Abstract
Lipase from Thermomyces lanuginosus (TLL) has been immobilized on a methacrylate macroporous resin coated with octadecyl groups (Purolite Lifetech®® ECR8806F). This immobilization protocol gave a biocatalyst with significantly higher stability than that obtained using octyl agarose. To further improve the biocatalyst features, we tried to covalently immobilize the enzyme using this support. For this purpose, the support was activated with divinyl sulfone. The results showed that at least 1/3 of the immobilized enzyme molecules were not covalently immobilized. To solve the problem, we produced an aminated support and then activated it with divinyl sulfone. This permitted the full covalent immobilization of the previously immobilized TLL. The use of different blocking agents as the reaction endpoint (using ethylenediamine, Asp, Gly, and Cys) greatly altered the biocatalyst functional features (activity, specificity, or stability). For example, the blocking with ethylenediamine increased the ratio of the activity versus R- and S-methyl mandelate by a three-fold factor. The blocking with Cys produced the most stable biocatalyst, maintaining close to 90% of the activity under conditions where the just adsorbed enzyme maintained less than 55%. That way, this strategy to modify the support has permitted obtaining an enzyme interfacially activated versus the octadecyl layer and, later, covalently immobilized by reaction with the vinyl sulfone groups.
1. Introduction
Lipases are very interesting biocatalysts, as they lack cofactors, have a low specificity coupled in some instances with high regio- or enantio- selectivity or specificity, and present good stability in different reaction media [1,2,3,4,5]. That way, lipases have been utilized in a wide range of processes, from commodities production to food chemistry, from energy to fine chemistry [5,6,7,8,9,10,11,12]. Even using these robust enzymes, they have some deficiencies due to their adaptation to fulfil their physiological function. That way, their very good catalytic properties are mainly addressed for their physiological substrates and under physiological conditions, and they can be inactivated, inhibited, etc., by different causes. Among the different tools to improve enzyme features (metagenomics [13,14], directed evolution [6,15,16,17], site-directed mutagenesis [18,19], and chemical modification [20]), in this paper, we will focus on enzyme immobilization. It started as a technique to solve the problems derived from enzyme solubility, which makes enzyme recovery and reuse complex [21]. Having a heterogeneous biocatalyst also facilitates reaction control and enlarges the type of reactors that can be used. Nowadays, with the price of enzymes going down due to the rapid development of enzyme expression and overproduction technologies, enzyme immobilization must fulfill other requirements [22,23,24]. In fact, proper immobilization may improve enzyme stability for diverse reasons, as recently reviewed [25]. Moreover, immobilization may also be coupled to enzyme purification if the immobilization protocol is designed to reach this goal. Enzyme immobilization may alter the enzyme conformation, places the enzyme in a confined space and in a special environment, and all these can affect enzyme activity, selectivity, specificity, and inhibitions. That way, enzyme immobilization has become a potent tool for designing a suitable industrial biocatalyst. However, this is an area that still requires an intense investigation, as the results depend on many factors, and some of them may be unknown nowadays [26].
The case of lipases is special. They are interfacial enzymes (enzymes able to act in the water/oil drop interface) [27]. This is because of the peculiar conformation of their active center, which is usually isolated from the medium by a polypeptide chain called a lid, which has some mobility and can move to expose the active center (open conformation) [28,29,30,31,32,33]. This open conformation expos a large hydrophobic pocket and tends to become adsorbed to any hydrophobic surface, such as the natural substrate, a drop of oil. Moreover, lipases have a similar tendency to become adsorbed on any other hydrophobic surface: a hydrophobic protein [34,35], the open form of other lipases [36], or a hydrophobic support. This has promoted that the immobilization of lipases on hydrophobic supports has become a very popular strategy, as it permits to immobilize, purify, stabilize and hyperactivate lipases in one step, ensuring the existence of just one lipase form, the open and monomeric form [37,38]. This immobilization strategy, although giving quite strongly adsorbed lipases, is reversible, and the enzyme may be released to the medium in certain circumstances: high temperature, presence of solvents [39], presence of substrate or products with detergent-like properties (such as partial glycerides or free fatty acids) [40,41], etc. This has been solved using heterofunctional supports, having a layer of acyl groups to obtain the lipase interfacial activation and a layer of groups able to give other physical interactions (e.g., ionic exchange [42]) or a covalent bond that will make the immobilization irreversible. The covalent bonds have been tried using glyoxyl, glutaraldehyde, or vinyl sulfone groups [39,43,44,45,46,47,48,49,50,51]. These last gave the best results due to their longer spacer arm and reactivity with very different nucleophilic groups in the enzyme surface [43,52]. Furthermore, the blocking step required using this immobilization strategy gave the opportunity to generate special enzyme-support interactions, which fully altered the enzyme features [43,53,54] and even the inactivation pathway [55]. These strategies were mostly employed when agarose was the support and the acyl group was octyl.
In this context, it has been recently shown that the immobilization of the lipase from Thermomyces lanuginosus (TLL) on methacrylate beads bearing octadecyl groups allowed obtaining a biocatalyst with very good features in biodiesel production, becoming in the same order of magnitude to the reaction rate using alkaline catalyst [56,57,58]. In this new research effort, we intend to prepare a TLL biocatalyst using this support, activating the support surface with divinyl sulfone to achieve covalently immobilized biocatalysts after the first immobilization via interfacial activation, to further improve the enzyme features. The difficulties are two: the activation of this support with divinyl sulfone groups that should be exposed to the medium can be complex, and even in the best case, the long octadecyl groups can generate great steric hindrances for the reaction with the immobilized enzymes. One alternative is to transform the support in an aminated one, using these amino groups in the modification with divinyl sulfone; this can permit to have more reactive groups and a longer spacer arm. Moreover, even hindered by the layer of octadecyl group, this layer of aminated groups can give a new ion exchange capacity to the support [59,60] (it will be a trifunctional one bearing octadecyl, amino, and vinyl sulfone (VS) groups), which can approximate the enzyme to the support surface.
2. Results
2.1. Immobilization of TLL on Purolite C18 and Purolite C18-VS
Figure 1 shows the immobilization of TLL on Purolite C18 and Purolite C18-VS. In both cases, the kinetics are similar, as around 45% of the offered enzyme activity is immobilized, allowing us to infer that around 9 mg of enzyme/g of support are immobilized (TLL is pure, as had one electrophoretic band, data not shown). There are no significant increases in the immobilization yield when prolonging the immobilization to 3 h. This result is due to our using, on purpose, an excess of enzyme to ensure that the biocatalysts are fully loaded. The non-immobilized enzyme remains fully active and could be reused in new immobilization cycles.
Figure 1.
Immobilization course of TLL over (a) Purolite C18 beads and (b) Purolite C18-VS beads using an enzyme loading of 20 mg/g. The immobilization was performed in 5 mM sodium acetate at 25 °C and pH 5.0. Squares: reference and circles: supernatant. Other specifications are described in Methods.
The enzyme immobilized on Purolite C18-VS was incubated at alkaline pH to have some covalent bonds with the support, and later it was blocked with Asp. The SDS-PAGE analysis (Figure 2) of this biocatalyst at different amounts showed that a high percentage of TLL molecules remained just physically immobilized, and about 30% of the enzyme molecules were released from the support [61]. This was a result even worse than using glyoxyl-octyl agarose to immobilize this enzyme [39], a problem that was solved in that case using the heterofunctional octyl-VS-agarose [43]. This could be caused by the long octadecyl groups, which can promote steric hindrances for the enzyme-support reaction and makes it very difficult to establish a covalent bond [62]. That way, we decided to try another strategy to obtain a full TLL covalent immobilization.
Figure 2.
SDS-PAGE analysis of Purolite C18-TLL and Purolite C18-VS-TLL-Asp. Lane 1: Low-weight molecular markers; Lane 2: Purolite C18-TLL (0.1 g/mL rupture buffer); Lane 3: Purolite C18-VS-TLL-Asp (0.1 g/mL rupture buffer); Lane 4: Purolite C18-TLL (0.2 g/mL rupture buffer); Lane 5: Purolite C18-VS-TLL-Asp (0.2 g/mL in rupture buffer); Lane 6: Purolite C18-TLL (0.33 g/mL rupture buffer); Lane 7: Purolite C18-VS-TLL-Asp (0.33 g/mL in rupture buffer); Three biocatalyst concentrations were used to allow visual comparison of band intensity regarding amount of protein desorbed from the supports, allowing to estimate the percentage of protein non-covalently attached; other specifications are described in Methods.
2.2. Preparation of Purolite C18-EDA-VS
To improve the covalent immobilization of TLL on Purolite C18-VS, we decided to oxidize the support; the produced aldehydes were made to react with ethylenediamine, and the support was then modified with vinyl sulfone. Amino-VS supports have already been reported to be advantageous in enzyme immobilization [59,60].
The elemental analysis of Purolite-C18-VS showed that the support presented around 22 micromoles of S per dried g of support, while Purolite-C18-EDA-VS presented around double the amount of S. That way, the modified support has some advantages; there are a higher number of vinyl sulfone groups, the VS reactive groups have a longer spacer arm (4 additional atoms), making reaction with the enzyme easier [25], and the ionic character of the groups under the VS layer can establish ionic bridges with the enzyme, favoring the approaching of the enzyme to the vinyl sulfone groups [63].
Figure 3 shows that the immobilization on this trifunctional support follows a similar pattern to the use of Purolite C18 (45% of the offered enzyme activity is immobilized, allowing us to infer that around 9 mg of enzyme/g of support is immobilized). However, in this instance, after incubation and blocking, the enzyme could not be released to the medium when boiled in SDS (Figure 4). This suggested that we have obtained some enzyme-support covalent bonds for each enzyme molecule [61,64]. That way, we have been able to sort out the problems of the use of this support to prepare an interfacially activated and covalently immobilized TLL on this support.
Figure 3.
Immobilization course of TLL on Purolite C18-EDA-VS beads using an enzyme loading of 20 mg/g. The immobilization was performed in 5 mM sodium acetate at 25 °C and pH 5.0. Squares: reference and circles: supernatant. Other specifications are described in Methods.
Figure 4.
SDS-PAGE analysis of different TLL biocatalysts. Lane 1: Low-weight molecular markers; Lane 2: Purolite C18-TLL (0.1 g/mL rupture buffer); Lane 3: Purolite C18-VS-TLL-Asp (0.1 g/mL rupture buffer); Lane 4: Purolite C18-EDA-VS-TLL-Asp (0.1 g/mL rupture buffer). Other specifications are described in Methods.
2.3. Optimization of the Purolite C18-EDA-VS-TLL Biocatalyst
It has been shown in some papers how the blocking step can greatly alter the lipase features when immobilized on supports activated with vinyl sulfone (mono or heterofunctional supports) [52,53,54,55,59,60]. That way, in this instance, we blocked the remaining VS groups in the biocatalyst with four different compounds. Three are amino acids, a small one bearing the same number of cationic and anionic groups (Gly), another larger one but also bearing a cationic and an anionic group (Cys), and the last one bearing a cationic and two anionic groups (Asp). We also used ethylenediamine (EDA) bearing two cationic groups. It should be considered that in this instance, all biocatalysts already have EDA (even under the VS groups) and octadecyl groups; that way, the effect of the modification of the remaining VS groups could be smaller than those found in other instances.
However, this was not the case. Table 1 shows the activities of the four Purolite C18-EDA-VS-TLL biocatalysts versus triacetin, R- or S-methyl mandelate, compared to that of Purolite C18-TLL biocatalyst. For all biocatalysts, the highest activity was obtained using triacetin, and the enzyme was more active versus R- than versus S-methyl mandelate. Similar behavior was previously reported by Guimarães et al. [65] using octyl-agarose as support, but all biocatalysts had a triacetin activity at least five-fold less than the biocatalysts prepared in Purolite (all biocatalysts had protein loads of around 10 mg/g). The most active biocatalyst with all substrates was Purolite C18-TLL, but there are large differences among the Purolite C18-VS-TLL biocatalysts. The blocking with Cys always produced the highest decrease in enzyme activity, from 60% using triacetin to around 70% using R-methyl mandelate and 30% for the S-isomer. That way, the R/S activity ratio was increased from 7 using Purolite C18-TLL to 17.8 using Purolite C18-EDA-VS-TLL-Cys. The most active Purolite C18-VS-TLL biocatalyst using triacetin was Purolite C18-EDA-VS-TLL-Asp, shortly followed by Purolite C18-EDA-VS-TLL-Gly, being the less active among these three Purolite C18-EDA-VS-TLL-EDA (showing over 85% of the activity of the Purolite C18- TLL). However, Purolite C18-EDA-VS-TLL-EDA was the most active versus R-methyl mandelate, maintaining the values of Purolite C18-TLL, being the activities of the other two preparations very similar and 90% of this value. Moving the S-methyl mandelate, again Purolite C18-EDA-VS-TLL-EDA was the least active, and the other two biocatalysts gave similar activities (2/3 of the activity of Purolite C18- TLL). That way, Purolite C18-EDA-VS-TLL-EDA presented the highest R/S activity ratio (20), approximately three-fold higher than that of the Purolite C18-TLL. This showed how the enzyme specificity can also be tuned in the blocking step using this trifunctional support [52,53,54,55,59,60]. Here, the R/S activity ratio was much higher (up to around 28 times) than those of commercial immobilized lipases (Lipozyme® TL, Lipozyme® 435, Lipozyme® RM, and LipuraSelect) reported by Guimarães et al. [66]. Previously using octyl-agarose as support, the biocatalyst agarose C8-VS-TLL-EDA also yielded an increase of the R/S activity ratio of around three-fold compared to the agarose C8-TLL, but the R/S activity ratio ranged from 2 to 5 [65].
Table 1.
Mass activity of different biocatalysts with 50 mM triacetin and 50 mM R- or S-methyl mandelate in 50 mM sodium phosphate at pH 7 and 25 °C. Experiments were conducted as described in Methods.
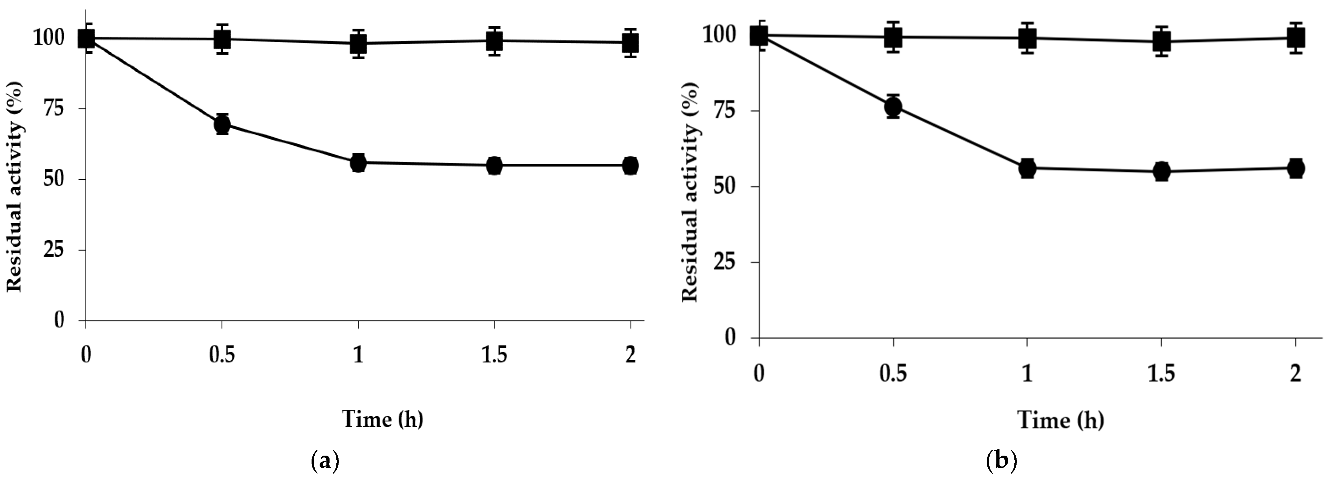
Next, we analyzed the effect of the blocking step on the biocatalyst’s stabilities (Figure 5). We have included in the study the enzyme immobilized on octyl agarose, a biocatalyst considered highly stabilized [54], to show the advantages of Purolite C18; the enzyme is more stable when immobilized on Purolite C18 (agarose-octyl-TLL retained less than 10% of the initial activity after 4 h of incubation at 75 °C and pH 7, while Purolite C18-TLL retained almost 55%). The different Purolite C18-VS-TLL biocatalysts presented very different stabilities. The most stable one was the biocatalyst blocked with Cys. This biocatalyst even showed an initial increase in its activity when incubated at high temperatures and maintained next to 90% of the initial activity after 4 h of inactivation. The initial increase of enzyme activity can be promoted by some conformational changes that can produce a structure more similar to the native one, as this was the one that had lost more activity versus the three assayed substrates during its preparation. The biocatalysts blocked with Asp presented thermal stability slightly under that of Purolite C18-TLL, while Purolite C18-EDA-VS-TLL-EDA and even more Purolite C18-EDA-VS-TLL-Gly were slightly more stable.
Figure 5.
Inactivation courses of different TLL biocatalysts in 10 mM Tris-HCl buffer at pH 7.0 and 75 °C. Other specifications are described in Methods. Agarose-octyl-TLL (◇); Purolite C18-TLL (☐); Purolite C18-EDA-VS-TLL-Gly (◆); Purolite C18-EDA-VS-TLL-EDA (▲); Purolite C18-EDA-VS-TLL-Asp (●); Purolite C18-EDA-VS-TLL-Cys (■).
That way, the blocking step produced biocatalysts with quite different functional features that have been previously correlated to changes in the enzyme conformation [43], even using these trifunctional supports.
3. Materials and Methods
3.1. Materials
Liquid TLL formulation with 20.8 mg protein/mL (kindly donated by Novozymes Spain (Madrid, Spain)) was utilized in this paper. Bradford’s reagent (utilized to calculate the protein concentration [67]), p-nitrophenyl-butyrate (p-NPB), triacetin, R- and S-methyl mandelate, acetonitrile for HPLC (gradient grade, purity ≥99.9%), sodium periodate, sodium borohydride, ethylenediamine (EDA), and the amino acids Gly, Asp, and Cys were purchased from Sigma-Aldrich (St. Louis, MO, USA). Divinyl-sulfone (DVS) was purchased from Thermo Fisher Scientific Spain (Madrid, Spain). Purolite Lifetech®® ECR8806F (methacrylate macroporous resin containing octadecyl–C18–groups) (Purolite C18) was kindly donated from Purolite Ltd. (Wales, UK). All other reagents were of analytical grade. Elemental analyses were performed by CAI de Microanálisis Elemental, Universidad Complutense, using a Leco 932 CHNS combustion microanalyzer.
3.2. Methods
All experiments were performed at least in triplicate, and the values are presented as mean values and standard deviation.
3.2.1. Wetting of Purolite C18 Beads
Prior to use, 1 g of Purolite C18 beads were suspended in 5 mL of methanol and kept under gentle agitation for 1 h to remove the air inside the particles [56]. Subsequently, 5 mL of distilled water was added, maintaining the stirring for 15 min. Afterward, the suspensions were vacuum filtered, washed 10 times with 20 volumes of distilled water, and stored at 4–6 °C.
3.2.2. Preparation of Octadecyl-Vinyl Sulfone Purolite Beads
The octadecyl-vinyl sulfone (VS) Purolite support was prepared under two conditions following the methodology described by Albuquerque et al. [43].
In the first condition, 10 g of Purolite C18 beads was added to 200 mL of 350 mM divinyl-sulfone prepared in 333 mM sodium carbonate at pH 11.5. The suspension was incubated at room temperature under gentle stirring for 2 h. After, the vinyl-sulfone-octadecyl support was vacuum filtered, washed 10 times with 20 volumes of distilled water, and stored at 4–6 °C.
In the second condition, an amount of 200 μmol of sodium periodate per g of support was added to a suspension of Purolite C18 beads (0.1 g/mL) prepared in distilled water to oxidize the support-producing aldehyde groups. The oxidation process was monitored by spectroscopy at 450 nm (isosbestic point), adding 100 microliters of the oxidation suspension to a mixture of 1 mL of sodium bicarbonate saturated solution and 1 mL of 1 M potassium iodide. Oxidation took place under gentle agitation for 3 h at 25 °C. Then, the suspension was vacuum filtered and washed 10 times with 20 volumes of distilled water. After recovery, the support was resuspended in 2 M EDA at pH 10.0 (1:10 ratio, w/v). The suspension was incubated with gentle agitation for 48 h. Then, solid sodium borohydride was added to reach a concentration of 10 mg/mL. The reduction was carried out under gentle stirring for 30 min. Next, the suspension was vacuum filtered and washed 10 times with 20 volumes of distilled water to recover the activated support. After, 10 g of the aminated support was added to 200 mL of 350 mM divinyl-sulfone prepared in 333 mM sodium carbonate at pH 11.5 under gently stirring for 2 h. Subsequently, the support was vacuum filtered, washed 10 times with 20 volumes of distilled water, and stored at 4–6 °C.
3.2.3. TLL Immobilization
Immobilization of Lipases on Wet Purolite C18 Beads
TLL was immobilized by interfacial activation in previously hydrated Purolite®® C18 beads using an enzyme load of 20 mg/g. An excess of enzyme was utilized to ensure that the support surface was fully coated with the enzyme. 10 g of support was added to 100 mL of enzyme solution prepared in 5 mM sodium phosphate at pH 7.0. The immobilization was conducted at room temperature under gentle stirring for 2 h, measuring the activity in supernatant and reference using p-NPB assay. Afterward, the suspensions were vacuum filtered, washed 10 times with 20 volumes of distilled water, and stored at 4–6 °C.
Immobilization of Lipases on Octadecyl-Vinyl Sulfone Purolite Beads
10 g of support was added to 10 mL of enzyme solution prepared in 5 mM sodium acetate at pH 5.0 (enzyme loads of 20 mg/g, exceeding the maximum load capacity of the support in purpose). The pH 5.0 was used to favor interfacial activation as the main first cause for enzyme immobilization [43]. The immobilization was conducted at room temperature under gentle stirring for 2 h, measuring the activity in supernatant and reference using p-NPB assay. The enzyme immobilized on this support almost expressed no activity versus this substrate. Afterward, the suspensions were vacuum filtered and washed 10 times with 20 volumes of distilled water. After recovery, 1 g of the immobilized enzyme was suspended in 10 mL of 100 mM sodium carbonate at pH 10.0. The suspension was incubated at room temperature for 24 h to favor the formation of covalent bonds between enzyme support. Afterward, the biocatalysts were vacuum filtered. After recovery, 1 g of biocatalyst was added to 10 mL of 2 M blocking agent (Gly, Asp, Cys, or EDA) at pH 10.0. The modification of the remaining vinyl sulfone was carried out at 25 °C under gentle agitation for 48 h. Subsequently, the support was vacuum filtered, washed 10 times with 20 volumes of distilled water, and stored at 4–6 °C.
3.2.4. SDS-PAGE Analysis
SDS-PAGE analyses were performed following the methodology described by Laemmli [68]. Samples were suspended in rupture buffer (0.1 g immobilized enzyme/mL of solution) and boiled for 5 min. After this period, the support was centrifuged at 10,000 rpm for 5 min. Proteins not covalently immobilized to the support were released into the supernatant by this treatment [61]. Of the supernatant, 14 μL aliquots were used to perform SDS-PAGE analysis at 100 V. 5 μL of low molecular weight marker proteins (LMW-SDS Marker 14.4–97 kDa) were used as a standard. The gel was stained using Coomassie brilliant blue.
3.2.5. Thermal Inactivation of the Different TLL Preparations
In a standard experiment, the immobilized biocatalyst was suspended in 10 mM Tris-HCl (1:10 ratio, w/v) at pH 7.0 and incubated at 75 °C. Phosphate was avoided due to the detrimental effect of this anion on lipases immobilized via interfacial activation [69]. Periodically, 50 μL of the inactivation suspensions were collected to determine their residual activities. Residual activities were defined as the current activity divided by the initial percentage. The experiments were carried out using triacetin as a substrate.
3.2.6. Enzyme Activity Assays
One unit of activity (U) was defined as the amount of enzyme that hydrolyzes one µmol of substrate per minute under the described conditions.
Hydrolysis of p-NPB
A total of 50 μL of a soluble enzyme solution or supernatant of enzyme suspension (e.g., in enzyme immobilization suspensions) was added to a mixture of 50 mL of 10 mM p-NPB prepared in acetonitrile and 2.5 mL of 25 mM sodium phosphate at pH 7.0. The hydrolysis was conducted using a thermostatization system at 25 °C under magnetic stirring for 1.5 min. The p-nitrophenol released into the medium was monitored by spectrophotometry at 348 nm (isosbestic point) to determine the hydrolytic activity (ε = 5150 M−1 cm−1) [70].
Hydrolysis of Triacetin
A total of 50 mg of immobilized enzyme was added to 3 mL of 50 mM of triacetin prepared in 50 mM of sodium phosphate at pH 7.0. The reaction was carried out at room temperature under gentle stirring. The quantification of hydrolysis was determined by quantifying the released 1,2 diacetin (under these conditions, the produced 1,2 diacetin undergoes acyl migration giving 1,3 diacetin) in the reaction medium [71]. A Waters 486 chromatograph (Waters, Milford, MA, USA) presenting a Kromasil C18 column (15 cm × 0.46 cm) and a UV/VIS detector (set to 230 nm) were employed in the analyses to determine the degree of conversion (two points over 5% and under 25%, to ensure linearity and minimize experimental error) and enzymatic activity. The mobile phase was composed of 85% (v/v) water and 15% (v/v) acetonitrile with a flow rate of 1 mL/min. The retention times were 4 min for 1,2 and 1,3 diacetins (under these conditions, they eluted at the same retention time) and 18 min for triacetin [72].
Hydrolysis of R- or S-Methyl Mandelate
A total of 50 mg of immobilized lipase was added to 3 mL of 50 mM R- or S-methyl mandelate in 50 mM sodium phosphate at pH 7.0. The reaction was carried out at room temperature under gentle stirring. The quantification of hydrolysis degree was determined by the determination of the released mandelic acid in the reaction medium. A Waters 486 chromatograph (Waters, Milford, MA, USA) presenting a Kromasil C18 column (15 cm × 0.46 cm) and a UV/VIS detector (set to 230 nm) was employed in the analyses to determine the degree of conversion (two points over 5% and under 25% conversion, to ensure linearity and minimize experimental error caused by the initial acid content of the samples) and enzymatic activity [55]. The mobile phase was 10 mM ammonium acetate and acetonitrile (65–35% (v/v)) at pH 2.8 with a flow rate of 1 mL/min. The retention times were 2.5 min for mandelic acid and 4.2 min for the R- or S-methyl mandelate [54]. Activities ratio was defined as activity versus the R-isomer/activity versus the S-isomer.
4. Conclusions
The use of Purolite C18-EDA-VS has permitted obtaining a TLL biocatalyst that is first immobilized via interfacial activation and later covalent attached to the support, preventing any risk of enzyme release. The enzyme immobilized on Purolite C18 was significantly more stable than the enzyme immobilized on octyl agarose showing great interest in this biocatalyst. The blocking step of the Purolite C18-EDA-VS biocatalyst was found to be a critical one in the preparation of the biocatalyst, as it determines not only the enzyme activity and specificity but also enzyme stability. The selection of the optimal biocatalysts must be performed after an empiric study, as some modifications are negative for the activity versus a substrate and positive versus others.
Author Contributions
J.R.G.: conceptualization, methodology, investigation, visualization, formal analysis, writing—review and editing. D.C.: investigation, visualization, formal analysis, writing—review and editing. J.R.-M.: resources, conceptualization, writing—review and editing, supervision. P.W.T.: resources, conceptualization, writing—review and editing, supervision. R.F.-L.: resources, conceptualization, methodology, writing—original draft, review and editing, supervision. A.R.A.: investigation, writing—review and editing, All authors have read and agreed to the published version of the manuscript.
Funding
This research was funded by Coordenação de Aperfeiçoamento de Pessoal de Nível Superior–Brasil (CAPES, Finance Code 001; CAPES-PRINT, number 88887.571985/2020-00), MCIN/ AEI/10.13039/501100011033 (PID2021-122398OB-I00) and PID2019-105337RB-C22. D.C. thanks to Ministerio de Ciencia e Innovación-Spanish Government by an FPI.
Data Availability Statement
Not applicable.
Acknowledgments
The help and suggestions from Ángel Berenguer (Departamento de Química Inorgánica, Universidad de Alicante) are gratefully recognized.
Conflicts of Interest
The authors declare no conflict of interest.
References
- Vivek, K.; Sandhia, G.S.; Subramaniyan, S. Extremophilic lipases for industrial applications: A general review. Biotechnol. Adv. 2022, 60, 108002. [Google Scholar] [CrossRef] [PubMed]
- Abdulmalek, S.A.; Yan, Y. Recent developments of lipase immobilization technology and application of immobilized lipase mixtures for biodiesel production. Biofuels Bioprod. Biorefin. 2022, 16, 1062–1094. [Google Scholar] [CrossRef]
- Nimkande, V.D.; Bafana, A. A review on the utility of microbial lipases in wastewater treatment. J. Water Process Eng. 2022, 46, 102591. [Google Scholar] [CrossRef]
- Patti, A.; Sanfilippo, C. Stereoselective promiscuous reactions catalyzed by lipases. Int. J. Mol. Sci. 2022, 23, 2675. [Google Scholar] [CrossRef] [PubMed]
- Remonatto, D.; Miotti, R.H., Jr.; Monti, R.; Bassan, J.C.; de Paula, A.V. Applications of immobilized lipases in enzymatic reactors: A review. Process Biochem. 2022, 114, 1–20. [Google Scholar] [CrossRef]
- Soni, S. Trends in lipase engineering for enhanced biocatalysis. Biotechnol. Appl. Biochem. 2021, 69, 265–272. [Google Scholar] [CrossRef]
- Ismail, A.R.; Kashtoh, H.; Baek, K.-H. Temperature-resistant and solvent-tolerant lipases as industrial biocatalysts: Biotechnological approaches and applications. Int. J. Biol. Macromol. 2021, 187, 127–142. [Google Scholar] [CrossRef]
- Mhetras, N.; Mapare, V.; Gokhale, D. Cold active lipases: Biocatalytic tools for greener technology. Appl. Biochem. Biotechnol. 2021, 193, 2245–2266. [Google Scholar] [CrossRef]
- Szymczak, T.; Cybulska, J.; Podleśny, M.; Frąc, M. Various perspectives on microbial lipase production using agri-food waste and renewable products. Agriculture 2021, 11, 540. [Google Scholar] [CrossRef]
- Ismail, A.R.; Baek, K.-H. Lipase immobilization with support materials, preparation techniques, and applications: Present and future aspects. Int. J. Biol. Macromol. 2020, 163, 1624–1639. [Google Scholar] [CrossRef]
- Chandra, P.; Enespa; Singh, R.; Arora, P.K. Microbial lipases and their industrial applications: A comprehensive review. Microb. Cell Fact. 2020, 19, 169. [Google Scholar] [CrossRef]
- Priyanka, P.; Tan, Y.; Kinsella, G.K.; Henehan, G.T.; Ryan, B.J. Solvent stable microbial lipases: Current understanding and biotechnological applications. Biotechnol. Lett. 2019, 41, 203–220. [Google Scholar] [CrossRef]
- Peña-García, C.; Martínez-Martínez, M.; Reyes-Duarte, D.; Ferrer, M. High throughput screening of esterases, lipases and phospholipases in mutant and metagenomic libraries: A review. Comb. Chem. High Throughput Screen. 2016, 19, 605–615. [Google Scholar] [CrossRef]
- Ferrer, M.; Bargiela, R.; Martínez-Martínez, M.; Mir, J.; Koch, R.; Golyshina, O.V.; Golyshin, P.N. Biodiversity for biocatalysis: A review of the α/β-hydrolase fold superfamily of esterases-lipases discovered in metagenomes. Biocatal. Biotransform. 2015, 33, 235–249. [Google Scholar] [CrossRef]
- Hamdan, S.H.; Maiangwa, J.; Ali, M.S.M.; Normi, Y.M.; Sabri, S.; Leow, T.C. Thermostable lipases and their dynamics of improved enzymatic properties. Appl. Microbiol. Biotechnol. 2021, 105, 7069–7094. [Google Scholar] [CrossRef]
- Kumar, R.; Goomber, S.; Kaur, J. Engineering lipases for temperature adaptation: Structure function correlation. Biochim. Biophys. Acta—Proteins Proteom. 2019, 1867, 140261. [Google Scholar] [CrossRef]
- Anobom, C.D.; Pinheiro, A.S.; De-Andrade, R.A.; Aguieiras, E.C.G.; Andrade, G.C.; Moura, M.V.; Almeida, R.V.; Freire, D.M. From structure to catalysis: Recent developments in the biotechnological applications of lipases. Biomed Res. Int. 2014, 2014, 684506. [Google Scholar] [CrossRef]
- Zhao, G.; Wang, J.; Tang, Q.; Lan, D.; Wang, Y. Improving the catalytic activity and thermostability of MAS1 lipase by alanine substitution. Mol. Biotechnol. 2018, 60, 319–328. [Google Scholar] [CrossRef]
- Ravi, B.; Banerjee, U.; Mehrotra, S.; Mehrotra, R. Engineering lipases for enhanced catalysis. Curr. Chem. Biol. 2013, 7, 114–120. [Google Scholar] [CrossRef]
- Noro, J.; Cavaco-Paulo, A.; Silva, C. Chemical modification of lipases: A powerful tool for activity improvement. Biotechnol. J. 2022, 17, 2100523. [Google Scholar] [CrossRef]
- Sheldon, R.A.; van Pelt, S. Enzyme immobilisation in biocatalysis: Why, what and how. Chem. Soc. Rev. 2013, 42, 6223–6235. [Google Scholar] [CrossRef] [PubMed]
- Guisan, J.M.; Fernandez-Lorente, G.; Rocha-Martin, J.; Moreno-Gamero, D. Enzyme immobilization strategies for the design of robust and efficient biocatalysts. Curr. Opin. Green Sustain. Chem. 2022, 35, 100593. [Google Scholar] [CrossRef]
- Bié, J.; Sepodes, B.; Fernandes, P.C.B.; Ribeiro, M.H.L. Enzyme immobilization and co-immobilization: Main framework, advances and some applications. Processes 2022, 10, 494. [Google Scholar] [CrossRef]
- Almeida, F.L.C.; Prata, A.S.; Forte, M.B.S. Enzyme immobilization: What have we learned in the past five years? Biofuels Bioprod. Biorefin. 2022, 16, 587–608. [Google Scholar] [CrossRef]
- Rodrigues, R.C.; Berenguer-Murcia, Á.; Carballares, D.; Morellon-Sterling, R.; Fernandez-Lafuente, R. Stabilization of enzymes via immobilization: Multipoint covalent attachment and other stabilization strategies. Biotechnol. Adv. 2021, 52, 107821. [Google Scholar] [CrossRef]
- Bolivar, J.M.; Woodley, J.M.; Fernandez-Lafuente, R. Is enzyme immobilization a mature discipline? Some critical considerations to capitalize on the benefits of immobilization. Chem. Soc. Rev. 2022, 51, 6251–6290. [Google Scholar] [CrossRef]
- Verger, R. ‘Interfacial activation’ of lipases: Facts and artifacts. Trends Biotechnol. 1997, 15, 32–38. [Google Scholar] [CrossRef]
- Brzozowski, A.M.; Derewenda, U.; Derewenda, Z.S.; Dodson, G.G.; Lawson, D.M.; Turkenburg, J.P.; Bjorkling, F.; Huge-Jensen, B.; Patkar, S.A.; Thim, L. A model for interfacial activation in lipases from the structure of a fungal lipase-inhibitor complex. Nature 1991, 351, 491–494. [Google Scholar] [CrossRef]
- van Tilbeurgh, H.; Egloff, M.-P.; Martinez, C.; Rugani, N.; Verger, R.; Cambillau, C. Interfacial activation of the lipase–procolipase complex by mixed micelles revealed by X-ray crystallography. Nature 1993, 362, 814–820. [Google Scholar] [CrossRef]
- Grochulski, P.; Li, Y.; Schrag, J.D.; Bouthillier, F.; Smith, P.; Harrison, D.; Rubin, B.; Cygler, M. Insights into interfacial activation from an open structure of Candida rugosa lipase. J. Biol. Chem. 1993, 268, 12843–12847. [Google Scholar] [CrossRef]
- Martinelle, M.; Holmquist, M.; Hult, K. On the interfacial activation of Candida antarctica lipase A and B as compared with Humicola lanuginosa lipase. Biochim. Biophys. Acta—Lipids Lipid Metab. 1995, 1258, 272–276. [Google Scholar] [CrossRef]
- Brzozowski, A.M.; Savage, H.; Verma, C.S.; Turkenburg, J.P.; Lawson, D.M.; Svendsen, A.; Patkar, S. Structural origins of the interfacial activation in Thermomyces (Humicola) lanuginosa lipase. Biochemistry 2000, 39, 15071–15082. [Google Scholar] [CrossRef]
- Ericsson, D.J.; Kasrayan, A.; Johansson, P.; Bergfors, T.; Sandström, A.G.; Bäckvall, J.-E.; Mowbray, S.L. X-ray structure of Candida antarctica lipase A shows a novel lid structure and a likely mode of interfacial activation. J. Mol. Biol. 2008, 376, 109–119. [Google Scholar] [CrossRef]
- Palomo, J.M.; Peñas, M.M.; Fernández-Lorente, G.; Mateo, C.; Pisabarro, A.G.; Fernández-Lafuente, R.; Ramírez, L.; Guisán, J.M. Solid-phase handling of hydrophobins: Immobilized hydrophobins as a new tool to study lipases. Biomacromolecules 2003, 4, 204–210. [Google Scholar] [CrossRef]
- Wang, P.; He, J.; Sun, Y.; Reynolds, M.; Zhang, L.; Han, S.; Liang, S.; Sui, H.; Lin, Y. Display of fungal hydrophobin on the Pichia pastoris cell surface and its influence on Candida antarctica lipase B. Appl. Microbiol. Biotechnol. 2016, 100, 5883–5895. [Google Scholar] [CrossRef]
- Palomo, J.M.; Fuentes, M.; Fernández-Lorente, G.; Mateo, C.; Guisan, J.M.; Fernández-Lafuente, R. General trend of lipase to self-assemble giving bimolecular aggregates greatly modifies the enzyme functionality. Biomacromolecules 2003, 4, 1–6. [Google Scholar] [CrossRef]
- Manoel, E.A.; dos Santos, J.C.S.; Freire, D.M.G.; Rueda, N.; Fernandez-Lafuente, R. Immobilization of lipases on hydrophobic supports involves the open form of the enzyme. Enzym. Microb. Technol. 2015, 71, 53–57. [Google Scholar] [CrossRef]
- Rodrigues, R.C.; Virgen-Ortíz, J.J.; dos Santos, J.C.S.; Berenguer-Murcia, Á.; Alcantara, A.R.; Barbosa, O.; Ortiz, C.; Fernandez-Lafuente, R. Immobilization of lipases on hydrophobic supports: Immobilization mechanism, advantages, problems, and solutions. Biotechnol. Adv. 2019, 37, 746–770. [Google Scholar] [CrossRef]
- Rueda, N.; Dos Santos, J.C.S.; Torres, R.; Ortiz, C.; Barbosa, O.; Fernandez-Lafuente, R. Improved performance of lipases immobilized on heterofunctional octyl-glyoxyl agarose beads. RSC Adv. 2015, 5, 11212–11222. [Google Scholar] [CrossRef]
- Virgen-Ortíz, J.J.; Tacias-Pascacio, V.G.; Hirata, D.B.; Torrestiana-Sanchez, B.; Rosales-Quintero, A.; Fernandez-Lafuente, R. Relevance of substrates and products on the desorption of lipases physically adsorbed on hydrophobic supports. Enzym. Microb. Technol. 2017, 96, 30–35. [Google Scholar] [CrossRef]
- Hirata, D.B.; Albuquerque, T.L.; Rueda, N.; Virgen-Ortíz, J.J.; Tacias-Pascacio, V.G.; Fernandez-Lafuente, R. Evaluation of different immobilized lipases in transesterification reactions using tributyrin: Advantages of the heterofunctional octyl agarose beads. J. Mol. Catal. B Enzym. 2016, 133, 117–123. [Google Scholar] [CrossRef]
- Rueda, N.; Albuquerque, T.L.; Bartolome-Cabrero, R.; Fernandez-Lopez, L.; Torres, R.; Ortiz, C.; Dos Santos, J.C.S.; Barbosa, O.; Fernandez-Lafuente, R. Reversible immobilization of lipases on heterofunctional octyl-amino agarose beads prevents enzyme desorption. Molecules 2016, 21, 646. [Google Scholar] [CrossRef] [PubMed]
- Albuquerque, T.L.D.; Rueda, N.; Dos Santos, J.C.S.; Barbosa, O.; Ortiz, C.; Binay, B.; Özdemir, E.; Gonçalves, L.R.B.; Fernandez-Lafuente, R. Easy stabilization of interfacially activated lipases using heterofunctional divinyl sulfone activated-octyl agarose beads. Modulation of the immobilized enzymes by altering their nanoenvironment. Process Biochem. 2016, 51, 865–874. [Google Scholar] [CrossRef]
- Suescun, A.; Rueda, N.; Dos Santos, J.C.S.; Castillo, J.J.; Ortiz, C.; Torres, R.; Barbosa, O.; Fernandez-Lafuente, R. Immobilization of lipases on glyoxyl-octyl supports: Improved stability and reactivation strategies. Process Biochem. 2015, 50, 1211–1217. [Google Scholar] [CrossRef]
- Bernal, C.; Illanes, A.; Wilson, L. Heterofunctional hydrophilic–hydrophobic porous silica as support for multipoint covalent immobilization of lipases: Application to lactulose palmitate synthesis. Langmuir 2014, 30, 3557–3566. [Google Scholar] [CrossRef]
- Bernal, C.; Illanes, A.; Wilson, L. Improvement of efficiency in the enzymatic synthesis of lactulose palmitate. J. Agric. Food Chem. 2015, 63, 3716–3724. [Google Scholar] [CrossRef]
- Guajardo, N.; Bernal, C.; Wilson, L.; Cabrera, Z. Asymmetric hydrolysis of dimethyl-3-phenylglutarate in sequential batch reactor operation catalyzed by immobilized Geobacillus thermocatenulatus lipase. Catal. Today 2015, 255, 21–26. [Google Scholar] [CrossRef]
- Guajardo, N.; Bernal, C.; Wilson, L.; Cabrera, Z. Selectivity of R-α-monobenzoate glycerol synthesis catalyzed by Candida antarctica lipase B immobilized on heterofunctional supports. Process Biochem. 2015, 50, 1870–1877. [Google Scholar] [CrossRef]
- Boros, Z.; Weiser, D.; Márkus, M.; Abaháziová, E.; Magyar, Á.; Tomin, A.; Koczka, B.; Kovács, P.; Poppe, L. Hydrophobic adsorption and covalent immobilization of Candida antarctica lipase B on mixed-function-grafted silica gel supports for continuous-flow biotransformations. Process Biochem. 2013, 48, 1039–1047. [Google Scholar] [CrossRef]
- Vescovi, V.; Kopp, W.; Guisán, J.M.; Giordano, R.L.C.; Mendes, A.A.; Tardioli, P.W. Improved catalytic properties of Candida antarctica lipase B multi-attached on tailor-made hydrophobic silica containing octyl and multifunctional amino- glutaraldehyde spacer arms. Process Biochem. 2016, 51, 2055–2066. [Google Scholar] [CrossRef]
- Rios, N.S.; Mendez-Sanchez, C.; Arana-Peña, S.; Rueda, N.; Ortiz, C.; Gonçalves, L.R.B.; Fernandez-Lafuente, R. Immobilization of lipase from Pseudomonas fluorescens on glyoxyl-octyl-agarose beads: Improved stability and reusability. Biochim. Biophys. Acta—Proteins Proteom. 2019, 1867, 741–747. [Google Scholar] [CrossRef]
- dos Santos, J.C.S.; Rueda, N.; Barbosa, O.; Fernández-Sánchez, J.F.; Medina-Castillo, A.L.; Ramón-Márquez, T.; Arias-Martos, M.C.; Millán-Linares, M.C.; Pedroche, J.; Yust, M.D.M.; et al. Characterization of supports activated with divinyl sulfone as a tool to immobilize and stabilize enzymes via multipoint covalent attachment. Application to chymotrypsin. RSC Adv. 2015, 5, 20639–20649. [Google Scholar] [CrossRef]
- dos Santos, J.C.S.; Rueda, N.; Sanchez, A.; Villalonga, R.; Gonçalves, L.R.B.; Fernandez-Lafuente, R. Versatility of divinylsulfone supports permits the tuning of CALB properties during its immobilization. RSC Adv. 2015, 5, 35801–35810. [Google Scholar] [CrossRef]
- dos Santos, J.C.S.; Rueda, N.; Gonçalves, L.R.B.; Fernandez-Lafuente, R. Tuning the catalytic properties of lipases immobilized on divinylsulfone activated agarose by altering its nanoenvironment. Enzym. Microb. Technol. 2015, 77, 1–7. [Google Scholar] [CrossRef]
- Souza, P.M.P.; Carballares, D.; Lopez-Carrobles, N.; Gonçalves, L.R.B.; Lopez-Gallego, F.; Rodrigues, S.; Fernandez-Lafuente, R. Enzyme-support interactions and inactivation conditions determine Thermomyces lanuginosus lipase inactivation pathways: Functional and florescence studies. Int. J. Biol. Macromol. 2021, 191, 79–91. [Google Scholar] [CrossRef]
- Tacias-Pascacio, V.G.; Virgen-Ortíz, J.J.; Jiménez-Pérez, M.; Yates, M.; Torrestiana-Sanchez, B.; Rosales-Quintero, A.; Fernandez-Lafuente, R. Evaluation of different lipase biocatalysts in the production of biodiesel from used cooking oil: Critical role of the immobilization support. Fuel 2017, 200, 1–10. [Google Scholar] [CrossRef]
- Tacias-Pascacio, V.G.; Torrestiana-Sánchez, B.; Dal Magro, L.; Virgen-Ortíz, J.J.; Suárez-Ruíz, F.J.; Rodrigues, R.C.; Fernandez-Lafuente, R. Comparison of acid, basic and enzymatic catalysis on the production of biodiesel after RSM optimization. Renew. Energy 2019, 135, 1–9. [Google Scholar] [CrossRef]
- Ching-Velasquez, J.; Fernández-Lafuente, R.; Rodrigues, R.C.; Plata, V.; Rosales-Quintero, A.; Torrestiana-Sánchez, B.; Tacias-Pascacio, V.G. Production and characterization of biodiesel from oil of fish waste by enzymatic catalysis. Renew. Energy 2020, 153, 1346–1354. [Google Scholar] [CrossRef]
- Zaak, H.; Sassi, M.; Fernandez-Lafuente, R. A new heterofunctional amino-vinyl sulfone support to immobilize enzymes: Application to the stabilization of β-galactosidase from Aspergillus oryzae. Process Biochem. 2018, 64, 200–205. [Google Scholar] [CrossRef]
- Pinheiro, B.B.; Rios, N.S.; Rodríguez Aguado, E.; Fernandez-Lafuente, R.; Freire, T.M.; Fechine, P.B.A.; dos Santos, J.C.S.; Gonçalves, L.R.B. Chitosan activated with divinyl sulfone: A new heterofunctional support for enzyme immobilization. Application in the immobilization of lipase B from Candida antarctica. Int. J. Biol. Macromol. 2019, 130, 798–809. [Google Scholar] [CrossRef]
- Virgen-Ortíz, J.J.; Peirce, S.; Tacias-Pascacio, V.G.; Cortes-Corberan, V.; Marzocchella, A.; Russo, M.E.; Fernandez-Lafuente, R. Reuse of anion exchangers as supports for enzyme immobilization: Reinforcement of the enzyme-support multiinteraction after enzyme inactivation. Process Biochem. 2016, 51, 1391–1396. [Google Scholar] [CrossRef]
- Morellon-Sterling, R.; Siar, E.-H.; Braham, S.A.; de Andrades, D.; Pedroche, J.; Millán, M.D.C.; Fernandez-Lafuente, R. Effect of amine length in the interference of the multipoint covalent immobilization of enzymes on glyoxyl agarose beads. J. Biotechnol. 2021, 329, 128–142. [Google Scholar] [CrossRef] [PubMed]
- Ait Braham, S.; Hussain, F.; Morellon-Sterling, R.; Kamal, S.; Kornecki, J.F.; Barbosa, O.; Kati, D.E.; Fernandez-Lafuente, R. Cooperativity of covalent attachment and ion exchange on alcalase immobilization using glutaraldehyde chemistry: Enzyme stabilization and improved proteolytic activity. Biotechnol. Prog. 2019, 35, e2768. [Google Scholar] [CrossRef] [PubMed]
- Virgen-Ortíz, J.; Pedrero, S.; Fernandez-Lopez, L.; Lopez-Carrobles, N.; Gorines, B.; Otero, C.; Fernandez-Lafuente, R. Desorption of lipases immobilized on octyl-agarose beads and coated with ionic polymers after thermal inactivation. Stronger adsorption of polymers/unfolded protein composites. Molecules 2017, 22, 91. [Google Scholar] [CrossRef] [PubMed]
- Guimarães, J.R.; Carballares, D.; Rocha-Martin, J.; Tardioli, P.W.; Fernandez-Lafuente, R. The immobilization protocol greatly alters the effects of metal phosphate modification on the activity/stability of immobilized lipases. Int. J. Biol. Macromol. 2022, 222, 2452–2466. [Google Scholar] [CrossRef]
- Guimarães, J.R.; Carballares, D.; Tardioli, P.W.; Rocha-Martin, J.; Fernandez-Lafuente, R. Tuning immobilized commercial lipase preparations features by simple treatment with metallic phosphate salts. Molecules 2022, 27, 4486. [Google Scholar] [CrossRef]
- Bradford, M.M. A rapid and sensitive method for the quantitation of microgram quantities of protein utilizing the principle of protein-dye binding. Anal. Biochem. 1976, 72, 248–254. [Google Scholar] [CrossRef]
- Laemmli, U.K. Cleavage of structural proteins during the assembly of the head of bacteriophage T4. Nature 1970, 227, 680–685. [Google Scholar] [CrossRef]
- Zaak, H.; Fernandez-Lopez, L.; Velasco-Lozano, S.; Alcaraz-Fructuoso, M.T.; Sassi, M.; Lopez-Gallego, F.; Fernandez-Lafuente, R. Effect of high salt concentrations on the stability of immobilized lipases: Dramatic deleterious effects of phosphate anions. Process Biochem. 2017, 62, 128–134. [Google Scholar] [CrossRef]
- Lombardo, D.; Guy, O. Effect of alcohols on the hydrolysis catalyzed by human pancreatic carboxylic-ester hydrolase. Biochim. Biophys. Acta—Enzym. 1981, 657, 425–437. [Google Scholar] [CrossRef]
- Hernandez, K.; Garcia-Verdugo, E.; Porcar, R.; Fernandez-Lafuente, R. Hydrolysis of triacetin catalyzed by immobilized lipases: Effect of the immobilization protocol and experimental conditions on diacetin yield. Enzym. Microb. Technol. 2011, 48, 510–517. [Google Scholar] [CrossRef]
- Arana-Peña, S.; Lokha, Y.; Fernández-Lafuente, R. Immobilization on octyl-agarose beads and some catalytic features of commercial preparations of lipase a from Candida antarctica (Novocor ADL): Comparison with immobilized lipase B from Candida antarctica. Biotechnol. Prog. 2019, 35, e2735. [Google Scholar] [CrossRef]
Disclaimer/Publisher’s Note: The statements, opinions and data contained in all publications are solely those of the individual author(s) and contributor(s) and not of MDPI and/or the editor(s). MDPI and/or the editor(s) disclaim responsibility for any injury to people or property resulting from any ideas, methods, instructions or products referred to in the content. |
© 2023 by the authors. Licensee MDPI, Basel, Switzerland. This article is an open access article distributed under the terms and conditions of the Creative Commons Attribution (CC BY) license (https://creativecommons.org/licenses/by/4.0/).




