Mechanistic Details of the Titanium-Mediated Polycondensation Reaction of Polyesters: A DFT Study
Abstract
:1. Introduction
2. Results and Discussion
2.1. Polyester Polycondensation Reactions without Catalysts
2.2. Molecular Modelling of Catalysts
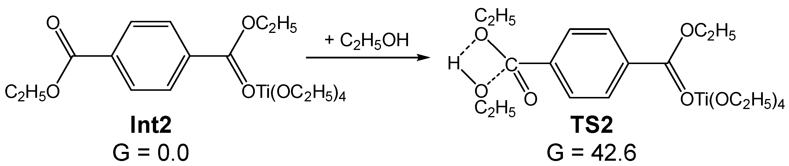
2.3. Mechanism of Polyester Polycondensation Reaction Catalysed by Ti(OEt)4
2.4. Mechanism of Polyester Polycondensation Reaction Catalysed by Ti(OEt)3+
2.5. Comparative Analysis of Reaction Mechanism
3. Computational Details
4. Conclusions
Supplementary Materials
Author Contributions
Funding
Data Availability Statement
Acknowledgments
Conflicts of Interest
References
- Kausar, A. Review of fundamentals and applications of polyester nanocomposites filled with carbonaceous nanofillers. J. Plast. Film. Sheeting 2018, 35, 22–44. [Google Scholar] [CrossRef]
 - MacDonald, A.W. New advances in poly(ethylene terephthalate) polymerization and degradation. Polym. Int. 2002, 51, 923–930. [Google Scholar] [CrossRef]
 - Sulyman, M.; Haponiuk, J.; Formela, K. Utilization of Recycled Polyethylene Terephthalate (PET) in Engineering Materials: A Review. Int. J. Environ. Sci. Dev. 2016, 7, 100–108. [Google Scholar] [CrossRef]
 - Drault, F.; Snoussi, Y.; Thuriot-Roukos, J.; Itabaiana, I.; Paul, S.; Wojcieszak, R. Study of the Direct CO2 Carboxylation Reaction on Supported Metal Nanoparticles. Catalysts 2021, 11, 326. [Google Scholar] [CrossRef]
 - Paparella, A.N.; Perrone, S.; Salomone, A.; Messa, F.; Cicco, L.; Capriati, V.; Perna, F.M.; Vitale, P. Use of Deep Eutectic Solvents in Plastic Depolymerization. Catalysts 2023, 13, 1035. [Google Scholar] [CrossRef]
 - Weinberger, S.; Canadell, J.; Quartinello, F.; Yeniad, B.; Arias, A.; Pellis, A.; Guebitz, G.M. Enzymatic Degradation of Poly(ethylene 2,5-furanoate) Powders and Amorphous Films. Catalysts 2017, 7, 318. [Google Scholar] [CrossRef]
 - Hua, Z.; Yue, R.; Zhenhua, L.; Ming, X.; Ye, W.; Ruixiang, G.; Xianggui, K.; Lirong, Z.; Haohong, D. Electrocatalytic upcycling of polyethylene ter-ephthalate to commodity chemicals and H(2) fuel. Nat. Commun. 2021, 12, 4679. [Google Scholar]
 - Furukawa, M.; Kawakami, N.; Tomizawa, A.; Miyamoto, K. Efficient Degradation of Poly(ethylene terephthalate) with Thermobifida fusca Cutinase Exhibiting Improved Catalytic Activity Generated using Mutagenesis and Additive-based Approaches. Sci. Rep. 2019, 9, 16038. [Google Scholar] [CrossRef] [PubMed]
 - Sang, T.; Wallis, C.J.; Hill, G.; Britovsek, G.J.P. Polyethylene terephthalate degradation under natural and accelerated weathering conditions. Eur. Polym. J. 2020, 136, 109873. [Google Scholar] [CrossRef]
 - Punyodom, W.; Meepowpan, P.; Girdthep, S.; Limwanich, W. Influence of tin(II), aluminum(III) and titanium(IV) catalysts on the transesterification of poly(L-lactic acid). Polym. Bull. 2022, 79, 11409–11429. [Google Scholar] [CrossRef]
 - Shigemoto, I.; Kawakami, T.; Taiko, H.; Okumura, M. A quantum chemical study on the polycondensation reaction of polyesters: The mechanism of catalysis in the polycondensation reaction. Polymer 2011, 52, 3443–3450. [Google Scholar] [CrossRef]
 - Biros, S.M.; Bridgewater, B.M.; Villeges-Estrada, A.; Tanski, J.M.; Parkin, G. Antimony Ethylene Glycolate and Catecholate Compounds: Structural Characterization of Polyesterification Catalysts. Inorg. Chem. 2002, 41, 4051–4057. [Google Scholar] [CrossRef] [PubMed]
 - Le Roux, E. Recent advances on tailor-made titanium catalysts for biopolymer synthesis. Co-ord. Chem. Rev. 2016, 306, 65–85. [Google Scholar] [CrossRef]
 - Savitha, K.S.; Kumar, M.S.; Jagadish, R.L. Ti(OBu)4/B(OBu)3: Deciphering the mechanism for the formation of high mo-lecular weight poly(butylene succinate). J. Appl. Polym. Sci. 2023, 140, 53842. [Google Scholar] [CrossRef]
 - Xin-Gui, L.; Ge, S.; Mei-Rong, H.; Tomoya, O.; Hiroki, Y.; Tomokazu, U.; Tomohiro, H.; Hiroshi, I. Cleaner synthesis and sys-tematical characterization of sustainable poly(isosorbide-co-ethylene terephthalate) by environ-benign and highly active catalysts. J. Clean. Prod. 2019, 206, 483–497. [Google Scholar]
 - Shen, J.; Gao, X.; Liu, Z.; Zhao, L.; Xi, Z.; Yuan, W. Reaction mechanism study on transesterification in synthesis of thermotropic liquid crystalline polymer catalyzed by zinc(II) carboxylate: A combination of DFT and kinetics analyses. Chem. Eng. J. 2022, 446, 136848. [Google Scholar] [CrossRef]
 - Huang, J.; Meng, H.; Luo, X.; Mu, X.; Xu, W.; Jin, L.; Lai, B. Insights into the thermal degradation mechanisms of polyethylene terephthalate dimer using DFT method. Chemosphere 2022, 291, 133112. [Google Scholar] [CrossRef] [PubMed]
 - Shigemoto, I.; Kawakami, T.; Okumura, M. A quantum chemical study on polymerization catalysts for polyesters: Catalytic performance of chelated complexes of titanium. Polymer 2013, 54, 3297–3305. [Google Scholar] [CrossRef]
 - Wang, J.; Zhang, S.; Han, Y.; Zhang, L.; Wang, Q.; Wang, G.; Zhang, X. UiO-66(Zr/Ti) for catalytic PET polycondensation. Mol. Catal. 2022, 532, 112741. [Google Scholar] [CrossRef]
 - Wolzak, L.A.; van der Vlugt, J.I.; Berg, K.J.v.D.; Reek, J.N.H.; Tromp, M.; Korstanje, T.J. Titanium-catalyzed esterification reactions: Beyond Lewis acidity. ChemCatChem 2020, 12, 5229–5235. [Google Scholar] [CrossRef]
 - Zhang, J.; Guan, Z.; Zhu, Y.; Liu, Z. DFT Study on the Mechanism of Thermal Degradation of Polyester. J. Mol. Catal. 2022, 36, 425–432. [Google Scholar] [CrossRef]
 - Ahmadnian, F.; Velasquez, F.; Reichert, K.-H. Screening of Different Titanium (IV) Catalysts in the Synthesis of Poly(ethylene terephthalate). Macromol. React. Eng. 2008, 2, 513–521. [Google Scholar] [CrossRef]
 - Siling, M.I.; Laricheva, T.N. Titanium compounds as catalysts for esterification and transesterification. Russ. Chem. Rev. 1996, 65, 279–286. [Google Scholar] [CrossRef]
 - Kozuch, S. Steady State Kinetics of Any Catalytic Network: Graph Theory, the Energy Span Model, the Analogy between Catalysis and Electrical Circuits, and the Meaning of “Mechanism”. ACS Catal. 2015, 5, 5242–5255. [Google Scholar] [CrossRef]
 - Paton, R.S.; Kim, S.; Ross, A.G.; Danishefsky, S.J.; Houk, K.N. Experimental Diels-Alder Reactivities of Cycloalkenones and Cyclic Dienes Explained through Transition-State Distortion Energies. Angew. Chem. Int. Ed. 2011, 50, 10366–10368. [Google Scholar] [CrossRef]
 - Fernández, I.; Bickelhaupt, F.M. The activation strain model and molecular orbital theory: Understanding and designing chemical reactions. Chem. Soc. Rev. 2014, 43, 4953–4967. [Google Scholar] [CrossRef] [PubMed]
 - Frisch, M.J.; Trucks, G.W.; Schlegel, H.B.; Scuseria, G.E.; Robb, M.A.; Cheeseman, J.R.; Scalmani, G.; Barone, V.; Mennucci, B.; Petersson, G.A.; et al. Gaussian 09, Revision, E.01; Gaussian Inc.: Wallingford, CT, USA, 2009. [Google Scholar]
 - Tomasi, J.; Mennucci, B.; Cammi, R. Quantum Mechanical Continuum Solvation Models. Chem. Rev. 2005, 105, 2999–3094. [Google Scholar] [CrossRef] [PubMed]
 - Grimme, S.; Antony, J.; Ehrlich, S.; Krieg, H. A consistent and accurate ab initio parametrization of density functional dispersion correction (DFT-D) for the 94 elements H-Pu. J. Chem. Phys. 2010, 132, 154104–154119. [Google Scholar] [CrossRef] [PubMed]
 - Brandenburg, J.G.; Grimme, S. Dispersion corrected hartree-fock and density functional theory for organic crystal structure prediction. Top Curr. Chem. 2014, 345, 1–23. [Google Scholar] [PubMed]
 - Xu, X.; Truhlar, D.G. Accuracy of Effective Core Potentials and Basis Sets for Density Functional Calculations, Including Relativistic Effects, As Illustrated by Calculations on Arsenic Compounds. J. Chem. Theory Comput. 2011, 7, 2766–2779. [Google Scholar] [CrossRef] [PubMed]
 - Fukui, K. The path of chemical reactions-the IRC approach. Accounts Chem. Res. 1981, 14, 363–368. [Google Scholar] [CrossRef]
 - Becke, A.D. A new mixing of Hartree-Fock and local density-functional theories. J. Chem. Phys. 1993, 98, 1372–1377. [Google Scholar] [CrossRef]
 - Lee, C.; Yang, W.; Parr, R.G. Development of the Colle-Salvetti correlation-energy formula into a functional of the electron density. Phys. Rev. B 1988, 37, 785–789. [Google Scholar] [CrossRef] [PubMed]
 - Lu, T.; Chen, F. Multiwfn: A multifunctional wavefunction analyzer. J. Comput. Chem. 2012, 33, 580–592. [Google Scholar] [CrossRef] [PubMed]
 - Humphrey, W.; Dalke, A.; Schulten, K. VMD: Visual molecular dynamics. J. Mol. Graph. 1996, 14, 33–38. [Google Scholar] [CrossRef] [PubMed]
 












| Ti(OEt)4 | Ti(OEt)3+ | |||||
|---|---|---|---|---|---|---|
| M1 Mechanism | M2 Mechanism | M3 Mechanism | M1 Mechanism | M2 Mechanism | M3 Mechanism | |
| TDI (kcal/mol) | 0.0 | 0.0 | 0.0 | 0.0 | 0.0 | 0.0 | 
| TDTS (kcal/mol) | 42.6 | 26.8 | 19.9 | 44.9 | 24.1 | 31.0 | 
| TOF(s−1) | 1.3 × 10−5 | 47 | 3.5 × 104 | 1.4 × 10−6 | 630 | 0.85 | 
| ΔE (kcal/mol) | ΔGthermo (kcal/mol) | ΔGsol (kcal/mol) | ΔGstd (kcal/mol) | ΔG (kcal/mol) | |
|---|---|---|---|---|---|
| TS5 | 21.3 | –1.0 | 3.8 | 0.0 | 24.1 | 
| TS7 | 16.1 | 3.9 | –0.1 | 0.0 | 19.9 | 
Disclaimer/Publisher’s Note: The statements, opinions and data contained in all publications are solely those of the individual author(s) and contributor(s) and not of MDPI and/or the editor(s). MDPI and/or the editor(s) disclaim responsibility for any injury to people or property resulting from any ideas, methods, instructions or products referred to in the content.  | 
© 2023 by the authors. Licensee MDPI, Basel, Switzerland. This article is an open access article distributed under the terms and conditions of the Creative Commons Attribution (CC BY) license (https://creativecommons.org/licenses/by/4.0/).
Share and Cite
Guan, Z.; Zhang, J.; Zhou, W.; Zhu, Y.; Liu, Z.; Zhang, Y.; Zhang, Y. Mechanistic Details of the Titanium-Mediated Polycondensation Reaction of Polyesters: A DFT Study. Catalysts 2023, 13, 1388. https://doi.org/10.3390/catal13101388
Guan Z, Zhang J, Zhou W, Zhu Y, Liu Z, Zhang Y, Zhang Y. Mechanistic Details of the Titanium-Mediated Polycondensation Reaction of Polyesters: A DFT Study. Catalysts. 2023; 13(10):1388. https://doi.org/10.3390/catal13101388
Chicago/Turabian StyleGuan, Zhenyu, Jialong Zhang, Wenle Zhou, Youcai Zhu, Zhen Liu, Yumei Zhang, and Yue Zhang. 2023. "Mechanistic Details of the Titanium-Mediated Polycondensation Reaction of Polyesters: A DFT Study" Catalysts 13, no. 10: 1388. https://doi.org/10.3390/catal13101388
APA StyleGuan, Z., Zhang, J., Zhou, W., Zhu, Y., Liu, Z., Zhang, Y., & Zhang, Y. (2023). Mechanistic Details of the Titanium-Mediated Polycondensation Reaction of Polyesters: A DFT Study. Catalysts, 13(10), 1388. https://doi.org/10.3390/catal13101388
        
