Sustainably Sourced Mesoporous Carbon Molecular Sieves as Immobilization Matrices for Enzymatic Biofuel Cell Applications
Abstract
:1. Introduction
2. Results and Discussion
2.1. Material Characterization
2.1.1. Elemental Analysis
2.1.2. Scanning Electron Microscopy (SEM)
2.1.3. Nitrogen Sorption
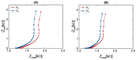
2.2. Material Capacitance
2.3. Enzyme Immobilization
2.4. Anodic Reaction
2.5. Cathodic Reaction
2.6. Biofuel Cell Performance
3. Materials and Methods
3.1. Chemicals
3.2. Preparation of the Electrodes
3.2.1. CMK-3 Synthesis
3.2.2. Immobilization Slurry
3.2.3. Modification of the Electrodes
3.3. Measurements and Instrumentation
3.3.1. Material Characterization
3.3.2. Electrochemical Characterization
4. Conclusions
Author Contributions
Funding
Data Availability Statement
Acknowledgments
Conflicts of Interest
References
- Rosli, R.E.; Sulong, A.B.; Daud, W.R.W.; Zulkifley, M.A.; Husaini, T.; Rosli, M.I.; Majlan, E.H.; Haque, M.A. A review of high-temperature proton exchange membrane fuel cell (HT-PEMFC) system. Int. J. Hydrogen Energy 2017, 42, 9293–9314. [Google Scholar] [CrossRef]
- Karim, N.A.; Yang, H. Mini-Review: Recent Technologies of Electrode and System in the Enzymatic Biofuel Cell (EBFC). Appl. Sci. 2021, 11, 5197. [Google Scholar] [CrossRef]
- Katz, E.; Bollella, P. Fuel Cells and Biofuel Cells: From Past to Perspectives. Isr. J. Chem. 2021, 61, 68–84. [Google Scholar] [CrossRef]
- Yan, Y.M.; Yehezkeli, O.; Itamar Willner. Integrated, Electrically Contacted NAD(P)+-Dependent Enzyme–Carbon Nanotube Electrodes for Biosensors and Biofuel Cell Applications. Chem. A Eur. J. 2007, 13, 10168–10175. [Google Scholar] [CrossRef] [PubMed]
- Willner, I.; Yan, Y.-M.; Willner, B.; Tel-Vered, R. Integrated Enzyme-Based Biofuel Cells–A Review. Fuel Cells 2009, 9, 7–24. [Google Scholar] [CrossRef]
- Rasmussen, M.; Abdellaoui, S.; Minteer, S.D. Enzymatic biofuel cells: 30 years of critical advancements. Biosens. Bioelectron. 2016, 76, 91–102. [Google Scholar] [CrossRef]
- Xiao, X.; Xia, H.-Q.; Wu, R.; Bai, L.; Yan, L.; Magner, E.; Cosnier, S.; Lojou, E.; Zhu, Z.; Liu, A. Tackling the Challenges of Enzymatic (Bio)Fuel Cells. Chem. Rev. 2019, 119, 9509–9558. [Google Scholar] [CrossRef]
- Jeyaraman, S.N.; Slaughter, G. Membranes, immobilization, and protective strategies for enzyme fuel cell stability. Curr. Opin. Electrochem. 2021, 29, 100753. [Google Scholar] [CrossRef]
- Herkendell, K. Status Update on Bioelectrochemical Systems: Prospects for Carbon Electrode Design and Scale-Up. Catalysts 2021, 11, 278. [Google Scholar] [CrossRef]
- Herkendell, K.; Stemmer, A.; Tel-Vered, R. Extending the operational lifetimes of all-direct electron transfer enzymatic biofuel cells by magnetically assembling and exchanging the active biocatalyst layers on stationary electrodes. Nano Res. 2019, 12, 767–775. [Google Scholar] [CrossRef]
- Zhou, Z.; Hartmann, M. Progress in enzyme immobilization in ordered mesoporous materials and related applications. Chem. Soc. Rev. 2013, 42, 3894–3912. [Google Scholar] [CrossRef] [PubMed]
- Bollella, P.; Boeva, Z.; Latonen, R.-M.; Kano, K.; Gorton, L.; Bobacka, J. Highly sensitive and stable fructose self-powered biosensor based on a self-charging biosupercapacitor. Biosens. Bioelectron. 2021, 176, 112909. [Google Scholar] [CrossRef] [PubMed]
- Bonfin, C.S.; Franco, J.H.; de Andrade, A.R. Ethanol bioelectrooxidation in a robust poly (methylene green-pyrrole)- mediated enzymatic biofuel cell. J. Electroanal. Chem. 2019, 844, 43–48. [Google Scholar] [CrossRef]
- De Dios Galindo de la Rosa, J.; Álvarez, A.; Gurrola, M.P.; Rodríguez-Morales, J.A.; Oza, G.; Arriaga, L.G.; Ledesma-García, J. Alcohol Dehydrogenase Immobilized on TiO2Nanotubes for Ethanol Microfluidic Fuel Cells. ACS Sustain. Chem. Eng. 2020, 193, 265. [Google Scholar] [CrossRef]
- Cohen, R.; Herzallh, N.; Meirovich, M.; Bachar, O.; Frech, L.; Cohen, Y.; Yehezkeli, O. An Oxygen-Insensitive Biosensor and a Biofuel Cell Device based on FMN L-lactate Dehydrogenase. Bioelectrochemistry 2023, 149, 108316. [Google Scholar] [CrossRef]
- Cai, Y.; Wang, M.; Liang, B.; Xiao, X.; Zheng, Z.; Cosnier, S.; Liu, A. A Membraneless Starch/O2 Biofuel Cell Based on Bacterial Surface Regulable Displayed Sequential Enzymes of Glucoamylase and Glucose Dehydrogenase. Biosens. Bioelectron. 2022, 207, 114197. [Google Scholar] [CrossRef]
- Franco, J.H.; Grattieri, M.; de Andrade, A.R.; Minteer, S.D. Unveiling complete lactate oxidation through a hybrid catalytic cascade. Electrochim. Acta 2021, 376, 138044. [Google Scholar] [CrossRef]
- Mahidhara, G.; Burrow, H.; Sasikala, C.; Ramana, C.V. Biological hydrogen production: Molecular and electrolytic perspectives. World J. Microbiol. Biotechnol. 2019, 35, 116. [Google Scholar] [CrossRef]
- Shi, P.; Wu, R.; Wang, J.; Ma, C.; Li, Z.; Zhu, Z. Biomass sugar-powered enzymatic fuel cells based on a synthetic enzymatic pathway. Bioelectrochemistry 2022, 144, 108008. [Google Scholar] [CrossRef]
- Shitanda, I.; Hirano, K.; Loew, N.; Watanabe, H.; Itagaki, M.; Mikawa, T. High-performance, two-step/Bi-enzyme lactate biofuel cell with lactate oxidase and pyruvate oxidase. J. Power Sources 2021, 498, 229935. [Google Scholar] [CrossRef]
- Shitanda, I.; Tsunaga, M.; Watanabe, H.; Itagaki, M.; Tsujimura, S.; Mikawa, T. High Capacity Lactate Biofuel Cell Using Enzyme Cascade without NAD. Chem. Lett. 2021, 50, 1160–1163. [Google Scholar] [CrossRef]
- Shlosberg, Y.; Meirovich, M.; Yehezkeli, O.; Schuster, G.; Adir, N. Production of photocurrent and hydrogen gas from intact plant leaves. Biosens. Bioelectron. 2022, 215, 114558. [Google Scholar] [CrossRef] [PubMed]
- Tomassetti, M.; Castrucci, M.; Dell’Aglio, E.; Campanella, L.; Pezzilli, R.; Di Natale, C. Ethanol and Glucose Determination by DCFC Working in Batch or Flow Mode. In Sensors and Microsystems: Sensors and Microsystems, Proceedings of the AISEM 2022, Rome, Italy, 10–11 February 2022; Springer: Cham, Switzerland, 2022; pp. 77–82. [Google Scholar]
- Zhao, P.; Zhang, H.; Sun, X.; Hao, S.; Dong, S. A hybrid bioelectrochemical device based on glucose/O2 enzymatic biofuel cell for energy conversion and storage. Electrochim. Acta 2022, 420, 140440. [Google Scholar] [CrossRef]
- Minteer, S.D.; Liaw, B.Y.; Cooney, M.J. Enzyme-based biofuel cells. Curr. Opin. Biotechnol. 2007, 18, 228–234. [Google Scholar] [CrossRef] [PubMed]
- Xia, H.; Zeng, J. Rational Surface Modification of Carbon Nanomaterials for Improved Direct Electron Transfer-Type Bioelectrocatalysis of Redox Enzymes. Catalysts 2020, 10, 1447. [Google Scholar] [CrossRef]
- Funabashi, H.; Takeuchi, S.; Tsujimura, S. Hierarchical meso/macro-porous carbon fabricated from dual MgO templates for direct electron transfer enzymatic electrodes. Sci. Rep. 2017, 7, 45147. [Google Scholar] [CrossRef]
- Sakai, K.; Kitazumi, Y.; Shirai, O.; Takagi, K.; Kano, K. Direct electron transfer-type four-way bioelectrocatalysis of CO2/formate and NAD+/NADH redox couples by tungsten-containing formate dehydrogenase adsorbed on gold nanoparticle-embedded mesoporous carbon electrodes modified with 4-mercaptopyridine. Electrochem. Commun. 2017, 84, 75–79. [Google Scholar] [CrossRef]
- Trifonov, A.; Stemmer, A.; Tel-Vered, R. Enzymatic self-wiring in nanopores and its application in direct electron transfer biofuel cells. Nanoscale Adv. 2018, 1, 347–356. [Google Scholar] [CrossRef]
- Hartmann, M.; Jung, D. Biocatalysis with enzymes immobilized on mesoporous hosts: The status quo and future trends. J. Mater. Chem. 2009, 20, 844–857. [Google Scholar] [CrossRef]
- Hartmann, M. Ordered Mesoporous Materials for Bioadsorption and Biocatalysis. Chem. Mater. 2005, 17, 4577–4593. [Google Scholar] [CrossRef]
- Imam, H.T.; Marr, P.C.; Marr, A.C. Enzyme entrapment, biocatalyst immobilization without covalent attachment. Green Chem. 2021, 23, 4980–5005. [Google Scholar] [CrossRef]
- Elnashar, M.M.M. (Ed.) The Art of Immobilization Using Biopolymers. In Biomaterials and Nanobiotechnology; IntechOpen: London, UK, 2011. [Google Scholar]
- Wong, L.S.; Khan, F.; Micklefield, J. Selective covalent protein immobilization: Strategies and applications. Chem. Rev. 2009, 109, 4025–4053. [Google Scholar] [CrossRef]
- Smith, S.; Goodge, K.; Delaney, M.; Struzyk, A.; Tansey, N.; Frey, M. A Comprehensive Review of the Covalent Immobilization of Biomolecules onto Electrospun Nanofibers. Nanomaterials 2020, 10, 2142. [Google Scholar] [CrossRef]
- Trifonov, A.; Stemmer, A.; Tel-Vered, R. Power Generation by Selective Self-Assembly of Biocatalysts. ACS Nano 2019, 13, 8630–8638. [Google Scholar] [CrossRef]
- Tel-Vered, R.; Yehezkeli, O.; Willner, I. Biomolecule/Nanomaterial Hybrid Systems for Nanobiotechnology. In Nano-Biotechnology for Biomedical and Diagnostic Research, 1st ed.; Zahavy, E., Ordentlich, A., Yitzhaki, S., Shafferman, A., Eds.; Springer: Dordrecht, The Netherlands, 2016; pp. 1–16. ISBN 978-94-007-2554-6. [Google Scholar]
- Huang, X.; Zhang, L.; Zhang, Z.; Guo, S.; Shang, H.; Li, Y.; Liu, J. Wearable biofuel cells based on the classification of enzyme for high power outputs and lifetimes. Biosens. Bioelectron. 2019, 124–125, 40–52. [Google Scholar] [CrossRef]
- McCormick, A.J.; Bombelli, P.; Bradley, R.W.; Thorne, R.; Wenzel, T.; Howe, C.J. Biophotovoltaics: Oxygenic photosynthetic organisms in the world of bioelectrochemical systems. Energy Environ. Sci. 2015, 8, 1092–1109. [Google Scholar] [CrossRef]
- Ariga, K.; Jia, X.; Song, J.; Hill, J.P.; Leong, D.T.; Jia, Y.; Li, J. Nanoarchitectonics beyond Self-Assembly: Challenges to Create Bio-Like Hierarchic Organization. Angew. Chem. Int. Ed. 2020, 59, 15424–15446. [Google Scholar] [CrossRef]
- Xu, Z.; Wang, S.; Zhao, C.; Li, S.; Liu, X.; Wang, L.; Li, M.; Huang, X.; Mann, S. Photosynthetic hydrogen production by droplet-based microbial micro-reactors under aerobic conditions. Nat. Commun. 2020, 11, 5985. [Google Scholar] [CrossRef] [PubMed]
- Trifonov, A.; Tel-Vered, R.; Fadeev, M.; Willner, I. Electrically Contacted Bienzyme-Functionalized Mesoporous Carbon Nanoparticle Electrodes: Applications for the Development of Dual Amperometric Biosensors and Multifuel-Driven Biofuel Cells. Adv. Energy Mater. 2015, 5, 1401853. [Google Scholar] [CrossRef]
- Oncescu, V.; Erickson, D. A microfabricated low cost enzyme-free glucose fuel cell for powering low-power implantable devices. J. Power Sources 2011, 196, 9169–9175. [Google Scholar] [CrossRef]
- Sasaki, S. The development of microfabricated biocatalytic fuel cells. Trends Biotechnol. 1999, 17, 50–52. [Google Scholar] [CrossRef] [PubMed]
- Rewatkar, P.; Hitaishi, V.P.; Lojou, E.; Goel, S. Enzymatic fuel cells in a microfluidic environment: Status and opportunities. A mini review. Electrochem. Commun. 2019, 107, 106533. [Google Scholar] [CrossRef]
- Pankratov, D.; Sundberg, R.; Sotres, J.; Maximov, I.; Graczyk, M.; Suyatin, D.B.; González-Arribas, E.; Lipkin, A.; Montelius, L.; Shleev, S. Transparent and flexible, nanostructured and mediatorless glucose/oxygen enzymatic fuel cells. J. Power Sources 2015, 294, 501–506. [Google Scholar] [CrossRef]
- Zhou, Z.; Hartmann, M. Recent Progress in Biocatalysis with Enzymes Immobilized on Mesoporous Hosts. Top. Catal. 2012, 55, 1081–1100. [Google Scholar] [CrossRef]
- Pankratov, D.; Sundberg, R.; Suyatin, D.B.; Sotres, J.; Barrantes, A.; Ruzgas, T.; Maximov, I.; Montelius, L.; Shleev, S. The influence of nanoparticles on enzymatic bioelectrocatalysis. RSC Adv. 2014, 4, 38164–38168. [Google Scholar] [CrossRef]
- Wang, J.; He, N.; Fei, J.; Ma, Z.; Ji, Z.; Chen, Z.; Nie, N.; Huang, Y. Flexible and wearable fuel cells: A review of configurations and applications. J. Power Sources 2022, 551, 232190. [Google Scholar] [CrossRef]
- U.S., J.; Rewatkar, P.; Goel, S. Miniaturized polymeric enzymatic biofuel cell with integrated microfluidic device and enhanced laser ablated bioelectrodes. Int. J. Hydrogen Energy 2021, 46, 3183–3192. [Google Scholar] [CrossRef]
- Hondred, J.A.; Johnson, Z.T.; Claussen, J.C. Nanoporous gold peel-and-stick biosensors created with etching inkjet maskless lithography for electrochemical pesticide monitoring with microfluidics. J. Mater. Chem. C 2020, 8, 11376–11388. [Google Scholar] [CrossRef]
- Trifonov, A.; Herkendell, K.; Tel-Vered, R.; Yehezkeli, O.; Woerner, M.; Willner, I. Enzyme-Capped Relay-Functionalized Mesoporous Carbon Nanoparticles: Effective Bioelectrocatalytic Matrices for Sensing and Biofuel Cell Applications. ACS Nano 2013, 7, 11358–11368. [Google Scholar] [CrossRef]
- Herkendell, K.; Stemmer, A.; Tel-Vered, R. Magnetically induced enzymatic cascades—Advancing towards multi-fuel direct/mediated bioelectrocatalysis. Nanoscale Adv. 2019, 1, 1686–1692. [Google Scholar] [CrossRef] [PubMed]
- Loew, N.; Tanaka, T.; Watanabe, H.; Shitanda, I.; Itagaki, M. Electrochemical impedance simulation of porous electrodes with variously shaped pores using 3-dimensional finite element method. Electrochim. Acta 2023, 440, 141723. [Google Scholar] [CrossRef]
- Cracknell, J.A.; Vincent, K.A.; Armstrong, F.A. Enzymes as Working or Inspirational Electrocatalysts for Fuel Cells and Electrolysis. Chem. Rev. 2008, 108, 2439–2461. [Google Scholar] [CrossRef] [PubMed]
- Loew, N.; Ofuji, T.; Shitanda, I.; Hoshi, Y.; Kitazumi, Y.; Kano, K.; Itagaki, M. Cyclic voltammetry and electrochemical impedance simulations of the mediator-type enzyme electrode reaction using finite element method. Electrochim. Acta 2021, 367, 137483. [Google Scholar] [CrossRef]
- Tang, Z.; Huang, Q.-A.; Wang, Y.-J.; Zhang, F.; Li, W.; Li, A.; Zhang, A.; Zhang, J. Recent progress in the use of electrochemical impedance spectroscopy for the measurement, monitoring, diagnosis and optimization of proton exchange membrane fuel cell performance. J. Power Sources 2020, 468, 228361. [Google Scholar] [CrossRef]
- Kashyap, D.; Dwivedi, P.K.; Pandey, J.K.; Kim, Y.H.; Kim, G.M.; Sharma, A.; Goel, S. Application of electrochemical impedance spectroscopy in bio-fuel cell characterization: A review. Int. J. Hydrogen Energy 2014, 39, 20159–20170. [Google Scholar] [CrossRef]
- Bojang, A.A.; Wu, H.S. Characterization of Electrode Performance in Enzymatic Biofuel Cells Using Cyclic Voltammetry and Electrochemical Impedance Spectroscopy. Catalysts 2020, 10, 782. [Google Scholar] [CrossRef]
- Aaron, D.; Borole, A.P.; Yiacoumi, S.; Tsouris, C. Effects of operating conditions on internal resistances in enzyme fuel cells studied via electrochemical impedance spectroscopy. J. Power Sources 2012, 201, 59–65. [Google Scholar] [CrossRef]
- Ben Tahar, A.; Szymczyk, A.; Tingry, S.; Vadgama, P.; Zelsmanne, M.; Tsujumura, P.; Martin, D.; Zebda, A. One-year stability of glucose dehydrogenase confined in a 3D carbon nanotube electrode with coated poly-methylene green: Application as bioanode for a glucose biofuel cell. J. Electroanal. Chem. 2019, 847, 113069. [Google Scholar] [CrossRef]
- Barton, S.C.; Gallaway, J.; Atanassov, P. Enzymatic Biofuel Cells for Implantable and Microscale Devices. Chem. Rev. 2004, 104, 4867–4886. [Google Scholar] [CrossRef]
- Shlosberg, Y.; Schuster, G.; Adir, N. Self-Enclosed Bio-Photoelectrochemical Cell in Succulent Plants. ACS Appl. Mater. Interfaces 2022, 14, 53761–53766. [Google Scholar] [CrossRef]
- Menassol, G.; Dubois, L.; Nadolska, M.; Vadgama, P.; Martin, D.K.; Zebda, A. A biocompatible iron doped graphene based cathode for an implantable glucose biofuel cell. Electrochim. Acta 2023, 439, 141627. [Google Scholar] [CrossRef]
- Shlosberg, Y.; Krupnik, N.; Tóth, T.N.; Eichenbaum, B.; Meirovich, M.; Meiri, D.; Yehezkeli, O.; Schuster, G.; Israel, Á.; Adir, N. Bioelectricity generation from live marine photosynthetic macroalgae. Biosens. Bioelectron. 2021, 198, 113824. [Google Scholar] [CrossRef] [PubMed]
- Ul Haque, S.; Yasir, M.; Cosnier, S. Recent advancements in the field of flexible/wearable enzyme fuel cells. Biosens. Bioelectron. 2022, 214, 114545. [Google Scholar] [CrossRef] [PubMed]
- Le, P.G.; Wu, Q.; Kong, D.Y.; Ge, J.; Il Kim, M. Tailoring Nanostructured Supports to Achieve High Performance in Enzymatic Biofuel Cells. ACS Appl. Energy Mater. 2022, 5, 13113–13127. [Google Scholar] [CrossRef]
- Roszita, I.; Shaari, N.; Aman, A.H.M. Bio-fuel cell for medical device energy system: A review. Int. J. Energy Res. 2021, 45, 14245–14273. [Google Scholar] [CrossRef]
- Singh, P.; Kim, Y.-J.; Zhang, D.; Yang, D.-C. Biological Synthesis of Nanoparticles from Plants and Microorganisms. Trends Biotechnol. 2016, 34, 588–599. [Google Scholar] [CrossRef]
- Singh, R.; Kaur, J.; Gupta, K.; Singh, M.; Kanaoujiya, R.; Kaur, N. Recent advances and applications of polymeric materials in healthcare sector and COVID-19 management. Mater. Today Proc. 2022, 62, 2878–2882. [Google Scholar] [CrossRef]
- Zhang, J.L.; Wang, Y.H.; Huang, K.; Huang, K.J.; Jiang, H.; Wang, X.M. Enzyme-based biofuel cells for biosensors and in vivo power supply. Nano Energy 2021, 84, 105853. [Google Scholar] [CrossRef]
- Ramesh, M.; Balakrishnan, P.; Dhanaprabhu, S.S.; Ravanan, A.; Maniraj, J. Enzyme-modified electrodes for biofuel cells: A comprehensive review. Mater. Today Proc. 2021, 46, 3495–3501. [Google Scholar] [CrossRef]
- Tsujimura, S.; Murata, K.; Akatsuka, W. Exceptionally High Glucose Current on a Hierarchically Structured Porous Carbon Electrode with “Wired” Flavin Adenine Dinucleotide-Dependent Glucose Dehydrogenase. J. Am. Chem. Soc. 2014, 136, 14432–14437. [Google Scholar] [CrossRef]
- Jung, S.H.; Myung, Y.; Das, G.S.; Bhatnagar, A.; Park, J.W.; Tripathi, K.M.; Kim, T.Y. Carbon nano-onions from waste oil for application in energy storage devices. New J. Chem. 2020, 44, 7369–7375. [Google Scholar] [CrossRef]
- Wu, L.; Lu, X.; Zhang, H.; Chen, J. Amino Acid Ionic Liquid Modified Mesoporous Carbon: A Tailor-made Nanostructure Biosensing Platform. ChemSusChem 2012, 5, 1918–1925. [Google Scholar] [CrossRef] [PubMed]
- Yan, Y.; Miao, J.; Yang, Z.; Xiao, F.-X.; Yang, H.B.; Liu, B.; Yang, Y. Carbon nanotube catalysts: Recent advances in synthesis, characterization and applications. Chem. Soc. Rev. 2015, 44, 3295–3346. [Google Scholar] [CrossRef]
- Juárez, J.M.; Venosta, L.F.; Anunziata, O.A.; Gómez Costa, M.B. H2 storage using Zr-CMK-3 developed by a new synthesis method. Int. J. Energy Res. 2022, 46, 2893–2903. [Google Scholar] [CrossRef]
- Vinu, A.; Hartmann, M. Characterization and microporosity analysis of mesoporous carbon molecular sieves by nitrogen and organics adsorption. Catal. Today 2005, 102–103, 189–196. [Google Scholar] [CrossRef]
- Bhattacharjee, U.; Pandey, L.M. Novel Nanoengineered Materials-Based Catalysts for Various Bioelectrochemical Systems. In Novel Catalyst Materials for Bioelectrochemical Systems: Fundamentals and Applications; American Chemical Society: Washington, DC, USA, 2020; pp. 45–71. ISBN 9780841236684. [Google Scholar]
- Hui, C.; Olja, S.; Koun, L.; Matteo, G.; Mengwei, Y.; Fangyuan, D.; Yoo, S.L.; Kevin, B.; Samali, W.; Erin, M.G.; et al. Fundamentals, Applications, and Future Directions of Bioelectrocatalysis. Chem. Rev. 2020, 120, 12903–12933. [Google Scholar] [CrossRef]
- Babadi, A.A.; Bagheri, S.; Hamid, S.B.A. Progress on implantable biofuel cell: Nano-carbon functionalization for enzyme immobilization enhancement. Biosens. Bioelectron. 2016, 79, 850–860. [Google Scholar] [CrossRef] [PubMed]
- Ghasemi, M.; Daud, W.R.W.; Hassan, S.H.A.; Oh, S.-E.; Ismail, M.; Rahimnejad, M.; Jahim, J.M. Nano-structured carbon as electrode material in microbial fuel cells: A comprehensive review. J. Alloys Compd. 2013, 580, 245–255. [Google Scholar] [CrossRef]
- Ania, C.O.; Gomis-Berenguer, A.; Dentzer, J.; Vix-Guterl, C. Nanoconfinement of glucose oxidase on mesoporous carbon electrodes with tunable pore sizes. J. Electroanal. Chem. 2018, 808, 372–379. [Google Scholar] [CrossRef]
- Gautam, V.; Singh, K.P.; Yadav, V.L. Preparation and characterization of green-nano-composite material based on polyaniline, multiwalled carbon nanotubes and carboxymethyl cellulose: For electrochemical sensor applications. Carbohydr. Polym. 2018, 189, 218–228. [Google Scholar] [CrossRef]
- Zeng, Y.; Zhu, Z.; Du, D.; Lin, Y. Nanomaterial-based electrochemical biosensors for food safety. J. Electroanal. Chem. 2016, 781, 147–154. [Google Scholar] [CrossRef]
- Habibi, B.; Jahanbakhshi, M. Direct electrochemistry of hemoglobin in a renewable mesoporous carbon ceramic electrode: A new kind of hydrogen peroxide biosensor. Microchim. Acta 2015, 182, 957–963. [Google Scholar] [CrossRef]
- Titirici, M.M.; White, R.J.; Brun, N.; Budarin, V.L.; Su, D.S.; del Monte, D.; Clark, J.H.; MacLachlan, M.J. Sustainable carbon materials. Chem. Soc. Rev. 2014, 44, 250–290. [Google Scholar] [CrossRef]
- Kuzmenko, V.; Naboka, O.; Haque, M.; Staaf, H.; Göransson, G.; Gatenholm, P.; Enoksson, P. Sustainable carbon nanofibers/nanotubes composites from cellulose as electrodes for supercapacitors. Energy 2015, 90, 1490–1496. [Google Scholar] [CrossRef]
- Ravi, S.; Vadukumpully, S. Sustainable carbon nanomaterials: Recent advances and its applications in energy and environmental remediation. J. Environ. Chem. Eng. 2016, 4, 835–856. [Google Scholar] [CrossRef]
- Thota, S.P.; Bag, P.P.; Vadlani, P.V.; Belliraj, S.K. Plant Biomass Derived Multidimensional Nanostructured Materials: A Green Alternative for Energy Storage. Eng. Sci. 2022, 18, 31–58. [Google Scholar] [CrossRef]
- Jeong, Y.; Cui, M.; Choi, J.; Lee, Y.; Kim, J.; Son, Y.; Khim, J. Development of modified mesoporous carbon (CMK-3) for improved adsorption of bisphenol-A. Chemosphere 2020, 238, 124559. [Google Scholar] [CrossRef]
- Kiomarsipour, N.; Alizadeh, M.; Alizadeh, M.; Ghani, K. Synthesis and surface-functionalizing of ordered mesoporous carbon CMK-3 for removal of nitrate from aqueous solution as an effective adsorbent. Diam. Relat. Mater. 2021, 116, 108419. [Google Scholar] [CrossRef]
- Koventhan, C.; Chung, Y.-C.; Lo, A.-Y.; Weng, H.-C.; Hung, W.-H. Development of a polyaniline/CMK-3/hydroquinone composite supercapacitor system. Mater. Chem. Phys. 2023, 297, 127369. [Google Scholar] [CrossRef]
- Niu, X.; Wang, X.; Guan, K.; Wei, Q.; Liu, H. Preparation and electrochemical hydrogen storage application of mesoporous carbon CMK-3 coated Co2B alloy composite. Chem. Phys. Lett. 2021, 778, 138762. [Google Scholar] [CrossRef]
- Ulfa, M.; Prasetyoko, D. Drug loading-release behaviour of mesoporous materials SBA-15 and CMK-3 using ibuprofen molecule as drug model. In Proceedings of the 9th International Conference on Physics and Its Applications (ICOPIA), Surakarta, Indonesia, 14 August 2018; p. 12065. [Google Scholar] [CrossRef]
- Venosta, L.F.; Juárez, J.M.; Anunziata, O.A.; Bercoff, P.G.; Gómez Costa, M.B. Synthesis and characteristics of CMK-3 modified with magnetite nanoparticles for application in hydrogen storage. J. Nanoparticle Res. 2020, 22, 227. [Google Scholar] [CrossRef]
- Phan, T.N.; Gong, M.K.; Thangavel, R.; Lee, Y.S.; Ko, C.H. Enhanced electrochemical performance for EDLC using ordered mesoporous carbons (CMK-3 and CMK-8): Role of mesopores and mesopore structures. J. Alloys Compd. 2019, 780, 90–97. [Google Scholar] [CrossRef]
- Zhu, J.Y.; Zhuang, X.S. Conceptual net energy output for biofuel production from lignocellulosic biomass through biorefining. Prog. Energy Combust. Sci. 2012, 38, 583–598. [Google Scholar] [CrossRef]
- Karp, S.G.; Woiciechowski, A.L.; Soccol, V.T.; Soccol, C.R. Pretreatment strategies for delignification of sugarcane bagasse: A review. Braz. Arch. Biol. Technol. 2013, 56, 679–689. [Google Scholar] [CrossRef]
- Peters, S.; Rose, T.; Moser, M. Sucrose: A prospering and sustainable organic raw material. In Carbohydrates in Sustainable Development I. Topics in Current Chemistry; Springer: Berlin/Heidelberg, Germany, 2010; Volume 294, pp. 1–23. [Google Scholar] [CrossRef]
- Queneau, Y.; Jarosz, S.; Lewandowski, B.; Fitremann, J. Sucrose chemistry and applications of sucrochemicals. Adv. Carbohydr. Chem. Biochem. 2007, 61, 217–292. [Google Scholar] [CrossRef] [PubMed]
- Wu, H.; Zhang, Y.; Kjøniksen, A.; Zhou, X.; Zhou, X. Wearable Biofuel Cells: Advances from Fabrication to Application. Adv. Funct. Mater. 2021, 31, 2103976. [Google Scholar] [CrossRef]
- Jeerapan, I.; Sempionatto, J.R.; Wang, J. On-Body Bioelectronics: Wearable Biofuel Cells for Bioenergy Harvesting and Self-Powered Biosensing. Adv. Funct. Mater. 2020, 30, 1906243. [Google Scholar] [CrossRef]
- Pinyou, P.; Blay, V.; Muresan, L.M.; Noguer, T. Enzyme-modified electrodes for biosensors and biofuel cells. Mater. Horiz. 2019, 6, 1336–1358. [Google Scholar] [CrossRef]
- He, Z.; Mansfeld, F. Exploring the use of electrochemical impedance spectroscopy (EIS) in microbial fuel cell studies. Energy Environ. Sci. 2009, 2, 215–219. [Google Scholar] [CrossRef]
- Sindhuja, M.; Sudha, V.; Harinipriya, S. Insights on the resistance, capacitance and bioelectricity generation of microbial fuel cells by electrochemical impedance studies. Int. J. Hydrogen Energy 2019, 44, 5428–5436. [Google Scholar] [CrossRef]
- Narendran, S.; Ramasamy, R.P. Electrochemical Impedance Spectroscopy for Microbial Fuel Cell Characterization. J. Microb. Biochem. Technol. 2013, S6, 004. [Google Scholar] [CrossRef]
- Wang, H.; Long, X.; Sun, Y.; Wang, D.; Wang, Z.; Meng, H.; Jiang, C.; Dong, W.; Lu, N. Electrochemical impedance spectroscopy applied to microbial fuel cells: A review. Front. Microbiol. 2022, 13, 973501. [Google Scholar] [CrossRef] [PubMed]
- Kim, B.; Chang, I.S.; Dinsdale, R.M.; Guwy, A.J. Accurate measurement of internal resistance in microbial fuel cells by improved scanning electrochemical impedance spectroscopy. Electrochim. Acta 2021, 366, 137388. [Google Scholar] [CrossRef]
- Ul Haque, S.; Nasar, A.; Rahman, M.M. Applications of chitosan (CHI)-reduced graphene oxide (rGO)-polyaniline (PAni) conducting composite electrode for energy generation in glucose biofuel cell. Sci. Rep. 2020, 10, 10428. [Google Scholar] [CrossRef] [PubMed]
- Yang, Q.-H.; Hou, P.-X.; Bai, S.; Wang, M.-Z.; Cheng, H.-M. Adsorption and capillarity of nitrogen in aggregated multi-walled carbon nanotubes. Chem. Phys. Lett. 2001, 345, 18–24. [Google Scholar] [CrossRef]
- Yang, Q.-H.; Cheng, H.-M. Carbon nanotubes: Surface, porosity, and related applications. In Carbon Nanotechnology, 1st ed.; Liming, D., Ed.; Elsevier Science: Amsterdam, The Netherlands, 2006; pp. 323–359. ISBN 9780444518552. [Google Scholar]
- Thommes, M.; Kaneko, K.; Neimark, A.V.; Olivier, J.P.; Rodriguez-Reinoso, F.; Rouquerol, J.; Sing, K.S.W. Physisorption of gases, with special reference to the evaluation of surface area and pore size distribution (IUPAC Technical Report). Pure Appl. Chem. 2015, 87, 1051–1069. [Google Scholar] [CrossRef]
- Carrales-Alvarado, D.H.; Leyva-Ramos, R.; Rodríguez-Ramos, I.; Mendoza-Mendoza, E.; Moral-Rodríguez, A.E. Adsorption capacity of different types of carbon nanotubes towards metronidazole and dimetridazole antibiotics from aqueous solutions: Effect of morphology and surface chemistry. Environ. Sci. Pollut. Res. Int. 2020, 27, 17123–17137. [Google Scholar] [CrossRef] [PubMed]
- Schlumberger, C.; Cuadrado-Collados, C.; Söllner, J.; Huber, C.; Wisser, D.; Liu, H.-F.; Chang, C.-K.; Schuster, S.; Shure, M.; Hartmann, M.; et al. Characterization of functionalized chromatographic silica materials: Coupling water adsorption and intrusion with NMR-relaxometry. [Preprint]. ChemRxiv 2023. working paper. [Google Scholar] [CrossRef]
- Vinu, A.; Streb, C.; Murugesan, V.; Hartmann, M. Adsorption of Cytochrome C on New Mesoporous Carbon Molecular Sieves. J. Phys. Chem. B 2003, 107, 8297–8299. [Google Scholar] [CrossRef]
- Chakravarti, R.; Kantam, M.L.; Iwai, H.; Al-Deyab, S.S.; Ariga, K.; Park, D.-H.; Choy, J.-H.; Lakhi, K.S.; Vinu, A. Mesoporous Carbons Functionalized with Aromatic, Aliphatic, and Cyclic Amines, and their Superior Catalytic Activity. ChemCatChem 2014, 6, 2872–2880. [Google Scholar] [CrossRef]
- Zhao, Y.; Huang, S.; Wei, L.; Zhang, Y.; Lin, A.; Liu, C.; Li, J. Highly Dispersed CoO on Graphitic Mesoporous Carbon as an Efficient Catalyst for Fischer–Tropsch Synthesis. Ind. Eng. Chem. Res. 2020, 59, 3279–3286. [Google Scholar] [CrossRef]
- Khalilova, S.; Hasanli, S. Dependence of an electric capacitance on the constant voltage C = f(U) in pure bentonite, composites and semiconductors. Appl. Phys. A 2019, 125, 554. [Google Scholar] [CrossRef]
- Wang, C.-M.; Wen, C.-Y.; Chen, Y.-C.; Chang, J.-Y.; Ho, C.-W.; Kao, K.-S.; Shih, W.-C.; Chiu, C.-M.; Shen, Y.-A. The Influence of Specific Surface Area on the Capacitance of the Carbon Electrodes Supercapacitor. In Proceedings of the 3rd International Conference on Industrial Application Engineering, Third International Conference on Industrial Application Engineering 2015 (ICIAE2015), Kitakyushu International Conference Center, Kitakyushu, Japan, 28–31 March 2015; pp. 439–442, ISBN 9784907220068. [Google Scholar]
- Longinotti, M.P.; Corti, H.R. Diffusion of ferrocene methanol in super-cooled aqueous solutions using cylindrical microelectrodes. Electrochem. Commun. 2007, 9, 1444–1450. [Google Scholar] [CrossRef]
- Sulman, A.M.; Haskell, A.K.; Tikhonov, B.B.; Grebennikova, O.V.; Sidorov, A.I.; Bronstein, L.M.; Matveeva, V.G. Larger pores dramatically enhance activity of an immobilized enzyme in mesoporous magnetic silica. Microporous Mesoporous Mater. 2022, 341, 112092. [Google Scholar] [CrossRef]
- Courjean, O.; Gao, F.; Mano, N. Deglycosylation of glucose oxidase for direct and efficient glucose electrooxidation on a glassy carbon electrode. Angew. Chem. Int. Ed. 2009, 48, 5897–5899. [Google Scholar] [CrossRef]
- Ding, H.; Cai, Y.; Gao, L.; Liang, M.; Miao, B.; Wu, H.; Liu, Y.; Xie, N.; Tang, A.; Fan, K.; et al. Exosome-like Nanozyme Vesicles for H2O2-Responsive Catalytic Photoacoustic Imaging of Xenograft Nasopharyngeal Carcinoma. Nano Lett. 2019, 19, 203–209. [Google Scholar] [CrossRef] [PubMed]
- Bahar, T.; Yazici, M.S. Assessment of Glucose Oxidase Based Enzymatic Fuel Cells Integrated with Newly Developed Chitosan Membranes by Electrochemical Impedance Spectroscopy. Electroanalysis 2020, 32, 1304–1314. [Google Scholar] [CrossRef]
- Lasia, A. Electrochemical Impedance Spectroscopy and its Applications. In Modern Aspects of Electrochemistry; Springer: Boston, MA, USA, 2002; pp. 143–248. [Google Scholar]
- Keiser, H.; Beccu, K.D.; Gutjahr, M.A. Abschätzung der porenstruktur poröser elektroden aus impedanzmessungen. Electrochim. Acta 1976, 21, 539–543. [Google Scholar] [CrossRef]
- Cooper, S.J.; Bertei, A.; Finegan, D.P.; Brandon, N.P. Simulated impedance of diffusion in porous media. Electrochim. Acta 2017, 251, 681–689. [Google Scholar] [CrossRef]
- Hartmann, M.; Vinu, A. Mechanical Stability and Porosity Analysis of Large-Pore SBA-15 Mesoporous Molecular Sieves by Mercury Porosimetry and Organics Adsorption. Langmuir 2002, 18, 8010–8016. [Google Scholar] [CrossRef]











| Sample | C (wt.%) | H (wt.%) | N (wt.%) | S (wt.%) |
|---|---|---|---|---|
| MWCNT | 94.73 | 0.01 | - | - |
| CMK-3 | 91.99 | 0.49 | - | - |
| Support Material | BHJ Total Pore Volume, Vp | BHJ Average Pore Diameter, dp | BET Surface Area, SBET |
|---|---|---|---|
| MWCNT | 0.17 cm3 g−1 | 7.44 nm | 89 m2 g−1 |
| CMK-3 | 1.36 cm3 g−1 | 4.82 nm | 1133 m2 g−1 |
| Support Material | 0 mM | 50 mM | 110 mM | 175 mM |
|---|---|---|---|---|
| MWCNT | 0.70 kΩ | 1.05 kΩ | 1.20 kΩ | 1.23 kΩ |
| CMK-3 | 0.88 kΩ | 1.20 kΩ | 1.22 kΩ | 1.30 kΩ |
| Support Material | N2 | O2 |
|---|---|---|
| MWCNT | 1.26 kΩ | 1.19 kΩ |
| CMK-3 | 1.21 kΩ | 1.17 kΩ |
| Support Material | OCP | MMP |
| MWCNT | 0.49 V | 53 µW cm−2 |
| CMK-3 | 0.58 V | 93 µW cm−2 |
Disclaimer/Publisher’s Note: The statements, opinions and data contained in all publications are solely those of the individual author(s) and contributor(s) and not of MDPI and/or the editor(s). MDPI and/or the editor(s) disclaim responsibility for any injury to people or property resulting from any ideas, methods, instructions or products referred to in the content. |
© 2023 by the authors. Licensee MDPI, Basel, Switzerland. This article is an open access article distributed under the terms and conditions of the Creative Commons Attribution (CC BY) license (https://creativecommons.org/licenses/by/4.0/).
Share and Cite
Torrigino, F.; Nagel, M.; Peng, Z.; Hartmann, M.; Herkendell, K. Sustainably Sourced Mesoporous Carbon Molecular Sieves as Immobilization Matrices for Enzymatic Biofuel Cell Applications. Catalysts 2023, 13, 1415. https://doi.org/10.3390/catal13111415
Torrigino F, Nagel M, Peng Z, Hartmann M, Herkendell K. Sustainably Sourced Mesoporous Carbon Molecular Sieves as Immobilization Matrices for Enzymatic Biofuel Cell Applications. Catalysts. 2023; 13(11):1415. https://doi.org/10.3390/catal13111415
Chicago/Turabian StyleTorrigino, Federica, Marcel Nagel, Zhujun Peng, Martin Hartmann, and Katharina Herkendell. 2023. "Sustainably Sourced Mesoporous Carbon Molecular Sieves as Immobilization Matrices for Enzymatic Biofuel Cell Applications" Catalysts 13, no. 11: 1415. https://doi.org/10.3390/catal13111415
APA StyleTorrigino, F., Nagel, M., Peng, Z., Hartmann, M., & Herkendell, K. (2023). Sustainably Sourced Mesoporous Carbon Molecular Sieves as Immobilization Matrices for Enzymatic Biofuel Cell Applications. Catalysts, 13(11), 1415. https://doi.org/10.3390/catal13111415

