossRef]
- Beyene, B.B.; Mane, S.B.; Leonardus, M.; Hung, C.H. Effects of Position and Electronic Nature of Substituents on Cobalt-Porphyrin-Catalyzed Hydrogen Evolution Reaction. ChemistrySelect 2017, 2, 10565–10571. [Google Scholar] [CrossRef]
- Lv, Z.-Y.; Yang, G.; Ren, B.-P.; Liu, Z.-Y.; Zhang, H.; Si, L.-P.; Liu, H.-Y.; Chang, C.-K. Electrocatalytic Hydrogen Evolution of the Cobalt Triaryl Corroles Bearing Hydroxyl Groups. Eur. J. Inorg. Chem. 2023, 26, e202200755. [Google Scholar] [CrossRef]
- Wang, N.; Zhang, X.P.; Han, J.X.; Lei, H.T.; Zhang, Q.X.; Zhang, H.; Zhang, W.; Apfel, U.P.; Cao, R. Promoting hydrogen evolution reaction with a sulfonic proton relay. Chin. J. Catal. 2023, 45, 88–94. [Google Scholar] [CrossRef]
- Peng, W.Y.; Lan, J.; Zhu, Z.M.; Si, L.P.; Zhang, H.; Zhan, S.Z.; Liu, H.Y. Synthesis of metal (Ga, Co and Fe) 5,15-bis(pentafluorophenyl)-10-ethox-ycarbonylcorrole and their electrocatalytic hydrogen evolution activity. Inorg. Chem. Commun. 2022, 140, 109453. [Google Scholar] [CrossRef]
- Sharma, V.K.; Mahammed, A.; Mizrahi, A.; Morales, M.; Fridman, N.; Gray, H.B.; Gross, Z. Dimeric Corrole Analogs of Chlorophyll Special Pairs. J. Am. Chem. Soc. 2021, 143, 9450–9460. [Google Scholar] [CrossRef] [PubMed]
- Yang, J.D.; Li, P.; Li, X.L.; Xie, L.S.; Wang, N.; Lei, H.T.; Zhang, C.C.; Zhang, W.; Lee, Y.M.; Zhang, W.Q.; et al. Crucial Roles of a Pendant Imidazole Ligand of a Cobalt Porphyrin Complex in the Stoichiometric and Catalytic Reduction of Dioxygen. Angew. Chem. Int. Ed. 2022, 61, 9. [Google Scholar]
- Koszarna, B.; Gryko, D.T. Efficient synthesis of meso-substituted corroles in a H2O-MeOH mixture. J. Org. Chem. 2006, 71, 3707–3717. [Google Scholar] [CrossRef] [PubMed]
- Yang, G.; Ullah, Z.; Yang, W.; Kwon, H.W.; Liang, Z.X.; Zhan, X.; Yuan, G.Q.; Liu, H.Y. Substituent Effect on Ligand-Centered Electrocatalytic Hydrogen Evolution of Phosphorus Corroles. ChemSusChem 2023, 16, e202300211. [Google Scholar] [CrossRef] [PubMed]
- Liang, Y.-Y.; Li, M.-Y.; Shi, L.; Lin, D.-Z.; Zhan, S.-Z.; Liu, H.-Y. Electrocatalytic hydrogen evolution by cobalt triaryl corroles with appended ester and carboxyl on the 10-phenyl group. J. Coord. Chem. 2021, 74, 1414–1424. [Google Scholar] [CrossRef]
- Lei, H.T.; Fang, H.Y.; Han, Y.Z.; Lai, W.Z.; Fu, X.F.; Cao, R. Reactivity and Pathway Studies of Hydrogen Evolution Catalyzed by Copper Corroles. ACS Catal. 2015, 5, 5145–5153. [Google Scholar] [CrossRef]
- Ding, D.N.; Shen, K.; Chen, X.D.; Chen, H.R.; Chen, J.Y.; Fan, T.; Wu, R.F.; Li, Y.W. Multi-Level Architecture Optimization of MOF-Templated Co-Based Nanoparticles Embedded in Hollow N-Doped Carbon Polyhedra for Efficient OER and ORR. ACS Catal. 2018, 8, 7879–7888. [Google Scholar] [CrossRef]
- Wang, Z.Q.; Shen, K.; Chen, L.Y.; Li, Y.W. Scalable synthesis of multi-shelled hollow N-doped carbon nanosheet arrays with confined Co/CoP heterostructures from MOFs for pH-universal hydrogen evolution reaction. Sci. China-Chem. 2022, 65, 619–629. [Google Scholar] [CrossRef]
- Li, B.; Ou, Z.; Meng, D.; Tang, J.; Fang, Y.; Liu, R.; Kadish, K.M. Cobalt triarylcorroles containing one, two or three nitro groups. Effect of NO2 substitution on electrochemical properties and catalytic activity for reduction of molecular oxygen in acid media. J. Inorg. Biochem. 2014, 136, 130–139. [Google Scholar] [CrossRef] [PubMed]
- Thoi, V.S.; Karunadasa, H.I.; Surendranath, Y.; Long, J.R.; Chang, C.J. Electrochemical generation of hydrogen from acetic acid using a molecular molybdenum-oxo catalyst. Energy Environ. Sci. 2012, 5, 7762–7770. [Google Scholar] [CrossRef]
- DiRisio, R.J.; Armstrong, J.E.; Frank, M.A.; Lake, W.R.; McNamara, W.R. Cobalt Schiff-base complexes for electrocatalytic hydrogen generation. Dalton Trans. 2017, 46, 10418–10425. [Google Scholar] [CrossRef] [PubMed]
- Stewart, M.P.; Ho, M.H.; Wiese, S.; Lindstrom, M.L.; Thogerson, C.E.; Raugei, S.; Bullock, R.M.; Helm, M.L. High Catalytic Rates for Hydrogen Production Using Nickel Electrocatalysts with Seven-Membered Cyclic Diphosphine Ligands Containing One Pendant Amine. J. Am. Chem. Soc. 2013, 135, 6033–6046. [Google Scholar] [CrossRef] [PubMed]
- Beyene, B.B.; Hung, C.H. Porphyrin-Based Electrochemical H2 Evolution: Role of Central Metal Ion on Overpotential and Catalytic Activity. Electrocatalysis 2018, 9, 689–696. [Google Scholar] [CrossRef]
- Kumar, A.; Fite, S.; Raslin, A.; Kumar, S.; Mizrahi, A.; Mahammed, A.; Gross, Z. Beneficial Effects on the Cobalt-Catalyzed Hydrogen Evolution Reaction Induced by Corrole Chelation. ACS Catal. 2023, 13, 13344–13353. [Google Scholar] [CrossRef]
- Chen, Q.-C.; Fite, S.; Fridman, N.; Tumanskii, B.; Mahammed, A.; Gross, Z. Hydrogen Evolution Catalyzed by Corrole-Chelated Nickel Complexes, Characterized in all Catalysis-Relevant Oxidation States. ACS Catal. 2022, 12, 4310–4317. [Google Scholar] [CrossRef]
- Karunadasa, H.I.; Montalvo, E.; Sun, Y.; Majda, M.; Long, J.R.; Chang, C.J. A Molecular MoS2 Edge Site Mimic for Catalytic Hydrogen Generation. Science 2012, 335, 698–702. [Google Scholar] [CrossRef]
- Drosou, M.; Kamatsos, F.; Mitsopoulou, C.A. Recent advances in the pathways of the hydrogen evolution reaction by non-innocent sulfur-coordinating metal complexes. Inorg. Chem. Front. 2020, 7, 37–71. [Google Scholar] [CrossRef]
- Costentin, C.; Drouet, S.; Robert, M.; Savéant, J.-M. Turnover Numbers, Turnover Frequencies, and Overpotential in Molecular Catalysis of Electrochemical Reactions. Cyclic Voltammetry and Preparative-Scale Electrolysis. J. Am. Chem. Soc. 2012, 134, 11235–11242. [Google Scholar] [CrossRef] [PubMed]
- Sudhakar, K.; Mahammed, A.; Chen, Q.-C.; Fridman, N.; Tumanskii, B.; Gross, Z. Copper Complexes of CF3-Substituted Corroles for Affecting Redox Potentials and Electrocatalysis. ACS Appl. Energy Mater. 2020, 3, 2828–2836. [Google Scholar] [CrossRef]
- Yadav, P.; Nigel-Etinger, I.; Kumar, A.; Mizrahi, A.; Mahammed, A.; Fridman, N.; Lipstman, S.; Goldberg, I.; Gross, Z. Hydrogen evolution catalysis by terminal molybdenum-oxo complexes. iScience 2021, 24, 102924. [Google Scholar] [CrossRef] [PubMed]
- Dolganov, A.V.; Chernyaeva, O.; Kostryukov, S.; Balandina, A.; Solovyova, E.; Yudina, A.; Akhmatova, A.; Lyukshina, Y. Control of the substituent at the nitrogen atom in a 2,4,6-triphenylpyridinium perchlorates tunes the electrocatalytic hydrogen evolution mechanism and efficiency. Int. J. Hydrogen Energy 2020, 45, 501–507. [Google Scholar] [CrossRef]
- Dolui, D.; Khandelwal, S.; Shaik, A.; Gaat, D. Enzyme-Inspired Synthetic Proton Relays Generate Fast and Acid-Stable Cobalt-Based H2 Production Electrocatalysts. ACS Catal. 2019, 9, 10115–10125. [Google Scholar] [CrossRef]
- Dolui, D.; Mir, A.Q.; Dutta, A. Probing the peripheral role of amines in photo- and electrocatalytic H2 production by molecular cobalt complexes. Chem. Commun. 2020, 56, 14841–14844. [Google Scholar] [CrossRef]
- Zhong, Y.-Q.; Hossain, S.; Chen, Y.; Fan, Q.-H.; Zhan, S.-Z.; Liu, H.-Y. A comparative study of electrocatalytic hydrogen evolution by iron complexes of corrole and porphyrin from acetic acid and water. Transit. Met. Chem. 2019, 44, 399–406. [Google Scholar] [CrossRef]
- Wang, C.-L.; Yang, H.; Du, J.; Zhan, S.-Z. A new catalyst based on a nickel(II) complex of diiminodiphosphine for hydrogen evolution and oxidation. Int. J. Hydrogen Energy 2021, 46, 32480–32489. [Google Scholar] [CrossRef]









| Complex | MIII/MII | MII/MI | |
|---|---|---|---|
| Ox 1/V | Red 1/V | Red 2/V | |
| PFIC-Co | −0.43 | −0.84 | −1.97 |
| PFIC-Cu | −0.21 | −0.30 | −2.21 |
| PFIC-Fe | −0.89 | −1.05 | −2.14 |
Disclaimer/Publisher’s Note: The statements, opinions and data contained in all publications are solely those of the individual author(s) and contributor(s) and not of MDPI and/or the editor(s). MDPI and/or the editor(s) disclaim responsibility for any injury to people or property resulting from any ideas, methods, instructions or products referred to in the content. |
© 2023 by the authors. Licensee MDPI, Basel, Switzerland. This article is an open access article distributed under the terms and conditions of the Creative Commons Attribution (CC BY) license (https://creativecommons.org/licenses/by/4.0/).
Share and Cite
Wu, L.-W.; Yao, Y.-F.; Xu, S.-Y.; Cao, X.-Y.; Ren, Y.-W.; Si, L.-P.; Liu, H.-Y. Electrocatalytic Hydrogen Evolution of Transition Metal (Fe, Co and Cu)–Corrole Complexes Bearing an Imidazole Group. Catalysts 2024, 14, 5. https://doi.org/10.3390/catal14010005
Wu L-W, Yao Y-F, Xu S-Y, Cao X-Y, Ren Y-W, Si L-P, Liu H-Y. Electrocatalytic Hydrogen Evolution of Transition Metal (Fe, Co and Cu)–Corrole Complexes Bearing an Imidazole Group. Catalysts. 2024; 14(1):5. https://doi.org/10.3390/catal14010005
Chicago/Turabian StyleWu, Ling-Wei, Yan-Fang Yao, Shi-Yin Xu, Xu-You Cao, Yan-Wei Ren, Li-Ping Si, and Hai-Yang Liu. 2024. "Electrocatalytic Hydrogen Evolution of Transition Metal (Fe, Co and Cu)–Corrole Complexes Bearing an Imidazole Group" Catalysts 14, no. 1: 5. https://doi.org/10.3390/catal14010005
APA StyleWu, L.-W., Yao, Y.-F., Xu, S.-Y., Cao, X.-Y., Ren, Y.-W., Si, L.-P., & Liu, H.-Y. (2024). Electrocatalytic Hydrogen Evolution of Transition Metal (Fe, Co and Cu)–Corrole Complexes Bearing an Imidazole Group. Catalysts, 14(1), 5. https://doi.org/10.3390/catal14010005

