Tuning the Magnetic and Catalytic Properties of Manganese Ferrite through Zn2+ Doping: Gas Phase Oxidation of Octanol
Abstract
:1. Introduction
2. Results and Discussion
2.1. Characterization
2.2. Magnetic Behavior
2.3. DFT Calculation
2.4. Catalytic Properties of MnFe2O4, ZnFe2O4 and ZnMnFe2O4
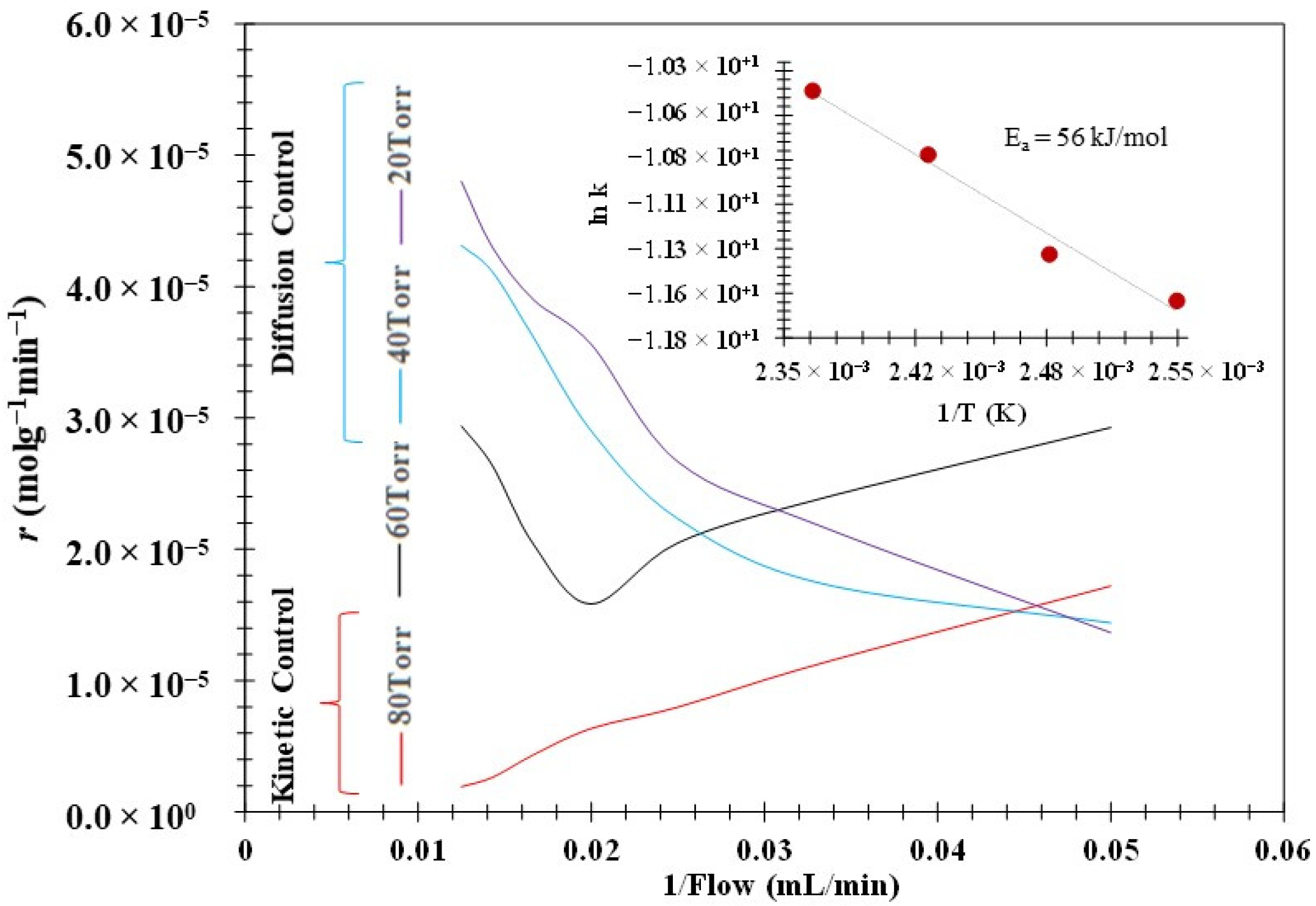
2.4.1. Kinetics Analysis
2.4.2. Comparative Study
3. Experimental
3.1. Materials and Methods
3.1.1. Preparation of Metal Doped Ferrite
3.1.2. Characterization
3.2. DFT Study
3.3. Catalytic Test
4. Conclusions
Author Contributions
Funding
Data Availability Statement
Acknowledgments
Conflicts of Interest
References
- Almessiere, M.A.; Güner, S.; Slimani, Y.; Baykal, A.; Shirsath, S.E.; Korkmaz, A.D.; Badar, R.; Manikandan, A. Investigation on the structural, optical, and magnetic features of Dy3+ and Y3+ co-doped Mn0.5Zn0.5Fe2O4 spinel ferrite nanoparticles. J. Mol. Struct. 2022, 1248, 131412. [Google Scholar] [CrossRef]
- Kanna, R.R.; Lenin, N.; Sakthipandi, K.; Kumar, A.S. Structural, optical, dielectric and magnetic studies of gadolinium-added Mn-Cu nanoferrites. J. Magn. Magn. Mater. 2018, 453, 78–90. [Google Scholar] [CrossRef]
- Amiri, M.; Eskandari, K.; Salavati-Niasari, M. Magnetically retrievable ferrite nanoparticles in the catalysis application. Adv. Colloid Interface Sci. 2019, 271, 101982. [Google Scholar] [CrossRef]
- Kefeni, K.K.; Msagati, T.A.M.; Nkambule, T.T.; Mamba, B.B. Spinel ferrite nanoparticles and nanocomposites for biomedical applications and their toxicity. Mater. Sci. Eng. C 2020, 107, 110314. [Google Scholar] [CrossRef] [PubMed]
- Ma, H.; Liu, C. A mini-review of ferrites-based photocatalyst on application of hydrogen production. Front. Energy 2021, 15, 621–630. [Google Scholar] [CrossRef]
- Gupta, N.K.; Ghaffari, Y.; Kim, S.; Bae, J.; Kim, K.S.; Saifuddin, M. Photocatalytic Degradation of Organic Pollutants over MFe2O4 (M = Co, Ni, Cu, Zn) Nanoparticles at Neutral pH. Sci. Rep. 2020, 10, 4942. [Google Scholar] [CrossRef] [PubMed]
- Dippong, T.; Levei, E.A.; Cadar, O. Recent Advances in Synthesis and Applications of MFe2O4 (M = Co, Cu, Mn, Ni, Zn) Nanoparticles. Nanomaterials 2021, 11, 1560. [Google Scholar] [CrossRef] [PubMed]
- Prasad, S.A.V.; Deepty, M.; Ramesh, P.N.; Prasad, G.; Srinivasarao, K.; Srinivas, C.; Babu, K.V.; Kumar, E.R.; Mohan, N.K.; Sastry, D.L. Synthesis of MFe2O4 (M = Mg2+, Zn2+, Mn2+) spinel ferrites and their structural, elastic and electron magnetic resonance properties. Ceram. Int. 2018, 44, 10517–10524. [Google Scholar] [CrossRef]
- Pham, T.N.; Huy, T.Q.; Le, A.T. Spinel ferrite (AFe2O4)-based heterostructured designs for lithium-ion battery, environmental monitoring, and biomedical applications. RSC Adv. 2020, 10, 31622–31661. [Google Scholar] [CrossRef]
- Jung, S.; Kim, S.; Cho, W.; Lee, K. Development of highly efficient energy harvester based on magnetic field emanating from a household power line and its autonomous interface electronics. IEEE Sens. J. 2023, 23, 6607–6615. [Google Scholar] [CrossRef]
- Hu, W.; Qin, N.; Wu, G.; Lin, Y.; Li, S.; Bao, D. Opportunity of spinel ferrite materials in nonvolatile memory device applications based on their resistive switching performances. J. Am. Chem. Soc. 2012, 134, 14658–14661. [Google Scholar] [CrossRef] [PubMed]
- Cai, H.L.; Zhan, J.; Yang, C.; Chen, X.; Yang, Y.; Chi, B.Y.; Wang, A.; Ren, T.L. Application of ferrite nanomaterial in RF on-chip inductors. J. Nanomater. 2013, 2013, 832401. [Google Scholar] [CrossRef]
- Silvestri, N.; Gavilán, H.; Guardia, P.; Brescia, R.; Fernandes, S.; Samia, A.C.S.; Teran, F.J.; Pellegrino, T. Di- and tri-component spinel ferrite nanocubes: Synthesis and their comparative characterization for theranostic applications. Nanoscale 2021, 13, 13665–13680. [Google Scholar] [CrossRef] [PubMed]
- Abdel Maksoud, M.I.A.; Ghobashy, M.M.; Kodous, A.S.; Fahim, R.A.; Osman, A.I.; Al-Muhtaseb, A.H.; Rooney, D.W.; Mamdouh, M.A.; Nady, N.; Ashour, A.H. Insights on magnetic spinel ferrites for targeted drug delivery and hyperthermia applications. Nanotechnol. Rev. 2022, 11, 372–413. [Google Scholar] [CrossRef]
- Alghamdi, N.A.; Hankiewicz, J.H.; Anderson, N.R.; Stupic, K.F.; Camley, R.E.; Przybylski, M.; Zukrowski, J.; Celinski, Z. Development of Ferrite-Based Temperature Sensors for Magnetic Resonance Imaging: A Study of Cu1–xZnxFe2O4. Phys. Rev. Appl. 2018, 9, 054030. [Google Scholar] [CrossRef] [PubMed]
- Valenzuela, R. Novel applications of ferrites. Phys. Res. Int. 2012, 2012, 591839. [Google Scholar] [CrossRef]
- Khan, M.Z.; Gul, I.H.; Baig, M.M.; Khan, A.N. Comprehensive study on structural, electrical, magnetic and photocatalytic degradation properties of Al3+ ions substituted nickel ferrites nanoparticles. J. Alloys Compd. 2020, 848, 155795. [Google Scholar] [CrossRef]
- Lai, Z.; Xu, G.; Zheng, Y. Microwave assisted low temperature synthesis of MnZn ferrite nanoparticles. Nanoscale Res. Lett. 2007, 2, 40–43. [Google Scholar] [CrossRef]
- Mathew, T.; Vijayaraj, M.; Pai, S.; Tope, B.B.; Hegde, S.G.; Rao, B.S.; Gopinath, C.S. A mechanistic approach to phenol methylation on Cu1−xCoxFe2O4: FTIR study. J. Catal. 2004, 227, 175–185. [Google Scholar] [CrossRef]
- Martins, N.M.R.; Martins, L.M.D.R.S.; Amorim, C.O.; Amaral, V.S.; Pombeiro, A.J.L. Solvent-Free Microwave-Induced Oxidation of Alcohols Catalyzed by Ferrite Magnetic Nanoparticles. Catalysts 2017, 7, 222. [Google Scholar] [CrossRef]
- Dhiman, P.; Rana, G.; Dawi, E.A.; Kumar, A.; Sharma, G.; Kumar, A.; Sharma, J. Tuning the Photocatalytic Performance of Ni-Zn Ferrite Catalyst Using Nd Doping for Solar Light-Driven Catalytic Degradation of Methylene Blue. Water 2023, 15, 187. [Google Scholar] [CrossRef]
- Bhat, P.B.; Inam, F.; Bhat, B.R. Nickel hydroxide/cobalt-ferrite magnetic nanocatalyst for alcohol oxidation. ACS Comb. Sci. 2014, 16, 397–402. [Google Scholar] [CrossRef]
- Iraqui, S.; Kashyap, S.S.; Rashid, M.H. NiFe2O4 nanoparticles: An efficient and reusable catalyst for the selective oxidation of benzyl alcohol to benzaldehyde under mild conditions. Nanoscale Adv. 2020, 2, 5790–5802. [Google Scholar] [CrossRef]
- Ranjith Kumar, E.; Jayaprakash, R.; Arunkumar, T.; Kumar, S. Effect of reaction time on particle size and dielectric properties of manganese substituted CoFe2O4 nanoparticles. J. Phys. Chem. Solids 2013, 74, 110–114. [Google Scholar] [CrossRef]
- Vergis, B.R.; Kottam, N.; Krishna, R.H.; Nagabhushana, B.M. Removal of Evans Blue dye from aqueous solution using magnetic spinel ZnFe2O4 nanomaterial: Adsorption isotherms and kinetics. Nano-Struct. Nano-Objects 2019, 18, 100290. [Google Scholar] [CrossRef]
- Zhang, X.; Chen, Z.; Liu, J.; Cui, S. Synthesis and characterization of ZnFe2O4 nanoparticles on infrared radiation by xerogel with sol-gel method. Chem. Phys. Lett. 2021, 764, 138265. [Google Scholar] [CrossRef]
- Godara, S.K.; Kaur, V.; Narang, S.B.; Singh, G.; Singh, M.; Bhadu, G.R.; Chaudhari, J.C.; Babu, P.D.; Sood, A.K. Tailoring the magnetic properties of M-type strontium ferrite with synergistic effect of co-substitution and calcinations temperature. J. Asian Ceram. Soc. 2021, 9, 686–698. [Google Scholar] [CrossRef]
- Karaagac, O.; Köçkar, H. The effects of temperature and reaction time on the formation of manganese ferrite nanoparticles synthesized by hydrothermal method. J. Mater. Sci. Mater. Electron. 2020, 31, 2567–2574. [Google Scholar] [CrossRef]
- Yao, J.; Li, X.; Li, Y.; Le, S. Density Functional Theory Investigations on the Structure and Electronic Properties of Normal Spinel ZnFe2O4. Integr. Ferroelectr. 2013, 145, 17–23. [Google Scholar] [CrossRef]
- Ali, S.Y.; Eid, O.I.; Siddig, M.A. The Influence of Cu on the Dielectric Properties of NiZnFe2O4 Synthesized by Solid State Reaction Method. J. Mater. Sci. Chem. Eng. 2020, 8, 14–23. [Google Scholar]
- Mozaffari, M.; Arani, M.; Amighian, J. The effect of cation distribution on magnetization of ZnFe2O4 nanoparticles. J. Magn. Magn. Mater. 2010, 322, 3240–3244. [Google Scholar] [CrossRef]
- Yadav, A.; Varshney, D. Structural and temperature dependent dielectric behavior of Cr and Zn doped MnFe2O4 nano ferrites. Superlattices Microstruct. 2018, 113, 153–159. [Google Scholar] [CrossRef]
- Ansari, M.M.N.; Khan, S. Structural, electrical and optical properties of sol-gel synthesized cobalt substituted MnFe2O4 nanoparticles. Phys. B Condens. Matter 2017, 520, 21–27. [Google Scholar] [CrossRef]
- Pışırır, O.M.; Bingöl, O. Industrial PC based heliostat control for solar power towers. Acta Phys. Pol. Ser. A 2016, 130, 36–40. [Google Scholar] [CrossRef]
- Simon, C.; Blösser, A.; Eckardt, M.; Kurz, H.; Weber, B.; Zobel, M.; Marschall, R. Magnetic properties and structural analysis on spinel MnFe2O4 nanoparticles prepared via non-aqueous microwave synthesis. Z. Anorg. Allg. Chem. 2021, 647, 2061–2072. [Google Scholar] [CrossRef]
- Manohar, A.; Vijayakanth, V.; Chintagumpala, K.; Manivasagan, P.; Jang, E.S.; Kim, K.H. Zn-doped MnFe2O4 nanoparticles for magnetic hyperthermia and their cytotoxicity study in normal and cancer cell lines. Colloids Surf. A Physicochem. Eng. Asp. 2023, 675, 132037. [Google Scholar] [CrossRef]
- Ilyas, M.; Sadiq, M. Liquid-Phase Aerobic Oxidation of Benzyl Alcohol Catalyzed by Pt/ZrO2. Chem. Eng. Technol. 2007, 30, 1391–1397. [Google Scholar] [CrossRef]
- Chang, C.R.; Wang, Y.G.; Li, J. Theoretical investigations of the catalytic role of water in propene epoxidation on gold nanoclusters: A hydroperoxyl-mediated pathway. Nano Res. 2011, 4, 131–142. [Google Scholar] [CrossRef]
- Chang, C.R.; Yang, X.F.; Long, B.; Li, J. A water-promoted mechanism of alcohol oxidation on a Au(111) surface: Understanding the catalytic behavior of bulk gold. ACS Catal. 2013, 3, 1693–1699. [Google Scholar] [CrossRef]
- Zhou, M.; Zhao, Y.; Gong, Y.; Li, J. Formation and characterization of the XeOO+ cation in solid argon. J. Am. Chem. Soc. 2006, 128, 2504–2505. [Google Scholar] [CrossRef]
- Jacintha, A.M.; Manikandan, A.; Chinnaraj, K.; Antony, S.A.; Neeraja, P. Comparative studies of Spinel MnFe2O4 nanostructures: Structural, morphological, optical, magnetic and catalytic properties. J. Nanosci. Nanotechnol. 2015, 15, 9732–9740. [Google Scholar] [CrossRef] [PubMed]
- Gawade, A.B.; Nakhate, A.V.; Yadav, G.D. Selective synthesis of 2,5-furandicarboxylic acid by oxidation of 5-hydroxymethylfurfural over MnFe2O4 catalyst. Catal. Today 2018, 309, 119–125. [Google Scholar] [CrossRef]
- Burange, A.S.; Kale, S.R.; Zboril, R.; Gawande, M.B.; Jayaram, R.V. Magnetically retrievable MFe2O4 spinel (M = Mn, Co, Cu, Ni, Zn) catalysts for oxidation of benzylic alcohols to carbonyls. RSC Adv. 2014, 4, 6597–6601. [Google Scholar] [CrossRef]
- Mary Jacintha, A.; Umapathy, V.; Neeraja, P.; Rex Jeya Rajkumar, S. Synthesis and comparative studies of MnFe2O4 nanoparticles with different natural polymers by sol-gel method: Structural, morphological, optical, magnetic, catalytic and biological activities. J. Nanostructure Chem. 2017, 7, 375–387. [Google Scholar] [CrossRef]
- Stoia, M.; Muntean, C.; Militaru, B. MnFe2O4 nanoparticles as new catalyst for oxidative degradation of phenol by peroxydisulfate. J. Environ. Sci. 2017, 53, 269–277. [Google Scholar] [CrossRef] [PubMed]
- Zeng, T.; Sun, G.; Miao, C.; Yan, G.; Ye, Y.; Yang, W.; Sautet, P. Stabilizing Oxidative Dehydrogenation Active Sites at High Temperature with Steam: ZnFe2O4-Catalyzed Oxidative Dehydrogenation of 1-Butene to 1,3-Butadiene. ACS Catal. 2020, 10, 12888–12897. [Google Scholar] [CrossRef]
- Lee, H.; Jung, J.C.; Kim, H.; Chung, Y.M.; Kim, T.J.; Lee, S.J.; Oh, S.H.; Kim, Y.S.; Song, I.K. Effect of pH in the preparation of ZnFe2O4 for oxidative dehydrogenation of n-butene to 1,3-butadiene: Correlation between catalytic performance and surface acidity of ZnFe2O4. Catal. Commun. 2008, 9, 1137–1142. [Google Scholar] [CrossRef]
- Ambrosch-Draxl, C.; Sofo, J.O. Linear optical properties of solids within the full-potential linearized augmented planewave method. Comput. Phys. Commun. 2006, 175, 1–14. [Google Scholar] [CrossRef]
- Perdew, J.P.; Burke, K.; Ernzerhof, M. Generalized Gradient Approximation Made Simple. Phys. Rev. Lett. 1996, 77, 3865. [Google Scholar] [CrossRef]
- Zhang, Y.J.; Tang, H.M.; Gao, S.P. Density Functional Theory Study of ZnIn2S4 and CdIn2S4 Polymorphs Using Full-Potential Linearized Augmented Plane Wave Method and Modified Becke–Johnson Potential. Phys. Status Solidi 2020, 257, 1900485. [Google Scholar] [CrossRef]
- Bibi, M.; Ullah, R.; Sadiq, M.; Sadiq, S.; Khan, I.; Saeed, K.; Zia, M.A.; Iqbal, Z.; Ullah, I.; Iqbal, Z.; et al. Catalytic hydrogenation of carbon dioxide over magnetic nanoparticles: Modification in fixed-bed reactor. Catalysts 2021, 11, 592. [Google Scholar] [CrossRef]















| Compound | Present | Literature |
|---|---|---|
| ZnFe2O4 | ||
| a (Å) | 8.438 | * 8.441 [30,31] |
| E0 (eV) | −2.17 × 105 | |
| V (Å)3 | 599.07 | |
| B0 (Gpa) | 148.167 | |
| ZnMnFe2O4 | ||
| a (Å) | 8.4410 | * 8.368 [32] |
| E0 (eV) | −2.35 × 105 | |
| V (Å)3 | 601.425 | |
| B0 (Gpa) | 174.039 | |
| MnFe2O4 | ||
| a (Å) | 8.4472 | * 8.4512 [33] |
| E0 (eV) | −2.52 × 105 | |
| V (Å)3 | 602.751 | * 603.608 [33] |
| B0 (Gpa) | 216.738 | ** 146 [34] |
| Entry | Reaction Conditions | Substrate/ Reaction | Product | * C | ** S | Ref. |
|---|---|---|---|---|---|---|
| 1 | MnFe2O4 (1 g), acetonitrile, H2O2 (10 mmole), temp (80 °C), time (10 h) | BzOH/ Oxidation | BzH | 70 | 100 | [41] |
| 2 | MnFe2O4 (0.015 g), acetonitrile (20 mL) HMF (1 mmole), TBHB (9 mmole), stirring (1000 rpm), temp (100 °C), time (5 h) | 5-hydroxy methylfurfural/oxidation | 2,5-furandicarboxylic acid(FDCA) | 68 | 85 | [42] |
| 3 | MnFe2O4 (10 mmole), TBHP 70%, solvent, DMSO, temp (90 °C), time (5 h) | Benzylic alcohol/oxidation | benzophenone | 90 | 100 | [43] |
| 4 | MnFe2O4 (1 g), H2O2 (10 mole), acetonitrile (10 mL), temp (80 °C), time (10 h) | benzyl alcohol/oxidation | benzaldehyde | 80 | 89.47 | [44] |
| 5 | MnFe2O4 (3 g/L), potassium peroxydisulfate (5 mg/L), time (6 h), room temperature pH (3–3.5) | Phenol/ oxidation | Organic carbon and H2O | 100 | 95 | [45] |
| 6 | ZnFe2O4 (1 g), absolute ethanol (200 mL), temp (355–380 °C), time (4 h) | 1-butene/oxidation | 1,3-butadiene | 75 | 94 | [46] |
| 7 | ZnFe2O4, temp (450 °C), Time (6 h), pH (6–10), air (oxygen source) | n-butane/oxidation | 1,3-butadiene | 45 | 80.2 | [47] |
| 8 | MnZnFe2O4 (30 mg, 0.13 mmole), temp (80 °C), t-BuOOH (5.0 mmol) | 1-phenylethanol/ Oxidation | Acetophenone | 80 | 99 | [20] |
| 9 | i. MnFe2O4 ii. ZnFe2O4 iii. ZnMnFe2O4 Reaction conditions: catalysts, 2 g/chamber; Vapor pressure of reactant, 80 Torr; Temperature, 140 °C; Flow, 40 mL/min; Data collection; after 30 min. | Octanol/ Oxidation | Octanal | i. 74 ii. 59 iii. 91 | i. 100 ii. 100 iii. 100 | Recent work |
Disclaimer/Publisher’s Note: The statements, opinions and data contained in all publications are solely those of the individual author(s) and contributor(s) and not of MDPI and/or the editor(s). MDPI and/or the editor(s) disclaim responsibility for any injury to people or property resulting from any ideas, methods, instructions or products referred to in the content. |
© 2023 by the authors. Licensee MDPI, Basel, Switzerland. This article is an open access article distributed under the terms and conditions of the Creative Commons Attribution (CC BY) license (https://creativecommons.org/licenses/by/4.0/).
Share and Cite
Bibi, M.; Sadiq, M.; Rizk, M.A.; Alsaiari, R.A.; Iqbal, Z.; Ali, Z. Tuning the Magnetic and Catalytic Properties of Manganese Ferrite through Zn2+ Doping: Gas Phase Oxidation of Octanol. Catalysts 2023, 13, 1473. https://doi.org/10.3390/catal13121473
Bibi M, Sadiq M, Rizk MA, Alsaiari RA, Iqbal Z, Ali Z. Tuning the Magnetic and Catalytic Properties of Manganese Ferrite through Zn2+ Doping: Gas Phase Oxidation of Octanol. Catalysts. 2023; 13(12):1473. https://doi.org/10.3390/catal13121473
Chicago/Turabian StyleBibi, Mehnaz, Muhammad Sadiq, Moustafa A. Rizk, Raiedhah A. Alsaiari, Zaffar Iqbal, and Zahid Ali. 2023. "Tuning the Magnetic and Catalytic Properties of Manganese Ferrite through Zn2+ Doping: Gas Phase Oxidation of Octanol" Catalysts 13, no. 12: 1473. https://doi.org/10.3390/catal13121473
APA StyleBibi, M., Sadiq, M., Rizk, M. A., Alsaiari, R. A., Iqbal, Z., & Ali, Z. (2023). Tuning the Magnetic and Catalytic Properties of Manganese Ferrite through Zn2+ Doping: Gas Phase Oxidation of Octanol. Catalysts, 13(12), 1473. https://doi.org/10.3390/catal13121473

