Abstract
Chiral porous organic frameworks have emerged in the last decade as candidates for heterogeneous asymmetric organocatalysis. This review aims to provide a summary of the synthetic strategies towards the design of chiral organic materials, the characterization techniques used to evaluate their chirality, and their applications in asymmetric organocatalysis. We briefly describe the types of porous organic frameworks, including crystalline (covalent organic frameworks, COFs) and amorphous (conjugated microporous polymers, CMPs; covalent triazine frameworks, CTFs and porous aromatic frameworks, PAFs) materials. Furthermore, the strategies reported to incorporate chirality in porous organic materials are presented. We finally focus on the applications of chiral porous organic frameworks in asymmetric organocatalytic reactions, summarizing and categorizing all the available literature in the field.
1. Introduction
Chirality has important implications for many biological processes and plays a crucial role in the development of new drugs and materials [1,2]. For instance, more than half of the commercial pharmaceuticals are chiral. Thus, in the recent years, a growing interest in enantiomerically pure compounds has emerged in medicinal chemistry because of the possible toxicity of inactive enantiomers [3,4]. In addition, chirality is relevant for a wide variety of other fields, such as crop protection, flavors, fragrancies, and synthetic chemistry [5,6,7,8]. Therefore, asymmetric catalysis, the use of chiral catalysts to selectively produce a desired chiral product, is an important research field that includes several strategies, such as the use of metal complexes or enzymes.
Organocatalysis, the use of chiral organic molecules as catalysts, has emerged as a highly efficient alternative to traditional asymmetric catalysis methods. Chiral organocatalysts correspond to different kinds of molecules such as amines or amino acids, Brønsted acids, phosphoric acids, or imidazolidinones [9]. Asymmetric organocatalysis offers several advantages over traditional strategies. For instance, chiral organic molecules are generally less toxic and more environmentally friendly than metal catalysts [10]. Furthermore, chiral organic molecules can be readily synthesized and are often less expensive. Asymmetric organocatalysis also offers high functional group compatibility, as the reactions can be carried out under mild conditions, reducing the risk of unwanted side reactions. However, organocatalysis suffers from some general drawbacks, such as the need for high catalyst loading, low catalyst stability, and the difficulty in catalyst recovery [11].
Owing to the inherent advantages of asymmetric organocatalysis, the research on systems that allow to overcome their common drawbacks, described above, is a major goal in modern chemistry. To this end, the incorporation of organocatalytic fragments into porous materials is a strategy that has recently started to blossom [12]. A particularly appealing family of porous frameworks with a great potential are those constructed by the covalent assembly of exclusively organic building blocks. Such materials, covalent organic frameworks and their amorphous analogs, offer several advantages over other types of porous materials [13,14]. First, porous organic materials can present high stability under a wide range of conditions, including high temperatures and acidic or basic environments. Moreover, they possess an extraordinarily tailorable structures and, therefore, their properties can be precisely tuned by modifying their molecular precursors, which can include chiral moieties of different nature [15]. Thus, in the literature a growing number of examples of covalent organic frameworks containing chiral fragments have started to appear, as well as their non-crystalline counterparts.
The aim of this review is to compile in an organized manner the examples available in the literature of porous organic frameworks that contain asymmetric fragments able to act as organocatalysts. We start this manuscript by making a brief critical statement on the current general categorization of porous organic materials. Then, we summarize the strategies used to incorporate chirality in such structures and the techniques employed to determine their chiroptical responses. Finally, applications in asymmetric organocatalysis are briefly presented. This short overview offers a comprehensive compilation of the principles that form the foundation of the many expected future developments in this fast-growing field.
2. Critical Considerations on the Classification of Porous Organic Frameworks
Porous organic frameworks are materials designed according to the reticular strategy by connecting predetermined building blocks to generate predictable structures and topologies. The term reticular refers to the structure of the materials obtained, which consists of a network of nodes and linkers that form a three-dimensional framework, and can arise from the expansion of a 3D geometry or from the ordered staking of layered structures [16]. Strictly, the definition reticular chemistry implies the isolation of crystalline materials, which is not always the case for the extended structures included in this review. In fact, we have included catalytic applications of crystalline and amorphous structures.
The goal of reticular design is to create materials with tailored properties, such as specific pore sizes, shapes, and pore surface functionalities, which can be used for a variety of applications, including catalysis. As a result of their potential advanced catalytic applications, these materials could address some of the most urgent global social challenges, such as energy and environmental sustainability, and are, therefore, the subject of intense research worldwide [17].
A particular research playground is the synthetic design and application of porous organic frameworks. One of the most attractive features of these materials is the fact that they are constructed from interconnected networks of organic molecules and, as a consequence, possess a high degree of tunability. Therefore, it is possible to design and synthesize extended organic materials with a wide range of different properties, making them suitable for use in a variety of different contexts.
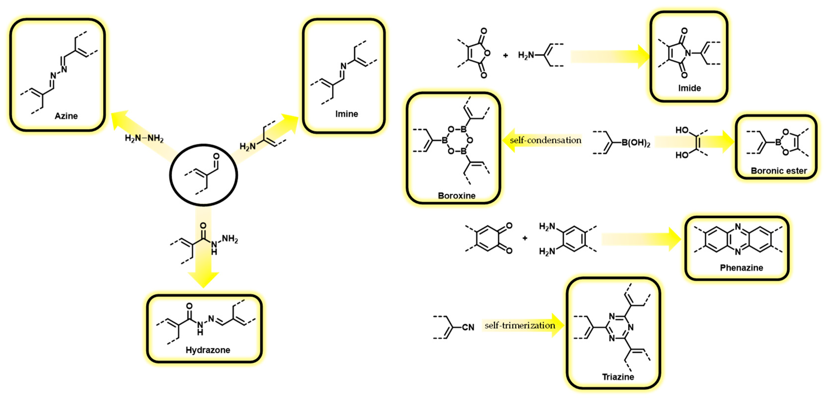
The assembly of organic materials following reticular design has resulted in a plethora of materials that correspond to different denominations. The first and most popular family of reticular organic materials are the Covalent Organic Frameworks (COFs), which are defined as follows: “Class of materials that form two- or three-dimensional structures through reactions between organic precursors resulting in strong, covalent bonds to afford porous, stable, and crystalline materials” [18]. Depending on the geometry of the selected building blocks, the extended structures can adopt several laminar or 3D topologies. This structural design gives rise to engineered pores of predictable sizes and shapes, as shown in Figure 1. The most common approaches for synthesizing COFs include solvothermal, solid-state, microwave-assisted methods, and condensation reactions performed at room temperature [19]. In all cases, the reactivity between the functional groups on the organic building blocks leads to the formation of strong covalent bonds as links of the extended organic framework. The types of linkages that have been used for the preparation of COFs include, among others, boronic esters, boroxine, imine, hydrazone, phenazine, azine, imide, and triazine moieties (Scheme 1) [20,21].
Figure 1.
Representative topologies commonly obtained in the assembly COFs.
Scheme 1.
Reactions commonly used in the assembly of COFs.
A key feature that is inherent to the COF definition is crystallinity, allowing to assign these materials the tag of “reticular chemistry”. This feature is highly relevant for certain applications, such as gas storage and separation, because it is associated with a highly ordered structure with well-defined pores. However, achievement of this property is restricted to condensation reactions with a high degree of reversibility (Scheme 1) that can result, under specific reaction conditions, in the self-healing of structural defects and eventually to preserved long-range structural order.
Amorphous reticular organic designs have been classified in categories different from COFs. One family of amorphous porous organic frameworks are the so-called Conjugated Microporous Polymers (CMPs), which are defined as a class of organic materials that combine extended π-conjugation with a permanently microporous layered structure. The high degree of electron mobility in CMPs makes them very attractive for optoelectronic and photocatalytic applications. The porous structure and electronic properties of CMPs can be tailored by varying the monomer composition, degree of polymerization, and the reaction conditions. CMPs can be synthesized using various polymerization techniques, such as oxidative, Sonogashira, and palladium-catalyzed coupling reactions (Scheme 2) [22].
Scheme 2.
(A) Reactions commonly used in the assembly of CMPs and PAFs. (B) Representative basic structural motifs in CMPs and PAFs.
A specific design of conjugated microporous materials is the one that corresponds to Covalent Triazine Frameworks (CTFs), which can be defined as a class of extended porous organic materials that are composed of triazine-based moieties linked by covalent bonds [23]. Triazine fragments in CTFs provide a flat (layered) structure with high stability. The aromatic carbon–nitrogen bond is very stable and irreversible under standard conditions, and thus, CTFs are generally highly chemically and thermally stable and amorphous in nature. The general synthetic methods to obtain CTFs consist of the cyclotrimerization reaction of the nitrile functional group using Brønsted acids, or Suzuki cross-coupling, Friedel–Crafts reaction, or amidine-mediated procedures [23]. Thus, although amorphous CTFs can be considered a subclass of CMPs because they are microporous and have extended π-conjugation, they are usually denominated according to their specific nomenclature because they were developed separately, and the chemistry of their formation was initially quite different. However, in some limited cases, CTFs synthesized through ionothermal or microwave-assisted methods present partially crystalline structures, which opens the door of the COF realm to CTFs [24,25].
A further twist in the field of reticular designs for organic materials was the appearance of materials known as Porous Aromatic Frameworks (PAFs), which are commonly defined as porous organic polymer formed exclusively by aromatic rigid linkers assembled through strong covalent bonds [26]. Interestingly, first PAF, PAF-1, resulted from the assembly of the tetrakis(4-bromophenyl)methane building block by means of Yamamoto-type Ullman cross-coupling reaction (Scheme 2) [27]. The resulting material was a 3D network containing biphenyl fragments held together by sp3-carbon atoms. Thereafter, many 3D PAFs were developed based on building blocks containing sp3-C atoms. Therefore, PAFs that do not possess extended π-conjugation (which is broken by tetrahedral sp3-C) should be considered as a class of porous organic frameworks different from that of CMPs. However, the definition of PAFs does not exclude laminar designs, which could result in an overlap with the CMP denomination.
Analysis of the available literature reveals a striking ambiguity on which structures could be considered CMPs or a laminar PAFs. For instance, the exactly same chemical structure can be found in literature as CTF-3 or PAF-56 [28,29]. Although the synthetic routes are significantly different, assigning different classifications to identical structures may lead to confusion. Another example of very similar structures consists of porphyrin units assembled through biphenyl (PAF-40) or terphenyl (FeP-CMP) fragments [30,31]. Despite their similarity, the structures are assigned to PAF and CMP families, respectively. Many other examples of laminar designs denominated as PAFs but undistinguishable from CMPs can be found in the literature. For instance, assembly via Sonogashira–Hagihara coupling reaction of 1,3,6,8-tetrabromopyrene with 1,4-diethynylbenzene or 1,3,5-triethynylbenzene resulted in conjugated structures with permanent porosities—therefore qualifying them as CMPs—albeit being denominated as PAF-19 and PAF-20, respectively [32].
Overall, considering the lack of clarity in the classification of amorphous COF counterparts (Figure 2), we urge the researchers in the field to establish unified criteria. Otherwise, further confusion will be added to the literature, increasing the difficulty in the search for published information. As a suitable guideline we propose to make a clear difference between CMP and PAF materials (Figure 2). In this respect, considering the seminal works that reported such structures, it seems reasonable to restrict the PAF definition to non-conjugated structures, such as the 3D architectures that were initially reported under the PAF denomination. Otherwise, it appears logical to propose that conjugated materials should be exclusively denominated as CMPs. In a more general view, a common name should be found for all COFs and their amorphous analogs that are also designed using a reticular approach. Using terminology found in the literature, this comprehensive group of materials could be known as porous organic frameworks (POFs).
Figure 2.
Current classification of extended organic materials. The representative examples of amorphous materials are shown.
3. Introduction of Chirality into Porous Organic Frameworks
There are four main strategies to incorporate chirality into porous organic frameworks (Figure 3):
Figure 3.
The reported approaches to incorporate chirality into reticular organic materials and related advantages and disadvantages (ticks denote advantages and X denotes disadvantages).
- (i)
- Synthesis using chiral building blocks;
- (ii)
- Post-synthetic modification;
- (iii)
- Asymmetric synthesis;
- (iv)
- External chiral induction.
The most straightforward approach is (i) using chiral building blocks as the starting materials, as this approach ensures the full incorporation of the chiral moieties into the material [33,34,35,36,37,38]. Typically, only one of the building blocks contains the chiral moiety. However, care needs to be taken that racemization of the building block does not occur under the chosen synthesis conditions. In addition, the reaction conditions need to be optimized separately for each building block. Furthermore, the use of bulky building blocks may prevent stacking interactions, which could hinder the formation of COF structures. This could potentially be mitigated using a mixed-linker strategy, where the building block bearing the chiral information is mixed with a less bulky non-chiral compound, although in such a case determining the number of chiral groups incorporated into the material may be challenging.
In (ii) post-synthetic modification (PSM), chiral moieties are incorporated to an already synthesized material [39,40,41,42]. This strategy is advantageous to obtain derivatives of a material in one step, and typically high-yielding reactions are employed, such as azide–alkyne and thiol–ene click reactions. The PSM conditions need to be carefully chosen not to jeopardize the integrity of the material and to prevent racemization of the chiral moiety being incorporated. The disadvantages of this strategy include the difficulties in determining the yield of the functionalization reactions, especially in the case of materials of high stability that cannot be digested to the respective building blocks for analysis. In addition, the spatial distribution of the chiral functionalities can be difficult to control in the case of non-quantitative reactions.
Although (iii) asymmetric synthesis is well established in organic synthesis [43], it has not been widely employed to date in the preparation of chiral porous organic frameworks. The attractive feature of this approach is that chirality is imparted by the catalyst material, and thus achiral starting materials can be used. However, determination of the degree of transfer of chiral information may not be trivial. In addition, finding the appropriate reaction conditions to ensure sufficient reversibility to yield reticular materials with long-range order could pose a challenge.
Another less commonly explored approach to chiral porous organic frameworks is (iv) chiral induction [44,45]. In this strategy, the chiral information is imparted by a compound that is present in the reaction medium but that does not become part of the final product, such as a chiral solvent or a chiral modulator, i.e., a compound that reversibly reacts with the building blocks. Although achiral compounds can be used as starting materials, the requirement for the building blocks is that they must have the ability to arrange in a chiral manner. Additionally, in this strategy, determining the degree to which chiral information has been incorporated into the resulting material is not trivial.
In the following, selected examples of each of these four strategies employed to the preparation of chiral porous organic frameworks are presented.
3.1. Chiral Building Blocks
The strategy of preparing chiral porous organic frameworks from chiral building blocks was employed to incorporate a diarylprolinol silyl ether Jørgensen–Hayashi catalyst through Co2(CO)8-mediated trimerization of ethyne-containing building blocks [46], giving access to a high surface area material with both micro- and mesoporosity (Scheme 3A). Sonogashira coupling was used to incorporate chiral tetraaryl-1,3-dioxolane-4,5-dimethanol (TADDOL) building block (Scheme 3B) [47,48], a pyrrolidine compound (Scheme 3C) [49], and an imidazolidinone MacMillan catalyst (Scheme 3C) [50]. BINAP-containing POFs were prepared using copper-catalyzed alkyne–azide click reaction starting from diethynyl 2,2′-bis(diphenylphosphino)-1,1′-binaphthlyl (BINAP) compound (Scheme 3D) [51]. POFs composed of BINOL building blocks have been prepared using various couplings [52], such as FeCl3-induced oxidative homocoupling polymerization (Scheme 3E) [53] or Suzuki coupling (Scheme 3E) [54]. Proline-functionalized building blocks were used to build defects into a porous framework prepared by Ni-catalyzed Yamamoto-type Ullmann cross-coupling reaction (Scheme 3F) [55].
Scheme 3.
(A–J) Examples of chiral porous organic materials using chiral building blocks. References are included in the brackets.
The first COF using chiral building blocks was prepared using an imidazole scaffold on a 4,4′-diamino-p-terphenyl building block, which featured a chiral pyrrolidine moiety [37]. The strategy was shown to yield both chiral imine and β-ketoenamine-linked COFs with high crystallinity. Since then, various chiral building blocks have been used as linkers in COF synthesis (Scheme 3G,I) [56], such as enantiopure 1,1′-bi-2-naphthol (BINOL) (Scheme 3H) [57] and TADDOL (Scheme 3I) [58] derivatives to gain access to 3D COFs. 1,3,5-Triformylphloroglucinol (Tp) functionalized with chiral (+)-diacetyl-l-tartaric anhydride was employed to obtain a chiral carboxylic-acid-bearing Tp derivative (CTp) (Scheme 3J) [36]. Tetracarbaldehyde diphospine MeO-BIPHEP ligand reacted with linear diamines to form ABC-stacked COFs (Scheme 3J) [59].
Homochiral organic frameworks have been prepared from metalated tetrakis(4-bromophenyl)porphyrin and S-(+)-2-methylpiperazine through Pd coupling (Scheme 4A) [60]. A similar synthesis strategy was used to obtain chiral frameworks from cyanuric chloride and (2S,5S)-2,5-dimethylpiperazine (Scheme 4B) [61].
Scheme 4.
(A–C) Examples of triazine-containing chiral frameworks using asymmetric building blocks. References are included in the brackets.
Recently, in an interesting cascade reaction, a pyrrolidine-containing dihydrazine building block was condensed with a trialdehyde compound to give a hydrazone COF. (Scheme 4C) [62]. By scanning electron microscopy, these COFs were found to assemble as double helical structures, whereas no such arrangement was found for the racemic control compound.
3.2. Post-Synthetic Modification with Chiral Moieties
For COFs, the first introduction of chirality through PSM was carried out using azide–alkyne cycloaddition (Scheme 5A) [63]. Using a multivariant strategy, the COF was assembled from tetrakis(4-aminophenyl)porphyrin with mixed ratios of dihydroxyterephthalaldehyde and a propargylated derivative thereof. The surface area and crystallinity of the materials decreased with increasing propargyl content, and after the click reaction with chiral pyrrolidine azide, the materials were found to be crystalline up to 50% propargyl content. After this seminal work, further examples on the use of click reactions to obtain chiral COFs have emerged, both using azide–alkyne (Scheme 5A) [40] and thiol–ene chemistry (Scheme 5B) [64,65,66].
Scheme 5.
(A–E) Chiral porous organic frameworks obtained through post-synthetic modifications. References are included in the brackets.
A chiral cationic COF was obtained through PSM of a COF self-assembled from 2,4,6-(4′-triaminophenyl)pyridine and 2-hydroxy-1,3,5-tribenzaldehyde (Scheme 5C) [42], where the reaction of the pyridine N atom with prolinol bromoacetate at room temperature gave access to cationic chiral material without loss of crystallinity. In another study, Banerjee and co-workers developed a sequential PSM to incorporate folic acid to their β-ketoenamine COF materials, consisting of a reaction between the hydroxy groups on the COF with epoxypropyl alcohol, followed by the incorporation of an amino group through reaction with 3-aminopropyltriethoxysilane, and finally amide coupling to attach folic acid (Scheme 5D) [67]. Using this synthetic strategy, Qu and co-workers gained access to l-histidine-functionalized COF nanozyme with different amino acid loadings [68]. Amide coupling has also been used in surface functionalization of COFs with biomolecules (Scheme 5E) [69]. Taking advantage of residual carboxylic acid groups from the condensation anhydrides and amines, lysozyme, a tripeptide, and lysine were bound to the COF surface. As compared to non-covalent adsorption, the covalent method provided higher loading amounts of the biomolecules and less leaching.
3.3. Asymmetric Catalysis
Asymmetric catalysis is an established method to introduce chirality during organic synthesis. In 2020, this method was employed in COF synthesis for the first time, when chiral materials were obtained by means of A3 coupling (Scheme 6A) [70]. Under ambient conditions using a chiral PYBOX ligand with copper(I) triflate as catalyst, the coupling of dimethoxyterephthalaldehyde, tris(4-aminophenyl)benzene, and phenylacetylene gave access to chiral, crystalline propargylamine-linked DTP-COF. The method was extended in a following study by employing tetrakis(4-aminophenyl)porphyrin and ammonium-bromide-decorated phenylacetylene as building blocks (Scheme 6B) [71].
Scheme 6.
(A,B) Chiral COFs obtained through asymmetric catalysis. References are included in the brackets.
3.4. Chiral Induction
The ordered nature of COFs gives the possibility of arranging achiral building blocks in an asymmetric manner in space, which requires external chiral input. To date, reports using chiral induction to gain access to chiral COFs remain scarce and are to the best of our knowledge restricted to β-ketoenamine-linked COFs. The first example was reported in 2018 [45], where a catalytic amount of an enantiomerically pure phenylethylamine was employed during COF synthesis under solvothermal conditions to induce chiral arrangement of the three-fold-symmetric tris(N-salicylideneamine) core (Scheme 7A). While the use of triformylbenzene as a building block resulted in achiral materials, 1,3,5-triformylphloroglucinol (Tp) gave access to a series of chiral COFs. This was attributed to the keto–enol tautomerization of the building block upon imine formation, giving rise to propeller-like arrangement of the salicylideneamine core, which, upon reversible reaction with chiral phenylethylamine modulator, acquired a chiral arrangement. Following this study, chiral induction in β-ketoenamine COFs has also been achieved using (1-naphthyl)ethylamine (Scheme 7B) [44] and even under ambient conditions using 2-methylpyrrolidine (Scheme 7C) [72].
Scheme 7.
(A–C) Chiral COFs obtained through chiral induction. References are included in the brackets.
4. Chiroptical Responses
Chiroptical responses, those employing right and left circularly polarized light, have been extensively used in the last half a century for the structural characterization of chiral systems [73]. These spectroscopies feature larger sensitivity to the geometry of the system under study compared to the non-chiral spectroscopy counterparts, i.e., electronic circular dichroism (ECD) vs. ultraviolet/visible spectroscopy (UV/Vis). While UV/Vis is only proportional to the transition electric dipole moment, ECD is proportional to the dot product of the transition electric dipole moment and transition magnetic dipole moment (Figure 4). In the illustrated example, while the electron density displacement along the three chromophores present in the system (black arrows) features an overall transition electric dipole moment perpendicular to the macrocycle (gray arrow), this circulation of electron density around the cycle generates a transition magnetic dipole moment perpendicular to the cycle (orange arrow). However, the antiparallel or antiparallel alignment of transition electric and magnetic dipole moments depends on the chirality of the system (antiparallel/parallel in the illustrated (M,M,M)/(P,P,P)-enantiomer) [74]. This particularity enables not only the determination of the absolute configuration [75], the handedness of a system, but also the determination of the conformation [76] and even the characterization of host–guest complexes [77] and self-assembled systems [78].
Figure 4.
Representation of transition electric dipole moment (gray arrows: total transition electric dipole moment; black arrows: the contribution from the different chromophores in the molecule) and transition magnetic dipole moment (red arrows) of the lowest electronic transition of a (M,M,M)-configured (left) and (P,P,P)-configured (right) cyclic spirobifluorene oligomer [74].
The dissymmetry factor, also referred to as the g-factor, is typically used to evaluate the chiroptical power of a system. In ECD, for instance, the g-factor is calculated as Δε/ε. For chiroptical responses arising from isolated systems such as discrete molecules in solution, the typical values of g-factor are in the range of 10−4–10−2, whereas for aggregated systems where the neighboring fragments are ordered in a chiral manner, the values can be 10−1 or higher [79]. While the chiroptical responses of most discrete molecules are evaluated in solution in transmittance mode, this approach can also be applied to insoluble systems by dispersing them in a solvent. An alternative for insoluble materials is the diffuse-reflectance mode on a suitable substrate.
4.1. Sample Preparation and Measurement Modes for Determining Chiroptical Responses of Solid Samples
Chiroptical measurements of solid samples in the transmittance mode (Figure 5, left) can be measured using a dispersion of a powder in Nujol, refined mineral oil, or a liquid with a refractive index similar to that of the chiral material, placed between two optical windows. While the systems are considered isotropic, scattering may provide significant noise in the recorded spectra that can be partially attenuated [80]. For samples that react with mineral oil, the sample can be measured as a pellet with KBr, CsI, or KCl. In this methodology, the presence of scattering may hamper the measurements. On the other hand, measurements in diffuse-reflectance mode can be made using a pellet, as mentioned above, or directly on a powder sample. To carry out these measurements, an integrating sphere is needed (Figure 5, right).
Figure 5.
Representation of transmittance and diffuse-reflectance modes for spectroscopy measurements.
In general, for measurements of solid samples the evaluation of the UV/Vis spectra of the sample is recommended to exclude the presence of artifacts in the chiroptical spectra [81] and the use of homogeneous particle distribution in the sample to minimize absorption flattening.
4.2. Chiroptical Responses in Porous Organic Frameworks
Axially chiral binaphthyl moieties have been employed to develop a chiral COF presenting g-factors of 0.02 and 0.04 by ECD and circularly polarized luminescence (CPL), respectively [82]. The high g-value for CPL was concluded to stem from confined chirality transfer within the COF structure based on the lack of such a response in a discrete model compound. The samples were prepared as suspensions in ethylene glycol and measured in transmission mode. To demonstrate the lack of artifacts in the chiroptical spectra, the authors showed the linear dichroism spectra with no significant features. This work is a good example of how chiroptical responses can be used not only to verify the presence of chirality in a material, but also to understand the nature of such chirality (Scheme 8).
Scheme 8.
Comparison between the chiroptical responses of a model system and a COF from a chiral building block gives valuable information about the chirality of the developed chiral material [82].
A chiral tris(N-salicylideneamine) COF was synthesized via external chiral induction (Scheme 7), and the mirror image spectra measured in the solid state of the two enantiomeric COFs was used to certify the incorporation of chirality in the material. The authors propose a propeller-shaped configuration based on geometry simulations [45].
Chiroptical responses may be useful not only for the characterization of developed materials, but also for several applications. For instance, systems presenting CPL can be applied to, e.g., optical displays, bioimaging, or sensing. With the aim of developing materials with tunable CPL properties, ultrathin chiral COF nanosheets were developed by chiral induced synthesis. The characterization via ECD and CPL was performed in COF samples dispersed in ethanol to confirm their chirality. The different features of the chiral COF compared to model systems indicated that the chirality in the developed materials originates from their asymmetrical microstructure. In order to take advantage of the CPL responses of these materials for applications, the chiral COFs were implemented into transparent films also showing intense CPL intensities. Furthermore, the g-factor was increased from 0.02 to 0.1 by a combination of the chiral COF with dyes [44]. Finally, chiroptical responses have also been employed for the stability evaluation of chiral COFs [83].
5. Applications in Asymmetric Organocatalysis
In this section, we review the performance of porous organic frameworks in asymmetric organocatalysis. In general, the use of such materials in organocatalytic processes has gained remarkable industrial interest because of their many advantages, such as the avoidance of expensive or toxic metals, their environmentally benign nature, and highly recyclability. However, the design of chiral porous organic frameworks for heterogeneous asymmetric catalytic reactions is in its infancy. Below we summarize the literature examples of organocatalytic processes categorized by the type of catalytic reaction.
5.1. Covalent Catalysis
Chiral covalent organocatalysis relies on the formation of reversible covalent bonds between the catalyst and the substrate. The catalyst transfers the chiral information to the substrate and the organocatalyst is then released to close the catalytic cycle. In this section, we provide a summary of porous organic frameworks that incorporate commonly used organocatalysts, such as pyrrolidine or imidazolidine moieties. These frameworks have been employed for various asymmetric organocatalytic reactions, such as Michael addition, aldol condensation, and Diels–Alder reactions.
The first example of a robust chiral porous material with an embedded organocatalysts was reported in 2012 using the Jorgensen–Hayashi catalyst (JH). Xu and co-workers developed a highly efficient heterogeneous organocatalysis called JH-CPP towards the asymmetric Michael addition of aldehydes to nitroalkenes (Scheme 9A) [46] They obtained the desired products with yields of 67–99%, high enantioselectivity (93–99% ee) and high diastereoselectivity (dr of 74:26 to 97:3). The reuse of JH-CPP was successful during four cycles without loss of enantioselectivity (97–99% ee) and diastereoselectivity (dr 92:8 to 88:12). Another example of the incorporation of pyrrolidine derivatives into a porous structure by post-functionalization methods was reported by Xu et al. (Scheme 9B) [63]. They tested imine-based COFs with different densities of pyrrolidine units for the Michael addition reaction of trans-4-chloro-β-nitrostyrene and propionaldehyde. Their results confirm the effectiveness of the pore surface engineering strategy to functionalize the COF pore structure with organocatalytic fragments. The 25% pyrrolidine loading was the optimum for high activity and good recyclability, with 86–93% yields while retaining diastereoselectivity (dr of 70/30). In addition, these materials have a high capability to perform transformations under batch and flow conditions. In another study, Xu and co-workers reported an imine-based TPB-DMTP-COF that was post-synthetically functionalized by anchoring chiral (S)-pyrrolidine centers onto the channel walls of the COF. The resulting material was used as a heterogeneous organocatalyst for the Michael addition reaction of cyclohexanone and β-nitrostyrene, achieving 100% conversion in water solutions with ee of 90–96% and dr values more than 90/10 (Scheme 9C) [40].
Scheme 9.
(A–E) Chiral porous organic frameworks used for asymmetric Michael addition reactions. References are included in the brackets.
More recently, pyrrolidine fragments have been used as building units for the incorporation of chiral fragments into the COF structure, which are referred to as chiral COFs (CCOFs). For example, in 2019 Zhang et al. developed the chiral Tfp2-COF containing pyrrolidine derivatives (Scheme 9D) [84]. This material was used as a heterogeneous organocatalyst for asymmetric Michael addition reactions of cyclohexanone with β-nitrostyrene, resulting in products with 85–95% yields and a 17:1 anti/syn ratio. Moreover, Tfp2-COF showed comparable enantioselectivities and higher distereoselectivities than the homogeneous control. Another example of a CCOF formed via catalytic polymerization of prochiral monomers used propargylamine fragments to construct DTP-COF, which were also used to catalyze Michael addition reactions (Scheme 9E) [70]. Thus, they used both (S)- and (R)-propargylamine-linked CCOFs for Michael addition of cyclohexanone with β-nitrostyrene derivatives with substituents at different positions. Under the optimal conditions, they achieved 82–99% yields with dr = 68:32–88:12 and 90–99% ee values, respectively.
Porous organic frameworks post-modified by pyrrolidine units have further been used as heterogeneous catalyst for the asymmetric aldol reaction, one of the most important routes for asymmetric C–C bond formation. For example, Xu et al. constructed two new chiral COFs, LZU-72 and LZU-76, from chiral pyrrolidine fragments. Interestingly, the presence of β-ketoenamine linkages in the structure of LZU-76 made its catalytic performance in the aldol reaction under acidic conditions. However, the low stability of the imine linkages in LZU-72 under acidic conditions were a limiting characteristic for its application as heterogeneous catalyst for this type of reaction. The LZU-76 material was used for the asymmetric aldol reaction between aromatic aldehydes and acetone, achieving high enantioselectivity (up to 94:6 er), comparable to the corresponding homogeneous system. Importantly, the new material has enabled their reutilization up to three times without loss of enantioselectivity (Scheme 10A) [37]. Another attractive strategy was developed by Lin et al. who built four defective porous organic frameworks (dPOFs) that were used as supports for the immobilization of proline-based organocatalysts. The materials were tested towards direct asymmetric aldol reaction between p-nitrobenzaldehyde and acetone as a model reaction. Remarkably, the dPOFs showed higher catalytic activities and enantioselectivities than homogeneous l-proline catalysts with yields of 71–83% and ee of 66–85%. Furthermore, the dPOFs did not present leaching and could be reused at least five times without significant loss of activity and merely a small decrease of enantioselectivity (Scheme 10B) [55].
Scheme 10.
(A,B) Chiral porous organic frameworks used for asymmetric aldol addition reactions. References are included in the brackets.
In addition to pyrrolidine, imidazolidine compounds, also known as MacMillan catalysts, have been incorporated into CCOFs to perform heterogeneous asymmetric organocatalytic reactions. Zhang et al. prepared a series of CCOFs containing the MacMillan catalysts, which enabled the α-aminooxylation reaction between aldehydes and nitrosobenzene, forming a product with 76% isolated yield and 94% ee. The catalytic aldol reaction of cyclohexanone with 4-nitrobenzaldehyde and 3-nitrobenzaldehyde afforded 92% and 86% ee, 95% and 94% yield, and 90:10 and 90:10 anti/syn ratio, respectively. Finally, asymmetric Diels–Alder cycloaddition reaction with cyclopentadiene and (E)-cinnamaldehyde formed the cycloadduct in 83% isolated yield and excellent selectivity (13:1 endo/exo, 90% ee for the endo isomer). In all studied reactions, the stereoselectivity and diastereoselectivity was comparable and even superior to the homogeneous analogs (Scheme 11) [85].
Scheme 11.
DMTA-TPB1 COF derivatives used for a variety of asymmetric organocatalytic reactions. The reference is included in the brackets.
Finally, in a similar work, Wang et al. embedded MacMillan catalysts into a porous organic framework, forming a family of materials referred to as Mac-CPOPs (Scheme 12) [50]. These materials were successfully applied as highly efficient and recoverable heterogeneous organocatalysts in the asymmetric Diels–Alder reaction of 1,3-cyclopentadiene with (E)-cinnamaldehyde with high activity (90–95% yields) and enantioselectivity (75–81% ee for endo, 71–75% ee for exo).
Scheme 12.
Mac-CPOPs used for asymmetric Diels–Alder reaction. The reference is included in the brackets.
5.2. Hydrogen-Bond Catalysis
Hydrogen-bond catalysis relies on the formation of hydrogen-bond interactions between catalyst and the substrate. Although the hydrogen-bond organocatalysis is well-known in homogeneous systems, it has been scarcely studied using porous organic frameworks as heterogeneous organocatalysts. Merely two reports have emerged, where CCOFs have been used for asymmetric amination catalyzed by benzimidazole-derived secondary amines and asymmetric acetalization catalyzed by BINOL moieties.
In 2019, four structures of chiral COFs were published by Wang et al. based on benzimidazoles as building blocks for the integration of hydrogen-bond-donor, Brønsted-acidic, and Brønsted-basic sites. The resulting CCOF materials contain multiple hydrogen-bonding sites and/or tertiary and secondary amines. These moieties can perform hydrogen-bond catalysis in a similar manner to other frequently used homogeneous catalysts, such as (thio)urea and squaramide derivatives. In this work, they performed asymmetric amination of β-keto esters obtaining high yields of up to 98% and enantioselectivities up to 91% ee, superior to those obtained with homogeneous catalysts (Scheme 13) [86].
Scheme 13.
Series of chiral COFs used for asymmetric amination reaction of β-keto esters. The reference is included in the brackets.
A recent article reported by Hou et al. presents another example of chiral porous organic frameworks used for Brønsted acid catalysis. Specifically, they prepared two chiral 3D COFs by condensation of a tetrahedral tetraamine and two linear dialdehydes derived from enantiomerically pure BINOL. Such molecules are moderate Brønsted acids and induce the acetalization of 2-aminobenzamides with aldehydes to produce dihydroquinazolinones (DHQZs) with high enantioselectivity. Supported by DFT calculations, the 3D porous framework offers a chiral confined microenvironment that is essential for enantioselective generation of chiral DHQZ products. Interestingly, the heterogeneous organocatalysts led to better enantioselectivity (up to 97% ee) than the homogeneous counterparts, which showed null enantioselectivity (Scheme 14) [87].
Scheme 14.
BINOL-derived chiral COFs used in asymmetric synthesis of DHQZs. The reference is included in the brackets.
5.3. Other Types of Organocatalysis
Further strategies using chiral heterogeneous organocatalytic materials include a Lewis base catalyst developed for asymmetric Steglich reaction. In particular, chiral TPB2-COF material containing 2,3-dihydroimidazo[1,2-a]pyridine (DHIP). The material catalyzed the asymmetric Steglich rearrangement to oxindole derivatives through the imidazole fragments of TPB2-COF, resulting in yields of 83–95% and 61–84% ee. Importantly, TPB2-COF showed comparable enantioselectivities and higher distereoselectivities to the homogeneous control compound (Scheme 15) [84]. To the best of our knowledge, this is the only reported example of enantioselective basic catalysts using porous organic frameworks.
Scheme 15.
Chiral COF used for asymmetric Steglich rearrangement reaction. The reference is included in the brackets.
The use of light as an excitation source in catalytic reactions is a green and sustainable alternative for typical organocatalytic reactions. However, its use produces highly reactive radical species, which hamper the selectivity in catalytic reactions. In fact, we have only found one recently published article using porous organic frameworks in light-mediated asymmetric organocatalytic reactions. In 2022, Kan et al. presented a chiral COF for enantioselective photooxidation of methylphenylsulfide (Scheme 16) [71]. They reported a propargylamine-linked CCOF, (R)-DTP-COF-QA photocatalyst, that displayed the best catalytic activity under 660 nm LED excitation with 94% yield and excellent enantioselectivity (99% ee) for photooxidation of sulfides to sulfoxides in air and water.
Scheme 16.
Propargylamine-linked CCOF for asymmetric photocatalytic sulfoxidation reactions. The reference is included in the brackets.
Phosphine oxides offer an additional organocatalytic platform for asymmetric catalysis as a result of their high nucleophilicity, which enables their function as Lewis bases. As an example of the application of this concept in heterogeneous asymmetric organocatalysis, Mas-Ballesté and coworkers have recently designed a chiral organic material (COM) based on (R)-BINAP Oxide [88]. This material was successfully applied in the allylation reaction of aromatic aldehydes with allyltrichlorosilane (Scheme 17), leading to yields and enantiomeric excesses competing with those reported previously in literature for the molecular (R)-BINAP Oxide catalyst (54% yield and 42% ee for benzaldehyde allylation).
Scheme 17.
BINAP Oxide-based COM for the asymmetric allylation of aromatic aldehydes.
6. Conclusions
The design of chiral materials through the incorporation of asymmetric moieties into porous organic frameworks is an emergent research topic. Chiral porous organic frameworks have been typically explored for chiral separation, and their use in asymmetric organocatalysis is an emerging field that is gaining relevance.
Porous organic frameworks constitute a broad family of materials that can be subdivided into different types. Typically, crystalline materials are categorized as COFs whereas, amorphous structures are usually divided in a mixture of different denominations, such as CMPs, CTFs, and PAFs. As stated in this review, we urge the researchers in the field to employ unified criteria for the denomination of materials, in order to clearly distinguish between the different kinds of porous organic frameworks.
Independently of their classification, porous organic frameworks offer a very versatile platform to introduce chiral fragments for different applications. The strategies used for their synthesis are summarized in this review: (1) use of chiral building blocks; (2) post-synthetic modification; (3) asymmetric synthesis, and (4) external chiral induction. Although this research field seems mature, there are many asymmetric structures that remain to be explored in this area. In addition, the vast majority of reported structures have been prepared from chiral building blocks or by post-synthetic modification, and therefore, new, exciting materials can be expected to emerge using the little explored asymmetric synthesis and chiral induction strategies. We therefore envisage future developments with many other chiral motifs with different degrees of complexity immobilized on porous organic frameworks.
Concerning the chiroptical characterization of COFs, in view of the challenges associated with the analysis of solid samples, we encourage the community to give detailed information concerning aspects such as sample preparation, measurement mode, and sample holder. Furthermore, comparison of the experimental and theoretical chiroptical responses, as has been done for other chiral materials [89], could shed more light on the origin of the chiroptical responses of porous organic frameworks.
As an important application of chiral porous organic frameworks, asymmetric catalysis plays a prominent role. In particular, a modern tendency in catalysis is the avoidance of metal centers to achieve organocatalytic processes. This field is an ideal research playground for porous organic frameworks. As a consequence, in recent years, examples have appeared in the literature exploring this idea. In this review, we have compiled this information and classified the asymmetric organocatalytic reactions performed by POFs into general types of organocatalytic activations. The achieved reactions are Michael addition, aldol condensation, Diels–Alder, acetalization and amination reactions, Steglich rearrangement, and light-mediated sulfoxidation. These model reactions offer a limited scope of the overall possibilities of chiral organocatalytic transformations. Thus, the synthetic potential of POFs is still waiting to be fully developed. With regard to material design, there are possibilities remaining completely unexplored. One possibility is the engineering of composite materials using chiral POFs and other polymeric nanometric materials. This approach could open the door to scale-up the catalytic processes, thus bringing these materials closer to industrial applicability. Overall, this review offers a starting point to encourage researchers to move forward to new developments that will widen the applicability of porous organic frameworks to overcome the common drawbacks of traditional organocatalytic processes.
Author Contributions
M.S.-F., J.L.A.-G., L.M.S., R.M.-B. and A.M. have contributed to the search of literature, conceptualization, and writing of this review. All authors have read and agreed to the published version of the manuscript.
Funding
Financial support was provided by the Spanish Government (PID2019–110637RB-I00). M.S.-F. thanks Ministerio de Ciencia e Innovación for a FPI contract (PRE2020-092295). A.M. acknowledges the Spanish Government and the European Union through the Funds Next Generation through grant Maria Zambrano-UAM (CA3/RSUE/2021-00648). L.M.S. acknowledges financial support from the Spanish Ministry of Science and Innovation through the Ramón y Cajal grant RYC2020-030414-I. J.L.A.-G. acknowledges the financial support by Ministerio de Ciencia e Innovación through TED2021-131760B-I00, and Xunta de Galicia through ED431C 2017/51.
Data Availability Statement
No new data are reported with respect to those published in the original manuscripts cited in this review paper.
Conflicts of Interest
The authors declare no conflict of interest.
References
- Bonner, W.A. Chirality and Life. Orig. Life Evol. Biosph. 1995, 25, 175–190. [Google Scholar] [CrossRef]
- Inaki, M.; Liu, J.; Matsuno, K. Cell Chirality: Its Origin and Roles in Left–Right Asymmetric Development. Philos. Trans. R. Soc. B Biol. Sci. 2016, 371, 20150403. [Google Scholar] [CrossRef]
- Coelho, M.M.; Fernandes, C.; Remião, F.; Tiritan, M.E. Enantioselectivity in Drug Pharmacokinetics and Toxicity: Pharmacological Relevance and Analytical Methods. Molecules 2021, 26, 3113. [Google Scholar] [CrossRef]
- Ma, B.; Bianco, A. Regulation of Biological Processes by Intrinsically Chiral Engineered Materials. Nat. Rev. Mater. 2023, 8, 403–413. [Google Scholar] [CrossRef]
- Tombo, G.M.R.; Belluš, D. Chirality and Crop Protection. Angew. Chem. Int. Ed. Engl. 1991, 30, 1193–1215. [Google Scholar] [CrossRef]
- Abate, A.; Brenna, E.; Fuganti, C.; Gatti, F.G.; Giovenzana, T.; Malpezzi, L.; Serra, S. Chirality and Fragrance Chemistry: Stereoisomers of the Commercial Chiral Odorants Muguesia and Pamplefleur. J. Org. Chem. 2005, 70, 1281–1290. [Google Scholar] [CrossRef]
- Mosandl, A. Chirality in Flavor Chemistry-recent Developments in Synthesis and Analysis. Food Rev. Int. 1988, 4, 1–43. [Google Scholar] [CrossRef]
- Marino, S.T.; Stachurska-Buczek, D.; Huggins, D.A.; Krywult, B.M.; Sheehan, C.S.; Nguyen, T.; Choi, N.; Parsons, J.G.; Griffiths, P.G.; James, I.W.; et al. Synthesis of Chiral Building Blocks for Use in Drug Discovery. Molecules 2004, 9, 405–426. [Google Scholar] [CrossRef]
- List, B. Introduction: Organocatalysis. Chem. Rev. 2007, 107, 5413–5415. [Google Scholar] [CrossRef]
- Varma, R.S. Greener and Sustainable Trends in Synthesis of Organics and Nanomaterials. ACS Sustain. Chem. Eng. 2016, 4, 5866–5878. [Google Scholar] [CrossRef] [PubMed]
- Rajesh Krishnan, G.; Sreekumar, K. Chapter 14—Supported and Reusable Organocatalysts. In New and Future Developments in Catalysis; Suib, S.L., Ed.; Elsevier: Amsterdam, The Netherlands, 2013; pp. 343–364. ISBN 978-0-444-53876-5. [Google Scholar]
- McGuirk, C.M.; Katz, M.J.; Stern, C.L.; Sarjeant, A.A.; Hupp, J.T.; Farha, O.K.; Mirkin, C.A. Turning On Catalysis: Incorporation of a Hydrogen-Bond-Donating Squaramide Moiety into a Zr Metal–Organic Framework. J. Am. Chem. Soc. 2015, 137, 919–925. [Google Scholar] [CrossRef] [PubMed]
- Gu, Y.; Zhao, J.; Johnson, J.A. Polymer Networks: From Plastics and Gels to Porous Frameworks. Angew. Chem. Int. Ed. 2020, 59, 5022–5049. [Google Scholar] [CrossRef] [PubMed]
- Thomas, A. Functional Materials: From Hard to Soft Porous Frameworks. Angew. Chem. Int. Ed. 2010, 49, 8328–8344. [Google Scholar] [CrossRef] [PubMed]
- Daliran, S.; Oveisi, A.R.; Peng, Y.; López-Magano, A.; Khajeh, M.; Mas-Ballesté, R.; Alemán, J.; Luque, R.; Garcia, H. Metal–Organic Framework (MOF)-, Covalent-Organic Framework (COF)-, and Porous-Organic Polymers (POP)-Catalyzed Selective C–H Bond Activation and Functionalization Reactions. Chem. Soc. Rev. 2022, 51, 7810–7882. [Google Scholar] [CrossRef]
- Yaghi, O.M. Reticular Chemistry in All Dimensions. ACS Cent. Sci. 2019, 5, 1295–1300. [Google Scholar] [CrossRef] [PubMed]
- Liu, Y.; Chen, L.; Yang, L.; Lan, T.; Wang, H.; Hu, C.; Han, X.; Liu, Q.; Chen, J.; Feng, Z.; et al. Porous Framework Materials for Energy & Environment Relevant Applications: A Systematic Review. Green Energy Environ. 2023; in press. [Google Scholar] [CrossRef]
- Ding, S.-Y.; Wang, W. Covalent Organic Frameworks (COFs): From Design to Applications. Chem. Soc. Rev. 2013, 42, 548–568. [Google Scholar] [CrossRef]
- Lohse, M.S.; Bein, T. Covalent Organic Frameworks: Structures, Synthesis, and Applications. Adv. Funct. Mater. 2018, 28, 1705553. [Google Scholar] [CrossRef]
- López-Magano, A.; Daliran, S.; Oveisi, A.R.; Mas-Ballesté, R.; Dhakshinamoorthy, A.; Alemán, J.; Garcia, H.; Luque, R. Recent Advances in the Use of Covalent Organic Frameworks as Heterogeneous Photocatalysts in Organic Synthesis. Adv. Mater. 2022, 35, 2209475. [Google Scholar] [CrossRef]
- López-Magano, A.; Jiménez-Almarza, A.; Alemán, J.; Mas-Ballesté, R. Metal–Organic Frameworks (MOFs) and Covalent Organic Frameworks (COFs) Applied to Photocatalytic Organic Transformations. Catalysts 2020, 10, 720. [Google Scholar] [CrossRef]
- Lee, J.-S.M.; Cooper, A.I. Advances in Conjugated Microporous Polymers. Chem. Rev. 2020, 120, 2171–2214. [Google Scholar] [CrossRef] [PubMed]
- Liao, L.; Li, M.; Yin, Y.; Chen, J.; Zhong, Q.; Du, R.; Liu, S.; He, Y.; Fu, W.; Zeng, F. Advances in the Synthesis of Covalent Triazine Frameworks. ACS Omega 2023, 8, 4527–4542. [Google Scholar] [CrossRef] [PubMed]
- Kuhn, P.; Antonietti, M.; Thomas, A. Porous, Covalent Triazine-Based Frameworks Prepared by Ionothermal Synthesis. Angew. Chem. Int. Ed. 2008, 47, 3450–3453. [Google Scholar] [CrossRef] [PubMed]
- Ren, S.; Bojdys, M.J.; Dawson, R.; Laybourn, A.; Khimyak, Y.Z.; Adams, D.J.; Cooper, A.I. Porous, Fluorescent, Covalent Triazine-Based Frameworks Via Room-Temperature and Microwave-Assisted Synthesis. Adv. Mater. 2012, 24, 2357–2361. [Google Scholar] [CrossRef]
- Tian, Y.; Zhu, G. Porous Aromatic Frameworks (PAFs). Chem. Rev. 2020, 120, 8934–8986. [Google Scholar] [CrossRef] [PubMed]
- Ben, T.; Ren, H.; Ma, S.; Cao, D.; Lan, J.; Jing, X.; Wang, W.; Xu, J.; Deng, F.; Simmons, J.M.; et al. Targeted Synthesis of a Porous Aromatic Framework with High Stability and Exceptionally High Surface Area. Angew. Chem. Int. Ed. 2009, 48, 9457–9460. [Google Scholar] [CrossRef]
- Meier, C.B.; Sprick, R.S.; Monti, A.; Guiglion, P.; Lee, J.-S.M.; Zwijnenburg, M.A.; Cooper, A.I. Structure-Property Relationships for Covalent Triazine-Based Frameworks: The Effect of Spacer Length on Photocatalytic Hydrogen Evolution from Water. Polymer 2017, 126, 283–290. [Google Scholar] [CrossRef]
- Wu, G.; Chen, X.; Li, Y.; Jia, Z. Preparation of Submicron PAF-56 Particles and Application in Pervaporation. Microporous Mesoporous Mater. 2019, 279, 19–25. [Google Scholar] [CrossRef]
- Meng, S.; Ma, H.; Jiang, L.; Ren, H.; Zhu, G. A Facile Approach to Prepare Porphyrinic Porous Aromatic Frameworks for Small Hydrocarbon Separation. J. Mater. Chem. A 2014, 2, 14536–14541. [Google Scholar] [CrossRef]
- Chen, L.; Yang, Y.; Jiang, D. CMPs as Scaffolds for Constructing Porous Catalytic Frameworks: A Built-in Heterogeneous Catalyst with High Activity and Selectivity Based on Nanoporous Metalloporphyrin Polymers. J. Am. Chem. Soc. 2010, 132, 9138–9143. [Google Scholar] [CrossRef]
- Yan, Z.; Ren, H.; Ma, H.; Yuan, R.; Yuan, Y.; Zou, X.; Sun, F.; Zhu, G. Construction and Sorption Properties of Pyrene-Based Porous Aromatic Frameworks. Microporous Mesoporous Mater. 2013, 173, 92–98. [Google Scholar] [CrossRef]
- Han, X.; Yuan, C.; Hou, B.; Liu, L.; Li, H.; Liu, Y.; Cui, Y. Chiral Covalent Organic Frameworks: Design, Synthesis and Property. Chem. Soc. Rev. 2020, 49, 6248–6272. [Google Scholar] [CrossRef]
- Yuan, C.; Fu, S.; Yang, K.; Hou, B.; Liu, Y.; Jiang, J.; Cui, Y. Crystalline C—C and C=C Bond-Linked Chiral Covalent Organic Frameworks. J. Am. Chem. Soc. 2021, 143, 369–381. [Google Scholar] [CrossRef]
- Wang, X.; Han, X.; Zhang, J.; Wu, X.; Liu, Y.; Cui, Y. Homochiral 2D Porous Covalent Organic Frameworks for Heterogeneous Asymmetric Catalysis. J. Am. Chem. Soc. 2016, 138, 12332–12335. [Google Scholar] [CrossRef] [PubMed]
- Qian, H.-L.; Yang, C.-X.; Yan, X.-P. Bottom-up Synthesis of Chiral Covalent Organic Frameworks and Their Bound Capillaries for Chiral Separation. Nat. Commun. 2016, 7, 12104. [Google Scholar] [CrossRef] [PubMed]
- Xu, H.-S.; Ding, S.-Y.; An, W.-K.; Wu, H.; Wang, W. Constructing Crystalline Covalent Organic Frameworks from Chiral Building Blocks. J. Am. Chem. Soc. 2016, 138, 11489–11492. [Google Scholar] [CrossRef]
- Liu, G.; Sheng, J.; Zhao, Y. Chiral Covalent Organic Frameworks for Asymmetric Catalysis and Chiral Separation. Sci. China Chem. 2017, 60, 1015–1022. [Google Scholar] [CrossRef]
- Segura, J.L.; Royuela, S.; Mar Ramos, M. Post-Synthetic Modification of Covalent Organic Frameworks. Chem. Soc. Rev. 2019, 48, 3903–3945. [Google Scholar] [CrossRef]
- Xu, H.; Gao, J.; Jiang, D. Stable, Crystalline, Porous, Covalent Organic Frameworks as a Platform for Chiral Organocatalysts. Nat. Chem. 2015, 7, 905–912. [Google Scholar] [CrossRef]
- Zhuo, S.; Wang, X.; Li, L.; Yang, S.; Ji, Y. Chiral Carboxyl-Functionalized Covalent Organic Framework for Enantioselective Adsorption of Amino Acids. ACS Appl. Mater. Interfaces 2021, 13, 31059–31065. [Google Scholar] [CrossRef] [PubMed]
- Chen, M.; Zhang, J.; Liu, C.; Li, H.; Yang, H.; Feng, Y.; Zhang, B. Construction of Pyridine-Based Chiral Ionic Covalent Organic Frameworks as a Heterogeneous Catalyst for Promoting Asymmetric Henry Reactions. Org. Lett. 2021, 23, 1748–1752. [Google Scholar] [CrossRef] [PubMed]
- Pellissier, H. Asymmetric Organocatalysis. Tetrahedron 2007, 63, 9267–9331. [Google Scholar] [CrossRef]
- Chen, H.; Gu, Z.-G.; Zhang, J. Chiral-Induced Ultrathin Covalent Organic Frameworks Nanosheets with Tunable Circularly Polarized Luminescence. J. Am. Chem. Soc. 2022, 144, 7245–7252. [Google Scholar] [CrossRef]
- Han, X.; Zhang, J.; Huang, J.; Wu, X.; Yuan, D.; Liu, Y.; Cui, Y. Chiral Induction in Covalent Organic Frameworks. Nat. Commun. 2018, 9, 1294. [Google Scholar] [CrossRef] [PubMed]
- Wang, C.A.; Zhang, Z.K.; Yue, T.; Sun, Y.L.; Wang, L.; Wang, W.D.; Zhang, Y.; Liu, C.; Wang, W. “Bottom-Up” Embedding of the Jørgensen–Hayashi Catalyst into a Chiral Porous Polymer for Highly Efficient Heterogeneous Asymmetric Organocatalysis. Chem. Eur. J. 2012, 18, 6718–6723. [Google Scholar] [CrossRef]
- Wang, X.; Zhang, J.; Liu, Y.; Cui, Y. Chiral Porous TADDOL-Embedded Organic Polymers for Asymmetric Diethylzinc Addition to Aldehydes. Bull. Chem. Soc. Jpn. 2014, 87, 435–440. [Google Scholar] [CrossRef]
- An, W.-K.; Han, M.-Y.; Wang, C.-A.; Yu, S.-M.; Zhang, Y.; Bai, S.; Wang, W. Insights into the Asymmetric Heterogeneous Catalysis in Porous Organic Polymers: Constructing A TADDOL-Embedded Chiral Catalyst for Studying the Structure–Activity Relationship. Chem. Eur. J. 2014, 20, 11019–11028. [Google Scholar] [CrossRef]
- Lan, Y.; Yang, C.; Zhang, Y.; An, W.; Xue, H.; Ding, S.; Zhou, P.; Wang, W. Pyrrolidine-Based Chiral Porous Polymers for Heterogeneous Organocatalysis in Water. Polym. Chem. 2019, 10, 3298–3305. [Google Scholar] [CrossRef]
- Wang, C.-A.; Li, Y.-W.; Han, Y.-F.; Zhang, J.-P.; Wu, R.-T.; He, G.-F. The “Bottom-up” Construction of Chiral Porous Organic Polymers for Heterogeneous Asymmetric Organocatalysis: MacMillan Catalyst Built-in Nanoporous Organic Frameworks. Polym. Chem. 2017, 8, 5561–5569. [Google Scholar] [CrossRef]
- Kong, S.; Ullah, M.A.; Qian, X.; Shu, M.; Xiao, W. Asymmetric Hydrogenation of β-Keto Esters Catalyzed by Ruthenium Species Supported on Porous Organic Polymer. Chin. J. Org. Chem. 2018, 38, 656. [Google Scholar] [CrossRef]
- Valverde-González, A.; Borrallo-Aniceto, M.C.; Pintado-Sierra, M.; Sánchez, F.; Arnanz, A.; Boronat, M.; Iglesias, M. BINOL-Containing Chiral Porous Polymers as Platforms for Enantiorecognition. ACS Appl. Mater. Interfaces 2022, 14, 53936–53946. [Google Scholar] [CrossRef] [PubMed]
- Zhang, X.; Kormos, A.; Zhang, J. Self-Supported BINOL-Derived Phosphoric Acid Based on a Chiral Carbazolic Porous Framework. Org. Lett. 2017, 19, 6072–6075. [Google Scholar] [CrossRef] [PubMed]
- Monterde, C.; Navarro, R.; Iglesias, M.; Sánchez, F. Adamantyl-BINOL as Platform for Chiral Porous Polymer Aromatic Frameworks. Multiple Applications as Recyclable Catalysts. J. Catal. 2019, 377, 609–618. [Google Scholar] [CrossRef]
- Lin, Z.-J.; Lü, J.; Li, L.; Li, H.-F.; Cao, R. Defect Porous Organic Frameworks (DPOFs) Asa Platform for Chiral Organocatalysis. J. Catal. 2017, 355, 131–138. [Google Scholar] [CrossRef]
- Kang, X.; Stephens, E.R.; Spector-Watts, B.M.; Li, Z.; Liu, Y.; Liu, L.; Cui, Y. Challenges and Opportunities for Chiral Covalent Organic Frameworks. Chem. Sci. 2022, 13, 9811–9832. [Google Scholar] [CrossRef] [PubMed]
- Wu, X.; Han, X.; Xu, Q.; Liu, Y.; Yuan, C.; Yang, S.; Liu, Y.; Jiang, J.; Cui, Y. Chiral BINOL-Based Covalent Organic Frameworks for Enantioselective Sensing. J. Am. Chem. Soc. 2019, 141, 7081–7089. [Google Scholar] [CrossRef] [PubMed]
- Han, X.; Huang, J.; Yuan, C.; Liu, Y.; Cui, Y. Chiral 3D Covalent Organic Frameworks for High Performance Liquid Chromatographic Enantioseparation. J. Am. Chem. Soc. 2018, 140, 892–895. [Google Scholar] [CrossRef]
- Zheng, Z.; Yuan, C.; Sun, M.; Dong, J.; Liu, Y.; Cui, Y. Construction of Monophosphine–Metal Complexes in Privileged Diphosphine-Based Covalent Organic Frameworks for Catalytic Asymmetric Hydrogenation. J. Am. Chem. Soc. 2023, 145, 6100–6111. [Google Scholar] [CrossRef]
- Ma, H.-C.; Zhao, C.-C.; Chen, G.-J.; Dong, Y.-B. Photothermal Conversion Triggered Thermal Asymmetric Catalysis within Metal Nanoparticles Loaded Homochiral Covalent Organic Framework. Nat. Commun. 2019, 10, 3368. [Google Scholar] [CrossRef]
- Zhu, Y.-L.; Guo, P.; Yang, Y.-P.; Ran, X.-Y.; Liu, C.; Wang, B.-J.; Zhang, J.-H.; Xie, S.-M.; Yuan, L.-M. Chiral Covalent Triazine Framework CC-DMP CCTF@SiO2 Core–Shell Microspheres Used for HPLC Enantioseparation. New J. Chem. 2023, 47, 5413–5419. [Google Scholar] [CrossRef]
- Tang, X.; Liao, X.; Cai, X.; Wu, J.; Wu, X.; Zhang, Q.; Yan, Y.; Zheng, S.; Jiang, H.; Fan, J.; et al. Self-Assembly of Helical Nanofibrous Chiral Covalent Organic Frameworks. Angew. Chem. Int. Ed. 2023, 62, e202216310. [Google Scholar] [CrossRef]
- Xu, H.; Chen, X.; Gao, J.; Lin, J.; Addicoat, M.; Irle, S.; Jiang, D. Catalytic Covalent Organic Frameworks via Pore Surface Engineering. Chem. Commun. 2014, 50, 1292–1294. [Google Scholar] [CrossRef]
- Yuan, C.; Wu, X.; Gao, R.; Han, X.; Liu, Y.; Long, Y.; Cui, Y. Nanochannels of Covalent Organic Frameworks for Chiral Selective Transmembrane Transport of Amino Acids. J. Am. Chem. Soc. 2019, 141, 20187–20197. [Google Scholar] [CrossRef]
- Wan, M.; Zheng, Y.; Dai, X.; Yang, H.; Zhou, J.; Ou, J.; Yang, Y.; Liao, M.; Xia, Z.; Wang, L. Click Chemistry for the Preparation of β-Cyclodextrin Grafting Uniform Spherical Covalent Organic Framework Materials for Chiral Separation. Chem. Mater. 2023, 35, 609–616. [Google Scholar] [CrossRef]
- Guo, J.-X.; Yang, C.; Yan, X.-P. “Thiol–Ene” Click Synthesis of Chiral Covalent Organic Frameworks for Gas Chromatography. J. Mater. Chem. A 2021, 9, 21151–21157. [Google Scholar] [CrossRef]
- Mitra, S.; Sasmal, H.S.; Kundu, T.; Kandambeth, S.; Illath, K.; Díaz Díaz, D.; Banerjee, R. Targeted Drug Delivery in Covalent Organic Nanosheets (CONs) via Sequential Postsynthetic Modification. J. Am. Chem. Soc. 2017, 139, 4513–4520. [Google Scholar] [CrossRef]
- Zhou, Y.; Wei, Y.; Ren, J.; Qu, X. A Chiral Covalent Organic Framework (COF) Nanozyme with Ultrahigh Enzymatic Activity. Mater. Horiz. 2020, 7, 3291–3297. [Google Scholar] [CrossRef]
- Zhang, S.; Zheng, Y.; An, H.; Aguila, B.; Yang, C.-X.; Dong, Y.; Xie, W.; Cheng, P.; Zhang, Z.; Chen, Y.; et al. Covalent Organic Frameworks with Chirality Enriched by Biomolecules for Efficient Chiral Separation. Angew. Chem. Int. Ed. 2018, 57, 16754–16759. [Google Scholar] [CrossRef] [PubMed]
- Wang, J.-C.; Kan, X.; Shang, J.-Y.; Qiao, H.; Dong, Y.-B. Catalytic Asymmetric Synthesis of Chiral Covalent Organic Frameworks from Prochiral Monomers for Heterogeneous Asymmetric Catalysis. J. Am. Chem. Soc. 2020, 142, 16915–16920. [Google Scholar] [CrossRef]
- Kan, X.; Wang, J.-C.; Chen, Z.; Du, J.-Q.; Kan, J.-L.; Li, W.-Y.; Dong, Y.-B. Synthesis of Metal-Free Chiral Covalent Organic Framework for Visible-Light-Mediated Enantioselective Photooxidation in Water. J. Am. Chem. Soc. 2022, 144, 6681–6686. [Google Scholar] [CrossRef]
- Li, F.; Kan, J.-L.; Yao, B.-J.; Dong, Y.-B. Synthesis of Chiral Covalent Organic Frameworks via Asymmetric Organocatalysis for Heterogeneous Asymmetric Catalysis. Angew. Chem. Int. Ed. 2022, 61, e202115044. [Google Scholar] [CrossRef]
- Berova, N.; Woody, R.W.; Polavarapu, P.; Nakanishi, K. Comprehensive Chiroptical Spectroscopy: Volume 1—Instrumentation, Methodologies, and Theoretical Simulations; John Wiley & Sons: Hoboken, NJ, USA, 2012. [Google Scholar]
- Ozcelik, A.; Aranda, D.; Gil-Guerrero, S.; Pola-Otero, X.A.; Talavera, M.; Wang, L.; Behera, S.K.; Gierschner, J.; Peña-Gallego, Á.; Santoro, F.; et al. Distinct Helical Molecular Orbitals through Conformational Lock. Chem. Eur. J. 2020, 26, 17342–17349. [Google Scholar] [CrossRef] [PubMed]
- Johnson, J.L.; Raghavan, V.; Cimmino, A.; Moeini, A.; Petrovic, A.G.; Santoro, E.; Superchi, S.; Berova, N.; Evidente, A.; Polavarapu, P.L. Absolute Configurations of Chiral Molecules with Multiple Stereogenic Centers without Prior Knowledge of the Relative Configurations: A Case Study of Inuloxin C. Chirality 2018, 30, 1206–1214. [Google Scholar] [CrossRef]
- Petrovic, A.G.; Berova, N.; Alonso-Gómez, J.L. Absolute Configuration and Conformational Analysis of Chiral Compounds via Experimental and Theoretical Prediction of Chiroptical Properties: ORD, ECD, and VCD. In Structure Elucidation in Organic Chemistry; John Wiley & Sons: New York, NY, USA, 2015; pp. 65–104. ISBN 978-3-527-66461-0. [Google Scholar]
- Ouyang, J.; Swartjes, A.; Geerts, M.; Gilissen, P.J.; Wang, D.; Teeuwen, P.C.P.; Tinnemans, P.; Vanthuyne, N.; Chentouf, S.; Rutjes, F.P.J.T.; et al. Absolute Configuration and Host-Guest Binding of Chiral Porphyrin-Cages by a Combined Chiroptical and Theoretical Approach. Nat. Commun. 2020, 11, 4776. [Google Scholar] [CrossRef]
- Liu, M.; Zhang, L.; Wang, T. Supramolecular Chirality in Self-Assembled Systems. Chem. Rev. 2015, 115, 7304–7397. [Google Scholar] [CrossRef]
- Laidlaw, B.; Eng, J.; Wade, J.; Shi, X.; Salerno, F.; Fuchter, M.J.; Penfold, T.J. On the Factors Influencing the Chiroptical Response of Conjugated Polymer Thin Films. Chem. Commun. 2021, 57, 9914–9917. [Google Scholar] [CrossRef] [PubMed]
- Shibata, K.; Benson, A.A.; Calvin, M. The Absorption Spectra of Suspensions of Living Micro-Organisms. Biochim. Biophys. Acta 1954, 15, 461–470. [Google Scholar] [CrossRef]
- Castiglioni, E.; Biscarini, P.; Abbate, S. Experimental Aspects of Solid State Circular Dichroism. Chirality 2009, 21, E28–E36. [Google Scholar] [CrossRef]
- Du, C.; Zhu, X.; Yang, C.; Liu, M. Stacked Reticular Frame Boosted Circularly Polarized Luminescence of Chiral Covalent Organic Frameworks. Angew. Chem. Int. Ed. 2022, 61, e202113979. [Google Scholar] [CrossRef]
- Xie, J.-H.; Hou, Y.-M.; Feng, Z.; You, S.-L. Stereodivergent Construction of 1,3-Chiral Centers via Tandem Asymmetric Conjugate Addition and Allylic Substitution Reaction. Angew. Chem. Int. Ed. 2023, 62, e202216396. [Google Scholar] [CrossRef]
- Zhang, J.; Han, X.; Wu, X.; Liu, Y.; Cui, Y. Chiral DHIP- and Pyrrolidine-Based Covalent Organic Frameworks for Asymmetric Catalysis. ACS Sustain. Chem. Eng. 2019, 7, 5065–5071. [Google Scholar] [CrossRef]
- Zhang, J.; Han, X.; Wu, X.; Liu, Y.; Cui, Y. Multivariate Chiral Covalent Organic Frameworks with Controlled Crystallinity and Stability for Asymmetric Catalysis. J. Am. Chem. Soc. 2017, 139, 8277–8285. [Google Scholar] [CrossRef] [PubMed]
- Wang, L.-K.; Zhou, J.-J.; Lan, Y.-B.; Ding, S.-Y.; Yu, W.; Wang, W. Divergent Synthesis of Chiral Covalent Organic Frameworks. Angew. Chem. Int. Ed. 2019, 58, 9443–9447. [Google Scholar] [CrossRef] [PubMed]
- Hou, B.; Yang, S.; Yang, K.; Han, X.; Tang, X.; Liu, Y.; Jiang, J.; Cui, Y. Confinement-Driven Enantioselectivity in 3D Porous Chiral Covalent Organic Frameworks. Angew. Chem. Int. Ed. 2021, 60, 6086–6093. [Google Scholar] [CrossRef]
- Sánchez-Fuente, M.; López-Magano, A.; Moya, A.; Mas-Ballesté, R. Stabilized Chiral Organic Material Containing BINAP Oxide Units as a Heterogeneous Asymmetric Organocatalyst for Allylation of Aldehydes. ACS Appl. Mater. Interfaces 2023, 15. [Google Scholar] [CrossRef]
- Padula, D.; Santoro, F.; Pescitelli, G. A Simple Dimeric Model Accounts for the Vibronic ECD Spectra of Chiral Polythiophenes in Their Aggregated States. RSC Adv. 2016, 6, 37938–37943. [Google Scholar] [CrossRef]
Disclaimer/Publisher’s Note: The statements, opinions and data contained in all publications are solely those of the individual author(s) and contributor(s) and not of MDPI and/or the editor(s). MDPI and/or the editor(s) disclaim responsibility for any injury to people or property resulting from any ideas, methods, instructions or products referred to in the content. |
© 2023 by the authors. Licensee MDPI, Basel, Switzerland. This article is an open access article distributed under the terms and conditions of the Creative Commons Attribution (CC BY) license (https://creativecommons.org/licenses/by/4.0/).





















