Abstract
Much effort has been devoted to the development of efficient heterogeneous catalysts for the conversion of carbon dioxide (CO2) into high-value chemicals. Generally, the cycloaddition of CO2 to epoxides is considered a green and atom-economic reaction for the production of cyclic carbonates. Based on this, three kinds of silicon-based catalysts modified using zinc(Ⅱ) 2-bromoacetic (Si-ZnBA-n, n = 1, 2, 3) were facilely synthesized and employed for the chemical fixation of CO2 to epoxides with the use of potassium iodide (KI). A series of characterization techniques were used to characterize the textual structures and physicochemical properties of Si-ZnBA-n. The synergistic effects of Zn, –NH2, –OH and the nucleophilic group guaranteed the catalytic activity of Si-ZnBA-n. Si-ZnBA-1 exhibited the best catalytic activity among Si-ZnBA-n because Si-ZnBA-1 possessed the highest Zn content. Additionally, the effects of the reaction conditions (temperature, pressure, time and catalyst loadings) were also discussed. The propylene carbonate (PC) yield could reach 97% under 130 °C, 2 MPa, for 5 h without the employment of organic solvent, and its selectivity was 99%. In addition, the recycling property of Si-ZnBA-1/KI was also investigated, and the catalytic system exhibited good cycle performance. Meanwhile, the catalyst showed outstanding versatility for CO2 application to various epoxides, and a possibly synergistic reaction mechanism was proposed. Finally, a dynamic model was developed to discuss the activation energy of the CO2 cycloaddition reaction over the Si-ZnBA-1 catalyst.
1. Introduction
Recently, excess CO2 emissions have attracted increasing attention from environmentalists and scientists due to accelerated global warming. In particular, the excessive use of raw materials such as crude oil, natural gas and coal has increased the concentration of CO2 in the atmosphere on a yearly basis. From a sustainable development and environmentally friendly perspective, CO2 is a cheap, renewable, abundant, nontoxic, low-cost and versatile C1 building block [1,2,3,4]. Therefore, the chemical fixation of CO2 could be converted to economically beneficial chemicals at a low cost in a “sustainable society” with “green chemistry” methods. Among all CO2 utilization methods, the fixation of CO2 with epoxides to cyclic carbonate is an atomic economical reaction (Scheme 1) [4,5,6]. The reaction has full atomic utilization, which correlates with the development requirements of green chemistry [7,8]. Additionally, cyclic carbonate products have widespread applications in practice, including as polar aprotic solvents, electrolytes for lithium-ion batteries and intermediates in the manufacturing of fine chemicals [4,5]. However, CO2 is an inherent thermodynamic stability and kinetic inertia gas, and a catalyst is essential to reduce the energy barrier of the CO2 cycloaddition reaction [9,10].
Scheme 1.
Cycloaddition of CO2 to epoxides.
A number of homogeneous and heterogeneous catalysts have been developed to accelerate this reaction. Ionic liquids (ILs) [11,12,13], salen complexes [14,15,16], and alkali metal salts [17,18] have been used for the cycloaddition of CO2 with epoxides to cyclic carbonates. However, those efficient homogeneous catalysts are difficult to separate from products, thus hindering their application in many fields. Meanwhile, heterogeneous catalysts are currently being studied to be applied to catalytic CO2 cycloaddition reactions owing to their separation properties. These catalysts usually include metal-organic frameworks (MOFs) [19,20,21], covalent organic frameworks (COFs) [22,23,24], C3N4 [25,26,27] and the immobilization of ionic liquids [5,28,29]. In a large number of published studies, it has been proven that the synergistic effect of Lewis acid–base can accelerate the cycloaddition of CO2 to epoxides. Furthermore, the addition of nucleophilic reagents would also benefit the reaction. Some transition metal ions (Zn2+, Co3+) and hydrogen bond donors (–COOH, –OH, –NH2) can be used to activate the O atom of epoxides; meanwhile, the nucleophile attacks the β–C atom with less sterically hindered epoxides to accelerate the epoxy ring opening [30]. Indeed, –NH2 and –NH can be activated by CO2 in order to reduce the energy barrier of the reaction [31].
SBA-15 and porous SiO2 are widely used as catalyst carriers due to their highly specific surface area, suitable pore size and pore volume, which are advantageous for the diffusion of reactants and products in the holes [32]. In most cases, the presence of silyl hydroxyl on porous SiO2 surfaces can activate the reaction substrate via hydrogen bonding to a certain extent [33]. Silicon-based catalysts [34,35] have been reported to be used as catalytic carriers for the reaction of CO2 to epoxides. The activity of those catalysts was efficient, whereas the application of those catalysts in practice was limited because of the tedious preparation process. Zhong reported a mesoporous Zn/SBA-15 catalyst for the CO2 cycloaddition reaction, where 92.3% of the cyclic carbonate yield could be obtained under 160 °C, 2 MPa CO2 pressure conditions [36]. Jayakumar and colleagues applied cationic Zn-porphyrin immobilized in mesoporous silicas for the CO2 cycloaddition reaction, and an excellent cyclic carbonate yield was obtained at 120 °C [37]. Unfortunately, the two works mentioned above employed DMF as an organic solvent, which is against the principles of green chemistry. Zhang and co-workers synthesized a Ti-Zr-SBA-15-IL catalyst; the cyclic carbonate yield reached 96.8% under conditions of 100 °C, 2 MPa CO2 pressure and 4 h [38]. Bayer combined cerium pyrazolates with SBA-15 for the utilization of CO2, and a cyclic carbonate yield could be achieved over 99% under conditions of 90 °C, 1 MPa CO2 pressure and 24 h [39]. However, the abovementioned works did not avoid the decrease in catalytic activity in the recyclability experiment. Thus, how to avoid the use of an organic solvent in the catalytic experiment as well as how to maintain the catalytic activity during the cyclic experiments are issues that remain to be solved.
Therefore, in this work, Zn2+ can be used as a Lewis acid and –NH2 can be used as a Lewis base; meanwhile, SiO2 can be used as a catalytic carrier to achieve the successful integration of Lewis acid–base for the anticipation of the promotion of CO2 cycloaddition to epoxides. The structure of the synthesized catalyst was characterized via NMR, XPS, FT-IR, EA, N2 adsorption–desorption and TGA. The catalytic activities of Si-ZnBA-n (n = 1, 2, 3) were investigated; Si-ZnBA-1 exhibited the best catalytic activity among Si-ZnBA-n because it had the largest Zn content. Systematic investigations on the influence of reaction temperature, CO2 pressure, reaction time and catalyst loadings were also conducted. Moreover, the reusability and versatility of the Si-ZnBA-1/KI catalyst system were discussed. Based on the literature and our results, a plausible reaction mechanism was also utilized. Finally, a dynamic model was developed to discuss the kinetic equation of the CO2 cycloaddition reaction with the Si-ZnBA-1 catalyst.
2. Discussion
2.1. Structure Characterization of Si-ZnBA-n Catalyst
ZnBA was dissolved in D2O for 1H NMR characterization, and the 1H NMR spectrum is exhibited in Figure 1A. A chemical shift at 3.89 ppm was observed, which could be assigned to the methylene protons of ZnBA [40]. The chemical shift at 4.79 ppm could be ascribed to D2O. The 1H NMR spectrum illustrated the successful synthesis of ZnBA. To illustrate the presence of ZnBA in the system after hydrothermal, the 13C MAS NMR was conducted and presented in Figure 1B. As shown in Figure 1B, all three samples had three obvious signals which were, respectively, ascribed to the aliphatic primary. In addition, the secondary carbon atoms from the organic bridging units proved that ZnBA was introduced to the SiO2 frameworks [41,42].
Figure 1.
(A) 1H NMR spectrum of ZnBA; (B) 13C MAS NMR spectra of SiBA-n samples.
The XRD pattern of the samples is shown in Figure 2. Compared with SiO2 frameworks (2θ = 22°), the catalysts showed a broad peak at 22.8°, and SiO2 exhibited a peak at 22.6°, resulting from the amorphous SiO2 frameworks. There was a slight difference between the amorphous SiO2 (2θ = 22.6°) and the catalysts (2θ = 22.8°), which was caused by the highly dispersed ZnBA [43]. In addition, there was no obvious change in the XRD pattern as the TEOS content increased.
Figure 2.
XRD patterns of Si-ZnBA-n and SiO2 samples.
XPS measurements were performed to determine the surface electronic state of the Si-ZnBA-1 sample, and the results are displayed in Figure 3. The full spectrum suggested the existence of C, N, O, Br, Si and Zn (Figure 3A). In Figure 3B, the binding energy around 399.7 eV was assigned to the N 1s. This broad band could be split into two dominant component bands centered at 401.3 eV and 399.7 eV, which were correspondingly ascribed to the tertiary nitrogen N–(C)3 groups and –NH2 [44]. In Figure 3C, the binding energy around 68.4 eV indicates the existence of Br− [45,46]. The binding energy around 1021.5 eV and 1044.6 eV was assigned to Zn 2p 3/2 and Zn 2p 1/2, respectively, which illustrated the existence of Zn2+ [47]. Additionally, the mass ratio of Zn is listed in Table 1. Figure 3E,F are assigned to the C 1s (C–C) and Si 2p (Si–O) [48]. Moreover, the XPS spectra of Si-ZnBA-2 and Si-ZnBA-3 are exhibited in the SI.

Figure 3.
(A) Full spectrum; (B) N 1s XPS spectra; (C) Br 3d XPS spectra; (D) Zn 2p XPS spectra; (E) C 1s XPS spectra; (F) Si 2p XPS spectra of Si-ZnBA-1.
Table 1.
Elemental contents of Si-ZnBA-n samples.
The FT-IR results are displayed in Figure 4. The peaks at 1640 cm−1, 1410 cm−1 and 693 cm−1 are attributed to the antisymmetric vibration, symmetric stretching vibration and bending vibration of –COO−, respectively [40]. The broad bands at 800 cm−1 are assigned to the Si–O vibrations, which is consistent with the XRD results [40]. FT-IR proved the presence of characteristic functional groups and indirectly indicated the synthesis of the catalysts.
Figure 4.
FT-IR spectra of Si-ZnBA-n samples.
EA was adopted to reveal the C, N and H contents of Si-ZnBA-n, and the results are summarized in Table 1. Meanwhile, the Zn content of the Si-ZnBA-n was revealed using XPS and ICP, and the results are also exhibited in Table 1. The mass fractions of C, H, N and Zn were decreased with the increase in the TEOS amount during the synthesis process.
The N2 adsorption-desorption isotherm of the Si-ZnBA-n samples is displayed in Table 2 and Figure 5A. When the TEOS varied from 100 mmol to 150 mmol, the specific surface area increased. However, when the TEOS increased to 200 mmol, the pore size decreased remarkably, which indicated that excessive TEOS could block up the pore of the Si-ZnBA-n catalyst. The existence of the pore structure is conducive to the mass transfer of the reactant and its products, resulting in the promotion of the reaction [5]. Moreover, the pore size distributions of the Si-ZnBA-n samples are shown in Figure 5B, which proved that Si-ZnBA-n is a mesoporous material.
Table 2.
Textural parameters of Si-ZnBA-n.
Figure 5.
(A) N2 adsorption-desorption isotherms; (B) pore size distributions of Si-ZnBA-n samples.
The TGA results of the Si-ZnBA-n samples are displayed in Figure 6. With the increase in temperature, the active center, such as –COO−, –NH2 and Br−, gradually decomposed resulting in mass loss. When the temperature was 800 °C, the mass was invariable due to the existence of SiO2. Additionally, more residual SiO2 was tested since sample Si-ZnBA-3 was more hydrolyzed compared with Si-ZnBA-1 and Si-ZnBA-2. Additionally, the morphologies and microstructure of the prepared Si-ZnBA-n were characterized using SEM and TEM, and the results are listed in Figures S3 and S4.
Figure 6.
TGA curve for Si-ZnBA-n samples.
2.2. Screening of Catalyst
The activities of the Si-ZnBA-n catalysts were tested for the coupling reaction of propylene oxide (PO) and CO2, and the corresponding results are summarized in Table 3. As listed, no product was detected when Si-ZnBA-n was used as a catalyst only (Entries 1–3). When a cocatalyst was added, the PC yield could be improved obviously. In particular, when the Si-ZnBA-1 cooperated with the KI, a 97% PC yield was obtained, which was higher than KBr and KCl (Entries 4–6). This phenomenon might be caused by the nucleophilicity of the halogen anion [31]. When KI acted as a cocatalyst, the catalytic activity was the TBAI, and the TBAB acted as a cocatalyst (Entries 4, 7, 8), which was influenced by the size of the cation [49]. Thereafter, the Si-ZnBA-1/KI catalytic system possessed the highest catalytic activity among the Si-ZnBA-n/KI catalytic systems (Entries 4, 9, 10). In the CO2 cycloaddition reaction, the reactivity is determined by both the active substance (such as Zn2+, –OH) and the specific surface area. As the experimental results showed, the activity of the Si-ZnBA-1 catalyst was superior to Si-ZnBA-2; although the specific surface area of the Si-ZnBA-2 was larger than that of the Si-ZnBA-1, the Zn content of the Si-ZnBA-2 catalyst was lower than that of the Si-ZnBA-1 catalyst. Hence, the Si-ZnBA-1 catalyst showed better catalytic performance. Moreover, water and DMF were also tested as solvents and provided in Entries 12 and 13. From the results, the catalytic performance was improved by adding a solvent, but the selectivity was decreased. Considering comprehensively, the solvent-free case is probably the best choice. Therefore, in this work, the Si-ZnBA-1/KI catalytic system was chosen for further investigation.
Table 3.
Screening of catalyst a.
2.3. The Optimization of Reaction Parameters for CO2 Cycloaddition Reaction
The reaction of propylene oxide (PO) with CO2 was chosen as the model reaction to investigate the influence of the reaction conditions during the CO2 cycloaddition reaction. The reaction temperature, pressure, time and catalyst loading were explored, and the results are exhibited in Figure 7. It was obvious that temperature played a positive role in the transformation (Figure 7A). When the temperature varied from 100 °C to 130 °C, the yield of the PC remarkably increased from 21% to 97%. When the temperature reached 140 °C, the PC yield was 99% and the selectivity was 99%. Considering the economic effects, 130 °C was set as the proper reaction temperature. Figure 7B displayed the effect of the CO2 pressure. When the CO2 pressure steadily increased from 1.0 MPa to 2.0 MPa, the yield of the PC gradually rose from 54 to 97%. As reported in the literature, higher CO2 pressure resulted in more production [12]. However, the CO2 pressure continued to increase to 3 MPa and 4 MPa, and the production appeared to decline. The reason for this phenomenon is that in the CO2 low-pressure area (1–2 MPa), increasing CO2 pressure promoted the reaction. Nevertheless, when the CO2 pressure reached 3–4 MPa, the PO concentration in the liquid phase decreased. It can be ascribed to the lower PC yield caused by CO2 dilution [36]. Therefore, 2 MPa was considered to be the most appropriate pressure. The effect of time on the reaction product is shown in Figure 7C. The PC yield increased with time, and the PC yield was 97% at 5 h. As shown in Figure 7D, the PC yield enhanced significantly with increasing amounts of the Si-ZnBA-1 catalyst. When the catalyst was 200 mg, there was no significant change with more catalyst. Considering this from the perspective of energy and economy, 150 mg might be the most suitable catalyst loading. The PC selectivity was higher than 96% in the mentioned experiments of this part, which indicated the excellent catalytic performance of the Si-ZnBA-1/KI catalytic system. To demonstrate that Si-ZnBA-1 had the best catalytic activity, the performance tests were also conducted on Si-ZnBA-2 and Si-ZnBA-3. These results are presented in Figures S5 and S6.
Figure 7.
Effects of reaction conditions on PC synthesis. Reaction conditions: PO 34.5 mmol, KI 0.54 mmol; (A) Si-ZnBA-1 150 mg, 2.0 MPa, 5.0 h; (B) Si-ZnBA-1 150 mg, 130 °C, 5.0 h; (C) Si-ZnBA-1 150 mg, 130 °C, 2.0 MPa; (D) 130 °C, 2.0 MPa, 5.0 h.
2.4. Recyclability of Si-ZnBA-1 Catalyst
The recyclability of a catalyst is essential to its practical applications. Additionally, Si-ZnBA-1 could be separated via centrifugation after the reaction and then used for the next run directly. For the binary Si-ZnBA-1/KI catalytic system, the coupling reaction of CO2 with PO was repeated under the optimum reaction conditions (130 °C, 2.0 MPa, 5.0 h). As shown in Figure 8A, after five recycles, the PC yield decreased from 97% to 90%, which might be ascribed to the loss of the catalyst during the experiment process. Additionally, the PC selectivity was still above 99%, suggesting that the Si-ZnBA-1/KI possessed excellent recyclability. FT-IR spectra and EA analysis were adopted to characterize the reused Si-ZnBA-1 catalyst. As shown in Figure 8B, there was a new absorption peak at 1710 cm−1 of the reused catalyst, which might be ascribed to the stretching vibration of C=O in the residual PC [50]. Table 4 depicted the elementary composition comparison of a fresh catalyst and a reused catalyst. The mass ratio of C and H increased after the reaction, which also indicated the existence of residual PC.
Figure 8.
(A) Recyclability of Si-ZnBA-1 and (B) FT-IR spectra of fresh and reused Si-ZnBA-1.
Table 4.
EA analysis of fresh Si-ZnBA-1 and reused Si-ZnBA-1.
2.5. Cycloaddition of CO2 with Various Epoxides
The cycloaddition of CO2 with various substituents was studied to verify the potential generality of the Si-ZnBA-1 catalyst. As shown in Table 5, the universality of the catalyst was carried out under the above optimum conditions (130 °C, 2 MPa, 5 h). As expected, the production yield of PO, epichlorohydrin and 1,2-epoxybutane was higher than 96% (Entries 1–3). The product yield of epichlorohydrin was better than PO and 1,2-epoxybutane, which was caused by the electron-withdrawing effect of the Cl group [51]. The product yield of styrene oxide was only 41% (Entry 4), and this phenomenon was ascribed to the steric hindrance and electron donor effect of the aromatic group [5,52]. The product yield of cyclohexene oxide was 23% (Entry 5), which might be caused by the unique two-ring structure [53].
Table 5.
Coupling reactions of CO2 with various epoxides a.
2.6. Plausible Mechanism
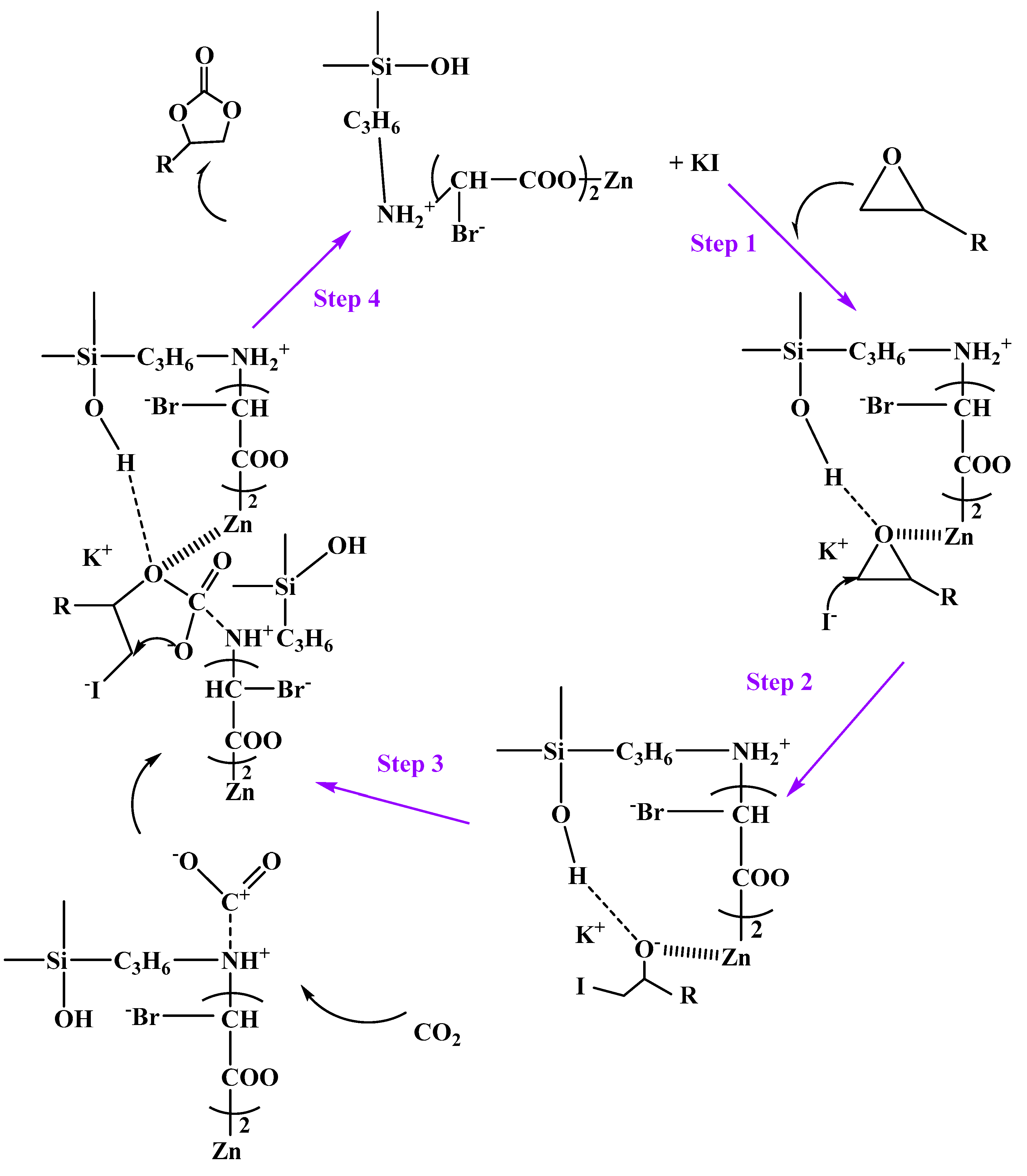
Based on our experimental results and the reported works [24,27], a plausible reaction mechanism was proposed (Scheme 2). First of all, Lewis acid Zn2+ and Si–OH interacted with the O atom of PO to facilitate ring-opening (Step 1). Then, the nucleophilic group I– attacked the β-C atom with the less sterically hindered PO to accelerate epoxy-ring-opening (Step 2). In addition, when CO2 was added, –NH2 reacted with CO2 to form intermediate carbamate (Step 3). Ultimately, activated PO and CO2 caused ring-closure to occur, generating PC and regenerating the catalyst (Step 4). Satisfactorily, the cycloaddition reaction was processed under solvent-free conditions.
Scheme 2.
The proposed mechanism for the cycloaddition of CO2 to epoxides.
For comparison, the Si-ZnBA-1 catalysts and other catalysts that have been reported for the fixation of CO2 to cyclic carbonate are listed in Table 6, including carbon materials, MOFs, IL and Si-based materials. Some reactions require the addition of a solvent to obtain outstanding performance. IL and MOF require only mild conditions to achieve satisfactory yields.
Table 6.
Comparisons with the reported catalysts for the cycloaddition of CO2 to epoxide.
2.7. Calculation of Activation Energy
In order to discuss the activation energy of CO2 cycloaddition reactions using a Si-ZnBA-1 catalyst, a dynamic model was developed. First, the relationship of the remaining PO concentration in the reactor with the reaction time at different temperatures with a Si-ZnBA-1 catalyst could be obtained, and the results are exhibited in Figure 9A.
Figure 9.
Relationship of (A) [PO] in the reactor, (B) –ln[PO] with reaction time at different temperatures with a Si-ZnBA-1 catalyst. Reaction conditions: 2.0 MPa, PO 34.5 mmol, m(cat.) = 0.15 g. (C) Arrhenius plots for CO2 cycloaddition to PO with a Si-ZnBA-1 catalyst.
According to the reported works [63,64], there were two steps in the cycloaddition reaction, and the probable elementary reaction rate equations can be proposed as follows:
k1, k2 and k3 represent reaction rate constants. Then, assuming the reaction is in a pseudosteady state, the rate of PC formation was described as Equation (3) [65].
d[PC] shows the PC concentration at a particular reaction time, t: reaction time; kobs exhibits the observed pseudo-first-order rate constant, and [PO] is the remaining concentration of PO at the t moment in the reaction system.
Equation (3) could be integrated to form Equation (4):
According to Equation (4), the plot of –ln([PO]) versus time was as given in Figure 9B, and the linear curves indicated that the reaction order was 1 [65]. Additionally, the kinetic equations and parameters of Si-ZnBA-1 at different temperatures are listed in Table 7. Meanwhile, the kobs at different temperatures and Arrhenius plots could be obtained (Figure 9C).
Table 7.
Kinetic equations and parameters of Si-ZnBA-1 at different temperatures a.
On the basis of Figure 9C and the Arrhenius equation (Equation (5)):
where A (min−1), T (K) and R (8.314 J/(mol⋅K)). The activation energy and pre-exponential factor of the CO2 cycloaddition reaction with a Si-ZnBA-1 catalyst could be calculated.
Ea = 92.3 kJ/mol, and A = 1.117 × 1010 min−1. Hence, the kinetic equation of the CO2 cycloaddition reaction with the Si-ZnBA-1 catalyst could be obtained:
3. Experimental
3.1. Material
Carbon dioxide with a purity of 99.99% was purchased from Shengyuan Gas Co., Ltd., Deyang, China. Propylene oxide (PO), butylene oxide (BO), epichlorohydrin (ECH), styrene oxide (SO), cyclohexene oxide, bromoacetic acid (HBA), (3-aminopropyl)triethoxysilane (APTES), tetrabutyl ammonium bromide (TBAB), potassium bromide (KBr) and potassium chloride (KCl) were purchased from Aladdin Chemical Co., Shanghai, China. Tetraethyl orthosilicate (TEOS) (≥98.0%) was purchased from Sinopharm Chemical Reagent Co., Ltd., Shanghai, China. Potassium iodide (KI), zinc oxide (ZnO), ethanol and tetrabutylammonium iodide (TBAI) were purchased from Novibang Technology Co., Ltd. Chongqing, China. Ethyl acetate was provided by Titan Scientific Co., Ltd., Shanghai, China. All chemicals were used as received without further purification.
3.2. Synthesis of Catalyst
The typical preparation of the Si-ZnBA-n sample was as follows [40]: 5 mmol of ZnO and 10 mmol of HBA were added to a round flask containing 50 mL of distilled water with magnetic stirring for 4 h under 50 °C. Then, the solution was removed into a rotary evaporator to volatilize the reagent. The white solid was dried at 60 °C for 24 h. Then, the white solid, 40 mmol of APTES and 100 mmol of TEOS were added to a beaker containing 25 mL of distilled water and 25 mL of ethanol with magnetic stirring at room temperature for 4 h. The product was recovered via centrifugation, washed with ethanol acetate 3 × 40 mL and water 3 × 40 mL and dried at 60 °C for 12 h. The obtained catalyst was ground to a powder for use, and the product was named Si-ZnBA-1. Various quantities of TEOS (150 mmol and 200 mmol) were added in order to obtain different-sized particles, and they were named Si-ZnBA-2 and Si-ZnBA-3, respectively.
3.3. Characterization
X-ray diffraction (XRD) patterns of the samples were measured via Bruker D8 Advance X-ray diffraction (Karlsruhe, Germany) with Cu Kα radiation (λ = 1.5406 Å, 40 KV, 30 mA). Fourier transform infrared spectroscopy (FT-IR) was performed on a PerkinElmer Spectrum 100 FT-IR spectrometer (Waltham, MA, USA) with a KBr pellet. Elemental analysis (EA) was conducted on a Vario MICRO cube CHN analyzer (ThermoFischer, Talos F200S G2, Waltham, MA, USA). Inductively coupled plasma atomic emission spectroscopy (ICP-AES) analysis was performed with a PerkinElmer OES Optima 8300 instrument (Waltham, MA, USA). The BET surface areas were measured at −196 °C using a Micromeritics Tristar 2020 analyzer (Norcross, GA, USA), and the samples were degassed at 200 °C for 4 h prior to measurement. X-ray photoelectron spectroscopy (XPS) measurements were performed using a Thermo Fisher Scientific Escalab 250Xi+ (Waltham, MA, USA). The NMR specs were examined on a Bruker 400 M nuclear resonance spectrometer (Karlsruhe, Germany). 13C NMR spectra were obtained on Bruker AVANCE III HD 400 M nuclear resonance spectrometer (Karlsruhe, Germany). Thermogravimetric analysis (TGA) was conducted on a NETZSCH STA449F3 thermal analyzer (Selb, Germany) under a flowing 150 mL min−1 air atmosphere from 30 to 800 °C with a heating rate of 10 °C min−1. Scanning electron microscope (SEM) images were recorded on a Thermo Scientific Helios 5 CX (Waltham, MA, USA) scanning electron microscope. Transmission electron microscopy (TEM) images were obtained using a Talos F200S G2 (ThermoFischer, Waltham, MA, USA). Gas chromatography (GC) analyses were performed on an Agilent GC-7890A equipped with a capillary column (Agilent19091J-413, Santa Clara, CA, USA) using a flame ionization detector.
3.4. Catalytic Test for CO2 Cycloaddition to Epoxides
The cycloaddition of CO2 with epoxides was carried out in a 25 mL stainless steel autoclave (LICHEN, Shanghai, China) equipped with a magnetic stirrer. In a typical run, Si-ZnBA-n 0.15 g, cocatalyst KI 0.60 mmol and propylene oxide (PO) 34.5 mmol were added into the autoclave. Then, the autoclave was heated to 130 °C and then pressurized with CO2 to a desired pressure under stirring for 5 h. When the reaction was completed, the autoclave was cooled in ice water and the excess CO2 was released slowly. The products were diluted with ethyl acetate and then analyzed using GC. The catalyst could be recovered via centrifugation, washed with water 3 × 4 mL, dried at 60 °C overnight and then reused directly for the next run under the same conditions. Additionally, we ensured that the cycling performance of the catalyst was not influenced by the KI loss.
4. Conclusions
In conclusion, three kinds of silicon-based catalysts (Si-ZnBA-n, n = 1, 2, 3) were synthesized via a cheap, convenient and facile method. The structure of Si-ZnBA-n was characterized thoroughly. Briefly, 97%, 71% and 59% propylene carbonate yields were obtained under conditions of 130 °C, 2.0 MPa and 5 h with Si-ZnBA-1/KI, Si-ZnBA-2/KI and Si-ZnBA-3/KI, respectively. Si-ZnBA-1/KI exhibited outstanding catalytic performance for the reaction of CO2 to PO under solvent-free conditions. Thereafter, the effect of reaction conditions and the recyclability of the Si-ZnBA-1 catalyst were discussed. Meanwhile, Si-ZnBA-1/KI showed excellent recycling performance with no evident decline after five reuses. Subsequently, an activation energy of 92.3 kJ/mol was calculated for the CO2 cycloaddition reaction with the Si-ZnBA-1/KI catalyst system, and the kinetic equation was . Hence, Si-ZnBA-1/KI could be an appealing catalytic system for the utilization of CO2 in the future.
Supplementary Materials
The following supporting information can be downloaded at: https://www.mdpi.com/article/10.3390/catal13071116/s1, Figure S1: (A) Full spectrum; (B) N 1s XPS spectra; (C) Br 3d XPS spectra; (D) Zn 2p XPS spectra; (E) C 1s XPS spectra and (F) Si 2p XPS spectra of Si-ZnBA-2. Figure S2: (A) Full spectrum; (B) N 1s XPS spectra; (C) Br 3d XPS spectra; (D) Zn 2p XPS spectra; (E) C 1s XPS spectra and (F) Si 2p XPS spectra of Si-ZnBA-3. Figure S3: SEM images of Si-ZnBA-n samples. Figure S4: TEM images of Si-ZnBA-n samples. Table S1: Screening of catalyst. Figure S5: Effects of reaction conditions on PC synthesis. Reaction conditions: PO 34.5 mmol, KI 0.54 mmol, (A) Si-ZnBA-2 150 mg, 2.0 MPa, 5.0 h; (B) Si-ZnBA-2 150 mg, 130 °C, 5.0 h; (C) Si-ZnBA-2 150 mg, 130 °C, 2.0 MPa; (D) 130 °C, 2.0 MPa, 5.0 h. Figure S6: Effects of reaction conditions on PC synthesis. Reaction conditions: PO 34.5 mmol, KI 0.54 mmol, (A) Si-ZnBA-3 150 mg, 2.0 MPa, 5.0 h; (B) Si-ZnBA-2 150 mg, 130 °C, 5.0 h; (C) Si-ZnBA-3 150 mg, 130 °C, 2.0 MPa; (D) 130 °C, 2.0 MPa, 5.0 h.
Author Contributions
Data curation, C.Y. and X.M.; supervision, M.L.; validation, T.Y.; investigation, C.Y.; resources, X.Z.; writing—review and editing, C.Y. All authors have read and agreed to the published version of the manuscript.
Funding
This work was supported by the Fundamental Research Funds for the Central Universities (PHD2023-070), the Civil Aviation Development Fund Education Talents Project (MHJY2022030) and the General Fund of Civil Aviation Flight University of China (BSJ2022-6, BSJ2021-2, BSJ2021-3).
Conflicts of Interest
The authors declare no conflict of interest.
References
- Martinez, J.; Fernandez-Baeza, J.; Sanchez-Barba, L.F.; Castro-Osma, J.A.; Lara-Sanchez, A.; Otero, A. An efficient and versatile catalyst for carbon dioxide fixation into cyclic carbonates. ChemSusChem 2017, 10, 2886–2890. [Google Scholar] [CrossRef] [PubMed]
- Liu, Q.; Wu, L.P.; Jackstell, R.; Beller, M. Using carbon dioxide as a building block in organic synthesis. Nat. Commun. 2016, 47, 5933–5947. [Google Scholar] [CrossRef]
- Song, Q.W.; Zhou, Z.H.; He, L.N. Efficient, selective and sustainable catalysis of carbon dioxide. Green Chem. 2017, 19, 3707–3728. [Google Scholar] [CrossRef]
- Liu, M.S.; Lan, J.W.; Liang, L.; Sun, J.M.; Arai, M. Heterogeneous catalytic conversion of CO2 and epoxides to cyclic carbonates over multifunctional tris-triazine terminal-linked ionic liquids. J. Catal. 2017, 347, 138–147. [Google Scholar] [CrossRef]
- Yang, C.K.; Chen, Y.L.; Wang, X.; Sun, J.M. Polymeric ionic liquid with carboxyl anchored on mesoporous silica for efficient fixation of carbon dioxide. J. Colloid Interface Sci. 2022, 618, 44–55. [Google Scholar] [CrossRef]
- Cheng, B.; Deng, L.; Jiang, J.; Jiang, H. Catalytic cycloaddition of CO2 to epoxides by the synergistic effect of acidity and alkalinity in a functionalized biochar. Chem. Eng. J. 2022, 442, 136265. [Google Scholar] [CrossRef]
- Saptal, V.B.; Bhanage, B.M. Current advances in heterogeneous catalysts for the synthesis of cyclic carbonates from carbon dioxide. Curr. Opin. Green Sust. 2017, 3, 1–10. [Google Scholar] [CrossRef]
- Peng, H.; Zhang, Q.; Wang, Y.; Gao, H.; Zhang, N.; Zhou, J.; Zhang, L.; Yang, Q.; Yang, Q.; Lu, Z. Atomically dispersed lewis acid sites meet poly(ionic liquid)s networks for solvent-free and co-catalyst-free conversion of CO2 to cyclic carbonates. Appl. Catal. B-Environ. 2022, 313, 121463. [Google Scholar] [CrossRef]
- Caterina, D.; Paolo, S.; Matteo, C.; Gabriele, M.; Emma, G. The CO2 cycloaddition to epoxides and aziridines promoted by porphyrin-based catalysts. Inorg. Chim. Acta 2022, 540, 121065. [Google Scholar]
- Yue, Z.; Hu, T.; Zhao, W.; Su, H.; Li, W.; Chen, Z.; Chen, Y.; Li, S.; Wang, L.; Liu, Y.; et al. Triazinyl-imidazole polyamide network as an efficient multi-hydrogen bond donor catalyst for additive-free CO2 cycloaddition. Appl. Catal. A-Gen. 2022, 643, 118748. [Google Scholar] [CrossRef]
- Yue, S.; Wang, P.P.; Hao, X.J.; Zang, S.L. Dual amino-functionalized ionic liquids as efficient catalysts for carbonate synthesis from carbon dioxide and epoxide under solvent and cocatalyst-free conditions. J. CO2 Util. 2017, 21, 238–246. [Google Scholar] [CrossRef]
- Jiang, X.; Gou, F.L.; Fu, X.Y.; Jing, H.W. Ionic liquids-functionalized porphyrins as bifunctional catalysts for cycloaddition of carbon dioxide to epoxides. J. CO2 Util. 2016, 16, 264–271. [Google Scholar] [CrossRef]
- Yang, C.K.; Chen, Y.L.; Qu, Y.; Zhang, J.X.; Sun, J.M. Phase-controllable polymerized ionic liquids for CO2 fixation into cyclic carbonates. Sustain. Energ. Fuels 2021, 5, 1026–1033. [Google Scholar] [CrossRef]
- Ma, R.; He, L.N.; Zhou, Y.B. An efficient and recyclable tetraoxo-coordinated zinc catalyst for the cycloaddition of epoxides with carbon dioxide at atmospheric pressure. Green Chem. 2016, 18, 226–231. [Google Scholar] [CrossRef]
- Hatazawa, M.; Nakabayashi, K.; Ohkoshi, S.; Nozaki, K. In situ generation of Co-III-salen complexes for copolymerization of propylene oxide and CO2. Chem. Eur. J. 2016, 22, 13677–13681. [Google Scholar] [CrossRef] [PubMed]
- Yuan, Q.Y.; Zhang, P.; Shi, Y.L.; Liu, D.H. Dual-ligand complex catalysts for the cycloaddition of propylene oxide and carbon dioxide. J. Mol. Struct. 2017, 1150, 329–334. [Google Scholar] [CrossRef]
- Zhang, G.Q.; Qin, S.J.; Zhen, L.; Han, H.Y.; Hui, L.; Chang, T. Coupling reaction of epoxide and carbon dioxide catalysed by alkali metal salts in the presence of beta-cyclodextrin derivatives. World J. Eng. 2017, 14, 159–164. [Google Scholar]
- Liu, X.; Zhang, S.; Song, Q.W.; Liu, X.F.; Ma, R.; He, L.N. Cooperative calcium-based catalysis with 1,8-Diazabicyclo[5.4.0]-undec-7-ene for the cycloaddition of epoxides with CO2 at atmospheric pressure. Green Chem. 2016, 47, 2871–2876. [Google Scholar] [CrossRef]
- Li, P.Z.; Wang, X.J.; Liu, J.; Lim, J.S.; Zou, R.Q.; Zhao, Y.L. A triazole-containing metal-organic framework as a highly effective and substrate size-dependent catalyst for CO2 conversion. J. Am. Chem. Soc. 2016, 138, 142–2145. [Google Scholar] [CrossRef]
- Babu, R.; Kathalikkattil, A.C.; Roshan, R.; Tharun, J.; Kim, D.W.; Park, D.W. Dual-porous metal organic framework for room temperature CO2 fixation via cyclic carbonate synthesis. Green Chem. 2016, 18, 232–242. [Google Scholar] [CrossRef]
- Ahmad, A.; Khan, S.; Tariq, S.; Luque, R.; Verpoort, F. Self-sacrifice MOFs for heterogeneous catalysis: Synthesis mechanisms andfuture perspectives. Mater. Today 2022, 55, 137–169. [Google Scholar] [CrossRef]
- Zhi, Y.F.; Shao, P.P.; Feng, X.; Xia, H.; Zhang, Y.M.; Shi, Z.; Mu, Y.; Liu, X.M. Covalent organic frameworks: Efficient, metal-free, heterogeneous organocatalysts for chemical fixation of CO2 under mild conditions. J. Mater. Chem. A 2018, 6, 374–382. [Google Scholar] [CrossRef]
- Xu, K.K.; Dai, Y.H.; Ye, B.F.; Wang, M.H. Two dimensional covalent organic framework materials for chemical fixation of carbon dioxide: Excellent repeatability and high selectivity. Dalton T. 2017, 46, 10780–10785. [Google Scholar] [CrossRef] [PubMed]
- Sun, Q.; Aguila, B.; Perman, J.; Nguyen, N.; Ma, S. Flexibility matters: Cooperative active sites in covalent organic framework and threaded ionic polymer. J. Am. Chem. Soc. 2016, 138, 15790–15796. [Google Scholar] [CrossRef]
- Song, X.H.; Wu, Y.F.; Pan, D.H.; Cai, F.F.; Xiao, G.M. Carbon nitride as efficient catalyst for chemical fixation of CO2 into chloropropene carbonate: Promotion effect of Cl in epichlorohydrin. Mol. Catal. 2017, 436, 228–236. [Google Scholar] [CrossRef]
- Wang, Y.; Guan, X.; Chen, F.Y.; Zhu, S.S.; Ye, Y.S.; Peng, H.Y.; Zhou, X.P.; Xie, X.L.; Mai, Y.W. Noncovalent immobilization of pyrene-terminated hyperbranched triazole-based polymeric ionic liquid onto graphene for highly active and recyclable catalysis of CO2/epoxide cycloaddition. Catal. Sci. Technol. 2017, 7, 4173–4181. [Google Scholar] [CrossRef]
- Wang, X.; Yang, L.; Fu, G.; Chen, Y.L.; Yang, C.K.; Sun, J.M. Experimental and theoretical investigation for the cycloaddition of carbon dioxide to epoxides catalyzed by potassium and boron co-doped carbon nitride. J. Colloid Interface Sci. 2022, 609, 523–534. [Google Scholar] [CrossRef]
- Zhou, Y.J.; Liu, J.J.; Huang, R.C.; Zhang, M.; Xiao, M.; Meng, Y.Z.; Sun, L.Y. Covalently immobilized ionic liquids on single layer nanosheets for heterogeneous catalysis applications. Dalton T. 2017, 46, 13126–13134. [Google Scholar] [CrossRef]
- Motokura, K.; Itagaki, S.; Iwasawa, Y.; Miyaji, A.; Baba, T. Silica-supported aminopyridinium halides for catalytic transformations of epoxides to cyclic carbonates under atmospheric pressure of carbon dioxide. Green Chem. 2009, 11, 1876–1880. [Google Scholar] [CrossRef]
- Li, Y.X.; Zhang, X.; Lan, J.W.; Li, D.Z.; Wang, Z.J.; Xu, P.; Sun, J.M. A High-performance zinc-organic framework with accessible open metal sites catalyzes CO2 and styrene oxide into styrene carbonate under mild conditions. ACS Sustain. Chem. Eng. 2021, 9, 2795–2803. [Google Scholar] [CrossRef]
- Yang, C.K.; Liu, M.S.; Zhang, J.X.; Wang, X.; Jiang, Y.C.; Sun, J.M. Facile synthesis of DBU-based ionic liquids cooperated with ZnI2 as catalysts for efficient cycloaddition of CO2 to epoxides under mild and solvent-free conditions. Mol. Catal. 2018, 450, 39–45. [Google Scholar] [CrossRef]
- Valdemar-Aguilar, C.M.; Manisekaran, R.; Avila, R.; Compean-Garcia, V.D.; Nava-Mendoza, R.; Lopez-Marin, L.M. Pathogen associated molecular pattern-decorated mesoporous silica-A colloidal model for studying bacterial-host cell interactions. Biointerphases 2020, 15, 041003. [Google Scholar] [CrossRef]
- Cheng, W.G.; Chen, X.; Sun, J.; Wang, J.Q.; Zhang, S.J. SBA-15 supported triazolium-based ionic liquids as highly efficient and recyclable catalysts for fixation of CO2 with epoxides. Catal. Today 2013, 200, 117–124. [Google Scholar] [CrossRef]
- Sadeghzadeh, S.M. A heteropolyacid-based ionic liquid immobilized onto fibrous nano-silica as an efficient catalyst for the synthesis of cyclic carbonate from carbon dioxide and epoxides. Green Chem. 2015, 17, 3059–3066. [Google Scholar] [CrossRef]
- Liu, M.S.; Liu, B.; Liang, L.; Wang, F.X.; Shi, L.; Sun, J.M. Design of bifunctional NH3I-Zn/SBA-15 single-component heterogeneous catalyst for chemical fixation of carbon dioxide to cyclic carbonates. J. Mol. Catal. A-Chem. 2016, 418, 78–85. [Google Scholar] [CrossRef]
- Zhong, S.F.; Liang, L.; Liu, M.S.; Liu, B.; Sun, J.M. DMF and mesoporous Zn/SBA-15 as synergistic catalysts for the cycloaddition of CO2 to propylene oxide. J. CO2 Util. 2015, 9, 58–65. [Google Scholar] [CrossRef]
- Sanjeevi, J.; Li, H.; Tao, L.; Li, C.; Liu, L.; Chen, J.; Yang, Q. Cationic Zn-porphyrin immobilized in mesoporous silicas as bifunctional catalyst for CO2 cycloaddition reaction under co-catalyst free conditions. ACS Sustain. Chem. Eng. 2018, 6, 9237–9245. [Google Scholar]
- Zhang, W.; Wang, H.; Han, J.; Song, Z. Multifunctional mesoporous materials with acid–base frameworks and ordered channels filled with ionic liquid: Synthesis, characterization and catalytic performance of Ti–Zr-SBA-15-IL. Appl. Surf. Sci. 2012, 258, 6158–6168. [Google Scholar] [CrossRef]
- Bayer, U.; Liang, Y.; Anwander, R. Cerium pyrazolates grafted onto mesoporous silica SBA-15: Reversible CO2 uptake and catalytic cycloaddition of epoxides and carbon dioxide. Inorg. Chem. 2020, 59, 14605–14614. [Google Scholar] [CrossRef]
- Hao, Y.J.; Xu, L.X.; Lei, J.Y.; Cui, F.; Cui, T.Y.; Qu, C.Y. Self-catalytic synthesis of ZnO nanoparticles@SiO2 composites with controllable fluorescence property. Chem. Lett. 2017, 46, 426–429. [Google Scholar] [CrossRef]
- Liu, M.S.; Zhao, P.; Ping, R.; Liu, F.; Liu, F.; Gao, J.; Sun, J.M. Squaramide-derived framework modified periodic mesoporous organosilica: A robust bifunctional platform for CO2 adsorption and cooperative conversion. Chem. Eng. J. 2020, 399, 125682. [Google Scholar] [CrossRef]
- Borah, P.; Mondal, J.; Zhao, Y.L. Urea-pyridine bridged periodic mesoporous organosilica: An efficient hydrogen-bond donating heterogeneous organocatalyst for Henry reaction. J. Catal. 2015, 330, 129–134. [Google Scholar] [CrossRef]
- Zhang, X.; Shao, C.L.; Zhang, Z.Y.; Li, J.H.; Zhang, P.; Zhang, M.Y.; Mu, J.B.; Guo, Z.C.; Liang, P.P.; Liu, Y.C. In situ generation of well-dispersed ZnO quantum dots on electrospun silica nanotubes with high photocatalytic activity. ACS Appl. Mater. Inter. 2012, 4, 785–790. [Google Scholar] [CrossRef] [PubMed]
- Qin, J.N.; Wang, S.B.; Ren, H.; Hou, Y.D.; Wang, X.C. Photocatalytic reduction of CO2 by graphitic carbon nitride polymers derived from urea and barbituric acid. Appl. Catal. B-Environ. 2015, 179, 1–8. [Google Scholar] [CrossRef]
- Li, T.T.; He, Y.M.; Lin, H.J.; Cai, J.; Dong, L.Z.; Wang, X.X.; Luo, M.F.; Zhao, L.H.; Yi, X.D.; Weng, W.Z. Synthesis, characterization and photocatalytic activity of visible-light plasmonic photocatalyst AgBr-SmVO4. Appl. Catal. B-Environ. 2013, 138, 95–103. [Google Scholar] [CrossRef]
- Su, Q.; Qi, Y.; Yao, X.; Cheng, W.; Dong, L.; Chen, S.; Zhang, S. Ionic liquids tailored and confined by one-step assembly with mesoporous silica for boosting the catalytic conversion of CO2 into cyclic carbonates. Green Chem. 2018, 20, 3232–3241. [Google Scholar] [CrossRef]
- Wang, X.Z.; Wang, Z.; Jiang, X.S.; Zhang, M.; Wang, Y.F.; Lv, J.X.; He, G.; Sun, Z.Q. In-Situ deposition and growth of Cu2ZnSnS4 nanocrystals on TiO2 nanorod arrays for enhanced photoelectrochemical performance. J. Electrochem. Soc. 2017, 164, H863–H871. [Google Scholar] [CrossRef]
- Wang, X.; Yang, L.; Chen, Y.L.; Yang, C.K.; Lan, J.W.; Sun, J.M. Metal-Free triazine-incorporated organosilica framework catalyst for the cycloaddition of CO2 to epoxide under solvent-free conditions. Ind. Eng. Chem. Res. 2020, 59, 21018–21027. [Google Scholar] [CrossRef]
- Liu, M.S.; Gao, K.Q.; Liang, L.; Wang, F.X.; Shi, L.; Sheng, L.; Sun, J.M. Insights into hydrogen bond donor promoted fixation of carbon dioxide with epoxides catalyzed by ionic liquids. Phys. Chem. Chem. Phys. 2015, 17, 5959–5965. [Google Scholar] [CrossRef]
- Jang, M.W.; Kim, B.K. Low driving voltage holographic polymer dispersed liquid crystals with chemically incorporated graphene oxide. J. Mater. Chem. 2011, 21, 19226–19232. [Google Scholar] [CrossRef]
- Gao, X.X.; Liu, M.S.; Lan, J.W.; Liang, L.; Zhang, X.; Sun, J.M. Lewis acid-base bifunctional crystals with a three-dimensional framework for selective coupling of CO2 and epoxides under mild and solvent-free conditions. Cryst. Growth Des. 2017, 17, 51–57. [Google Scholar] [CrossRef]
- Zhong, H.; Gao, J.; Sa, R.; Yang, S.; Wu, Z.; Wang, R. Carbon dioxide conversion upgraded by host-guest cooperation between nitrogen-rich covalent organic framework and imidazolium-based ionic polymer. ChemSusChem 2020, 13, 6323–6329. [Google Scholar]
- Zhang, X.; Geng, W.; Yue, C.; Wu, W.; Xiao, L. Multilayered supported ionic liquids bearing a carboxyl group: Highly efficient catalysts for chemical fixation of carbon dioxide. J. Environ. Chem. Eng. 2016, 4, 2565–2572. [Google Scholar] [CrossRef]
- Zhang, D.D.; Xu, G.R.; Li, C.P.; Bai, J. Controllable synthesis of pompon-like carbon nitride with abundant intrinsic defect sites for the cycloaddition reaction of CO2 with epichlorohydrin. Mater. Lett. 2020, 277, 128365. [Google Scholar] [CrossRef]
- Xu, J.; Gan, Y.L.; Hu, P.; Zheng, H.; Xue, B. Comprehensive insight into the support effect of graphitic carbon nitride for zinc halides on the catalytic transformation of CO2 into cyclic carbonates. Catal. Sci. Technol. 2018, 8, 5582–5593. [Google Scholar] [CrossRef]
- Zhu, J.J.; Diao, T.T.; Wang, W.Y.; Xu, X.L.; Sun, X.Y.; Carabineiro, S.A.C.; Zhao, Z. Boron doped graphitic carbon nitride with acid-base duality for cycloaddition of carbon dioxide to epoxide under solvent-free condition. Appl. Catal. B 2017, 219, 92–100. [Google Scholar] [CrossRef]
- Xue, Z.M.; Liu, F.J.; Jiang, J.Y.; Wang, J.F.; Mu, T.C. Scalable and super-stable exfoliation of graphitic carbon nitride in biomass-derived c-valerolactone: Enhanced catalytic activity for the alcoholysis and cycloaddition of epoxides with CO2. Green Chem. 2017, 19, 5041–5045. [Google Scholar] [CrossRef]
- Zhu, X.R.; Hu, Y.H.; Zhou, J.S. Influence of ionic liquids microenvironment on the coupling reaction of epoxide and carbon dioxide: DFT and MD. J. Mol. Liquids 2020, 308, 113069. [Google Scholar] [CrossRef]
- Lagarde, F.; Srour, H.; Berthet, N.; Oueslati, N.; Bousquet, B.; Nunes, A.; Martinez, A.; Dufaud, V. Investigating the role of SBA-15 silica on the activity of quaternary ammonium halides in the coupling of epoxides and CO2. J. CO2 Util. 2019, 34, 34–39. [Google Scholar] [CrossRef]
- Zhang, N.; Zou, B.; Yang, G.P.; Yu, B.; Hu, C.W. Melaminebased mesoporous organic polymers as metal-free heterogeneous catalyst: Effect of hydroxyl on CO2 capture and conversion. J. CO2 Util. 2017, 22, 9–14. [Google Scholar] [CrossRef]
- Gao, Z.Y.; Zhang, X.; Xu, P.; Sun, J.M. Dual hydrogen-bond donor group-containing Zn-MOF for the highly effective coupling of CO2 and epoxides under mild and solvent-free conditions, Inorg. Chem. Front. 2020, 7, 1995–2005. [Google Scholar] [CrossRef]
- Zhang, M.; Chu, B.X.; Li, G.Y.; Xiao, J.Z.; Zhang, H.W.; Peng, Y.J.; Li, B.; Xie, P.; Fan, M.G.; Dong, L.H. Triethanolaminemodified mesoporous SBA-15: Facile one-pot synthesis and its catalytic application for cycloaddition of CO2 with epoxides under mild conditions. Micropor. Mesopor. Mater. 2019, 274, 363–372. [Google Scholar] [CrossRef]
- Michael, N.; Riccardo, P. Mechanism of cyclic carbonate synthesis from epoxides and CO2. Angew. Chem. Int. Ed. 2009, 121, 2990–2992. [Google Scholar]
- Yang, C.K.; Chen, Y.L.; Xu, P.; Yang, L.; Zhang, J.X.; Sun, J.M. Facile synthesis of zinc halide-based ionic liquid for efficient conversion of carbon dioxide to cyclic carbonates. Mol. Catal. 2020, 480, 110637. [Google Scholar] [CrossRef]
- Chen, Y.P.; Chen, C.; Li, X.; Feng, N.J.; Wang, L.; Wan, H.; Guan, G.F. Hydroxyl-ionic liquid functionalized metalloporphyrin as an efficient heterogeneous catalyst for cooperative cycloaddition of CO2 with epoxides. J. CO2 Util. 2022, 62, 102107. [Google Scholar] [CrossRef]
Disclaimer/Publisher’s Note: The statements, opinions and data contained in all publications are solely those of the individual author(s) and contributor(s) and not of MDPI and/or the editor(s). MDPI and/or the editor(s) disclaim responsibility for any injury to people or property resulting from any ideas, methods, instructions or products referred to in the content. |
© 2023 by the authors. Licensee MDPI, Basel, Switzerland. This article is an open access article distributed under the terms and conditions of the Creative Commons Attribution (CC BY) license (https://creativecommons.org/licenses/by/4.0/).





















