Abstract
The selective oxidation of tetrahydrofuran (THF) to gamma-butyrolactone (GBL) on spinel ZnFe2O4 nanoparticles (ZFNPs) was investigated. The catalyst was prepared with the coprecipitation method and characterized by FTIR, XRD, TEM, SEM, EDS, TGA, XPS, and BET surface area. The characterization techniques showed that a nonuniform spherical spinal oxide with an average particle size of 26 nm was formed. The oxidation reaction was carried out using hydrogen peroxide as an oxidizing agent under solvent-free conditions. GC-MS analysis revealed that the main product was GBL. 2-hydroxytetrahydrofuran (THF-2-OH), gamma-hydroxybutyric acid (GHBA), and gamma-hydroxybutaldehyde (GHBAl) were obtained as minor products. The effects of different reaction parameters, such as temperature, H2O2/THF mole ratio, catalyst dose, reaction time, and reusability, were evaluated. A 47.3% conversion of THF with an 88.2% selectivity of GBL was achieved by conducting the reaction at 80 °C for nine hours using a 1:1 mole ratio of H2O2/THF. A slight increase in the conversion degree was attained at higher temperatures; however, an over-oxidation process was observed as the temperature exceeded 80 °C. The catalyst remained effective and stable over four reuses.
1. Introduction
Lactones, which are organic cyclic esters, are crucial precursors in the chemical industry [1,2]. Generally, they are classified based on the ring size as α, β, γ, δ, and ω-lactones, which contain three-, four-, five-, six-, and seven-membered rings, respectively. Among these, the five- and six-membered ones are the most important due to their availability in nature, applications, and ring structure stability [3,4]. For instance, gamma-butyrolactone (GBL), a five-membered lactone, is a key intermediate in the production of drugs, solar cells, perfumes, and food [5,6,7,8]. Furthermore, it has been employed as a solvent in lithium-ion batteries, a monomer of degradable polymers, and a precursor for the synthesis of many chemicals [9,10,11,12,13,14].
Hence, various methods for GBL synthesis have been introduced to benefit both laboratory and industrial scales due to its economic and industrial importance. Currently, there are two main methods for industrial GBL production. In the Reppe process, acetylene and formaldehyde are used to produce 1,4-butanediol intermediate, which is further converted to GBL by dehydrogenation [15]. This process has some drawbacks associated with environmental issues, reactant hazards, and the multipurification needed in each step. The other strategy is typically based on the conversion of maleic anhydride derivatives to GBL. Unfortunately, those processes have not yet reached economic requirements [16].
Recently, researchers have turned their attention toward developing alternative methods for GBL production. One of the most interesting routes is the direct oxidation of tetrahydrofuran (THF). Compared with the current technique, THF is a cyclic ether that can be obtained from renewable biomass furfural [17,18] and is directly oxidized to GBL. As a homogeneous catalyst, Cu, Mo/Ru, and Fe complexes have been used for THF oxidation [19,20,21]. For instance, Hay et al. [19] fabricated a series of catalytic systems based on iron (III) and polyhedral oligomeric silsesquioxanes for the aerobic oxidation of THF under ambient conditions. They reported GBL as the major product; however, minor products were also detected, such as 2-hydroxy-THF and 4-hydroxybutanal. Likewise, using the same oxidant and reaction temperature, Straub et al. [20] tested various homo- and heterometallic Mo/Ru complexes for THF oxidation. Among the tested catalysts, Ru complexes showed more activity toward GBL formation than Mo or Mo/Ru complexes. Up to 70% selectivity of GBL was reached in approximately 7 days of reaction time. Moreover, propylformate was detected as a product of this transformation. Salavati-Niasari et al. [21] synthesized a Cu complex, which resulted in good selectivity and acceptable conversion. Nevertheless, those approaches are not economically advantageous due to the cost of the catalyst, complicated catalyst preparation methods, nonrecyclability, and demand for separation steps. To avoid some of the homogenous catalytic drawbacks, Salavati-Niasari et al. [22] encapsulated Cu complexes with zeolite Y, which led to poor selectivity of GBL compared with its complex counterpart. In fact, environmental issues and economic costs play a significant role in the evaluation of the efficiency of any industrial chemical production method [23,24,25]. Thus, have scientists focused on study approaches that consider both environmental and economic concerns. Accordingly, heterogeneous catalytic oxidation of THF using a green oxidant represents a promising route from economic and ecological points of view.
Metal oxides are extensively used in fine chemical production as heterogeneous catalysts. Owing to their stability, low cost, facile separation, diversity of properties, and recyclability, metal oxides are considered high-scale catalysts [26,27]. Spinel-type oxides, with the general formula AB2O4 (A is a divalent cation, and B is a trivalent cation), have been studied by many researchers because of their use in many applications [28,29,30]. For example, spinal ferrites are used in various fields, such as the electronic industry, energy storage, wastewater treatment, and catalysis [29,31]. Recently, ZnFe2O4 nanoparticles (ZFNPs), as a cheap, nontoxic, and sustainable spinel ferrite, have been explored as an efficient catalyst in several organic transformation reactions [32,33,34,35]. However, only a few researchers have examined the application of ZFNPs as a catalyst for direct oxidation processes.
Several oxidants, such as chromium trioxide, lead tetraacetate, sodium bromate, or ruthenium tetroxide in aqueous perchloric acid, have been used for THF oxidation, which leads to the production of a large amount of environmentally damaging waste [36,37]. Among the many oxygen donors used in the oxidation of organic compounds, O2 and H2O2 have been gaining more interest from researchers due to their ecofriendliness and rich oxygen content [38]. However, O2 requires high temperature and pressure, a pre-activation step, or an expensive catalyst to be an effective oxidant [39,40,41]. O2 was tested as an oxidant for ether oxidation to lactones using Au/CeO2 as a catalyst by Liu et al. [42]. A conversion of about 46.0% was reported. However, the yield and selectivity were not satisfactory. Furthermore, the authors mentioned that in the Au/CeO2 catalyst, oxygen vacancies and Au0 species play a role in activating O2.
Despite its cost limit [43], H2O2 is an attractive oxidant that could be utilized in mild conditions with high active oxygen content and H2O as a byproduct. It is well known that the H2O2 cost can be reduced by increasing its efficiency through an appropriate catalyst [44,45]. Bhaumikb et al. [46] found that titanosilicate was the best catalyst among many prepared microporous metallosilicates, with excellent conversion and high selectivity for lactone products upon the oxidation of cyclic ethers by H2O2. Furthermore, poor conversion and selectivity were found by Tawan Sooknoi et al. [47] when iron-containing clay was used as a catalyst for THF oxidation using H2O2 as an oxidizing agent via liquid phase reactions. Overall, an easy-to-prepare and high-efficiency catalyst is still needed.
In this study, we developed a promising liquid-phase pathway for THF oxidation based on spinel ZFNPs using H2O2 as a green oxidant under solvent-free and mild conditions. The catalyst was successfully prepared and fully characterized (FTIR, XRD, TEM, SEM, EDS, TGA, XPS, and BET surface area). The effects of temperature, H2O2/THF mole ratio, reaction time, catalyst amount, and reusability were fully addressed in this study.
2. Results and Discussion
2.1. Catalyst Characterization
2.1.1. FTIR Analysis
The FTIR spectrum of the as-prepared spinel ZFNPs is presented in Figure 1. Typically, the two characteristic peaks for the ferrite spinel phase in the range of 600–400 cm−1 correspond to tetrahedral and octahedral sites [48]. Here, such peaks were clear at 551 and 409 cm−1 for Zn–O in tetrahedral and Fe–O in octahedral sites, respectively, which agree with that reported in the literature [49,50]. In addition, the observed broadband at 3212 cm−1 and the sharp one at 1625 cm−1 are typically assignable to the stretching and bending vibrations of H–O–H, respectively, absorbed on the nanoparticle’s surface.
Figure 1.
FTIR spectrum of ZnFe2O4 (ZFNPs).
2.1.2. XRD Analysis
X-ray diffraction (XRD) was used to determine the nature of the prepared catalyst and to calculate the particle size. The diffractogram in Figure 2 shows the crystalline nature of ZFNPs, which is perfectly correlated to a cubic spinel structure. The intense peaks at 2θ values of 18.46°, 30.44°, 35.80°, 43.48°, 53.98°, 57.52°, 63.22°, 70.47°, 73.64°, 78.66°, 68.09°, and 98.08° can be assigned to the diffraction planes (111), (220), (311), (222), (400), (422), (511), (440), (620), (533), (444), (624), and (731), respectively. The pattern is in good agreement with the literature values of the crystalline structure of spinel zinc ferrite and the JCPDS PDF (card no. 01-077-0011) [51,52]. To confirm NPs formation, the XRD analysis was also used to estimate the average crystallite size according to the Scherrer equation (Equation (1))
where D is the average crystallite size, K is the Scherrer constant, λ is the wavelength of the X-ray source (0.15406 nm), β is the FWHM (radians), and θ is the peak position (radians). The average crystal size was found to be 17.17 nm. In addition, the unit cell parameter of the as-prepared ZFNPs was 8.41, which is also consistent with the value in the literature [53].
Figure 2.
XRD spectrum of ZFNPs and JCPDS card.
2.1.3. Electronic Microscopy Analysis
To explore the surface properties of the prepared ZFNP catalyst, TEM, SEM, and EDS analyses were also performed. According to the TEM micrograph shown in Figure 3a, the obtained ZFNPs were nonuniform and spherical in shape, and their size was found to be about 26 nm as counted from the particle size distribution plot shown in Figure 3b. Despite the NPs’ higher degree of aggregation, the characteristics, shapes, and sizes could be easily identified.
Figure 3.
(a) TEM micrograph of ZFNPs and (b) particle size distribution.
The SEM image of ZFNPs is depicted in Figure 4, which supports the TEM observation. Hence, irregular spherical nanoparticles with a close distribution of particle sizes up to 32 nm were confirmed. The TEM particle size is commonly larger than that suggested by TEM, as reported in the literature [54,55].
Figure 4.
(a) SEM images of ZFNPs and (b) particle size distribution.
A nanocrystalline catalyst was also analyzed using EDS to discover its chemical composition. The EDS patterns of the catalyst are shown in Figure 5. The iron, zinc, and oxygen peaks were observed, confirming the presence of all the metal oxides in the sample [55]. Furthermore, the elemental mapping assured the elemental distribution in the matrix. These findings clarified the compositional homogeneity of the NPs and confirmed their spinel phase.
Figure 5.
EDS of ZFNPs and elemental mapping.
2.1.4. Thermogravimetric Analysis
TGA was performed to inspect the thermal stability of the prepared ZFNPs. As can be seen in Figure 6, the thermogram is accompanied by three steps. The first was detected in the TGA range of 30–164 °C with a mass loss of 1.1%, assigned to the loss of physically adsorbed water on the surface of the ZFNPs, and centered at a d-TGA of 61 °C. The second mass loss was observed in the range 165–462 °C, with a mass loss of 1.5% centered at d-TGA 271 °C, and ascribed to lattice water molecule evaporation [56,57]. The third step observed between 463 and 666 °C revealed a traced mass loss of 0.4% at 545 °C (d-TGA) and was attributed to the loss of structural water [58]; this loss was also detected in some studies [59]. More importantly, the calcined catalyst was thermally stable, with no more significant weight loss up to 800 °C observed.
Figure 6.
TGA and d-TGA curves of ZFNPs.
2.1.5. X-ray Photoelectron Spectroscopy
X-ray photoelectron spectroscopy (XPS) was used to analyze the catalyst’s surface chemistry and valence states. The wide and narrow survey of the XPS spectra displays signals corresponding to Fe, Zn, O, and adventitious C. From Figure 7a, there are two peaks at 710.98 eV and 724.91 eV with satellites, which correspond to Fe 2p3/2 and Fe 2p1/2 orbits, respectively, indicating Fe species in the catalyst as Fe+3 ions. The narrow survey XPS spectrum of Zn is illustrated in Figure 7b, which shows two prominent peaks at 1021.50 eV and 1044.66 eV, belonging to Zn 2p3/2 and Zn 2p1/2, respectively, indicating that Zn exists mainly as a +2 oxidized metal. The two peaks in Figure 7d at the binding energies of 529.62 eV and 231.27 eV correspond to O1s. According to the results, ZFNPs form in the same way as in the earlier reports [60,61].
Figure 7.
XPS spectra of ZFNPs. (a) wide XPS spectra, (b) narrow Zn 2p, (c) narrow Fe 2p, and (d) narrow O 1s.
2.1.6. BET Surface Area
The BET surface area and porosity measurement of the catalyst are shown in Table 1. The volume of pores and pore width were measured by the Barrett–Joyner–Halenda (BJH) method. The results confirmed the formation of mesopore structures [62]. As illustrated in Figure 8, ZFNPs exhibited an IV-type adsorption isotherm curve according to IUPAC classification. A hysteresis loop of type H1 occurred at a relative pressure (p/po) ranging between 0.7 and 1.0 [63].
Table 1.
BET surface area and porosity results.
Figure 8.
BET surface area plot.
2.2. Catalytic Activity
Catalytic tests were carried out in the liquid phase. The identification of the products was determined by the gas chromatography–mass spectrometry (GC-MS) technique. The analysis indicated that the oxidation of THF by H2O2 yielded GBL as the main product. 2-Hydroxytetrahydrofuran (THF-2-OH), gamma-hydroxybutyric acid (GHBA), and gamma-hydroxybutaldehyde (GHBAl) were obtained as minor products (Scheme 1). The THF oxidation was studied using H2O2 as an oxidizing agent by varying the reaction temperature, H2O2/THF mole ratio, catalyst dose, and reaction time. In addition, an experiment without a catalyst (blank run) was carried out, and negligible conversion was obtained, indicating that H2O2 alone cannot aid the oxidation of THF in the absence of the catalyst.
Scheme 1.
Products obtained from the oxidation reaction of THF by H2O2 over ZFNP catalyst.
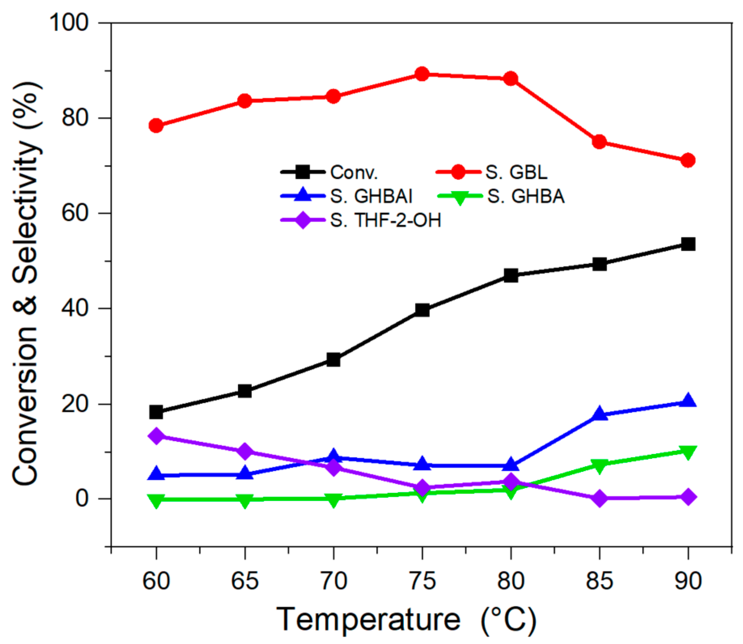
2.2.1. Effect of Reaction Temperature
To analyze the effect of temperature on the THF oxidation reaction, the reaction was performed at different temperatures ranging from 60 to 90 °C. The results, as depicted in Figure 9, showed that the temperature strongly affects the conversion and GBL selectivity. The conversion of THF and selectivity of GBL almost linearly increased with temperature up to 80 °C. At temperatures higher than 80 °C, a decrease in the GBL selectivity was observed, while there was no significant increase in conversion. The decline in selectivity of GBL beyond 80 °C could be attributed to the further oxidation of THF-2-OH and GBL to GHBAl and GHBA [47].
Figure 9.
Conversion and selectivity for THF oxidation process at various temperatures. Reaction conditions: H2O2 = 0.1 mol, THF = 0.1 mol, 0.5 g catalyst, and 9 h.
2.2.2. Effect of H2O2/THF Mole Ratio
The amount of oxidant has an important influence on the distribution of different products, so the dependence of conversion and selectivity of products on the H2O2/THF mole ratio was tested. It was found that the amount of the oxidant has great impact on the reaction outcome. As can be seen from the data shown in Figure 10, as the H2O2/THF mole ratio increased from 0.5 to 1.0, the conversion jumped from about 25.1% to 47.3%. This conversion improvement was accompanied by a great enhancement in the selectivity of GBL and a reduction in the selectivity of THF-2-OH. This behavior proves that GBL forms through THF-2-OH oxidation [46]. A further increase in the H2O2/THF mole ratio slightly improved THF conversion but negatively impacted GBL’s selectivity. Meanwhile, an increase in the selectivity of both GHBAl and GHBA was observed when the H2O2/THF mole ratio increased. Such results can be explained by the fact that a large amount of hydrogen peroxide led to the oxidation of the products instead of the reactant. It is worth mentioning that H2O2 is a limiting oxidant [64] used in a certain controlled concentration in organic syntheses to avoid deep oxidation [65].
Figure 10.
Effect of H2O2/THF mole ratio on the conversion and selectivity for the oxidation of THF. Reaction conditions: THF = 0.1 mol, 80 °C, 0.5 g of catalyst, and 9 h.
2.2.3. Effect of Reaction Time
Figure 11 depicts the effect of reaction time on THF oxidation. It was observed that the conversion rapidly increased in the first period from 3 to 9 h. The selectivity toward GBL production reached a maximum of 88.3% after 9 h. The increase in conversion over time is generally due to the idea that more time is required to form reaction intermediates (substrate + catalyst), which are finally converted into products. In the time interval of 9–18 h, a slight increase in the conversion from 47.3% to 53.3% was observed. However, as time increased, the selectivity toward GBL decreased, possibly due to the formation of GHBAl and GHBA from the oxidation of GBL. Furthermore, as the reaction proceeded, the reaction efficiency did not increase, which is mostly explained by the limited oxidation capability of H2O2, which is caused by the inactivation of the catalyst as the reaction proceeded for a longer time.
Figure 11.
Effect of reaction time on the conversion and selectivity for the oxidation of THT. Reaction conditions: H2O2 = 0.1 mol, THF = 0.1 mol, 80 °C, and 0.5 g of catalyst.
2.2.4. Effect of Catalyst Amount
The effect of catalyst amount on THF oxidation was investigated in the range of 0.25–1.00 g, and the results are illustrated in Figure 12. The results indicated that THF conversion increased as the catalyst amount increased up to 0.5 g. When the amount of the catalyst was increased from 0.25 to 0.5 g, the conversion of THF and the selectivity of GBL increased from 24.1% to 47.3% and from 76.4% to 88.3%, respectively. However, as the catalyst amount exceeded 0.5 g, the selectivity of GBL and THF-2-OH was slightly decreased in favor of GHBAl.
Figure 12.
Effect of ZFNPs amount on the conversion and selectivity for the oxidation of THT. Reaction conditions: H2O2 = 0.1 mol, THF = 0.1 mol, 80 °C, and 9 h.
2.2.5. Reusability
Catalyst regeneration is a key factor in the chemical industry for both economic and environmental reasons. Furthermore, recyclability and stability are necessary to estimate the efficiency of a heterogeneous catalyst. The ZFNP catalyst was regenerated by washing with 25 v/v% aqueous ethanol, drying under 100 °C for 24 h, and used as such. Then, it was characterized by FTIR, TGA, and XRD and tested under the same conditions. Figure 13a–c shows the FTIR spectra, TGA curves, and XRD patterns, respectively, for both fresh and reused catalysts. In both FTIR and XRD spectra, there was no difference between the spectra before and after use. In the TGA curve, a slight increase in weight loss was observed, possibly due to the loss of the organic compound adsorbed in the catalyst surface. These results indicated the stability of the catalyst and its potential for reuse. Thus, four cycles of reactions were tested, and the results are shown in Figure 14. Comparing the retested results to the first use, it was found that the conversion of THF slightly reduced after the first run. The selectivity of GBL decreased from 88.3% to 84.5%, while the selectivity of THF-2-OH increased from 4.7% to 11.3%. However, these results indicated the stability of the catalyst and its potential use in the synthesis of GBL from THF oxidation.
Figure 13.
The FTIR (a), TGA (b), and XRD (c) for fresh and reused ZFNPs after the catalytic cycle.
Figure 14.
Reusability of ZFNPs. Reaction conditions: H2O2 = 0.1 mol, THF = 0.1 mol, 80 °C, 9 h, and 0.5 g of catalyst.
2.2.6. Proposed Catalytic Mechanism
As discussed above, the spinel structure of the synthesized ZFNPs was confirmed. It has a cubic crystallite structure with tetrahedral and octahedral sites occupied, respectively, by Zn2+ and Fe3+ [66,67]. These ions generally absorb the oxygenated compounds (e.g., H2O2 and THF) onto the catalyst surface to allow the reaction to start. According to the obtained reaction products at the optimized conditions, oxidation supports the formation of THF-2-OH due to the mono-oxidation of α-C-H in THF. This unstable hemiacetal may undergo further oxidation to form the GBL and, to a lesser extent, the GHBAl. However, under hard conditions, GBL and GHBAl are prone to overoxidation into GHBA [47]. Figure 15 shows the proposed reaction pathway under the optimized reaction conditions.
Figure 15.
Proposed reaction pathway for THF oxidation over ZFNPs catalyst.
3. Materials and Methods
3.1. Materials
The reactions were performed using the following supplied chemicals, which were used without additional purification: THF (Fisher Scientific, Loughborough, UK; 99.5%), ferric nitrate nonahydrate (Fe(NO3)3·9H2O; 98%), zinc acetate dihydrate (Zn(CH3COO)2·2H2O; 98.5%), and ammonium bicarbonate (NH4HCO3; 99%) (BDH Chemicals, Poole, England, UK), and hydrogen peroxide (H2O2; 30% w/v) (Sigma-Aldrich, St. Louis, MO, USA).
3.2. Catalyst Preparation
ZFNPs were synthesized by the coprecipitation–calcination method. Typically, in a 250 mL round flask, 4.04 g of Fe((NO3)3·9H2O and 1.1 g Zn(CH3COO)2·2H2O (2:1 mole ratio) were dissolved in 30 mL deionized water and stirred for 30 min. To this solution, 5.5 g NH4HCO3 in 50 mL deionized water was added dropwise at 40 °C. The flask was closed and stirred at 75 °C for 5 h. Then, the mixture was left for 12 h. The precipitate was filtrated, washed several times with distilled water, and dried overnight at 80 °C. Finally, the precursor catalyst was calcined at 600 °C for 5 h.
3.3. Experimental Procedure
A 100 mL stainless steel autoclave equipped with magnetic stirring was used to carry out the liquid phase oxidations. Unless otherwise stated, 0.1 mol THF, 0.1 mol H2O2 (30% w/v), and 0.5 g of the catalyst were introduced into the autoclave. Then, the temperature was adjusted by a heating jacket with a heating control accuracy of ±0.1 °C. The oxidation reactions in the system were stirred at the desired temperature and time, then cooled down to below 10 °C using a water circulator. After centrifugation to remove the solid catalysts, the catalyst was purified and dried for further use. The reaction mixture was analyzed with a gas chromatograph (GC) equipped with a flame ionization detector (FID) and an Rtx-5 capillary column (30 m length × 0.32 mm internal diameter × phase thickness 0.25 μm). Gas chromatography coupled to a mass selective detector (GC-MS) using a TR-5 MS-SQC capillary column (30 m length, 0.25 mm internal diameter, and 0.25 μm phase thickness) with helium as the carrier gas (at a flow rate of 1 mL/min) was used to identify the products. The total conversion, product yield, and selectivity were calculated using Equations (1)–(3):
where is the initial number of moles of THF, is the number of moles formed of product i, is the number of moles of THF remained, and is the number of moles of THF consumed, where (GBL, THF-2-OH, …).
3.4. Characterization
The infrared spectra of the prepared catalysts were obtained using the potassium bromide (KBr) disc-shaped technique. The KBr disc was mounted in the cell holder of a Nicolet iS10 FTIR spectrophotometer from Thermo Scientific (Madison, WI, USA), operating with 32 resolution scans at 4 cm−1. X-ray diffraction (XRD) patterns were recorded in a Rigaku XtaLAB mini II benchtop X-ray 110 crystallography system (The Woodlands, TX, USA), with copper Kα radiation (λ = 1.5418 Å) and a scan speed of 3°/min over a two-theta (2θ) range of 10–90. The nitrogen absorption/desorption isotherms were acquired by a NOVA 2200e surface area analyzer (Quantachrome Corp., Boynton Beach, FL, USA) at liquid nitrogen temperature (77 K). X-ray photoelectron spectroscopy (XPS) was performed with an ESCALAB 250Xi instrument with a monochromatic Al Ka X-ray source (1486.6 eV). The surface area was calculated by the Brunauer–Emmett–Teller (BET) method, and the pore size distributions were calculated using the Barrett–Joyner–Halenda (BJH) method. Transmission electron microscopy (TEM) was carried out in a JEM-2100F field emission electron microscope (JEOL, Japan) with an acceleration voltage of 110 kV. For the TEM characterization, a drop of the sample mixed with ethanol in the form of a colloidal suspension was deposited onto a lacey-carbon copper grid. The morphology of the prepared compounds was determined using FESEM (JSM-7600F, JEOL, Tokyo, Japan, at 200 kV) by mounting samples on aluminum stubs after coating with platinum. Thermogravimetric analysis (TGA) of catalysts was carried out under a nitrogen atmosphere on a Mettler Toledo TGA/DSC 1 Star system (Columbus, OH, USA) at a heating rate of 10 °C min−1 for TGA up to 800 °C.
4. Conclusions
In this work, spinel ZFNP catalyst was successfully prepared, fully characterized, and tested for THF oxidation in the liquid phase using H2O2 as an oxidant. The results proved the formation of spinal NPs with an average crystal size of roughly 26 nm. The oxidation process led to the formation of gamma-butyrolactone (GBL) as the main product and 2-hydroxytetrahydrofuran (THF-2-OH), gamma-hydroxybutyric acid (GHBA), and gamma-hydroxybutaldehyde (GHBAl) as minor products. The conversion and selectivity of GBL can be controlled by selecting the appropriate conditions. The optimization of reaction temperature and time are important factors to avoid overoxidation. In addition, the H2O2 amount has an influential role in GBL selectivity. Catalyst efficiency and stability remained the same after reuse. As a result, it was concluded that the spinel ZnFe2O4 nanoparticle catalyst is an economically and environmentally potent catalyst for converting THF into GBL.
Author Contributions
Conceptualization, N.A.Y.A.; formal analysis, A.-B.A.-O.; funding acquisition, A.A.-K.; investigation, T.S.A.; methodology, N.A.Y.A.; supervision, A.A.-K.; visualization, N.A.Y.A.; writing—original draft, N.A.Y.A.; writing—review and editing, A.-B.A.-O. All authors have read and accepted the published version of the manuscript.
Funding
This work was funded by the Researchers Supporting Project number (RSP2023R266), King Saud University, Riyadh, Saudi Arabia.
Data Availability Statement
Data that support the findings of this study are included within the article.
Acknowledgments
The authors extend their appreciation to the Researchers Supporting Project number (RSP2023R266), King Saud University, Riyadh, Saudi Arabia.
Conflicts of Interest
The authors declare no conflict of interest.
References
- Bińczak, J.; Dziuba, K.; Chrobok, A. Recent Developments in Lactone Monomers and Polymer Synthesis and Application. Materials 2021, 14, 2881. [Google Scholar] [CrossRef] [PubMed]
- Albertsson, A.-C.; Varma, I.K. Recent developments in ring opening polymerization of lactones for biomedical applications. Biomacromolecules 2003, 4, 1466–1486. [Google Scholar] [CrossRef] [PubMed]
- Şardan, M.; Sezer, S.; Günel, A.; Akkaya, M.; Tanyeli, C. Synthesis and biological evaluation of optically active conjugated γ-and δ-lactone derivatives. Bioorg. Med. Chem. Lett. 2012, 22, 5814–5818. [Google Scholar] [CrossRef] [PubMed]
- De la Cruz-Sánchez, P.; Pàmies, O. Metal-π-allyl mediated asymmetric cycloaddition reactions. In Advances in Catalysis; Elsevier: Amsterdam, The Netherlands, 2021; Volume 69, pp. 103–180. [Google Scholar]
- Sartori, S.K.; Diaz, M.A.N.; Diaz-Muñoz, G. Lactones: Classification, synthesis, biological activities, and industrial applications. Tetrahedron 2021, 84, 132001. [Google Scholar] [CrossRef]
- Venkatesan, S.; Su, S.-C.; Hung, W.-N.; Liu, I.-P.; Teng, H.; Lee, Y.-L. Printable electrolytes based on polyacrylonitrile and gamma-butyrolactone for dye-sensitized solar cell application. J. Power Sources 2015, 298, 385–390. [Google Scholar] [CrossRef]
- Phattanarudee, S.; Maher, T.J.; Towiwat, P. Catalepsy and Comparing Gamma-Hydroxybutyrate, 1, 4-Butanediol, and Gamma-Butyrolactone. In Neuropathology of Drug Addictions and Substance Misuse; Elsevier: Amsterdam, The Netherlands, 2016; pp. 484–490. [Google Scholar]
- Zhang, X.; Fevre, M.; Jones, G.O.; Waymouth, R.M. Catalysis as an enabling science for sustainable polymers. Chem. Rev. 2018, 118, 839–885. [Google Scholar] [CrossRef] [PubMed]
- Ritzoulis, G.; Missopolinou, D.; Doulami, S.; Panayiotou, C. Relative permittivities, densities, refractive indices and ultrasound velocities of the binary systems of γ-butyrolactone with methanol, ethanol, 1-butanol, and 1-octanol. J. Chem. Eng. Data 2000, 45, 636–641. [Google Scholar] [CrossRef]
- Świergiel, J.; Jadżyn, J. Temperature behavior of electric relaxational effects due to ionic conductivity in liquid lactones. Int. J. Thermophys. 2012, 33, 783–794. [Google Scholar] [CrossRef]
- Mbaiwa, F.; Nyepetsi, M. Molecular dynamics and density functional theory studies of γ-butyrolactone (GBL)+ ethanol and γ-valerolactone (GVL)+ ethanol liquid mixtures. J. Mol. Liq. 2020, 319, 114128. [Google Scholar] [CrossRef]
- Gagliardi, M.; Bifone, A. Ring-opening copolymerization thermodynamics and kinetics of γ-valerolactone/ϵ-caprolactone. PLoS ONE 2018, 13, e0199231. [Google Scholar] [CrossRef]
- Song, Q.; Zhao, J.; Zhang, G.; Peruch, F.; Carlotti, S. Ring-opening (co) polymerization of γ-butyrolactone: A review. Polym. J. 2020, 52, 3–11. [Google Scholar] [CrossRef]
- Duereh, A.; Sato, Y.; Smith, R.L., Jr.; Inomata, H. Methodology for replacing dipolar aprotic solvents used in API processing with safe hydrogen-bond donor and acceptor solvent-pair mixtures. Org. Process Res. Dev. 2017, 21, 114–124. [Google Scholar] [CrossRef]
- Pillai, U.R.; Sahle-Demessie, E.; Young, D. Maleic anhydride hydrogenation over Pd/Al2O3 catalyst under supercritical CO2 medium. Appl. Catal. B Environ. 2003, 43, 131–138. [Google Scholar] [CrossRef]
- Javaid, A.; Bildea, C.S. Integrated process for γ-butyrolactone production. UPB Sci. Bull. 2014, 76, 33–42. [Google Scholar]
- Yan, K.; Wu, G.; Lafleur, T.; Jarvis, C. Production, properties and catalytic hydrogenation of furfural to fuel additives and value-added chemicals. Renew. Sustain. Energy Rev. 2014, 38, 663–676. [Google Scholar] [CrossRef]
- Eseyin, A.E.; Steele, P.H. An overview of the applications of furfural and its derivatives. Int. J. Adv. Chem. 2015, 3, 42–47. [Google Scholar] [CrossRef]
- Hay, M.T.; Geib, S.J.; Pettner, D.A. Aerobic oxidation of tetrahydrofuran by a series of iron (III) containing POSS compounds. Polyhedron 2009, 28, 2183–2186. [Google Scholar] [CrossRef]
- Straub, T.; Koskinen, A.M. Catalytic oxidation of THF with homo and hetero metallic Mo/Ru complexes and molecular oxygen. Inorg. Chem. Commun. 2002, 5, 1052–1055. [Google Scholar] [CrossRef]
- Salavati-Niasari, M.; Bazarganipour, M. Bis(macrocyclic) copper(II) complexes containing aromatic nitrogen–nitrogen linkers produced by in situ one pot template condensation reaction (IOPTCR): Synthesis, characterization and catalytic oxidation of tetrahydrofuran. Inorg. Chem. Commun. 2006, 9, 332–336. [Google Scholar] [CrossRef]
- Salavati-Niasari, M. Oxidation of tetrahydrofuran with hydrogen peroxide in the presence of host (zeolite Y)/guest (1,9-dialkyl-1,3,7,9,11,15-hexaazacyclohexadecane copper(II) complexes, [Cu(R2[16]aneN6)]2+) nanocomposite materials. Inorg. Chem. Commun. 2006, 9, 628–633. [Google Scholar] [CrossRef]
- Wang, H.; Yan, Z.-g.; Li, H.; Yang, N.-y.; Leung, K.M.; Wang, Y.-z.; Yu, R.-z.; Zhang, L.; Wang, W.-h.; Jiao, C.-y. Progress of environmental management and risk assessment of industrial chemicals in China. Environ. Pollut. 2012, 165, 174–181. [Google Scholar] [CrossRef] [PubMed]
- Wang, Y.; Zhang, R.; Worden, S.; Cao, H.; Li, C. Public participation in environmental governance initiatives of chemical industrial parks. J. Clean. Prod. 2021, 305, 127092. [Google Scholar] [CrossRef]
- Chen, H.; Wen, Y.; Waters, M.D.; Shonnard, D.R. Design guidance for chemical processes using environmental and economic assessments. Ind. Eng. Chem. Res. 2002, 41, 4503–4513. [Google Scholar] [CrossRef]
- Védrine, J.C. Metal oxides in heterogeneous oxidation catalysis: State of the art and challenges for a more sustainable world. ChemSusChem 2019, 12, 577–588. [Google Scholar] [CrossRef]
- Védrine, J.C. Heterogeneous catalysis on metal oxides. Catalysts 2017, 7, 341. [Google Scholar] [CrossRef]
- Vozniuk, O.; Tabanelli, T.; Tanchoux, N.; Millet, J.-M.M.; Albonetti, S.; Di Renzo, F.; Cavani, F. Mixed-oxide catalysts with spinel structure for the valorization of biomass: The chemical-loop reforming of bioethanol. Catalysts 2018, 8, 332. [Google Scholar] [CrossRef]
- Kefeni, K.K.; Mamba, B.B.; Msagati, T.A. Application of spinel ferrite nanoparticles in water and wastewater treatment: A review. Sep. Purif. Technol. 2017, 188, 399–422. [Google Scholar] [CrossRef]
- Tatarchuk, T.; Al-Najar, B.; Bououdina, M.; Ahmed, M.A. Catalytic and photocatalytic properties of oxide spinels. In Handbook of Ecomaterials; Springer: New York, NY, USA, 2019; Volume 3, pp. 1701–1750. [Google Scholar]
- Hao, A.; Ning, X. Recent advances in spinel ferrite-based thin films: Synthesis, performances, applications, and beyond. Front. Mater. 2021, 8, 501. [Google Scholar] [CrossRef]
- Linh, N.L.M.; Giang, H.T.B.; Thang, L.Q.; Tien, T.D.; Thu, N.T.A.; Duong, T.; Van Duc, H.; Hoa, L.T.; Nguyen, V.T.; Nhiem, D.N. The Benzylation of p-Xylene Using ZnFe2O4 Nanoparticles as Heterogeneous Catalyst. J. Nanomater. 2022, 2022, 6490334. [Google Scholar] [CrossRef]
- Hazarika, R.; Garg, A.; Chetia, S.; Phukan, P.; Kulshrestha, A.; Kumar, A.; Bordoloi, A.; Kalita, A.J.; Guha, A.K.; Sarma, D. Magnetically separable ZnFe2O4 nanoparticles: A low cost and sustainable catalyst for propargyl amine and NH-triazole synthesis. Appl. Catal. A Gen. 2021, 625, 118338. [Google Scholar] [CrossRef]
- De, K.; Mukhopadhyay, C. ZnFe2O4 Nanoparticles: An Efficient and Recyclable Catalyst for the Synthesis of Isatinylidenethiazol-4-one Derivatives. ChemistrySelect 2018, 3, 6873–6879. [Google Scholar] [CrossRef]
- Ramazani, A.; Sadri, F.; Massoudi, A.; Khoobi, M.; Joo, S.W.; Dolatyari, L.; Dayyani, N. Magnetic ZnFe2O4 nanoparticles as an efficient catalyst for the oxidation of alcohols to carbonyl compounds in the presence of oxone as an oxidant. Iran. J. Catal. 2015, 5, 285–291. [Google Scholar]
- Lee, D.G.; Engh, M.V.D. The oxidation of tetrahydrofuran by ruthenium tetroxide. Can. J. Chem. 1972, 50, 3129–3134. [Google Scholar] [CrossRef]
- Metsger, L.; Bittner, S. Autocatalytic oxidation of ethers with sodium bromate. Tetrahedron 2000, 56, 1905–1910. [Google Scholar] [CrossRef]
- Podgoršek, A.; Zupan, M.; Iskra, J. Oxidative halogenation with “green” oxidants: Oxygen and hydrogen peroxide. Angew. Chem. Int. Ed. 2009, 48, 8424–8450. [Google Scholar] [CrossRef] [PubMed]
- AlGarni, T.S.; Abduh, N.A.; Al Kahtani, A.; Aouissi, A. Preparation of α-MoO3 from H3PMo12O40 precursor: Synthesis of 1,2-cyclohexanediol from cyclohexene over α-MoO3-TiO2 catalyst. Mater. Res. Express 2022, 9, 085003. [Google Scholar] [CrossRef]
- Hone, C.A.; Kappe, C.O. The use of molecular oxygen for liquid phase aerobic oxidations in continuous flow. In Accounts on Sustainable Flow Chemistry; Springer: Cham, Switzerland, 2020; pp. 67–110. [Google Scholar]
- Gonzalez-de-Castro, A.; Xiao, J. Green and efficient: Iron-catalyzed selective oxidation of olefins to carbonyls with O2. J. Am. Chem. Soc. 2015, 137, 8206–8218. [Google Scholar] [CrossRef]
- Liu, S.; Li, S.; Shen, X.; Wang, Y.; Du, J.; Chen, B.; Han, B.; Liu, H. Selective aerobic oxidation of cyclic ethers to lactones over Au/CeO2 without any additives. Chem. Commun. 2020, 56, 2638–2641. [Google Scholar] [CrossRef]
- Dou, J.; Tao, F.F. Selective epoxidation of cyclohexene with molecular oxygen on catalyst of nanoporous Au integrated with MoO3 nanoparticles. Appl. Catal. A Gen. 2017, 529, 134–142. [Google Scholar] [CrossRef]
- Heravi, M.M.; Ghalavand, N.; Hashemi, E. Hydrogen peroxide as a green oxidant for the selective catalytic oxidation of benzylic and heterocyclic alcohols in different media: An overview. Chemistry 2020, 2, 101–178. [Google Scholar] [CrossRef]
- Noyori, R.; Aoki, M.; Sato, K. Green oxidation with aqueous hydrogen peroxide. Chem. Commun. 2003, 34, 1977–1986. [Google Scholar] [CrossRef]
- Sasidharan, M.; Bhaumik, A. Catalytic oxidation of cyclic ethers to lactones over various titanosilicates. J. Mol. Catal. A Chem. 2011, 338, 105–110. [Google Scholar] [CrossRef]
- Ausavasukhi, A.; Sooknoi, T. Oxidation of tetrahydrofuran to butyrolactone catalyzed by iron-containing clay. Green Chem. 2015, 17, 435–441. [Google Scholar] [CrossRef]
- Saafan, S.A.; El-Nimr, M.K.; Hussein, M.M.; Omar, M.K. FTIR, DC, and AC electrical measurements of Mg Zn Nano-ferrites and their composites with Polybenzoxazine. Appl. Phys. A 2021, 127, 800. [Google Scholar] [CrossRef]
- Andhare, D.; Jadhav, S.; Khedkar, M.; Somvanshi, S.B.; More, S.; Jadhav, K. Structural and chemical properties of ZnFe2O4 nanoparticles synthesised by chemical co-precipitation technique. J. Phys. Conf. Ser. 2020, 1644, 012014. [Google Scholar] [CrossRef]
- Ghanbari, D.; BandehAli, S.; Moghadassi, A. Embedded three spinel ferrite nanoparticles in PES-based nano filtration membranes with enhanced separation properties. Main Group Met. Chem. 2022, 45, 1–10. [Google Scholar] [CrossRef]
- Rana, A.; Kumar, V. Investigation on anneal-tuned properties of ZnFe2O4 nanoparticles for use in humidity sensors. Appl. Phys. A 2021, 127, 609. [Google Scholar]
- Silambarasu, A.; Manikandan, A.; Balakrishnan, K. Room-temperature superparamagnetism and enhanced photocatalytic activity of magnetically reusable spinel ZnFe2O4 nanocatalysts. J. Supercond. Nov. Magn. 2017, 30, 2631–2640. [Google Scholar] [CrossRef]
- Lemine, O.; Bououdina, M.; Sajieddine, M.; Al-Saie, A.; Shafi, M.; Khatab, A.; Al-Hilali, M.; Henini, M. Synthesis, structural, magnetic and optical properties of nanocrystalline ZnFe2O4. Phys. B Condens. Matter 2011, 406, 1989–1994. [Google Scholar] [CrossRef]
- Algarni, T.S.; Al-Mohaimeed, A.M.; Al-Odayni, A.-B.; Abduh, N.A. Activated Carbon/ZnFe2O4 Nanocomposite Adsorbent for Efficient Removal of Crystal Violet Cationic Dye from Aqueous Solutions. Nanomaterials 2022, 12, 3224. [Google Scholar] [CrossRef]
- Abbasian, A.R.; Shafiee Afarani, M. One-step solution combustion synthesis and characterization of ZnFe2O4 and ZnFe1.6O4 nanoparticles. Appl. Phys. A 2019, 125, 721. [Google Scholar] [CrossRef]
- Roshani, R.; Tadjarodi, A. Synthesis of ZnFe2O4 nanoparticles with high specific surface area for high-performance supercapacitor. J. Mater. Sci. Mater. Electron. 2020, 31, 23025–23036. [Google Scholar] [CrossRef]
- Khanmohammadi-Sarabi, F.; Ghorbani-Choghamarani, A.; Aghavandi, H.; Zolfigol, M.A. ZnFe2O4@ SiO2-ascorbic acid: Green, magnetic, and versatile catalyst for the synthesis of chromeno [2, 3-d] pyrimidine-8-amine and quinazoline derivatives. Appl. Organomet. Chem. 2022, 36, e6768. [Google Scholar] [CrossRef]
- Briceño, S.; Brämer-Escamilla, W.; Silva, P.; Delgado, G.E.; Plaza, E.; Palacios, J.; Cañizales, E. Effects of synthesis variables on the magnetic properties of CoFe2O4 nanoparticles. J. Magn. Magn. Mater. 2012, 324, 2926–2931. [Google Scholar] [CrossRef]
- Borade, R.M.; Somvanshi, S.B.; Kale, S.B.; Pawar, R.P.; Jadhav, K. Spinel zinc ferrite nanoparticles: An active nanocatalyst for microwave irradiated solvent free synthesis of chalcones. Mater. Res. Express 2020, 7, 016116. [Google Scholar] [CrossRef]
- Doiphode, V.; Vairale, P.; Sharma, V.; Waghmare, A.; Punde, A.; Shinde, P.; Shah, S.; Pandharkar, S.; Hase, Y.; Aher, R. Solution-processed electrochemical synthesis of ZnFe2O4 photoanode for photoelectrochemical water splitting. J. Solid State Electrochem. 2021, 25, 1835–1846. [Google Scholar] [CrossRef]
- Song, H.; Zhu, L.; Li, Y.; Lou, Z.; Xiao, M.; Ye, Z. Preparation of ZnFe2O4 nanostructures and highly efficient visible-light-driven hydrogen generation with the assistance of nanoheterostructures. J. Mater. Chem. A 2015, 3, 8353–8360. [Google Scholar] [CrossRef]
- Ma, J.; Wang, X.; Wang, G.; Wang, H. Zinc Ferrite Nanorod-Assembled Mesoporous Microspheres as Advanced Anode Materials for Sodium-Ion Batteries. Energy Technol. 2019, 7, 1900479. [Google Scholar] [CrossRef]
- Morsi, R.E.; Mohamed, R.S. Nanostructured mesoporous silica: Influence of the preparation conditions on the physical-surface properties for efficient organic dye uptake. R. Soc. Open Sci. 2018, 5, 172021. [Google Scholar] [CrossRef]
- Weng, Z.; Wang, J.; Zhang, S.; Jian, X. Selective oxidation of benzyl alcohol by heteropolytungstate as reaction-controlled phase-transfer catalyst with hydrogen peroxide. Bull. Chem. Soc. Jpn. 2008, 81, 525–529. [Google Scholar] [CrossRef]
- Cánepa, A.L.; Elías, V.R.; Vaschetti, V.M.; Sabre, E.V.; Eimer, G.A.; Casuscelli, S.G. Selective oxidation of benzyl alcohol through eco-friendly processes using mesoporous V-MCM-41, Fe-MCM-41 and Co-MCM-41 materials. Appl. Catal. A Gen. 2017, 545, 72–78. [Google Scholar] [CrossRef]
- Sagayaraj, R.; Aravazhi, S.; Praveen, P.; Chandrasekaran, G. Structural, morphological and magnetic characters of PVP coated ZnFe2O4 nanoparticles. J. Mater. Sci. Mater. Electron. 2018, 29, 2151–2158. [Google Scholar] [CrossRef]
- Ferrari, S.; Kumar, R.; Grinblat, F.; Aphesteguy, J.C.; Saccone, F.D.; Errandonea, D. In-situ high-pressure X-ray diffraction study of zinc ferrite nanoparticles. Solid State Sci. 2016, 56, 68–72. [Google Scholar] [CrossRef]
Disclaimer/Publisher’s Note: The statements, opinions and data contained in all publications are solely those of the individual author(s) and contributor(s) and not of MDPI and/or the editor(s). MDPI and/or the editor(s) disclaim responsibility for any injury to people or property resulting from any ideas, methods, instructions or products referred to in the content. |
© 2023 by the authors. Licensee MDPI, Basel, Switzerland. This article is an open access article distributed under the terms and conditions of the Creative Commons Attribution (CC BY) license (https://creativecommons.org/licenses/by/4.0/).















