Abstract
A series of cobalt complexes bearing (8-(arylimino)-5,6,7-trihydroquinolin-2-yl)methyl acetate ligand framework were prepared using a one-pot synthesis method. These complexes were then extensively investigated for their catalytic performance in isoprene polymerization. In addition to the complexes being characterized via FT-IR spectrum and elemental analysis, the molecular structure of Co1 and Co5 was determined via X-ray diffraction analysis. The analysis revealed a chloride-bridged centrosymmetric binuclear species in which each cobalt center exhibited a distorted square pyramidal geometry. Among the prepared complexes, Co1 demonstrated the highest catalytic activity of 1.37 × 105 g (mol of Co)−1(h)−1, achieving complete monomer conversion and resultant polyisoprene showed high molecular weight (Mn ≥ 2.6 × 105 g/mol). All of the complexes showed preference for the cis-1,4 configuration ranging from 65% to 72%, while the 3,4 monomer insertion units constituted between 27% and 34% of the polymer structure. Moreover, extensive investigations were conducted to assess the impact of reaction parameters and ligand properties on the catalytic activities and microstructural characteristics of the resulting polymer.
1. Introduction
Polyisoprene, as a viable alternative to natural rubber, possesses exceptional thermal, mechanical and physical properties, making it highly suitable for various industries such as rubber manufacturing, shape memory technology, and medicinal applications [1,2]. Among various significant attributes, the mechanical properties of polyisoprene heavily rely on the intricate microstructure of the polymer, which is determined by the type of isoprene enchainment within the polymer chain. There are four predominant types of isoprene enchainments: cis-1,4, trans-1,4, 3,4 and the less commonly observed 1,2 isoprene configuration. The quantity and nature of these monomer enchainments play a crucial role in determining the desired properties and applications of polyisoprene [3,4]. Highly trans-1,4 polyisoprene exhibits enhanced crystallinity and toughness [5]. Conversely, the presence of cis-1,4 enchainment imparts remarkable flexibility and low crystallinity to the material [6], rendering it particularly desirable as a primary component in bulk tire production due to its exceptional elastomeric properties. Generally, the high rolling resistance of cis-1,4 polyisoprene-based tires makes them unsuitable for use in harsh environment [7]. To address this issue, incorporation of 3,4 units into cis-1,4 polyisoprene chains is an excellent strategy to reduce rolling resistance while maintaining high wet-skid resistance and wear resistance [8]. During the past few decades, numerous catalysts have been suggested to achieve highly selective synthesis of polyisoprene. However, most successful developments have been achieved by using coordination-insertion polymerization catalysts. Over the past 60 years, isoprene polymerization has primarily relied on early transition metal catalysts or conventional Ziegler–Natta catalysts [9,10]. However, recent advancements in late transition metal-catalyzed polymerization have brought about exciting developments in the field. The discovery of α-diimine-Ni(II)/Pd(II) complexes in 1995 [11,12], followed by bis(imino)pyridine-Fe(II)/Co(II) complexes for olefin polymerization [13,14], has attracted significant interest among both academic researchers and the industrial community. These breakthroughs have also stimulated notable progress in late-transition metal catalysts specifically designed for isoprene polymerization [3,4,15]. One of the key advantages of these complexes is their well-defined molecular structures, which play a vital role in controlling monomer enchainment, molecular weights, and molecular weight distributions, enabling the production of polymers with desired mechanical and physical properties. Iron and cobalt catalysts have become the preferred choices for isoprene polymerization due to advantages such as low cost, ready availability, high stability, moisture and air stability in most cases, ease of preparation, and demonstrated high activity and selectivity [16,17,18,19]. Both bidentate and tridentate ligand chelated iron and cobalt complexes have been explored, with bidentate ligand-metal complex catalysts demonstrating superior polymerization activity and molecular weights [20,21,22,23,24,25,26]. Bidentate iminopyridine-iron complex with high catalytic activity and high stereoselectivity for cis-1,4 and trans-1,4 microstructure was initially reported for isoprene polymerization [16], and subsequently, extensive structural modifications into this ligand framework have been explored, particularly for iron complexes [27,28,29,30]. However, there have been limited reports on iminopyridine-cobalt complexes due to their low polymerization activities. Recently, Chen et al. reported on iminopyridine-based cobalt complexes (A, Chart 1) with polymerization activity up to 8.3 × 104 g (mol of Co)−1(h)−1, producing polyisoprene with low molecular weights up to 1.8 kg/mol [31]. Later, Wang et al. investigated the influence of fluorine substituents on iminopyridine-cobalt complexes (B, Chart 1) and achieved polymerization activity up to 2.6 × 104 g (mol of Co)−1(h)−1, yielding polyisoprene with moderate-to-high molecular weight [32]. Recently, our group employed π-conjugated naphthalenyl-substituted iminopyridine-cobalt complexes (C, Chart 1) for isoprene polymerization, achieving high activity up to 3.2 × 105 g (mol of Co)−1(h)−1 and high selectivity for 1,4-polyisoprene [33]. Apart from variations in catalyst structure, reaction parameters, especially the type of co-catalyst, have significant influence on the polymerization rate and polymer properties [34,35,36].
Chart 1.
Iminopyridine-cobalt complexes previously studied for isoprene polymerization (A–C) along with prepared cobalt complexes (D) in this work.
In recent years, our research group has prepared a series of nickel complexes based on N-(2-alkyl-5,6,7-trihydroquinolin-8-ylidene) arylimines for ethylene polymerization [37,38,39,40,41,42]. We observed that the incorporation of a carbocyclic ring into the iminopyridine-nickel complexes positively impacts the performance of ethylene polymerization, particularly polymerization activity. Motivated by this observation, we hypothesized that incorporating a carbocyclic ring into the iminopyridine-cobalt complexes would aid in controlling monomer enchainment and further enhance the polymerization behavior of these catalysts. Herein, a series of cobalt complex catalysts based on (8-(arylimino)-5,6,7-trihydroquinolin-2-yl)methyl acetate ligands was prepared and their performance in isoprene polymerization was investigated. Isoprene polymerization experiments were extensively conducted to establish a clear structure–activity relationship. The significant influence of reaction conditions on the polymerization being recognized, the various reaction parameters, including the type and amount of co-catalyst, reaction temperature, run time, and catalyst loading, were systematically examined. By systematically studying these factors, we aimed to gain insights into their impact on the polymerization process and ultimately optimize the catalyst performance for isoprene polymerization.
2. Results and Discussion
2.1. Synthesis and Characterization of Cobalt Complexes (Co1–Co6)
Following the established procedure [29,43], a one-pot synthesis method was employed to prepare (8-(arylimino)-5,6,7-trihydroquinolin-2-yl)methyl acetate-cobalt dichloride complexes (where aryl = 2,6-Me2C6H3 for Co1), 2,6-Et2C6H3 for Co2, 2,6-iPr2C6H3 for Co3, 2,4,6-Me3C6H2 for Co4, 2,6-Et2-4-MeC6H2 for Co5 and 2,4,6-tBu3C6H2 for Co6). The reaction involved refluxing 2-chloromethyl-5,6,7-trihydroquinolin-8-one, the corresponding aniline, and CoCl2·6H2O in acetic acid for 7 h. This synthetic procedure generated the desired cobalt complexes at high yields, as depicted in Scheme 1. Generally, the one-pot synthetic approach of complexes offered several advantageous, such as elimination of the need for purification and isolation of ligands. However, this approach can sometimes lead to unexpected reactions due to the use of harsh conditions such as high temperatures (120 °C) and acetic acid as the solvent [40]. Thus, in the synthesis of the desired complexes, an unexpected reaction occurred, leading to the incorporation of a methyl acetate functionality at the ortho position of the pyridine ring instead of anticipated chloro methyl group. This observation was confirmed via single-crystal X-ray diffraction analysis and elemental compositions. It is proposed that at elevated temperatures, acetic acid, used as the solvent, displaced the chloro group with an acetyl group, ultimately leading to the incorporation of a methyl acetate functionality at the ortho position of the pyridine ring. A mechanism for this unexpected reaction is proposed in Scheme 1. All synthesized complexes were thoroughly characterized using Fourier transform infrared (FT-IR) spectra and elemental analysis. Additionally, the molecular structures of two complexes, Co1 and Co5, were examined via single-crystal X-ray diffraction analysis.
Scheme 1.
Synthesis of cobalt (II) complexes and the possible mechanism of the incorporation of the methyl acetate group.
The elemental analysis data provided confirmation of the structural integrity of the complexes depicted in Scheme 1. In the FT–IR spectra, the characteristic stretching vibrations of the C=Nimine bonds within these complexes were observed in the range of 1619–1647 cm−1. Upon comparison of these wave numbers with those of structurally related non–coordinated ligands reported in the literature [37,41,44], a noticeable shift of approximately 20 cm−1 towards lower values was observed, indicating coordination of the cobalt metal with the ligand structure. These findings align with previous reports on analogous cobalt complexes [31,32,33]. Moreover, the stretching vibrations of carbonyl groups were observed at approximately 1740 cm−1, which confirms the presence of methyl acetate functionality within the ligand structure.
Single crystals of Co1 and Co5, suitable for X-ray determinations, were grown via the slow diffusion of n-hexane into a solution of the corresponding complexes in dichloromethane at ambient temperature. The molecular structures of both complexes, displayed in Figure 1, exhibit a chloride-bridged centrosymmetric binuclear species; thus, the discussion will focus on both complexes together. In this dimeric arrangement, each cobalt center is coordinated by two sp2 nitrogen atoms derived from the (8-(arylimino)-5,6,7-trihydroquinolin-2-yl)methyl acetate ligand. Additionally, one chloride ion bridges the cobalt centers while the remaining chloride ion acts as a monodentate ligand [40,45]. This coordination pattern is observed in both complexes. In the molecular structure of both complexes, the basal plane is formed from Npyridine, Nimine, and the bridging chloride atoms (Cl2 and Cl2) while Cl1 occupies an axial position, resulting in a distorted square pyramidal geometry around the metal center. According to the data in Table 1, the bond distance between Npyridine and the cobalt metal is slightly greater than the Nimine–cobalt bond distance [Co1–N1 = 2.172 (4) Å for Co1; 2.157 (3) Å for Co5 vs. Co1–N2 = 2.056 (4) Å for Co1; 2.058 (3) Å for Co5, respectively], indicating a stronger coordination between Nimine and the metal center compared to Npyridine. The N(1)–Co(1)–N(2) bite angles in each complex are similar, measuring 77.53° (Co1) and 77.90° (Co5), albeit considerably smaller than the three other angles [N1–Co1–Cl2, N2–Co1–Cl2, Cl2–Co1–Cl2] within the square plane. Moreover, the planes of the N-aryl rings are oriented almost perpendicular to the chelate ring plane. These structural characteristics have been previously reported in related metal complexes [40,45,46].
Figure 1.
Molecular structure of Co1 (left) and Co5 (right) with thermal ellipsoids shown at 30% probability level. All hydrogen atoms are omitted for clarity.
Table 1.
Selected bond lengths (Å) and bond angles (°) for Co1 and Co5.
2.2. Isoprene Polymerization
2.2.1. Screening of Reaction Conditions Using Co1 as Precatalyst
Previous studies have demonstrated the substantial impact of reaction parameters on the catalytic performance of complexes, particularly on the molecular weights and microstructure of the resulting polymers [25,34,45]. Consequently, we conducted a comprehensive screening of various reaction parameters, including reaction temperature, catalyst loading, and reaction time, as well as the type and quantity of co-catalyst employed. The aim was to identify the optimal reaction conditions that would serve as a reference point for evaluating the performance of all the synthesized complexes in isoprene polymerization.
The screening process for isoprene polymerization commenced with an evaluation of a suitable co-catalyst. The experiments were conducted using a fixed reaction time of 1 h in toluene solution (5 mL) at room temperature, utilizing complex Co1 as the representative precatalyst. Three distinct alkylaluminum co-catalysts, namely methylaluminoxane (MAO), dimethylaluminum chloride (AlMe2Cl), and trimethylaluminum (AlMe3), were individually tested in combination with complex Co1. The polymerization results, as summarized in Table 2, revealed that Co1 displayed activity only when paired with AlMe2Cl (Al/Co ratio = 50), yielding a polymerization activity of 0.22 × 105 g (mol of Co)−1(h)−1 and producing polyisoprene with a molecular weight of 0.1 × 105 g/mol. In contrast, MAO and AlMe3 yielded only trace amounts of polymer. The disparity in polymerization activity can be attributed to the varying Lewis acidity of the co-catalysts, which plays a pivotal role in the activation of the catalysts. Therefore, AlMe2Cl was identified as the optimal co-catalyst for subsequent investigations into isoprene polymerization.
Table 2.
Selection of suitable co-catalyst for isoprene polymerization using Co1 as the precatalyst a.
Subsequent isoprene polymerization experiments were carried out with varying Al/Co ratios ranging from 50 to 10 while maintaining a constant temperature of 25 °C for a duration of 1 h (entries 3–6, Table 2). Notably, a reduction in the Al/Co ratio from 50 to 40, and further down to 20, resulted in an improvement in polymerization activity, reaching a peak value of 0.4 × 105 g (mol of Co)−1(h)−1 at an Al/Co ratio of 20 (entry 5, Table 2). However, further decreasing the co-catalyst amount to 10 led to a decline in activity. This correlation between co-catalyst amount and polymerization activity aligns with previous findings in isoprene polymerization studies [17,23,24,25,33]. The increased concentration of the co-catalyst leads to a higher occurrence of chain transfer reactions, which was likely to result in the partial deactivation of the active species, ultimately leading to relatively lower yields when the co-catalyst concentration was high. At a monomer conversion of 22%, the resulting polyisoprene exhibited an average molecular weight (Mn) of 2.9 × 105 g/mol, accompanied by a polydispersity index of 1.7. However, when the monomer conversion increased to 29% at an Al/Co ratio of 20 (entry 5, Table 2), a slightly lower Mn was observed. This discrepancy can be attributed to difficulty with polymer mass removal, as the presence of sticky polymer around the active species somehow hinders monomer insertion and increases the likelihood of chain transfer reactions, thus affecting chain propagation [17,23,45]. The microstructural features of polyisoprenes were analyzed using 1H and 13C NMR spectra [recorded in deuterated chloroform at room temperature], as shown in Figures S1–S18. The obtained spectra were compared with the literature to confirm the presence of characteristic peaks for cis-1,4 and trans-1,4 and 3,4 units [18,45]. Interestingly, there was no substantial influence on the selectivity of monomer insertion when varying the Al/Co ratios. The composition of 1,4 and 3,4 units remained almost consistent, with values ranging from 72% to 76% (consisting of both cis- and trans-1,4) and 24% to 28%, respectively, across all Al/Co ratios. The 1,4 monomer insertion is mainly cis-1,4 selectivity, accounting for 70% to 74% of overall composition of the resulting polyisoprene (entries 3–6, Table 2).
While the Al/Co ratio was maintained at the optimal value of 20, the temperature-dependent behavior of the polymerization reactions was investigated over a range of temperatures varying from 25 °C to 80 °C (entries 1–6, Table 3). The obtained results indicated a gradual increase in polymerization activity as the temperature was elevated, reaching complete conversion with the highest activity of 1.37 × 105 g (mol of Co)−1(h)−1 at 60 °C (entry 4, Table 3), resulting polyisoprene with high cis-1,4 selectivity (72%, confirmed from Figure 2). However, further elevation of the reaction temperature to 70 °C and above resulted in a consistent decline in polymerization activity. This decrease can be attributed to either partial decomposition of active species or formation of inactive species at higher temperatures, thus leading to reduced polymerization yields [16,17,20,35,45]. Despite the decrease in polymerization activity with increasing temperature, the catalytic system still displayed a remarkable activity of 1.12 × 105 g (mol of Co)−1(h)−1 with 82% conversion at 80 °C (entry 6, Table 3), demonstrating the excellent thermal stability of the prepared catalyst [29,35]. The molecular weight of the resulting polyisoprene gradually decreased with increasing reaction temperature up to 50 °C. It is presumed that elevated temperatures enhance the rate of chain transfer reactions and termination in comparison to chain propagation, thereby leading to a reduction in the molecular weights of the resulting polymers [17,23,45]. However, further increasing reaction temperature did not show a consistent change in molecular weight. This observation implies that the polymer yields at elevated temperature of 60 to 80 °C were in the range of 82% to over 99%; it is likely that this large amount of polymer surrounding the active species might impede chain transfer reactions, which in turn produces comparatively higher molecular weight polyisoprene [23,29]. Meanwhile, the influence of the reaction temperature on the selectivity of monomer insertion was not substantial. Increasing the reaction temperature led to a slight increase in 3,4 selectivity from 24% to 33%. In contrast, the selectivity of cis-1,4 monomer insertion showed minimal change, ranging from 66% to 73% (entries 1–6, Table 3). Similar findings have been reported in previous studies [16,17,20,24,34].
Table 3.
Optimization of reaction conditions for isoprene polymerization using Co1 as the precatalyst a.
Figure 2.
1H and 13C NMR spectra of the representative sample of polyisoprene obtained using Co1/AlMe2Cl (Table 3, entry 4).
Next, the reaction running time was varied from 5 min to 60 min with the Al/Co ratio and temperature fixed at 20 and 60 °C respectively (entries 4 and 7–10, Table 3). It was observed that the polymerization activity and monomer conversion exhibited an almost linear increase with the prolongation of reaction time (entries 4 and 7–10, Table 3), suggesting the long life of active species and a somewhat living behavior in promoting isoprene polymerization [33]. The molecular weights of the resulting polymer initially increased with the prolongation of reaction time up to 15 min, however, further prolonging the reaction time resulted in a decrease in molecular weights. Once again, this can be ascribed to the accumulation of a significant amount of polymer around the active species with longer reaction times, which likely hinders monomer insertion and leads to slightly lower molecular weights [17,23,45]. The selectivity of monomer insertion remained relatively consistent across all reaction running times, with cis-1,4 and 3,4 units ranging from 65% to 72% and 27% to 34%, respectively (entry 4 and 7–10, Table 3).
Finally, the effect of catalyst loading was investigated under optimal conditions (entries 11–12, Table 3). It was found that using a catalyst loading of 5 μmol resulted in 53% conversion, which is approximately half of the conversion achieved with a 10 μmol catalyst loading, while the activities remained relatively similar for both catalyst loadings (entry 4 vs. 11, Table 3). On the other hand, employing a catalyst loading of 2.5 μmol yielded a similar conversion compared to the 5 μmol catalyst loading, but significantly higher polymerization activity of 2.56 × 105 g (mol of Co)−1(h)−1 was obtained (entry 12, Table 3).
2.2.2. Isoprene Polymerization Using Complexes Co1–Co6
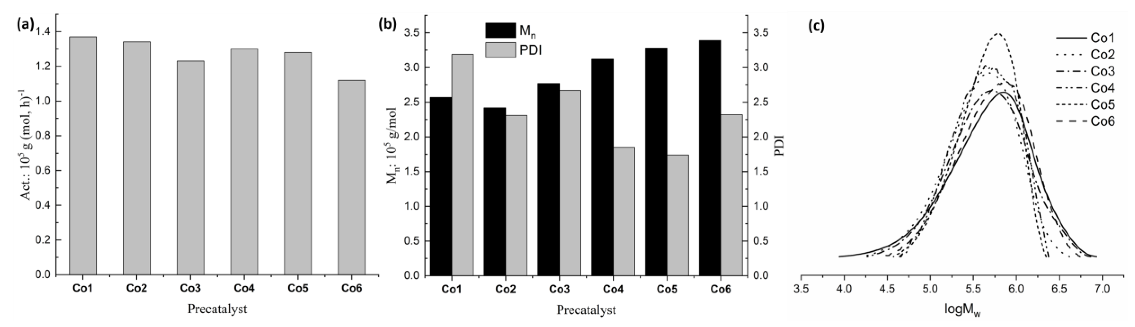
To investigate the impact of catalyst structure on the polymerization activity and properties of the resulting polyisoprene, besides Co1, the catalytic performance of all the complexes Co2–Co6 was examined for isoprene polymerization, and the results are presented in Table 4. The polymerization reactions were carried out under specific conditions, using toluene (5 mL) as solvent, with an IP/Co ratio of 2000, at 60 °C for a run time of 60 min. The results demonstrated that both electronic and steric substituents had a significant influence on the polymerization activity and the properties of the resulting polymer. The polymerization activities and isolated yields exhibited a decrease with increasing steric hindrance at the ortho position of the N-phenyl group (Figure 3) [33,34,36]. Among the complexes tested, the complex Co1, bearing the smallest steric groups (2,6-Me2Ph), stands out as the top performer, providing the highest activity of 1.37 × 105 g (mol of Co)−1(h)−1 with a quantitative yield (entry 1, Table 4). The complex Co2 (2,6-Et2Ph) and Co3 (2,6-iPr2Ph) followed in terms of activity, while Co6 (2,4,6-tBu3Ph), with the bulkiest steric groups, displayed the lowest polymerization activity. This suggests that the sterically bulky substituents at the ortho positions of the N-phenyl groups occupy more space around the active species. As a result, insertion and coordination of monomers were hindered at certain level, leading to relatively lower yields in the polymerization process [20,21].
Table 4.
Isoprene polymerization by using Co1–Co6 a.
Figure 3.
Polymerization activity (a), average molecular weight and molecular weight distribution (b), and GPC trace (c) for precatalysts Co1–Co6.
Furthermore, the introduction of electron-donating groups at the para position of the N-phenyl group had a negative effect on the polymerization activities. The complexes Co4 and Co5, for example, showed slightly lower polymerization activity and monomer conversion compared to complexes Co1 and Co2 (entries 1 and 2 vs. entries 4 and 5, respectively, Table 4). The positive electronic effect of the methyl groups reduced the Lewis character of the metal center, impeding monomer coordination to some extent [20,21]. As depicted in Figure 3, the overall trend of decreasing polymerization activity was as follows: Co1 (2,6-Me2Ph) > Co2 (2,6-Et2Ph) > Co4 (2,4,6-Me3Ph) > Co5 (2,6-Et2-4-MePh) > Co3 (2,6-iPr2Ph) > Co6 (2,4,6-tBu3Ph). Meanwhile, the observed trend in molecular weights of the resulting polymer aligns with the dependence on the catalyst structure: Co6 (2,4,6-tBu3Ph) > Co5 (2,6-Et2-4-MePh) > Co4 (2,4,6-Me3Ph) > Co3 (2,6-iPr2Ph) > Co1 (2,6-Me2Ph) > Co2 (2,6-Et2Ph), as shown in Figure 3 [20,34]. The complexes with bulky groups tended to produce polyisoprene with higher molecular weights. Co6, bearing significant steric hindrance (2,4,6-tBu3Ph), yielded polyisoprene with the highest molecular weight, up to 3.4 × 105 g/mol (entry 6, Table 4). The presence of substantial steric hindrance at the axial sites of the metal center, as seen in Co6, shields the active species from undergoing extensive chain transfer reactions and promotes chain propagation, resulting in comparatively higher molecular weight polyisoprene. The findings regarding the influence of steric hindrance on molecular weight are consistent with previous studies [20]. The microstructure of the resulting polymers was minimally affected by steric hindrance. Analysis of the 1H and 13C NMR spectra revealed that all the complexes exhibited a preference for cis-1,4 selectivity in monomer insertion. The cis-1,4 units in the resulting polymer ranged from 65% to 72%, while the 3,4 units ranged from 27% to 34%. The polyisoprene derived from Co1 consisted of cis-1,4 units at 72% and 3,4 units at 27% (Figure 2). As for Co6, polymer composed of cis-1,4 and 3,4- units at 69% and 30%, respectively (Figure 4). Co6, with its large steric hindrance, displayed a greater inclination towards 1,4 monomer insertion selectivity [36]. Based on the analysis of the polymer microstructure, a mechanism for monomer coordination and insertion into the growing polymer chain is proposed (Figure 5). The allyl-cobalt intermediate contains two reactive sites, C1 and C3. Insertion of the incoming monomer at C1 results in the formation of a 1,4 addition, whereas insertion at C3 leads to the formation of a 3,4 unit. From the experimental findings presented in Table 4, it is evident that the cis-η4 and anti-allyl-cobalt intermediate were more favorable. As a result, the major product observed was cis-1,4 polyisoprene, with a minor amount of 3,4 polyisoprene. In contrast, the structure of the catalysts does not seem to support the trans-η4 mode of coordination and syn allyl-cobalt intermediate, as a negligible quantity of trans-1,4 units was observed in the resulting polymer. Overall, these findings indicate that catalyst structure, specifically the presence of electronic and steric substituents, plays a crucial role in the polymerization activity, molecular weight, and microstructure of the resulting polyisoprene. Understanding these structure–activity relationships can contribute to the development of tailored catalysts for controlling and optimizing the properties of polyisoprene polymers.
Figure 4.
1H and 13C NMR spectra of the representative sample of polyisoprene obtained using Co6/AlMe2Cl (Table 4, entry 6).
Figure 5.
Possible mode of monomer coordination–insertion and corresponding polyisoprene configuration.
2.3. Comparison with Other Reported Iminopyridine Based Cobalt Complexes
Compared to the previously reported iminopyridine-cobalt complexes for isoprene polymerization, the newly synthesized cobalt complexes presented in this study exhibited comparable or better polymerization activity, molecular weights and monomer enchainment selectivity. Under optimal conditions, the maximum polymerization activity achieved by the title complexes is 1.37 × 105 g (mol of Co)−1(h)−1, which is ten times higher than the activity reported for the complexes A [31] and B (chart) [32], but similar to that observed in complexes C (Chart 1) [33]. Moreover, the average molecular weights of the resulting polyisoprene were at the level of 105 g/mol, which are higher than the values of those obtained with complexes A–C in the Chart 1. It is worth noting that all the reported and prepared iminopyridine-cobalt complexes showed a preference for the cis-1,4 regioselectivity. In comparison to other bidentate cobalt complexes such as pyrazolylimine [24] and iminoimidazole-based cobalt complexes [25] reported elsewhere, the title complexes demonstrated superior polymerization activity and molecular weight of the resulting polyisoprene. Additionally, the title complexes also exhibited higher or comparable polymerization activity to the cobalt complexes bearing tridentate ligand structures [17,20,22,34,47]. However, the benefits of title complexes include their simple synthesis, use of less co-catalyst, and high molecular weight polyisoprene at the level of 105 g/mol.
3. Experimental Section
3.1. General Consideration and Materials
Manipulations of isoprene polymerization were typically conducted in an inert atmosphere of dry argon using standard Schlenk techniques or inside a glove box, and the synthesis of cobalt catalysts was performed in an open atmosphere. Toluene was dried using sodium metal, and all other solvents were refluxed over CaH2. Additionally, these solvents underwent distillation under an argon atmosphere prior to their use. The co-catalysts, namely MAO (1.67 M in toluene), AlMe3 (2 M in toluene), and AlMe2Cl (0.9 M in heptane), were purchased from Anhui Botai Electronic Materials Co., Chaoyang, China and Shanghai Macklin Biochemical Co., Ltd., Shanghai China, respectively, and used as received without any modifications. Isoprene of analytical grade was purchased from Beijing Yansan Petrochemical Co., purified via distillation over CaH2 under an argon atmosphere, and stored at low temperature. All other commercially available chemicals were used without requiring additional purification. The 1H and 13C NMR measurements were conducted using a Bruker Ascend 400 MHz HD spectrometer (Ettlingen, Germany). All tests were performed at room temperature, and deuterated chloroform served as the internal standard. The chemical shifts are reported in ppm, and J values are reported in Hz. Fourier transform infrared (FT-IR) analysis was carried out using a PerkinElmer System 2000 FT-IR spectrometer, Waltham, MA, USA. The elemental composition of complexes was determined using a Flash EA 1112 micro-analyzer. Gel permeation chromatography (GPC) was performed using a PL-GPC50 instrument equipped (Agilent, Santa Clara, CA, USA) with a refractive index detector. The GPC system utilized mixed columns with a combined length of 650 and an internal diameter of 7.5 mm. The samples were dissolved in tetrahydrofuran (THF) at a temperature of 40 °C. The elution of THF occurred at a flow rate of 1.0 mL/min. The columns were calibrated using standard polystyrene samples.
3.2. Synthesis and Characterization of (8-(Arylimino)-5,6,7-trihydroquinolin-2-yl)methyl Acetate-Cobalt Dichloride Complexes (Co1–Co6)
3.2.1. Aryl = 2,6-Me2C6H3 (Co1)
General procedure: 2-(chloromethyl)-6,7-dihydroquinolin-8(5H)-one (100 mg, 0.5 mmol), CoCl2·6H2O (107 mg, 0.45 mmol), and an excess amount of 2,6-dimethylaniline (91 mg, 0.75 mmol) were added to acetic acid (5 mL) and heated to reflux with constant magnetic stirring. After 7 h of reaction time, all the volatiles were removed via low pressure, and the resulting crude product was redissolved in 2 mL dichloromethane. Subsequently, diethyl ether (5 mL) and n-hexane (20 mL) were added sequentially to generate the precipitates, and the resulting product was further washed with n-hexane and dried under vacuum to yield a green powder. Green solid, 335 mg, 74% yield. FT-IR (cm−1): 3330.91 (m), 3215.29 (m), 2917.97 (m), 1746 (s), 1621.65 (s), 1586.56 (s), 1511.19 (m), 1473.83 (s), 1414.31 (m), 1362.58 (s), 1316.31 (m), 1141.94 (m), 1108.03 (w), 1048.16 (s), 838.60 (w), 770.04 (s). Anal. Calcd. for C20H22Cl2CoN2O2[5CH2Cl2]: C, 34.24; H, 3.68; N, 3.19. Found: C, 33.97; H, 3.73; N, 3.56.
3.2.2. Aryl = 2,6-Et2C6H3 (Co2)
Following a similar procedure as described for the synthesis of Co1, Co2 was obtained as green solid (310 mg, 65% yield). (FT-IR (cm−1): 3232.18 (m), 3039.95 (w), 2919.09 (w), 2854.67 (w), 1745, 1646.8 (s), 1603.04 (m), 1537.84 (s), 1484.33 (s), 1432.05 (s), 1370.88 (s), 11313.38 (m), 1288.96 (s), 1226.30 (w), 1037.61 (w), 1014.17 (w), 859.17 (w), 739.33 (w), 715.82. Anal. Calcd. for C22H26Cl2CoN2O2: C, 55.02; H, 5.46; N, 5.83. Found: C, 55.61; H, 5.48; N, 5.89.
3.2.3. Aryl = 2,6-iPr2C6H3 (Co3)
Following a similar procedure as described for the synthesis of Co1, Co3 was obtained as green solid (350 mg, 69% yield). FT-IR (cm−1): 3551.11 (m), 3399.65 (m), 2962.10 (s), 2868.12 (w), 1747 (s), 1619 (m), 1587.53 (s), 1515.70 (w), 1472.07 (s), 1383.40 (w), 1325.92 (w), 1297.18 (w), 1184.47 (w), 1142.55 (w), 1109.96 (w), 1025.38 (w), 929.05 (w), 838.90 (w), 803.15 (m), 775.34 (s). Anal. Calcd. for C24H30Cl2CoN2O2[3CH2Cl2, Et2O]: C, 47.90; H, 5.90; N, 3.72. Found: C, 47.56; H, 5.36; N, 4.05.
3.2.4. Aryl = 2,4,6-Me3C6H2 (Co4)
Following a similar procedure as described for the synthesis of Co1, Co4 was obtained as green solid (335 mg, 72% yield). FT-IR (cm−1): 3232.18 (m), 3039.95 (w), 2919.09 (w), 2854.67 (w), 1750 (s), 1646.8 (s), 1603.04 (m), 1537.84 (s), 1484.33 (s), 1432.05 (s), 1370.88 (s), 11313.38 (m), 1288.96 (s), 1226.30 (w), 1037.61 (w), 1014.17 (w), 859.17 (w), 739.33 (w), 715.82. Anal. Calcd. for C21H24Cl2CoN2O2: C, 54.10; H, 5.19; N, 6.01. Found: C, 53.87; H, 5.24; N, 6.62.
3.2.5. Aryl = 2,6-Et2-4-MeC6H2 (Co5)
Following a similar procedure as described for the synthesis of Co1, Co5 was obtained as green solid (330 mg, 67% yield). FT-IR (cm−1): 3367.04 (w), 2965.18 (m), 2932.57 (m), 2873.76 (m), 1744 (s), 1619.59 (m), 1589.66 (s), 1514.07 (m), 1457.29 (m), 1371.42 (s), 1221.77 (s), 1142.86 (m), 1101.90 (w), 1050.89 (s), 858.26 (s), 826.53 (w), 749.60 (w). Anal. Calcd. for C23H28Cl2CoN2O2[MeOH]: C, 54.77; H, 6.13; N, 5.32. Found: C, 54.74; H, 6.23; N, 5.48.
3.2.6. Aryl = 2,4,6-tBu3C6H2 (Co6)
Following a similar procedure as described for the synthesis of Co1, Co6 was obtained as green solid (380 mg, 64% yield). FT-IR (cm−1): 3400.41 (s), 2957.84 (s), 2868.79 (m), 1744.53 (m), 1621.44 (s), 1592.96 (s), 1516.21 (w), 1485.62 (m), 141431 (m), 1434.76 (w), 1393.84 (w), 1364.40 (m), 1220.77 (s), 1107.66 (m), 1086.07 (w), 1050.46 (m), 927.87 (w), 890.20 (w), 837.81 (w), 746.44 (w). Anal. Calcd. for C30H42Cl2CoN2O2[3CH2Cl2, H2O]: C, 45.81; H, 5.82; N, 3.24. Found: C, 45.81; H, 5.75; N, 3.69.
3.3. Polymerization Procedure
Under an inert argon atmosphere, a Schlenk flask was dried under reduced pressure and then filled with argon gas. While a flow of argon was maintained, the precatalysts such as Co1 (10 µmol), toluene (5 mL) were added sequentially into this flask, followed by the addition of the assumed AlMe2Cl. The resulting solution was stirred at the desired temperature for 1 min, and then isoprene (2 mL) was immediately injected. After the desired running time, the reaction was quenched by adding an acidic ethanol solution (ethanol/HCl = 50/1). The resulting polymer was washed with excess ethanol several times, filtered, and dried under vacuum at room temperature until no change was observed in weight.
3.4. X-ray Crystallographic Studies
The single-crystal X-ray diffraction analysis of Co1 and Co5 complexes was conducted using a Rigaku Sealed Tube CCD (Saturn 724+) diffractometer, Rigaku, Tokyo, Japan. The diffractometer employed graphite-monochromated Cu-Kα radiation with a wavelength (λ) of 0.71073 Å. The measurements were performed at a temperature of 170 (±10) K. The cell parameters were determined by globally refining the positions of all collected reflections. The intensities obtained from the X-ray diffraction analysis were corrected for Lorentz and polymerization effects; an empirical absorption correction was carried out as well. The structures of complexes Co1 and Co5 were identified via direct methods and further refined via full-matrix least squares fitting on F2. The non-hydrogen atoms in each complex were refined anisotropically. The positions of all hydrogen atoms were determined based on calculated positions. The structural solution and refinement for each complex were carried out using SHELXT (Sheldrick) software. The solvent molecules, which do not influence the geometry of the main compound, were also processed using SHELXT [48]. The crystal data and processing parameters for Co1 (CCDC 2270716) and Co5 (CCDC 2270717) are presented in Table 5.
Table 5.
Crystal data and structure refinement for Co1 and Co5 complexes.
4. Conclusions
In this study, a series of well-defined cobalt complexes bearing the ligand framework of (8-(arylimino)-5,6,7-trihydroquinolin-2-yl)methyl acetate were designed, prepared, and thoroughly characterized via FT-IR, elemental analysis, and X-ray diffraction analysis in the cases of Co1 and Co5. Interestingly, during the one-pot synthesis of these complexes, an unexpected substitution occurred, in which acetic acid, serving as the solvent, replaced a chloro group with an acetyl group, leading to the incorporation of a methyl acetate moiety into the ligand structure. Among the tested catalyst systems, complex Co1 combined with AlMe2Cl resulted in a complete conversion with the highest activity of 1.37 × 105 g (mol of Co)−1(h)−1. Excellent thermal stability was observed, as the activity at 80 °C could still preserve 1.12 × 105 g (mol of Co)−1(h)−1. The resulting polyisoprene possessed high molecular weight, ranging from 1.4 to 4.5 × 105 g/mol and exhibited a predominant presence of cis-1,4 units, ranging from 65% to 72%, while the 3,4 units accounted for 27% to 34% of the polymer structure. The structure–activity relationship analysis revealed that the introduction of steric substituents at the ortho position and electron-donating substituents at the para position of the N-aryl unit negatively affected catalytic activity. On the other hand, regarding the molecular weights of the resulting polyisoprene, an opposing trend was observed. Notably, the steric hindrance of the catalyst had minimal impact on this selectivity. Moreover, the presence of 3,4 units as pendant terminal olefin side chains in the resulting polyisoprene holds particular importance for post-modification of the polymer, as it offers the potential to modify and fine-tune the properties of the polymer. Overall, the designed cobalt complexes showed promising catalytic activity, control over the molecular weights, and selectivity for cis-1,4 units, providing insights for the synthesis and modification of polyisoprene polymers.
Supplementary Materials
The following supporting information can be downloaded at: https://www.mdpi.com/article/10.3390/catal13071120/s1. Figure S1. 1H and 13C NMR spectra of the polyisoprene obtained using Co1/AlMe2Cl (Table 2, entry 3), Figure S2. 1H and 13C NMR spectra of the polyisoprene obtained using Co1/AlMe2Cl (Table 2, entry 4), Figure S3. 1H and 13C NMR spectra of the polyisoprene obtained using Co1/AlMe2Cl (Table 2, entry 5), Figure S4. 1H and 13C NMR spectra of the polyisoprene obtained using Co1/AlMe2Cl (Table 2, entry 6). Figure S5. 1H and 13C NMR spectra of the polyisoprene obtained using Co1/AlMe2Cl (Table 3, entry 2), Figure S6. 1H and 13C NMR spectra of the polyisoprene obtained using Co1/AlMe2Cl (Table 3, entry 3), Figure S7. 1H and 13C NMR spectra of the polyisoprene obtained using Co1/AlMe2Cl (Table 3, entry 5), Figure S8. 1H and 13C NMR spectra of the polyisoprene obtained using Co1/AlMe2Cl (Table 3, entry 6), Figure S9. 1H and 13C NMR spectra of the polyisoprene obtained using Co1/AlMe2Cl (Table 3, entry 7), Figure S10. 1H and 13C NMR spectra of the polyisoprene obtained using Co1/AlMe2Cl (Table 3, entry 8), Figure S11. 1H and 13C NMR spectra of the polyisoprene obtained using Co1/AlMe2Cl (Table 3, entry 9), Figure S12. 1H and 13C NMR spectra of the polyisoprene obtained using Co1/AlMe2Cl (Table 3, entry 10), Figure S13. 1H and 13C NMR spectra of the polyisoprene obtained using Co1/AlMe2Cl (Table 3, entry 11), Figure S14. 1H and 13C NMR spectra of the polyisoprene obtained using Co1/AlMe2Cl (Table 3, entry 12), Figure S15. 1H and 13C NMR spectra of the polyisoprene obtained using Co2/AlMe2Cl (Table 4, entry 2), Figure S16. 1H and 13C NMR spectra of the polyisoprene obtained using Co3/AlMe2Cl (Table 4, entry 3), Figure S17. 1H and 13C NMR spectra of the polyisoprene obtained using Co4/AlMe2Cl (Table 4, entry 4), Figure S18. 1H and 13C NMR spectra of the polyisoprene obtained using Co5/AlMe2Cl (Table 4, entry 5).
Author Contributions
Conceptualization and data curation, W.-H.S., Q.M., Y.M., W.Z. and N.Y.; methodology, N.Y., R.Y. and Q.M.; synthesis of the organic compounds and polymers, N.Y.; characterization, N.Y., W.Z. and M.L.; investigation, N.Y., M.L. and R.Y.; writing—review and editing, N.Y., Y.M., Q.M. and W.-H.S.; project administration, W.-H.S. All authors have read and agreed to the published version of the manuscript.
Funding
This work has been financially supported by the Chemistry and Chemical Engineering Guangdong Laboratory (No. 2111018 and 2132012).
Data Availability Statement
Data will be made available by the corresponding author upon request.
Acknowledgments
N.Y. thanks the Chinese Government Scholarship-Belt and Road Program and the ANSO Scholarship for financial support.
Conflicts of Interest
There are no conflicts of interests.
References
- Li, D.; Li, S.; Cui, D.; Zhang, X. β-Diketiminato rare-earth metal complexes: Structures, catalysis, and active species for highly cis-1,4-selective polymerization of isoprene. Organometallics 2010, 29, 2186–2193. [Google Scholar] [CrossRef]
- Ouardad, S.; Bakleh, M.E.; Kostjuk, S.V.; Ganachaud, F.; Puskas, J.E.; Deffieux, A.; Peruch, F. Bio-inspired cationic polymerization of isoprene and analogues: State-of-the-art. Polym. Int. 2012, 61, 149–156. [Google Scholar] [CrossRef]
- Ricci, G.; Pampaloni, G.; Sommazzi, A.; Masi, F. Dienes polymerization: Where we are and what lies ahead. Macromolecules 2021, 54, 5879–5914. [Google Scholar] [CrossRef]
- Ricci, G.; Sommazzi, A.; Masi, F.; Ricci, M.; Boglia, A.; Leone, G. Well-defined transition metal complexes with phosphorus and nitrogen ligands for 1,3-dienes polymerization. Coord. Chem. Rev. 2010, 254, 661–676. [Google Scholar] [CrossRef]
- Song, J.S.; Huang, B.C.; Yu, D.S. Progress of synthesis and application of trans-1,4-polyisoprene. J. App. Polym. Sci. 2001, 82, 81–89. [Google Scholar] [CrossRef]
- Nakajima, N. Science and Practice of Rubber Mixing; Rapra Technology Ltd.: Shawbury, Shropshire, UK, 2000. [Google Scholar]
- Friebe, L.; Nuyken, O.; Obrecht, W. Neodymium-Based ziegler/natta catalysts and their application in diene polymerization. Adv. Polym. Sci. 2006, 204, 1–154. [Google Scholar]
- Wang, B.; Cui, D.; Lv, K. Highly 3,4-selective living polymerization of isoprene with rare earth metal fluorenyl N-heterocyclic carbene precursors. Macromolecules 2008, 41, 1983–1988. [Google Scholar] [CrossRef]
- Liu, H.; He, J.; Liu, Z.; Lin, Z.; Du, G.; Zhang, S.; Li, X. Quasi-living trans-1,4-polymerization of isoprene by cationic rare earth metal alkyl species bearing a chiral (S,S)-bis(oxazolinylphenyl)amido ligand. Macromolecules 2013, 46, 3257–3265. [Google Scholar] [CrossRef]
- Jia, A.Q.; Wang, J.Q.; Hu, P.; Jin, G.X. Syntheses, reactions, and ethylene polymerization of titanium complexes with [N,N,S] ligands. Dalton Trans. 2011, 40, 7730–7736. [Google Scholar] [CrossRef]
- Johnson, L.K.; Killian, C.M.; Brookhart, M. New Pd(II)- and Ni(II)-based catalysts for polymerization of ethylene and α-olefins. J. Am. Chem. Soc. 1995, 117, 6414–6415. [Google Scholar] [CrossRef]
- Killian, C.M.; Tempel, D.J.; Johnson, L.K.; Brookhart, M. Living polymerization of α-olefins using Ni(II)-α-diimine catalysts. synthesis of new block polymers based on α-olefins. J. Am. Chem. Soc. 1996, 118, 11664–11665. [Google Scholar] [CrossRef]
- Small, B.L.; Brookhart, M.; Bennett, A.M.A. Highly active iron and cobalt catalysts for the polymerization of ethylene. J. Am. Chem. Soc. 1998, 120, 4049–4050. [Google Scholar] [CrossRef]
- Britovsek, G.J.P.; Gibson, V.C.; Kimberley, B.S.; Maddox, P.J.; McTavish, S.J.; Solan, G.A.; White, A.J.P.; Williams, D.J. Novel olefin polymerization catalysts based on iron and cobalt. Chem. Commun. 1998, 7, 849–850. [Google Scholar] [CrossRef]
- Champouret, Y.; Hashmi, O.H.; Visseaux, M. Discrete iron-based complexes: Applications in homogeneous coordination-insertion polymerization catalysis. Coord. Chem. Rev. 2019, 390, 127–170. [Google Scholar] [CrossRef]
- Alnajrani, M.N.; Mair, F.S. Bidentate forms of β-triketimines: Syntheses, characterization and outstanding performance of enamine-diimine cobalt complexes in isoprene polymerization. Dalton Trans. 2016, 45, 10435–10446. [Google Scholar] [CrossRef]
- Zhao, J.; Chen, H.; Li, W.; Jia, X.; Zhang, X.; Gong, D. Polymerization of isoprene promoted by aminophosphine(ory)-fused bipyridine cobalt complexes: Precise control of molecular weight and cis-1,4-alt-3,4 Sequence. Inorg. Chem. 2018, 57, 4088–4097. [Google Scholar] [CrossRef]
- Raynaud, J.; Wu, J.Y.; Ritter, T. Iron-catalyzed polymerization of isoprene and other 1,3-Dienes. Angew. Chem. Int. Ed. 2012, 51, 11805–11808. [Google Scholar] [CrossRef] [PubMed]
- Wang, L.; Wang, X.; Hou, H.; Zhu, G.; Han, Z.; Yang, W.; Chen, X.; Wang, Q. An unsymmetrical binuclear iminopyridine-iron complex and its catalytic isoprene polymerization. Chem. Commun. 2020, 56, 8846–8849. [Google Scholar] [CrossRef]
- Fang, L.; Zhao, W.; Han, C.; Liu, H.; Hu, Y.; Zhang, X. Isoprene polymerization with pyrazolylimine cobalt (II) complexes: Manipulation 3,4-selectivities by ligand design and triphenyl phosphine. Eur. J. Inorg. Chem. 2019, 2019, 609–616. [Google Scholar] [CrossRef]
- Zhang, X.; Zhu, G.; Mahmood, Q.; Zhao, M.; Wang, L.; Jing, C.; Wang, X.; Wang, Q. Iminoimidazole-based Co(II) and Fe(II) complexes: Syntheses, characterization, and catalytic behaviors for isoprene polymerization. J. Polym. Sci. PART A Polym. Chem. 2019, 57, 767–775. [Google Scholar] [CrossRef]
- Zhao, M.; Ma, Y.; Zhang, X.; Wang, L.; Zhu, G.; Wang, Q. Synthesis, characterization and catalytic property studies for isoprene polymerization of iron complexes bearing unionized pyridine-oxime ligands. Polymers 2022, 14, 3612. [Google Scholar] [CrossRef]
- Wang, G.; Jiang, X.; Zhao, W.; Sun, W.-H.; Yao, W.; He, A. Catalytic behavior of Co(II) complexes with 2-(Benzimidazolyl)-6-(1-(arylimino)ethyl)pyridine ligands on isoprene stereospecific polymerization. J. Appl. Polym. Sci. 2013, 131, 1. [Google Scholar] [CrossRef]
- Jiang, X.; Wen, X.; Sun, W.-H.; He, A. Polymerization of isoprene catalyzed by 2-(Methyl-2 benzimidazolyl)-6-(1-(arylimino) ethyl) Pyridine Iron(III) trichloride with an additional donor. J. Polym. Sci. PART A Polym. Chem. 2014, 52, 2395–2398. [Google Scholar] [CrossRef]
- He, A.; Wang, G.; Zhao, W.; Jiang, X.; Yao, W.; Sun, W.-H. High cis-1,4 polyisoprene or cis-1,4/3,4 binary polyisoprene synthesized using 2-(benzimidazolyl)-6-(1-(arylimino)ethyl)pyridine cobalt(II) dichlorides. Polym. Int. 2013, 62, 1758–1766. [Google Scholar] [CrossRef]
- Alnajrani, M.N.; Mair, F.S. The behaviour of β-triketimine cobalt complexes in the polymerization of isoprene. RSC Adv. 2015, 5, 46372–46385. [Google Scholar] [CrossRef]
- Zhao, M.; Wang, L.; Mahmood, Q.; Jing, C.; Zhu, G.; Zhang, X.; Wang, X.; Wang, Q. Controlled isoprene polymerization mediated by iminopyridine-iron (II) acetylacetonate pre-catalysts. Appl. Organometal. Chem. 2019, 33, e4836. [Google Scholar] [CrossRef]
- Hashmi, O.H.; Champouret, Y.; Visseaux, M. Highly active iminopyridyl iron-based catalysts for the polymerization of isoprene. Molecules 2019, 24, 3024. [Google Scholar] [CrossRef] [PubMed]
- Zhu, G.; Wang, L.; Mahmood, Q.; Zhou, L.; Wang, Q. Ligand-regulated polymerization of conjugated dienes catalyzed by confined iminopyridine iron complexes with high activity and thermal stability. Polym. Test. 2021, 102, 107317. [Google Scholar] [CrossRef]
- Ricci, G.; Leone, G.; Zanchin, G.; Palucci, B.; Boccia, A.C.; Sommazzi, A.; Masi, F.; Zacchini, S.; Guelfi, M.; Pampaloni, G. Highly stereoregular 1,3-butadiene and isoprene polymers through monoalkyl-N-aryl substituted iminopyridine iron complex-based catalysts: Synthesis and characterization. Macromolecules 2021, 54, 9947–9959. [Google Scholar] [CrossRef]
- Guo, L.; Jing, X.; Xiong, S.; Liu, W.; Liu, Y.; Liu, Z.; Chen, C. Influences of alkyl and aryl substituents on iminopyridine Fe(II)- and Co(II)-catalyzed isoprene polymerization. Polymers 2016, 8, 389. [Google Scholar] [CrossRef]
- Zhu, G.; Zhang, X.; Zhao, M.; Wang, L.; Jing, C.; Wang, P.; Wang, X.; Wang, Q. Influences of fluorine substituents on iminopyridine Fe(II)- and Co(II)-catalyzed isoprene polymerization. Polymers 2018, 10, 934. [Google Scholar] [CrossRef]
- Lin, W.; Zhang, L.; Suo, H.; Vignesh, A.; Yousuf, N.; Hao, X.; Sun, W.-H. Synthesis of characteristic polyisoprenes using rationally designed iminopyridyl metal (Fe and Co) precatalysts: Investigation of co-catalysts and steric influence on their catalytic activity. New J. Chem. 2020, 44, 8076–8084. [Google Scholar] [CrossRef]
- Wang, X.; Fan, L.; Huang, C.; Liang, T.; Guo, C.Y.; Sun, W.-H. Highly cis-1,4 selective polymerization of isoprene promoted by α-diimine cobalt(II) chlorides. J. Polym. Sci. Part A Polym. Chem. 2016, 54, 3609–3615. [Google Scholar] [CrossRef]
- Jing, C.; Wang, L.; Zhu, G.; Hou, H.; Zhou, L.; Wang, Q. Enhancing thermal stability in aminopyridine iron(II)-catalyzed polymerization of conjugated dienes. Organometallics 2020, 39, 4019–4026. [Google Scholar] [CrossRef]
- Zhao, M.; Zhang, X.; Wang, L.; Wang, L.; Zhu, G.; Wang, Q. Pyridine-oxazoline ligated iron complexes: Synthesis, characterization, and catalytic activity for isoprene polymerization. Appl. Organomet. Chem. 2022, 36, e6848. [Google Scholar] [CrossRef]
- Yu, J.; Zeng, Y.; Huang, W.; Hao, X.; Sun, W.-H. N-(5,6,7-trihydroquinolin-8-ylidene)arylaminonickel dichlorides as highly active single-site pro-catalysts in ethylene polymerization. Dalton Trans. 2011, 40, 8436–8443. [Google Scholar] [CrossRef] [PubMed]
- Sun, Z.; Yue, E.; Qu, M.; Oleynik, I.V.; Oleynik, I.I.; Li, K.; Liang, T.; Zhang, W.; Sun, W.-H. 8-(2-cycloalkylphenylimino)-5,6,7-trihydroquinolylnickel halides: Polymerizing ethylene to highly branched and lower molecular weight polyethylenes. Inorg. Chem. Front. 2015, 2, 223–227. [Google Scholar] [CrossRef]
- Guo, J.; Zhang, W.; Mahmood, Q.; Zhang, R.; Sun, Y.; Sun, W.-H. Vinyl/vinylene functionalized highly Branched polyethylene waxes obtained using electronically controlled cyclohexyl-fused pyridinylimine-nickel precatalysts. J. Polym. Sci. PART A Polym. Chem. 2018, 56, 1269–1281. [Google Scholar] [CrossRef]
- Li, J.; Zhang, Q.; Hu, X.; Ma, Y.; Solan, G.A.; Sun, Y.; Sun, W.-H. 2-Acetyloxymethyl-substituted 5,6,7-trihydroquinolinyl-8-ylideneamine-Ni(II) chlorides and their application in ethylene dimerization/trimerization. Appl. Organomet. Chem. 2019, 34, e5254. [Google Scholar] [CrossRef]
- Jiang, S.; Zheng, Y.; Liu, M.; Yu, Z.; Ma, Y.; Solan, G.A.; Zhang, W.; Liang, T.; Sun, W.-H. Polyethylene waxes with short chain branching via steric and electronic tuning of an 8-(arylimino)-5,6,7-trihydroquinoline-nickel catalyst. Organometallics 2022, 41, 3197–3211. [Google Scholar] [CrossRef]
- Lin, W.; Liu, M.; Xu, L.; Ma, Y.; Zhang, L.; Flisak, Z.; Hu, X.; Liang, T.; Sun, W.-H. Nickel(II) complexes with sterically hindered 5,6,7-trihydroquinoline derivatives selectively dimerizing ethylene to 1-butene. Appl. Organomet. Chem. 2022, 36, e6596. [Google Scholar] [CrossRef]
- Xua, L.; Li, J.; Lin, W.; Ma, Y.; Hua, X.; Flisak, Z.; Sun, W.-H. Ethylene oligomerization with 2-hydroxymethyl-5,6,7-trihydroquinolinyl-8-ylideneamine-Ni(II) chlorides. J. Organom. Chem. 2021, 937, 121720. [Google Scholar] [CrossRef]
- Hou, X.; Cai, Z.; Chen, X.; Wang, L.; Redshaw, C.; Sun, W.-H. N-(5,6,7-trihydroquinolin-8-ylidene)-2-benzhydrylbenzenaminonickel halide complexes: Synthesis, characterization and catalytic behavior towards ethylene polymerization. Dalton Trans. 2012, 41, 1617–1623. [Google Scholar] [CrossRef] [PubMed]
- Jing, C.; Wang, L.; Mahmood, Q.; Zhao, M.; Zhu, G.; Zhang, X.; Wang, X.; Wang, Q. Synthesis and characterization of aminopyridine iron(II) chloride catalysts for isoprene polymerization: Sterically controlled monomer enchainment. Dalton Trans. 2019, 48, 7862–7874. [Google Scholar] [CrossRef]
- Zhang, L.; Hao, X.; Sun, W.-H.; Redshaw, C. Synthesis, characterization, and ethylene polymerization behavior of 8-(nitroarylamino)-5,6,7-trihydroquinolylnickel dichlorides: Influence of the nitro group and impurities on catalytic activity liping. ACS Catal. 2011, 1, 1213–1220. [Google Scholar] [CrossRef]
- Bonnet, F.; Dyer, H.E.; Kinani, Y.E.; Dietz, C.; Roussel, P.; Bria, M.; Visseaux, M.; Zinck, P.; Mountford, P. Bis(phenolate)amine-supported lanthanide borohydride complexes for styrene and trans-1,4-isoprene (co-)polymerisations. Dalton Trans. 2015, 44, 12312–12325. [Google Scholar] [CrossRef] [PubMed]
- Sheldrick, G.M. SHELXTL-97, Program for the Refinement of Crystal Structures; University of Göttingen: Göttingen, Germany, 1997. [Google Scholar]
Disclaimer/Publisher’s Note: The statements, opinions and data contained in all publications are solely those of the individual author(s) and contributor(s) and not of MDPI and/or the editor(s). MDPI and/or the editor(s) disclaim responsibility for any injury to people or property resulting from any ideas, methods, instructions or products referred to in the content. |
© 2023 by the authors. Licensee MDPI, Basel, Switzerland. This article is an open access article distributed under the terms and conditions of the Creative Commons Attribution (CC BY) license (https://creativecommons.org/licenses/by/4.0/).






