Recent Advances in Photoredox-Catalyzed Difunctionalization of Alkenes
Abstract
1. Introduction
2. Photoredox-Catalyzed Difunctionalization of Alkenes
2.1. Iridium-Catalyzed Difunctionalization of Alkenes
2.1.1. 1,2-Dicarbofunctionalization of Alkenes
2.1.2. Carbon-Hetero Bond Formation
2.2. Rutheniumo-Catalyzed Difunctionalization of Alkenes
2.2.1. 1,2-Dicarbofunctionalization of Alkenes
2.2.2. Carbon-Hetero Bond Formation
2.3. Visible Light-Promoted Copper-Catalyzed Reactions
2.4. Visible-Light Promoted Metal Free Reactions
2.4.1. Organic Dyestuff-Promoted Difunctionalization of Alkenes
2.4.2. Organic Photosensitizer Promoted Difunctionalization of Alkenes
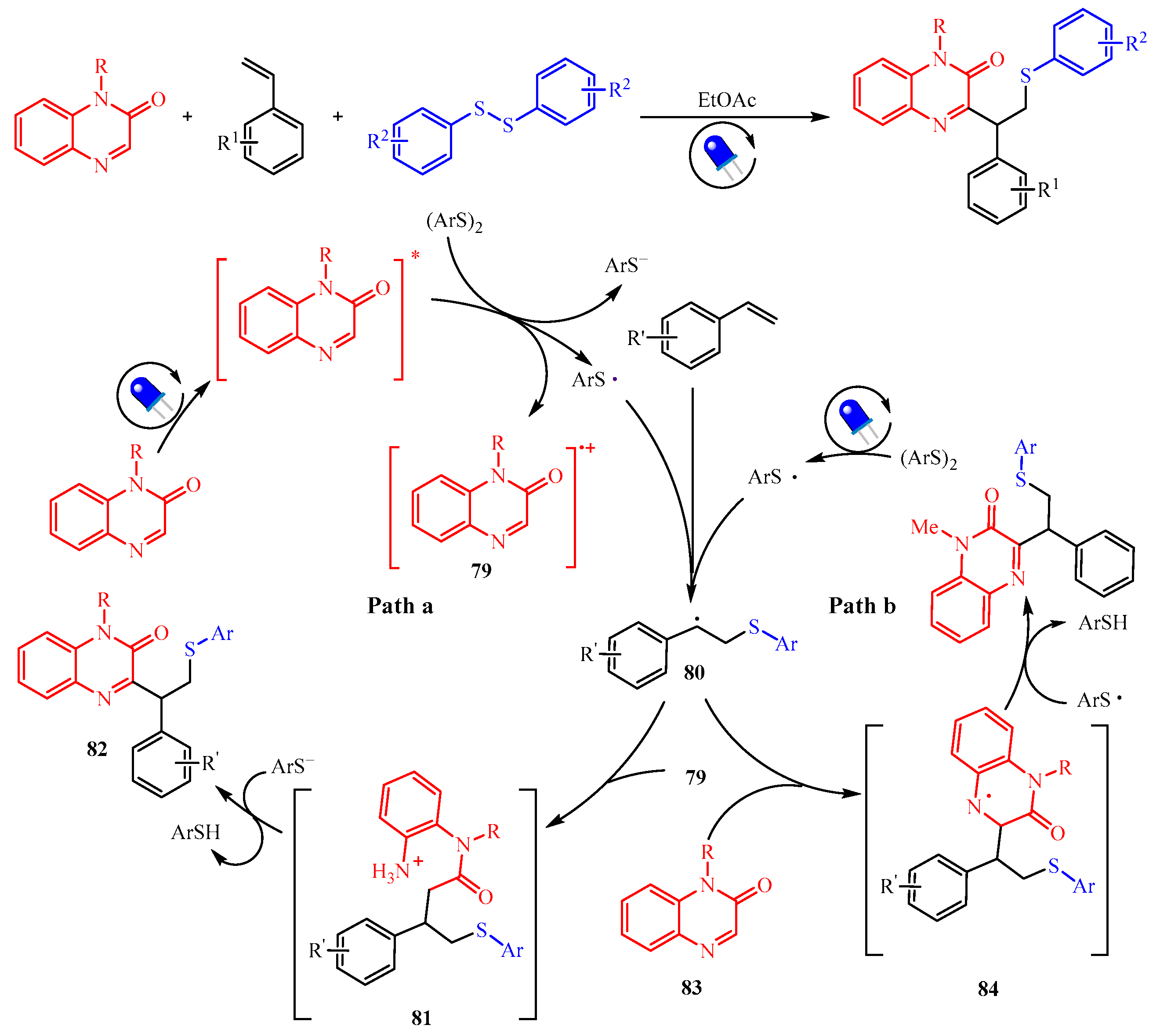
2.4.3. Others
3. Conclusions
Author Contributions
Funding
Data Availability Statement
Conflicts of Interest
References
- Makshina, E.V.; Dusselier, M.; Janssens, W.; Degreve, J.; Jacobs, P.A.; Sels, B.F. Review of old chemistry and new catalytic advances in the on-purpose synthesis of butadiene. Chem. Soc. Rev. 2014, 43, 7917–7953. [Google Scholar] [CrossRef]
- Zhang, J.; Lu, X.N.; Shen, C.; Xu, L.Y.; Ding, L.Y.; Zhong, G.F. Recent advances in chelation-assisted site- and stereoselective alkenyl C-H functionalization. Chem. Soc. Rev. 2021, 50, 3263–3314. [Google Scholar] [CrossRef] [PubMed]
- Xu, L.; Wang, F.; Chen, F.; Zhu, S.Q.; Chu, L.L. Recent Advances in Photoredox/Nickel Dual-Catalyzed Difunctionalization of Alkenes and Alkynes. Chin. J. Org. Chem. 2022, 42, 1–15. [Google Scholar] [CrossRef]
- Lin, Q.; Diao, T. Mechanism of Ni-Catalyzed Reductive 1,2-Dicarbofunctionalization of Alkenes. J. Am. Chem. Soc. 2019, 141, 17937–17948. [Google Scholar] [CrossRef]
- Song, R.J.; Liu, Y.; Xie, Y.X.; Li, J.H. Difunctionalization of Acrylamides through C-H Oxidative Radical Coupling: New Approaches to Oxindoles. Synthesis 2015, 47, 1195–1209. [Google Scholar] [CrossRef]
- Wu, Z.Y.; Hu, M.; Li, J.X.; Wu, W.Q.; Jiang, H.F. Recent advances in aminative difunctionalization of alkenes. Org. Biomol. Chem. 2021, 19, 3036–3054. [Google Scholar] [CrossRef]
- Bornowski, E.C.; Hinds, E.M.; White, D.R.; Nakamura, Y.; Wolfe, J.P. Pd-Catalyzed Alkene Difunctionalization Reactions of Enolates for the Synthesis of Substituted Bicyclic Cyclopentanes. Org. Process Res. Dev. 2019, 23, 1610–1630. [Google Scholar] [CrossRef] [PubMed]
- Xie, J.; Jin, H.M.; Hashmi, A.S.K. The recent achievements of redox-neutral radical C-C cross-coupling enabled by visible-light. Chem. Soc. Rev. 2017, 46, 5193–5203. [Google Scholar] [CrossRef]
- Schade, A.H.; Mei, L.Y. Applications of red light photoredox catalysis in organic synthesis. Org. Biomol. Chem. 2023, 21, 2472–2485. [Google Scholar] [CrossRef]
- Campbell, M.W.; Compton, J.S.; Kelly, C.B.; Molander, G.A. Three-Component Olefin Dicarbofunctionalization Enabled by Nickel/Photoredox Dual Catalysis. J. Am. Chem. Soc. 2019, 141, 20069–20078. [Google Scholar] [CrossRef]
- Fukuzumi, S.; Lee, Y.M.; Nam, W. Photocatalytic redox reactions with metalloporphyrins. J. Porphyr. Phthalocyanines 2020, 24, 21–32. [Google Scholar] [CrossRef]
- Ma, L.S.; Feng, W.X.; Xi, Y.Y.; Chen, X.B.; Lin, X.F. Mechanistic Insights into Visible-Light-Driven Dearomative Fluoroalkylation Mediated by an Electron Donor-Acceptor Complex. J. Org. Chem. 2022, 87, 944–951. [Google Scholar]
- Matsuo, K.; Yamaguchi, E.; Itoh, A. In Situ-Generated Halogen-Bonding Complex Enables Atom Transfer Radical Addition (ATRA) Reactions of Olefins. J. Org. Chem. 2020, 85, 10574–10583. [Google Scholar] [PubMed]
- Romero, N.A.; Nicewicz, D.A. Organic Photoredox Catalysis. Chem. Rev. 2016, 116, 10075–10166. [Google Scholar] [CrossRef]
- Patel, M.; Desai, B.; Sheth, A.; Dholakiya, B.Z.; Naveen, T. Recent Advances in Mono- and Difunctionalization of Unactivated Olefins. Asian J. Org. Chem. 2021, 10, 3201–3232. [Google Scholar] [CrossRef]
- Klauck, F.J.R.; Yoon, H.; James, M.J.; Lautens, M.; Glorius, F. Visible-Light-Mediated Deaminative Three-Component Dicarbofunctionalization of Styrenes with Benzylic Radicals. ACS Catal. 2019, 9, 236–241. [Google Scholar] [CrossRef]
- Cabrera-Afonso, M.J.; Sookezian, A.; Badir, S.O.; El Khatib, M.; Molander, G.A. Photoinduced 1,2-dicarbofunctionalization of alkenes with organotrifluoroborate nucleophiles via radical/polar crossover. Chem. Sci. 2021, 12, 9189–9195. [Google Scholar] [CrossRef] [PubMed]
- Wang, X.F.; Guo, X.Y.; Liu, T. Two Co(II)-based Coordination Polymers Constructed from π-electron-rich Polycarboxylate Aryl Ether Ligand: Structural Insights and Photocatalytic Dye Degradation. Chin. J. Struct. Chem. 2021, 40, 722–728. [Google Scholar]
- Huang, H.L.; Xu, J.; Fan, Y.X.; Su, Q.Q.; Du, J.Y.; Zhang, R.F.; Wang, Y.L.; Hu, H.; Gao, F. Visible-Light-Induced Difunctionalization of Alkenyl Ketones with α-Carbonyl Alkyl Bromide: Concomitant Installation of C-C Bonds. J. Org. Chem. 2022, 87, 14093–14102. [Google Scholar]
- Mao, L.L.; Zhou, A.X.; Zhu, X.H.; Peng, H.; Quan, L.X.; Wan, J.P.; Yang, S.D. Visible-Light-Mediated Tandem Difluoromethylation/Cyclization of Alkenyl Aldehydes toward CF2H-Substituted Chroman-4-one Derivatives. J. Org. Chem. 2022, 87, 12414–12423. [Google Scholar] [CrossRef]
- Lei, Z.R.; Wei, S.Q.; Zhou, L.J.; Zhang, Z.X.; Lopez, S.E.; Dolbier, W.R. Photocatalytic difluoromethylarylation of unactivated alkenes via a (hetero)aryl neophyl-like radical migration. Org. Biomol. Chem. 2022, 20, 5712–5715. [Google Scholar] [CrossRef]
- Chen, H.; Ye, J.L.; Huang, P.Q. Chemoselective direct reductive trifluoromethylation of amides: A flexible access to functionalized alpha-trifluoromethylamines. Org. Chem. Front. 2018, 5, 943–947. [Google Scholar] [CrossRef]
- Jang, J.; Kim, D.Y. Synthesis of Trifluoromethylated 4H-1-Benzopyran Derivatives via Photocatalytic Trifluoromethylation/Oxidation/Conjugate Addition, and Cyclization Sequences of Vinyl Phenols. Asian J. Org. Chem. 2022, 11, e202200052. [Google Scholar] [CrossRef]
- Guan, Y.Q.; Min, X.T.; He, G.C.; Ji, D.W.; Guo, S.Y.; Hu, Y.C.; Chen, Q.A. The serendipitous effect of KF in Ritter reaction: Photo-induced amino-alkylation of alkenes. Iscience 2021, 24, 102969. [Google Scholar] [CrossRef] [PubMed]
- Zhang, S.; Gutierrez-Bonet, A.; Molander, G.A. Merging Photoredox PCET with Ni-Catalyzed Cross-Coupling: Cascade Amidoarylation of Unactivated Olefins. Chem 2019, 5, 339–352. [Google Scholar] [CrossRef]
- Feng, Z.; Xiao, Y.L.; Zhang, X.G. Palladium-catalyzed phosphonyldifluoromethylation of alkenes with bromodifluoromethylphosphonate. Org. Chem. Front. 2016, 3, 466–469. [Google Scholar] [CrossRef]
- Yang, Q.; Li, C.; Qi, Z.C.; Qiang, X.Y.; Yang, S.D. Photocatalyzed Intermolecular Aminodifluoromethylphosphonation of Alkenes: Facile Synthesis of alpha,alpha-Difluoro-gamma- aminophosphonates. Chem. Eur. J. 2018, 24, 14363–14367. [Google Scholar] [CrossRef] [PubMed]
- Li, D.K.; Mao, T.T.; Huang, J.B.; Zhu, Q. Copper-Catalyzed Bromodifluoroacetylation of Alkenes with Ethyl Bromodifluoroacetate. J. Org. Chem. 2018, 83, 10445–10452. [Google Scholar] [CrossRef] [PubMed]
- Luo, X.W.; Zhang, B.; Xi, C.J. Photoredox-catalyzed hydroxydifluoroacetylation of alkenes with FSO2CF2CO2Me and H2O: Simple synthesis of CF2CO2Me-containing alcohols and difluorolactones. Green Chem. 2021, 23, 2324–2328. [Google Scholar] [CrossRef]
- Zou, S.; Luo, X.W.; Chen, C.; Xi, C.J. Photoredox-catalyzed fluorodifluoroacetylation of alkenes with FSO2CF2CO2Me and Et3N center dot 3HF. Org. Biomol. Chem. 2022, 20, 3726–3730. [Google Scholar] [CrossRef]
- Ge, H.; Wu, B.; Liu, Y.; Wang, H.; Shen, Q. Synergistic Lewis Acid and Photoredox-Catalyzed Trifluoromethylative Difunctionalization of Alkenes with Selenium Ylide-Based Trifluoromethylating Reagent. ACS Catal. 2020, 10, 12414–12424. [Google Scholar] [CrossRef]
- Zhang, X.H.; Cao, Y.W.; Chen, Q.Y.; Shen, C.R.; He, L. Recent Progress in Homogeneous Reductive Carbonylation of Carbon Dioxide with Hydrogen. Acta Phys.-Chim. Sin. 2021, 37, 20070052. [Google Scholar] [CrossRef]
- Wang, Q.; Nilsson, T.; Eriksson, L.; Szabo, K.J. Sulfenofunctionalization of Chiral alpha-Trifluoromethyl Allylboronic Acids: Asymmetric Synthesis of SCF3, SCF2R, SCN and SAr Compounds. Angew. Chem. Inter. Ed. 2022, 61, e202210509. [Google Scholar]
- Dagousset, G.; Simon, C.; Anselmi, E.; Tuccio, B.; Billard, T.; Magnier, E. Generation of the SCF3 Radical by Photoredox Catalysis: Intra- and Intermolecular Carbotrifluoromethylthiolation of Alkenes. Chem. Eur. J. 2017, 23, 4282–4286. [Google Scholar] [CrossRef]
- Zhang, P.B.; Li, W.W.; Qu, W.L.; Shu, Z.G.; Tao, Y.Y.; Lin, J.M.; Gao, X. Copper and Photocatalytic Radical Relay Enabling Fluoroalkylphosphorothiolation of Alkenes: Modular Synthesis of Fluorine-Containing S-Alkyl Phosphorothioates and Phosphorodithioates. Org. Lett. 2021, 23, 9267–9272. [Google Scholar] [CrossRef] [PubMed]
- Zhang, P.B.; Yu, G.; Li, W.W.; Shu, Z.G.; Wang, L.Y.; Li, Z.T.; Gao, X. Copper-Catalyzed Multicomponent Trifluoromethylphosphorothiolation of Alkenes: Access to CF3-Containing Alkyl Phosphorothioates. Org. Lett. 2021, 23, 5848–5852. [Google Scholar] [CrossRef] [PubMed]
- Wang, H.M.; Bellotti, P.; Zhang, X.L.; Paulisch, T.O.; Glorius, F. A base-controlled switch of SO2 reincorporation in photocatalyzed radical difunctionalization of alkenes. Chem 2021, 7, 3412–3424. [Google Scholar] [CrossRef]
- Zhao, X.J.; Chang, Y.D.; Chen, W.J.; Wu, Q.S.; Pan, X.Y.; Chen, K.F.; Weng, B. Recent Progress in Pd-Based Nanocatalysts for Selective Hydrogenation. ACS Omega 2022, 7, 17–31. [Google Scholar] [CrossRef]
- Guyon, H.; Chachignon, H.; Cahard, D. CF3SO2X (X = Na, Cl) as reagents for trifluoromethylation, trifluoromethylsulfenyl-, -sulfinyl- and -sulfonylation. Part 1: Use of CF3SO2Na. Beilstein J. Org. Chem. 2017, 13, 2764–2799. [Google Scholar] [CrossRef]
- Tang, K.; Chen, Y.X.; Guan, J.P.; Wang, Z.J.; Chen, K.; Xiang, H.Y.; Yang, H. Visible-light-promoted olefinic trifluoromethylation of enamides with CF3SO2Na. Org. Biomol. Chem. 2021, 19, 7475–7479. [Google Scholar] [CrossRef]
- Tanaka, S.; Nakayama, Y.; Konishi, Y.; Koike, T.; Akita, M. Fluoroalkanesulfinate Salts as Dual Fluoroalkyl and SO2 Sources: Atom-Economical Fluoroalkyl-Sulfonylation of Alkenes and Alkynes by Photoredox Catalysis. Org. Lett. 2020, 22, 2801–2805. [Google Scholar] [CrossRef] [PubMed]
- Liang, S.S.; Wei, J.J.; Jiang, L.Q.; Liu, J.; Mumtaz, Y.; Yi, W.B. Photocatalyzed Dual-Oxidative Trifluoromethylthio-Trifluoromethylation of Alkenes with CF3SO2Na. CCS Chem. 2021, 3, 265–273. [Google Scholar] [CrossRef]
- Wang, L.; Cheng, P.; Wang, X.H.; Wang, W.; Zeng, J.G.; Liang, Y.; Reiser, O. Visible-light promoted sulfonamidation of enol acetates to alpha-amino ketones based on redox-neutral photocatalysis. Org. Chem. Front. 2019, 6, 3771–3775. [Google Scholar] [CrossRef]
- Mo, J.N.; Yu, W.L.; Chen, J.Q.; Hu, X.Q.; Xu, P.F. Regiospecific Three-Component Aminofluorination of Olefins via Photoredox Catalysis. Org. Lett. 2018, 20, 4471–4474. [Google Scholar] [CrossRef]
- Barata-Vallejo, S.; Lantano, B.; Postigo, A. Recent Advances in Trifluoromethylation Reactions with Electrophilic Trifluoromethylating Reagents. Chem. Eur. J. 2014, 20, 16806–16829. [Google Scholar] [CrossRef]
- Yasu, Y.; Koike, T.; Akita, M. Three-component Oxytrifluoromethylation of Alkenes: Highly Efficient and Regioselective Difunctionalization of C=C Bonds Mediated by Photoredox Catalysts. Angew. Chem. Int. Ed. 2012, 51, 9567–9571. [Google Scholar] [CrossRef] [PubMed]
- Zhou, F.; Cheng, Y.; Liu, X.P.; Chen, J.R.; Xiao, W.J. A visible light photoredox catalyzed carbon radical-mediated generation of ortho-quinone methides for 2,3-dihydrobenzofuran synthesis. Chem. Commun. 2019, 55, 3117–3120. [Google Scholar] [CrossRef]
- Hirata, G.; Shimada, T.; Nishikata, T. Organo-photoredox-Catalyzed Atom-Transfer Radical Substitution of Alkenes with α-Carbonyl Alkyl Halides. Org. Lett. 2020, 22, 8952–8956. [Google Scholar] [CrossRef]
- Yan, D.M.; Xu, S.H.; Qian, H.; Gao, P.P.; Bi, M.H.; Xiao, W.J.; Chen, J.R. Photoredox-Catalyzed and Copper(II) Salt-Assisted Radical Addition/Hydroxylation Reaction of Alkenes, Sulfur Ylides, and Water. ACS Catal. 2022, 12, 3279–3285. [Google Scholar] [CrossRef]
- Li, J.; Yuan, Y.; Bao, X.; Sang, T.; Yang, J.; Huo, C. Visible-Light-Induced Intermolecular Oxyimination of Alkenes. Org. Lett. 2021, 23, 3712–3717. [Google Scholar] [CrossRef]
- Hu, X.Q.; Chen, J.; Chen, J.R.; Yan, D.M.; Xiao, W.J. Organophotocatalytic Generation of N- and O-Centred Radicals Enables Aerobic Oxyamination and Dioxygenation of Alkenes. Chem. Eur. J. 2016, 22, 14141–14146. [Google Scholar] [CrossRef]
- Li, J.S.; Luo, Y.X.; Cheo, H.W.; Lan, Y.; Wu, J. Photoredox-Catalysis-Modulated, Nickel-Catalyzed Divergent Difunctionalization of Ethylene. Chem. 2019, 5, 192–203. [Google Scholar] [CrossRef]
- Bo, Z.Y.; Yan, S.S.; Gao, T.Y.; Song, L.; Ran, C.K.; He, Y.; Zhang, W.; Cao, G.M.; Yu, D.G. Visible-light photoredox-catalyzed selective carboxylation of C(sp(2))-F bonds in polyfluoroarenes with CO2. Chin. J. Catal. 2022, 43, 2388–2394. [Google Scholar] [CrossRef]
- Uno, M.; Sumino, S.; Fukuyama, T.; Matsuura, M.; Kuroki, Y.; Kishikawa, Y.; Ryu, I. Synthesis of 4,4-Difluoroalkenes by Coupling of α-Substituted α,α-Difluoromethyl Halides with Allyl Sulfones under Photoredox Catalyzed Conditions. J. Org. Chem. 2019, 84, 9330–9338. [Google Scholar] [CrossRef] [PubMed]
- Liu, T.; Liu, J.; He, J.; Hong, Y.; Zhou, H.; Liu, Y.L.; Tang, S. Recent Advances in Photoinduced Perfluoroalkylation Using Perfluoroalkyl Halides as the Radical Precursors. Synthesis 2022, 54, 1919–1938. [Google Scholar]
- Xu, P.; Xie, J.; Xue, Q.C.; Pan, C.D.; Cheng, Y.X.; Zhu, C.J. Visible-Light-Induced Trifluoromethylation of N-Aryl Acrylamides: A Convenient and Effective Method to Synthesize CF3-Containing Oxindoles Bearing a Quaternary Carbon Center. Chem. Eur. J. 2013, 19, 14039–14042. [Google Scholar] [CrossRef]
- Chen, L.L.; Ma, P.J.; Yang, B.; Zhao, X.; Huang, X.; Zhang, J.M. Photocatalyst and additive-free visible light induced trifluoromethylation-arylation of N-arylacrylamides with Umemoto’s reagent. Chem. Commun. 2021, 57, 1030–1033. [Google Scholar] [CrossRef]
- Levitre, G.; Dagousset, G.; Anselmi, E.; Tuccio, B.; Magnier, E.; Masson, G. Four-Component Photoredox-Mediated Azidoalkoxy-trifluoromethylation of Alkenes. Org. Lett. 2019, 21, 6005–6010. [Google Scholar] [CrossRef]
- Hoque, I.U.; Chowdhury, S.R.; Maity, S. Photoredox-Catalyzed Intermolecular Radical Arylthiocyanation/Arylselenocyanation of Alkenes: Access to Aryl-Substituted Alkylthiocyanates/Alkylselenocyanates. J. Org. Chem. 2019, 84, 3025–3035. [Google Scholar] [CrossRef]
- Jiang, H.; Yu, W.; Tang, X.; Li, J.; Wu, W. Copper-Catalyzed Aerobic Oxidative Regioselective Thiocyanation of Aromatics and Heteroaromatics. J. Org. Chem. 2017, 82, 9312–9320. [Google Scholar] [CrossRef] [PubMed]
- Yasu, Y.; Koike, T.; Akita, M. Intermolecular Aminotrifluoromethylation of Alkenes by Visible-Light-Driven Photoredox Catalysis. Org. Lett. 2013, 15, 2136–2139. [Google Scholar] [CrossRef]
- Chen, B.G.; Ying, Q.Y.; Shen, J.N. Hotspots of Photocatalytic Materials in 2020 Based on Big Data. Chin. J. Struct. Chem. 2021, 40, 1317–1327. [Google Scholar]
- Zhou, X.C.; Li, G.J.; Shao, Z.Z.; Fang, K.; Gao, H.J.; Li, Y.Q.; She, Y.B. Four-component acyloxy-trifluoromethylation of arylalkenes mediated by a photoredox catalyst. Org. Biomol. Chem. 2019, 17, 24–29. [Google Scholar] [CrossRef] [PubMed]
- Pagire, S.K.; Paria, S.; Reiser, O. Synthesis of β-Hydroxysulfones from Sulfonyl Chlorides and Alkenes Utilizing Visible Light Photocatalytic Sequences. Org. Lett. 2016, 18, 2106–2109. [Google Scholar] [CrossRef] [PubMed]
- Li, H.Y.; Shan, C.C.; Tung, C.H.; Xu, Z.H. Dual gold and photoredox catalysis: Visible light-mediated intermolecular atom transfer thiosulfonylation of alkenes. Chem. Sci. 2017, 8, 2610–2615. [Google Scholar] [CrossRef]
- Alkan-Zambada, M.; Hu, X. Cu-Catalyzed Photoredox Chlorosulfonation of Alkenes and Alkynes. J. Org. Chem. 2019, 84, 4525–4533. [Google Scholar] [CrossRef]
- Wang, H.; Hu, P.; Zhou, J.; Roeffaers, M.B.J.; Weng, B.; Wang, Y.Q.; Ji, H.B. Ultrathin 2D/2D Ti3C2Tx/semiconductor dual-functional photocatalysts for simultaneous imine production and H-2 evolution. J. Mater. Chem. A 2021, 35, 19984–19993. [Google Scholar] [CrossRef]
- Xiong, Y.; Ma, X.; Zhang, G. Copper-Catalyzed Intermolecular Carboamination of Alkenes Induced by Visible Light. Org. Lett. 2019, 21, 1699–1703. [Google Scholar] [CrossRef] [PubMed]
- Engl, S.; Reiser, O. Copper Makes the Difference: Visible Light-Mediated Atom Transfer Radical Addition Reactions of Iodoform with Olefins. ACS Catal. 2020, 10, 9899–9906. [Google Scholar] [CrossRef]
- Kayanuma, M. Theoretical Study of Atom-Transfer Radical Addition Reactions between Perfluoroalkyl Iodides and Styrene Using a Copper Photoredox Catalyst. J. Phys. Chem. A 2023, 127, 153–159. [Google Scholar] [CrossRef]
- He, J.; Chen, C.; Fu, G.C.; Peters, J.C. Visible-Light-Induced, Copper-Catalyzed Three-Component Coupling of Alkyl Halides, Olefins, and Trifluoromethylthiolate to Generate Trifluoromethyl Thioethers. ACS Catal. 2018, 8, 11741–11748. [Google Scholar] [CrossRef] [PubMed]
- Lee, K.; Lee, S.; Kim, N.; Kim, S.; Hong, S. Visible-Light-Enabled Trifluoromethylative Pyridylation of Alkenes from Pyridines and Triflic Anhydride. Angew. Chem. Int. Ed. 2020, 59, 13379–13384. [Google Scholar] [CrossRef] [PubMed]
- Jeon, J.; He, Y.T.; Shin, S.; Hong, S. Visible-Light-Induced ortho-Selective Migration on Pyridyl Ring: Trifluoromethylative Pyridylation of Unactivated Alkenes. Angew. Chem. Int. Ed. 2020, 59, 281–285. [Google Scholar] [CrossRef]
- Yang, W.C.; Chen, C.Y.; Li, J.F.; Wang, Z.L. Radical denitrogenative transformations of polynitrogen heterocycles: Building C-N bonds and beyond. Chin. J. Catal. 2021, 42, 1865–1875. [Google Scholar] [CrossRef]
- Ouyang, X.H.; Li, Y.; Song, R.J.; Hu, M.; Luo, S.L.; Li, J.H. Intermolecular dialkylation of alkenes with two distinct C(sp(3))-H bonds enabled by synergistic photoredox catalysis and iron catalysis. Sci. Adv. 2019, 5, eaav9839. [Google Scholar] [CrossRef] [PubMed]
- Xiong, Y.J.; Zhang, X.Y.; Guo, H.M.; Wu, X.S. Photoredox/persistent radical cation dual catalysis for alkoxy radical generation from alcohols. Org. Chem. Front. 2022, 9, 3532–3539. [Google Scholar] [CrossRef]
- Vishwakarma, R.K.; Kumar, S.; Singh, K.N. Visible-Light-Induced Photocatalytic Synthesis of β-Keto Dithiocarbamates via Difunctionalization of Styrenes. Org. Lett. 2021, 23, 4147–4151. [Google Scholar] [CrossRef] [PubMed]
- Xin, J.R.; Guo, J.T.; Vigliaturo, D.; He, Y.H.; Guan, Z. Metal-free visible light driven synthesis of tetrahydroquinoline derivatives utilizing Rose Bengal. Tetrahedron 2017, 73, 4627–4633. [Google Scholar] [CrossRef]
- Kim, M.; You, E.A.; Kim, J.; Hong, S.W. Site-Selective Pyridylic C-H Functionalization by Photocatalytic Radical Cascades. Angew. Chem. Int. Ed. 2022, 61, e202204217. [Google Scholar]
- Noto, N.; Koike, T.; Akita, M. Visible-Light-Triggered Monofluoromethylation of Alkenes by Strongly Reducing 1,4-Bis(diphenylamino)naphthalene Photoredox Catalysis. ACS Catal. 2019, 9, 4382–4387. [Google Scholar] [CrossRef]
- Wang, Z.W.; Liu, Q.S.; Liu, R.S.; Ji, Z.Y.; Li, Y.; Zhao, X.H.; Wei, W. Visible-light-initiated 4CzIPN catalyzed multi-component tandem reactions to assemble sulfonated quinoxalin-2(1H)-ones. Chin. Chem. Lett. 2022, 33, 1479–1482. [Google Scholar] [CrossRef]
- Ma, C.H.; Ji, Y.; Zhao, J.; He, X.; Zhang, S.T.; Jiang, Y.Q.; Yu, B. Transition-metal-free three-component acetalation-pyridylation of alkenes via photoredox catalysis. Chin. J. Catal. 2022, 43, 571–583. [Google Scholar] [CrossRef]
- Shibutani, S.; Nagao, K.; Ohmiya, H. Organophotoredox-Catalyzed Three-Component Coupling of Heteroatom Nucleophiles, Alkenes, and Aliphatic Redox Active Esters. Org. Lett. 2021, 23, 1798–1803. [Google Scholar] [CrossRef]
- Qi, Y.; Hao, Y.; Miao, X.; Tao, C. Theoretical Research on the Electroreduction of Carbon Dioxide. Acta Phys.-Chim. Sin. 2021, 37, 2010040. [Google Scholar]
- Ghosh, K.G.; Das, D.; Garai, S.; Chandu, P.; Sureshkumar, D. Visible-Light-Driven Organophotocatalyzed Multicomponent Approach for Tandem C(sp3)–H Activation and Alkylation Followed by Trifluoromethylthiolation. J. Org. Chem. 2022, 87, 8611–8622. [Google Scholar] [CrossRef] [PubMed]
- Wu, Z.; Ma, D.; Zhou, B.; Ji, X.M.; Ma, X.T.; Wang, X.L.; Zhang, Y.H. Palladium-Catalyzed Alkylation with Alkyl Halides by C(sp(3))-H Activation. Angew. Chem. Inter. Ed. 2017, 56, 12288–12291. [Google Scholar] [CrossRef]
- Hong, J.E.; Jung, Y.; Min, D.; Jang, M.; Kim, S.; Park, J.; Park, Y. Visible-Light-Induced Organophotocatalytic Difunctionallization: Open-Air Hydroxysulfurization of Aryl Alkenes with Aryl Thiols. J. Org. Chem. 2022, 87, 7378–7391. [Google Scholar] [CrossRef]
- Sinha, A.K.; Equbal, D. Thiol-Ene Reaction: Synthetic Aspects and Mechanistic Studies of an Anti-Markovnikov-Selective Hydrothiolation of Olefins. Asian J. Org. Chem. 2019, 8, 32–47. [Google Scholar] [CrossRef]
- Fang, J.; Wang, Z.K.; Wu, S.W.; Shen, W.G.; Ao, G.Z.; Liu, F. Photoredox-catalysed chloro-, bromo- and trifluoromethylthio-trifluoromethylation of unactivated alkenes with sodium triflinate. Chem. Commun. 2017, 53, 7638–7641. [Google Scholar] [CrossRef]
- Hou, J.; Ee, A.; Cao, H.; Ong, H.W.; Xu, J.H.; Wu, J. Visible-Light-Mediated Metal-Free Difunctionalization of Alkenes with CO2 and Silanes or C(sp(3))-H Alkanes. Angew. Chem. Inter. Ed. 2018, 57, 17220–17224. [Google Scholar] [CrossRef]
- Igawa, K.; Kawasaki, Y.; Nozaki, S.; Kokan, N.; Tomooka, K. Ozone Oxidation of Silylalkene: Mechanistic Study and Application for the Synthesis of Silacarboxylic Acid Derivatives. J. Org. Chem. 2020, 85, 4165–4171. [Google Scholar] [CrossRef]
- Qian, H.; Chen, J.; Zhang, B.; Cheng, Y.; Xiao, W.J.; Chen, J.R. Visible-Light-Driven Photoredox-Catalyzed Three-Component Radical Cyanoalkylfluorination of Alkenes with Oxime Esters and a Fluoride Ion. Org. Lett. 2021, 23, 6987–6992. [Google Scholar] [CrossRef]
- Wei, M.H.; Zhang, J.M.; Liu, C.K.; He, W.; Wang, T.Y.; Yang, X.B.; Yang, Z.; Fang, Z.; Guo, K. Microfluidic synthesis of pyrrolidin-2-ones via photoinduced organocatalyzed cyclization of styrene, alpha-bromoalkyl esters and primary amines. Org. Biomol. Chem. 2021, 19, 6468–6472. [Google Scholar] [CrossRef]
- Patra, T.; Das, M.; Daniliuc, C.G.; Glorius, F. Metal-free photosensitized oxyimination of unactivated alkenes with bifunctional oxime carbonates. Nat. Catal. 2021, 4, 54–61. [Google Scholar] [CrossRef]
- Jiang, H.; Studer, A. Transition-Metal-Free Three-Component Radical 1,2-Amidoalkynylation of Unactivated Alkenes. Chem. Eur. J. 2019, 25, 516–520. [Google Scholar] [CrossRef] [PubMed]
- Kulthe, A.D.; Mainkar, P.S.; Akondi, S.M. Intermolecular trifluoromethyl-alkenylation of alkenes enabled by metal-free photoredox catalysis. Chem. Commun. 2021, 57, 5582–5585. [Google Scholar] [CrossRef] [PubMed]
- Singh, S.; Dagar, N.; Pal, G.; Roy, S.R. Photoinduced radical cascade reactions for the thioalkylation of quinoxalin-2(1H)-ones: An access to beta-heteroaryl thioethers under metal- and catalyst-free conditions. Green Chem. 2022, 24, 8460–8465. [Google Scholar] [CrossRef]
- Ni, Z.; Huang, X.; Pan, Y. Metal-Free Mediated Meerwein-Type Reaction: A Radical Cascade Arylation/Aryl Migration/Desulfonylation of Conjugated Alkenes. Org. Lett. 2016, 18, 2612–2615. [Google Scholar] [CrossRef]
- Firth, J.D.; Fairlamb, I.J.S. A Need for Caution in the Preparation and Application of Synthetically Versatile Aryl Diazonium Tetrafluoroborate Salts. Org. Lett. 2020, 22, 7057–7059. [Google Scholar] [CrossRef]
- Cai, Y.; Ritter, T. Meerwein-type Bromoarylation with Arylthianthrenium Salts. Angew. Chem. Inter. Ed. 2022, 61, e202209882. [Google Scholar] [CrossRef]
- Ju, T.; Zhou, Y.Q.; Cao, K.G.; Fu, Q.; Ye, J.H.; Sun, G.Q.; Liu, X.F.; Chen, L.; Liao, L.L.; Yu, D.G. Dicarboxylation of alkenes, allenes and (hetero)arenes with CO2 via visible-light photoredox catalysis. Nat. Catal. 2021, 4, 304–311. [Google Scholar] [CrossRef]
- Yang, Z.L.; Liu, Y.T.; Cao, K.; Zhang, X.B.; Jiang, H.Z.; Li, J.H. Synthetic reactions driven by electron-donor-acceptor (EDA) complexes. Beilstein J. Org. Chem. 2021, 17, 771–799. [Google Scholar] [CrossRef]
- Li, Z.B.; Wang, S.; Huo, Y.M.; Wang, B.; Yan, J.; Guo, Q.P. Visible light-driven fluoroalkylthiocyanation of alkenes via electron donor-acceptor complexes. Org. Chem. Front. 2021, 8, 3076–3081. [Google Scholar] [CrossRef]
- Engl, S.; Reiser, O. Catalyst-Free Visible-Light-Mediated Iodoamination of Olefins and Synthetic Applications. Org. Lett. 2021, 23, 5581–5586. [Google Scholar] [CrossRef]
- Yu, J.M.; Zhu, L.W.; Hong, X.Y.; Gao, H.; Chen, T.T. Visible light-induced alkylpyridylation of styrenes via a reductive radical three-component coupling. Org. Biomol. Chem. 2021, 19, 5642–5648. [Google Scholar] [CrossRef] [PubMed]
- Lin, L.; Yang, Z.L.; Liu, J.C.; Wang, J.X.; Zheng, J.L.; Li, J.L.; Zhang, X.B.; Liu, X.W.; Jiang, H.Z.; Li, J.H. Visible-light-induced surfactant-promoted sulfonylation of alkenes and alkynes with sulfonyl chloride by the formation of an EDA-complex with NaI in water at room temperature. Green Chem. 2021, 23, 5467–5473. [Google Scholar] [CrossRef]
- Peng, Z.; Hong, Y.Y.; Peng, S.; Xu, X.Q.; Tang, S.S.; Yang, L.H.; Xie, L.Y. Photosensitizer-free synthesis of beta-keto sulfones via visible-light-induced oxysulfonylation of alkenes with sulfonic acids. Org. Biomol. Chem. 2021, 19, 4537–4541. [Google Scholar] [CrossRef]
- Pham, V.L.; Kim, D.G.; Ko, S.O. Advanced oxidative degradation of acetaminophen by carbon catalysts: Radical vs non-radical pathways. Environ. Res. 2020, 188, 109767. [Google Scholar] [CrossRef]
- Nadiveedhi, M.R.; Cirandur, S.R.; Akondi, S.M. Visible-light-promoted photocatalyst- and additive-free intermolecular trifluoromethyl-thio(seleno)cyanation of alkenes. Green Chem. 2020, 22, 5589–5593. [Google Scholar] [CrossRef]
- Wang, H.S.; Li, S.Y.; Cui, Y.; Liu, M.Q.; Bu, X.B.; Tian, H.; Yang, X.B. A covalent organic framework-catalyzed visible-light-induced three-component cascade synthesis of trifluoroalkyl and trifluoroalkenyl quinoxalin-2(1H)-one derivatives. New J. Chem. 2022, 46, 20412–20418. [Google Scholar] [CrossRef]
- Liang, Z.; Wang, F.; Chen, P.; Liu, G. Copper-Catalyzed Intermolecular Trifluoromethylthiocyanation of Alkenes: Convenient Access to CF3-Containing Alkyl Thiocyanates. Org. Lett. 2015, 17, 2438–2441. [Google Scholar] [CrossRef] [PubMed]






























































Disclaimer/Publisher’s Note: The statements, opinions and data contained in all publications are solely those of the individual author(s) and contributor(s) and not of MDPI and/or the editor(s). MDPI and/or the editor(s) disclaim responsibility for any injury to people or property resulting from any ideas, methods, instructions or products referred to in the content. |
© 2023 by the authors. Licensee MDPI, Basel, Switzerland. This article is an open access article distributed under the terms and conditions of the Creative Commons Attribution (CC BY) license (https://creativecommons.org/licenses/by/4.0/).
Share and Cite
Liu, Y.; Liu, H.; Liu, X.; Chen, Z. Recent Advances in Photoredox-Catalyzed Difunctionalization of Alkenes. Catalysts 2023, 13, 1056. https://doi.org/10.3390/catal13071056
Liu Y, Liu H, Liu X, Chen Z. Recent Advances in Photoredox-Catalyzed Difunctionalization of Alkenes. Catalysts. 2023; 13(7):1056. https://doi.org/10.3390/catal13071056
Chicago/Turabian StyleLiu, Yong, Huan Liu, Xiao Liu, and Zhangpei Chen. 2023. "Recent Advances in Photoredox-Catalyzed Difunctionalization of Alkenes" Catalysts 13, no. 7: 1056. https://doi.org/10.3390/catal13071056
APA StyleLiu, Y., Liu, H., Liu, X., & Chen, Z. (2023). Recent Advances in Photoredox-Catalyzed Difunctionalization of Alkenes. Catalysts, 13(7), 1056. https://doi.org/10.3390/catal13071056

