Can Machine Learning Predict the Reaction Paths in Catalytic CO2 Reduction on Small Cu/Ni Clusters?
Abstract
:1. Introduction
2. Aim and Scope
3. Methodology
3.1. Models of the Nanoclusters
3.2. Electrocatalytic Process Simulation
3.3. Machine Learning
4. Energy Predictions from Machine Learning
4.1. Training Model
4.2. Descriptors
- The chemical composition of the cluster is represented by the Ni:Cu ratio, which is equivalent to the number of Ni (or Cu) atoms in the cluster. We used the number of Ni atoms in further work.
- The distribution of metal atoms in the cluster can be represented either by a vector between the geometric center of the cluster and its center of mass or the number of Ni–Ni, Cu–Cu, and Cu–Ni bonds in the cluster.
- The shortest paths, which is another way to describe the degree of dispersion of metal atoms in clusters. This refers to the number of atoms forming a directly connected chain, such as the path passing through the chain leading through each of its atoms exactly once.For the purposes of this project, 4 components were investigated:
- (a)
- The shortest path on outer Ni atoms, not including the central atom.
- (b)
- Th shortest path on outer Cu atoms, not including the central atom.
- (c)
- The shortest path along all Ni atoms, including the central atom if it is Ni, and its inclusion leads to a shorter path length.
- (d)
- The shortest path along all Cu atoms, including the central atom if it is Cu, and its inclusion leads to a shorter path length.
These descriptors, however, exhibit a high correlation with each other, and training the model using all of them would not lead to any improvement in accuracy. Therefore, for further investigations, we decided to select the descriptor that was the most correlated with all the values we wanted to predict: the shortest path on outer Cu atoms. - The composition of the coordination sphere—the atom(s) of the cluster to which the intermediate is bound, consisting of several components: 0%Ni, 8%Ni, 16%Ni, 25%Ni, 33%Ni, 41%Ni, 50%Ni. Each of the described parameters takes the value , where . For example, the value k for parameter 41%Ni means that in a given cluster, it is possible to distinguish k atoms of the metal, in which nickel atoms fill 41% of the first coordination sphere (5 atoms).
4.3. The Relevance of the Descriptors
- In order to not take into account the effect of the different atomic composition of the cluster itself, a conversion of energy values was performed according to the following formula [22]:where:
- , , is the energy of clusters of corresponding atomic compositions expressed in eV.
- n is the number of copper atoms in the system.
The resulting parameter is called mixing energy and is denoted in the dataset as mix_energy. - The energy of the hydrogen molecule was determined under the same conditions under which the energy of all clusters was determined (Section 3.2). Then, half of this value was subtracted from the systems that contained a hydrogen atom in their composition. The energy thus determined is named in the dataset as energy_wth_h2 and in the rest of the paper is abbreviated as wth or energy_wth. Note that it does not matter whether the energy_norm or energy_wth is used in Equation (2), as mathematically, they lead to the same result.
4.4. Training and Test Sets
5. Results and Discussion
5.1. Direct Value Prediction
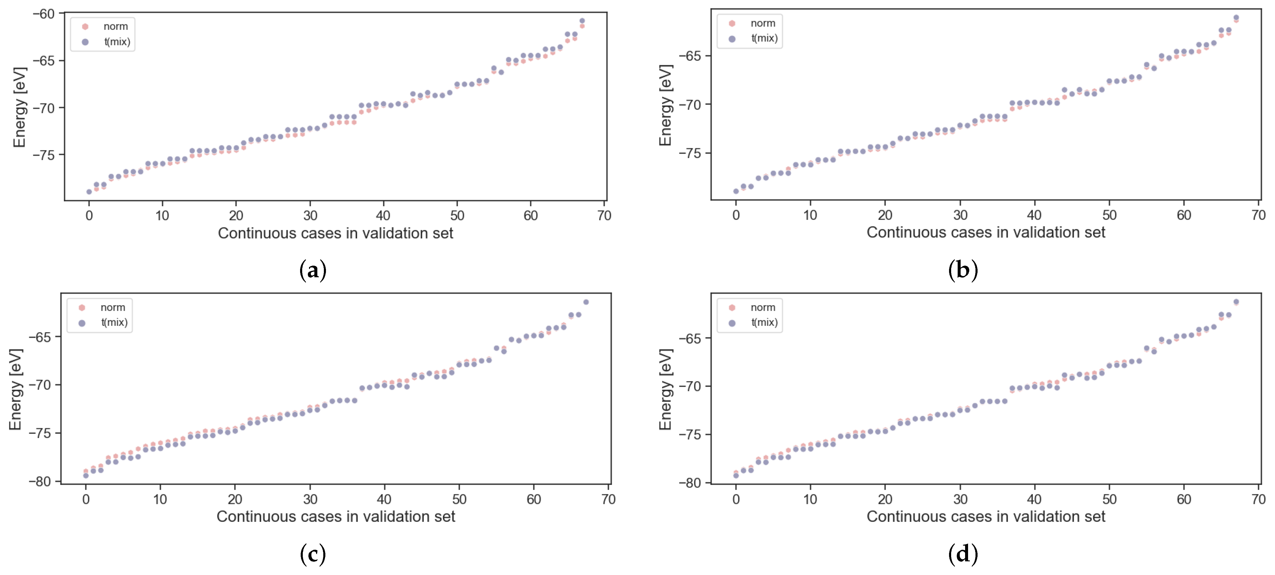
5.2. Conversion from Mixing Energy to Potential Energy
5.3. Importance of the Descriptors
5.4. Predicted Paths of Electrocatalytic CO2 Reduction
6. Conclusions
Supplementary Materials
Author Contributions
Funding
Data Availability Statement
Acknowledgments
Conflicts of Interest
References
- Kabir, M.; Habiba, U.E.; Khan, W.; Shah, A.; Rahim, S.; los Rios-Escalante, P.R.D.; Farooqi, Z.U.R.; Ali, L.; Shafiq, M. Climate change due to increasing concentration of carbon dioxide and its impacts on environment in 21st century; a mini review. J. King Saud Univ. Sci. 2023, 35, 102693. [Google Scholar] [CrossRef]
- NOAA’s Global Monitoring Lab. Climate Change: Atmospheric Carbon Dioxide. 2022. Available online: https://www.climate.gov/news-features/understanding-climate/climate-change-atmospheric-carbon-dioxide (accessed on 25 November 2023).
- The Intergovernmental Panel on Climate Change. Global Warming of 1.5 °C. 2022. Available online: https://www.ipcc.ch/site/assets/uploads/sites/2/2022/06/SR15_Chapter_1_HR.pdf (accessed on 25 November 2023).
- Glavič, P.; Pintarič, Z.N.; Levičnik, H.; Dragojlović, V.; Bogataj, M. Transitioning towards Net-Zero Emissions in Chemical and Process Industries: A Holistic Perspective. Processes 2023, 11, 2647. [Google Scholar] [CrossRef]
- Ruscic, B.; Pinzon, R.E.; Morton, M.L.; von Laszevski, G.; Bittner, S.J.; Nijsure, S.G.; Amin, K.A.; Minkoff, M.; Wagner, A.F. Introduction to Active Thermochemical Tables: Several “Key” Enthalpies of Formation Revisited. J. Phys. Chem. A 2004, 108, 9979–9997. [Google Scholar] [CrossRef]
- Zhang, X.; Guo, S.X.; Gandionco, K.A.; Bond, A.M.; Zhang, J. Electrocatalytic carbon dioxide reduction: From fundamental principles to catalyst design. Mater. Today Adv. 2020, 7, 100074. [Google Scholar] [CrossRef]
- Peterson, A.A.; Abild-Pedersen, F.; Studt, F.; Rossmeisl, J.; Nørskov, J.K. How copper catalyzes the electroreduction of carbon dioxide into hydrocarbon fuels. Energy Environ. Sci. 2010, 3, 1311. [Google Scholar] [CrossRef]
- Hori, Y.; Wakebe, H.; Tsukamoto, T.; Koga, O. Electrocatalytic process of CO selectivity in electrochemical reduction of CO2 at metal electrodes in aqueous media. Electrochim. Acta 1994, 39, 1833–1839. [Google Scholar] [CrossRef]
- DeWulf, D.W.; Jin, T.; Bard, A.J. Electrochemical and Surface Studies of Carbon Dioxide Reduction to Methane and Ethylene at Copper Electrodes in Aqueous Solutions. J. Electrochem. Soc. 1989, 136, 1686–1691. [Google Scholar] [CrossRef]
- Roberts, F.S.; Kuhl, K.P.; Nilsson, A. High Selectivity for Ethylene from Carbon Dioxide Reduction over Copper Nanocube Electrocatalysts. Angew. Chem. Int. Ed. 2015, 54, 5179–5182. [Google Scholar] [CrossRef] [PubMed]
- Hori, Y.; Kikuchi, K.; Murata, A.; Suzuki, S. Production of Methane and Ethylene in Electrochemical Reduction of Carbon Dioxide at Copper Electrode in Aqueous Hydrogencarbonate Solution. Chem. Lett. 1986, 15, 897–898. [Google Scholar] [CrossRef]
- Kim, J.; Summers, D.; Frese, K. Reduction of CO2 and CO to methane on Cu foil electrodes. J. Electroanal. Chem. Interfacial Electrochem. 1988, 245, 223–244. [Google Scholar] [CrossRef]
- Serafini, M.; Mariani, F.; Fasolini, A.; Scavetta, E.; Basile, F.; Tonelli, D. Nanostructured Copper-Based Electrodes Electrochemically Synthesized on a Carbonaceous Gas Diffusion Membrane with Catalytic Activity for the Electroreduction of CO2. ACS Appl. Mater. Interfaces 2021, 13, 57451–57461. [Google Scholar] [CrossRef]
- Dongare, S.; Singh, N.; Bhunia, H. Electrocatalytic reduction of CO2 to useful chemicals on copper nanoparticles. Appl. Surf. Sci. 2021, 537, 148020. [Google Scholar] [CrossRef]
- Petranovskii, V.; Gurin, V.; Machorro, R. Spectroscopic observation and ab initio simulation of copper clusters in zeolites. Catal. Today 2005, 107–108, 892–900. [Google Scholar] [CrossRef]
- Piotrowski, M.J.; Piquini, P.; Odashima, M.M.; Silva, J.L.F.D. Transition-metal 13-atom clusters assessed with solid and surface-biased functionals. J. Chem. Phys. 2011, 134, 134105. [Google Scholar] [CrossRef]
- Xiao-Dong, P.; Zhi-Gang, G.; Gong-Ping, L. Energy and structure of copper clusters (n = 70–150) studied by the Monte Carlo computer simulation. Chin. Phys. B 2008, 17, 3329–3335. [Google Scholar] [CrossRef]
- Vilar-Vidal, N.; Rivas, J.; López-Quintela, M.A. Size Dependent Catalytic Activity of Reusable Subnanometer Copper(0) Clusters. ACS Catal. 2012, 2, 1693–1697. [Google Scholar] [CrossRef]
- Grigoryan, V.G.; Alamanova, D.; Springborg, M. Structure and energetics of CuNclusterswith(2 ≤ n ≤ 150): An embedded-atom-method study. Phys. Rev. B 2006, 73. [Google Scholar] [CrossRef]
- Böyükata, M.; Belchior, J.C. Structural and energetic analysis of copper clusters: MD study of Cu n (n = 2–45). J. Braz. Chem. Soc. 2008, 19, 884–893. [Google Scholar] [CrossRef]
- Alamanova, D.; Grigoryan, V.G.; Springborg, M. Formation of stable products from cluster–cluster collisions. J. Phys. Condens. Matter 2007, 19, 346204. [Google Scholar] [CrossRef]
- Sahoo, S.; Rollmann, G.; Entel, P. Segregation and ordering in binary transition metal clusters. Phase Transitions 2006, 79, 693–700. [Google Scholar] [CrossRef]
- Kyriakou, G.; Boucher, M.B.; Jewell, A.D.; Lewis, E.A.; Lawton, T.J.; Baber, A.E.; Tierney, H.L.; Flytzani-Stephanopoulos, M.; Sykes, E.C.H. Isolated Metal Atom Geometries as a Strategy for Selective Heterogeneous Hydrogenations. Science 2012, 335, 1209–1212. [Google Scholar] [CrossRef]
- Logsdail, A.; Paz-Borbón, L.O.; Johnston, R.L. Structures and Stabilities of Platinum–Gold Nanoclusters. J. Comput. Theor. Nanosci. 2009, 6, 857–866. [Google Scholar] [CrossRef]
- Shin, D.Y.; Won, J.S.; Kwon, J.A.; Kim, M.S.; Lim, D.H. First-principles study of copper nanoclusters for enhanced electrochemical CO2 reduction to CH4. Comput. Theor. Chem. 2017, 1120, 84–90. [Google Scholar] [CrossRef]
- Janet, J.P.; Kulik, H.J. Resolving Transition Metal Chemical Space: Feature Selection for Machine Learning and Structure–Property Relationships. J. Phys. Chem. A 2017, 121, 8939–8954. [Google Scholar] [CrossRef]
- Janet, J.P.; Kulik, H.J. Predicting electronic structure properties of transition metal complexes with neural networks. Chem. Sci. 2017, 8, 5137–5152. [Google Scholar] [CrossRef]
- Modee, R.; Agarwal, S.; Verma, A.; Joshi, K.; Priyakumar, U.D. DART: Deep learning enabled topological interaction model for energy prediction of metal clusters and its application in identifying unique low energy isomers. Phys. Chem. Chem. Phys. 2021, 23, 21995–22003. [Google Scholar] [CrossRef]
- Zeng, Y.; Li, Q.; Bai, K. Prediction of interstitial diffusion activation energies of nitrogen, oxygen, boron and carbon in bcc, fcc, and hcp metals using machine learning. Comput. Mater. Sci. 2018, 144, 232–247. [Google Scholar] [CrossRef]
- Toyao, T.; Suzuki, K.; Kikuchi, S.; Takakusagi, S.; ichi Shimizu, K.; Takigawa, I. Toward Effective Utilization of Methane: Machine Learning Prediction of Adsorption Energies on Metal Alloys. J. Phys. Chem. C 2018, 122, 8315–8326. [Google Scholar] [CrossRef]
- Omata, K. Screening of New Additives of Active-Carbon-Supported Heteropoly Acid Catalyst for Friedel–Crafts Reaction by Gaussian Process Regression. Ind. Eng. Chem. Res. 2011, 50, 10948–10954. [Google Scholar] [CrossRef]
- Seko, A.; Maekawa, T.; Tsuda, K.; Tanaka, I. Machine learning with systematic density-functional theory calculations: Application to melting temperatures of single- and binary-component solids. Phys. Rev. B 2014, 89. [Google Scholar] [CrossRef]
- Saad, Y.; Gao, D.; Ngo, T.; Bobbitt, S.; Chelikowsky, J.R.; Andreoni, W. Data mining for materials: Computational experiments with AB compounds. Phys. Rev. B 2012, 85. [Google Scholar] [CrossRef]
- Fletcher, T.L.; Davie, S.J.; Popelier, P.L.A. Prediction of Intramolecular Polarization of Aromatic Amino Acids Using Kriging Machine Learning. J. Chem. Theory Comput. 2014, 10, 3708–3719. [Google Scholar] [CrossRef] [PubMed]
- Snyder, J.C.; Rupp, M.; Hansen, K.; Müller, K.R.; Burke, K. Finding Density Functionals with Machine Learning. Phys. Rev. Lett. 2012, 108, 253002. [Google Scholar] [CrossRef] [PubMed]
- Balabin, R.M.; Lomakina, E.I. Support vector machine regression (LS-SVM)—an alternative to artificial neural networks (ANNs) for the analysis of quantum chemistry data? Phys. Chem. Chem. Phys. 2011, 13, 11710. [Google Scholar] [CrossRef] [PubMed]
- Faber, F.A.; Hutchison, L.; Huang, B.; Gilmer, J.; Schoenholz, S.S.; Dahl, G.E.; Vinyals, O.; Kearnes, S.; Riley, P.F.; von Lilienfeld, O.A. Prediction Errors of Molecular Machine Learning Models Lower than Hybrid DFT Error. J. Chem. Theory Comput. 2017, 13, 5255–5264. [Google Scholar] [CrossRef] [PubMed]
- Kranz, J.J.; Kubillus, M.; Ramakrishnan, R.; von Lilienfeld, O.A.; Elstner, M. Generalized Density-Functional Tight-Binding Repulsive Potentials from Unsupervised Machine Learning. J. Chem. Theory Comput. 2018, 14, 2341–2352. [Google Scholar] [CrossRef] [PubMed]
- Smith, J.S.; Isayev, O.; Roitberg, A.E. ANI-1: An extensible neural network potential with DFT accuracy at force field computational cost. Chem. Sci. 2017, 8, 3192–3203. [Google Scholar] [CrossRef]
- Hansen, K.; Montavon, G.; Biegler, F.; Fazli, S.; Rupp, M.; Scheffler, M.; von Lilienfeld, O.A.; Tkatchenko, A.; Müller, K.R. Assessment and Validation of Machine Learning Methods for Predicting Molecular Atomization Energies. J. Chem. Theory Comput. 2013, 9, 3404–3419. [Google Scholar] [CrossRef]
- Rupp, M.; Tkatchenko, A.; Müller, K.R.; von Lilienfeld, O.A. Fast and Accurate Modeling of Molecular Atomization Energies with Machine Learning. Phys. Rev. Lett. 2012, 108. [Google Scholar] [CrossRef]
- Ma, X.; Li, Z.; Achenie, L.E.K.; Xin, H. Machine-Learning-Augmented Chemisorption Model for CO2 Electroreduction Catalyst Screening. J. Phys. Chem. Lett. 2015, 6, 3528–3533. [Google Scholar] [CrossRef]
- Kresse, G.; Furthmüller, J. Efficient iterative schemes for ab initio total-energy calculations using a plane-wave basis set. Phys. Rev. B Condens. Matter Mater. Phys. 1996, 54, 11169–11186. [Google Scholar] [CrossRef]
- Kresse, G.; Joubert, D. From ultrasoft pseudopotentials to the projector augmented-wave method. Phys. Rev. B Condens. Matter Mater. Phys. 1999, 59, 1758–1775. [Google Scholar] [CrossRef]
- Perdew, J.P.; Burke, K.; Ernzerhof, M. Generalized gradient approximation made simple. Phys. Rev. Lett. 1996, 77, 3865–3868. [Google Scholar] [CrossRef]
- Perdew, J.P.; Burke, K.; Ernzerhof, M. Erratum: Generalized gradient approximation made simple (Physical Review Letters (1996) 77 (3865)). Phys. Rev. Lett. 1997, 78, 1396. [Google Scholar] [CrossRef]
- Blöchl, P.E. Projector augmented-wave method. Phys. Rev. B 1994, 50, 17953–17979. [Google Scholar] [CrossRef]
- Pedregosa, F.; Varoquaux, G.; Gramfort, A.; Michel, V.; Thirion, B.; Grisel, O.; Blondel, M.; Prettenhofer, P.; Weiss, R.; Dubourg, V.; et al. Scikit-learn: Machine Learning in Python. J. Mach. Learn. Res. 2011, 12, 2825–2830. [Google Scholar]
- Drucker, H.; Burges, C.J.C.; Kaufman, L.; Smola, A.; Vapnik, V. Support Vector Regression Machines. In Advances In Neural Information Processing Systems; MIT Press: Cambridge, MA, USA, 1996; Volume 9, pp. 155–161. [Google Scholar]
- Hoerl, A.E.; Kennard, R.W. Ridge Regression: Applications to Nonorthogonal Problems. Technometrics 1970, 12, 69–82. [Google Scholar] [CrossRef]
- Breiman, L. Random forests. Mach. Learn. 2001, 45, 5–32. [Google Scholar] [CrossRef]
- Ho, T.K. Random Decision Forests. In Proceedings of the Third International Conference on Document Analysis and Recognition (Volume 1)—Volume 1, Washington, DC, USA, 14–15 August 1995; ICDAR ’95. pp. 278–282. [Google Scholar]
- Freund, Y.; Schapire, R.E. A Decision-Theoretic Generalization of On-Line Learning and an Application to Boosting. J. Comput. Syst. Sci. 1997, 55, 119–139. [Google Scholar] [CrossRef]
- Geurts, P.; Ernst, D.; Wehenkel, L. Extremely randomized trees. Mach. Learn. 2006, 63, 3–42. [Google Scholar] [CrossRef]
- Allen, R.E.; Lidström, S. Life, the universe, and everything—42 fundamental questions. arXiv 2018, arXiv:1804.08730. [Google Scholar] [CrossRef]
- Bogojeski, M.; Vogt-Maranto, L.; Tuckerman, M.E.; Müller, K.R.; Burke, K. Quantum chemical accuracy from density functional approximations via machine learning. Nat. Commun. 2020, 11, 5223. [Google Scholar] [CrossRef] [PubMed]
- Kortlever, R.; Shen, J.; Schouten, K.J.P.; Calle-Vallejo, F.; Koper, M.T.M. Catalysts and Reaction Pathways for the Electrochemical Reduction of Carbon Dioxide. J. Phys. Chem. Lett. 2015, 6, 4073–4082. [Google Scholar] [CrossRef]
- Zhao, Z.; Chen, Z.; Lu, G. Computational Discovery of Nickel-Based Catalysts for CO2 Reduction to Formic Acid. J. Phys. Chem. C 2017, 121, 20865–20870. [Google Scholar] [CrossRef]
- Liu, C.; Cundari, T.R.; Wilson, A.K. CO2 Reduction on Transition Metal (Fe, Co, Ni, and Cu) Surfaces: In Comparison with Homogeneous Catalysis. J. Phys. Chem. C 2012, 116, 5681–5688. [Google Scholar] [CrossRef]







| ML Method | Hyperparameters | Search Ranges |
|---|---|---|
| Support Vector Regressor (svr) | kernel type | linear, polynomial, sigmoidal, rbf |
| regularization parameter C | 0.2, 0.4, 0.6, 0.8, 1, 1.5, 2, 3, 4, 5, 8, 12, 15, 20 | |
| Kernel Ridge Regression (krr) | kernel type | linear, polynomial, sigmoidal, rbf |
| alpha value C | 0.2, 0.4, 0.6, 0.8, 1,1. 5, 2, 3, 4, 5, 8, 12, 15, 20 | |
| width of no penalty tube (epsilon) | from 0.1 to 1.2 in 0.1 increments | |
| Random Forest (rf) | max. N of estimators | from 25 to 500 in 25 increments |
| min. N of samples to split a node | 2, 3, 4, 5, 6 | |
| max. depth of the tree | none, 2, 3, 4, 5, 6, 7, 8 | |
| Extra Trees Regressor (etr) | max. N of estimators | as in Random Forest |
| min. N of samples to split a node | as in Random Forest | |
| max. depth of the tree | as in Random Forest | |
| AdaBoost (ada) | max. N of estimators | as in Random Forest |
| learning rate | 0.2, 0.4, 0.6, 0.8, 1, 1.5, 2, 3, 4, 5, 8 | |
| loss function | linear, square, exponential |
| Model | Predicted Value | Conditions | Outliers | EI (Max. EI) Test Set | EI (Max. EI) Validation Set | MAE Test Set | MAE Validation Set |
|---|---|---|---|---|---|---|---|
| allni_0z_mix | mix_energy | Ni = all | no | 0.089 (0.482) | 0.188 (0.588) | 0.015 | 0.024 |
| allni_2z_mix | mix_energy | Ni = all | Z–score > 2 | 0.081 (0.390) | 0.202 (0.632) | 0.023 | 0.017 |
| ni7_0z_mix | mix_energy | Ni < 7 | no | 0.094 (0.376) | 0.170 (0.609) | 0.012 | 0.021 |
| ni7_2z_mix | mix_energy | Ni < 7 | Z–score > 2 | 0.106 (0.483) | 0.152 (0.551) | 0.016 | 0.015 |
| allni_0z_wth | energy_wth_h2 | Ni = all | no | 0.079 (0.246) | 0.025 (0.074) | 0.593 | 0.933 |
| allni_2z_wth | energy_wth_h2 | Ni = all | Z–score > 2 | 0.128 (0.435) | 0.157 (0.441) | 0.681 | 3.788 |
| ni7_0z_wth | energy_wth_h2 | Ni < 7 | no | 0.104 (0.398) | 0.152 (0.609) | 0.797 | 2.969 |
| ni7_2z_wth | energy_wth_h2 | Ni < 7 | Z–score > 2 | 0.106 (0.333) | 0.113 (0.412) | 0.924 | 3.942 |
| allni_0z_norm | energy | Ni = all | no | 0.086 (0.431) | 0.108 (0.348) | 0.774 | 0.990 |
| allni_2z_norm | energy | Ni = all | Z–score > 2 | 0.102 (0.435) | 0.179 (0.536) | 0.403 | 2.264 |
| ni7_0z_norm | energy | Ni < 7 | no | 0.086 (0.459) | 0.088 (0.217) | 0.523 | 8.926 |
| ni7_2z_norm | energy | Ni < 7 | Z–score > 2 | 0.106 (0.529) | 0.136 (0.406) | 1.464 | 3.864 |
| Model ID | Number of Unique Values | Method | Parameters of Models |
|---|---|---|---|
| allni_0z_norm | 55 | krr | : 0.2, kernel: linear |
| allni_2z_mix | 55 | krr | : 3.0, kernel: linear |
| allni_2z_norm | 55 | svr | C: 0.2, eps: 0.1, kernel: linear |
| ni7_0z_mix | 55 | svr | C: 0.2, eps: 0.1, kernel: linear |
| ni7_0z_norm | 55 | krr | : 1.0, degree: 2, eps: 0.5, kernel: poly |
| ni7_2z_wth | 55 | krr | : 4.0, kernel: sigmoid |
| ni7_2z_mix | 55 | krr | : 3.0, degree: 1, kernel: rbf |
| ni7_2z_norm | 55 | krr | : 1.5, kernel: sigmoid |
| ni7_0z_wth | 55 | krr | : 2.0, kernel: sigmoid |
| allni_0z_wth | 16 | ada | est: 25, learning rate: 0.2 loss: linear |
| allni_0z_mix | 13 | etr | est: 25, min_sample_split: 2, max_depth: 2 |
| allni_2z_wth | 8 | rf | est: 25, minimum_sample_split: 2, max_depth: 2 |
| Model ID | Mix-Mix | Norm-Norm | Norm-t(mix) | Avg Error (eV) |
|---|---|---|---|---|
| allni_0z | 0.188 | 0.108 | 0.011 | 0.44 |
| allni_2z | 0.202 | 0.179 | 0.016 | 0.45 |
| ni7_0z | 0.203 | 0.088 | 0.010 | 0.28 |
| ni7_2z | 0.179 | 0.136 | 0.007 | 0.20 |
Disclaimer/Publisher’s Note: The statements, opinions and data contained in all publications are solely those of the individual author(s) and contributor(s) and not of MDPI and/or the editor(s). MDPI and/or the editor(s) disclaim responsibility for any injury to people or property resulting from any ideas, methods, instructions or products referred to in the content. |
© 2023 by the authors. Licensee MDPI, Basel, Switzerland. This article is an open access article distributed under the terms and conditions of the Creative Commons Attribution (CC BY) license (https://creativecommons.org/licenses/by/4.0/).
Share and Cite
Stottko, R.; Dziadyk-Stopyra, E.; Szyja, B.M. Can Machine Learning Predict the Reaction Paths in Catalytic CO2 Reduction on Small Cu/Ni Clusters? Catalysts 2023, 13, 1470. https://doi.org/10.3390/catal13121470
Stottko R, Dziadyk-Stopyra E, Szyja BM. Can Machine Learning Predict the Reaction Paths in Catalytic CO2 Reduction on Small Cu/Ni Clusters? Catalysts. 2023; 13(12):1470. https://doi.org/10.3390/catal13121470
Chicago/Turabian StyleStottko, Rafał, Elżbieta Dziadyk-Stopyra, and Bartłomiej M. Szyja. 2023. "Can Machine Learning Predict the Reaction Paths in Catalytic CO2 Reduction on Small Cu/Ni Clusters?" Catalysts 13, no. 12: 1470. https://doi.org/10.3390/catal13121470
APA StyleStottko, R., Dziadyk-Stopyra, E., & Szyja, B. M. (2023). Can Machine Learning Predict the Reaction Paths in Catalytic CO2 Reduction on Small Cu/Ni Clusters? Catalysts, 13(12), 1470. https://doi.org/10.3390/catal13121470

