Abstract
In this study, a new hybrid sensor was developed using titanium oxide nanoparticles (TiO2-NPs) and nafion as an anchor agent on a glassy carbon electrode (GCE/TiO2-NPs-nafion) to detect efavirenz (EFV), an anti-HIV medication. TiO2-NPs was synthesized using Eucalyptus globulus leaf extract and characterized using ultraviolet–visible spectroscopy (UV–VIS), scanning electron microscopy (SEM), X-ray diffraction (XRD), and energy-dispersive spectroscopy (EDS). The electrochemical and sensing properties of the developed sensor for EFV were assessed using cyclic voltammetry (CV) and electrochemical impedance spectroscopy (EIS). The current response of GCE/TiO2-NPs-nafion electrode towards the oxidation of EFV was greater compared to the bare GCE and GCE/TiO2-NPs electrodes. A linear dynamic range of 4.5 to 18.7 µM with 0.01 µM limit of detection was recorded on the electrode using differential pulse voltammetry (DPV). The electrochemical sensor demonstrated good selectivity and practicality for detecting EFV in pharmaceuticals (EFV drugs) with excellent recovery rates, ranging from 92.0–103.9%. The reactive sites of EFV have been analyzed using quantum chemical calculations based on density functional theory (DFT). Monte Carlo (MC) simulations revealed a strong electrostatic interaction on the substrate-adsorbate (GCE/TiO2-NPs-nafion-EFV) system. Results show good agreement between the MC computed adsorption energies and the experimental CV results for EFV. The stronger adsorption energy of nafion onto the GCE/TiO2-NPs substrate contributed to the catalytic role in the signal amplification for sensing of EFV. Our results provide an effective way to explore the design of new 2D materials for sensing of EFV, which is highly significant in medicinal and materials chemistry.
1. Introduction
Efavirenz (EFV) is known as Sustiva in the marketplace, and it is a cost-effective option for the first line of antiretroviral treatment [1]. As such, it plays a crucial role in HIV treatment strategies [2]. The combination of EFV with other drugs of abuse for recreational purposes triggers toxicity [3]. Additionally, EFV is generally used in combination with other drugs to prevent HIV infections. It is also known to undergo photoreactions that could be exploited for use in photodynamic therapies, however, there is limited information on the photo-catalytic reactivity of EFV. Therefore, the development of an analytical tool to measure qualitative and quantitative properties of pharmaceutical products such as EFV is highly important.
For the measurement of EFV, different analytical tests have been established, including chromatographic [1,4,5,6,7,8,9,10,11], spectrophotometric methods [2,12], and electrophoresis [13,14]. These assays, on the other hand, are expensive and necessitate lengthy and arduous experimental procedures, solvent extraction, sample pre-treatment, optimized instruments, and a qualified analyst [3,15]. In contrast, electrochemical methods have attracted considerable interest in the field of drug analysis due to their simplicity, low cost, rapid reaction times, and high sensitivity without the necessity of extensive extraction or pre-treatment steps. However, very few reports are available on the electroanalytical methods for the analysis of the EFV [3,16,17,18]. The use of the nanostructured materials to modify the electrodes’ surfaces results in significant signal amplification, enhancing the sensitivity, stability, and selectivity of the synthesized sensors/biosensors. These enhancements are attributed to the critical role of the nanomaterials, which can create the effect of synchronization between the catalytic activity, electrical conductivity, and biocompatibility based on accelerating the signal transduction [19].
The method employed in the synthesis of nanoparticles involves chemical and green (biological) assays. In recent years, the green route of synthesizing nanoparticles has attracted much attention because it is eco-friendly, less toxic, and cost-effective in contrast to chemical methods of synthesis [20,21,22]. As a result, green synthesis of TiO2-NPs has been reported utilizing Jasmine flower extract [20], Syzygium cumini, and Azadirachta indica leaf extracts [23,24], black pepper (Piper nigrum), coriander (Coriandrum sativum) [25], clove (Syzygium aromaticum), and orange peel [26]. The synthesis of TiO2-NPs has been reported using Eucalyptusglobulus leaf extract with no application to electrode modification for sensing of EFV [27].
TiO2-NPs are among the most extensive metal oxide nanomaterials employed in modification of electrodes due to high surface area, thermal stability, biocompatibility, low toxicity, and a widespread band gap [28,29,30]. However, because of its great antifouling capability, high cation permeability, and strong adsorption ability, nafion has been widely used in electrode modification procedures [30,31]. Previous studies have shown that the integration of nafion with TiO2-NPs improves conductivity and sensitivity of sensors for the detection of analyte [19,30].
In this study, we present, for the first time, a novel and cost-effective sensor for the detection of EFV based on bioinspired green synthesized TiO2-NPs with nafion as an anchoring agent, supported on a glassy carbon electrode (GCE/TiO2-NPs-nafion). In order to explain the interactions between EFV and GCE/TiO2-NPs and GCE/TiO2-NPs-nafion electrode surfaces, adsorption energies were computed from MC simulations. DFT calculations were also carried out to better understand the reactive sites and electronic characteristics of EFV [32]. A complementary approach using a computational perspective allowed for an integrated cross-disciplinary approach which combines in silico design with experimental measurements, presenting a powerful new paradigm that solves issues in the development of novel sensors. A combination of simulations with quantum mechanical DFT calculations were therefore used as a predictive tool to guide the design of the electrode surface modification.
2. Results and Discussion
2.1. Computational Results
2.1.1. Frontier Molecular Orbitals from DFT Calculations
The DFT calculations of the 3D modelled EFV structure used to obtain the frontier molecular orbital helped to determine which part of the molecule contributed to the oxidation or reduction reaction [32]. Therefore, to support the oxidation mechanism of EFV in a more accurate way and to evaluate the chemical reactivity of EFV, the energy difference between the highest occupied molecular orbital (HOMO) and the lowest unoccupied molecular orbital (LUMO) of EFV was computed from DFT calculations. As seen in Figure 1, the HOMO and LUMO electron density is concentrated mostly on the benzoxazine ring with the lowest energy gap, Egap = 5.171 eV, making it more reactive, suggesting the benzoxazine ring as the main active site of EFV. The HOMO orbital energies describe the ability of molecules to donate electrons in general. The smaller value of band gap energy (Egap) in our situation provides a stronger reactivity for removing an electron from the highest occupied orbital to the lowest unoccupied orbital, implying that oxidation processes are more likely to occur because oxidation reactions tend to displace electrons from the HOMO. Therefore, less energy is required for the oxidation (loss of electrons) in comparison to the reduction (gain of electrons) reactions. Similarly, LUMO + 1 exhibited almost similar distribution of electron density. In contrast, LUMO + 2 and HOMO − 2 illustrated electron density over the whole molecule with only a small part localized on the oxazine ring for HOMO − 2 with the highest energy gap, ∆Egap = 7.325 eV. The alkyne, cyclopropyl, and carbonyl functionality of the oxazine ring were preferred locations for the HOMO + 1 electron density.
Figure 1.
Frontier molecular orbitals on optimized molecular structure of EFV computed at B3LYP/6-311 + G.
2.1.2. Monte Carlo Simulation
In order to examine the interaction patterns of EFV, a simulated annealing job was applied using the adsorption locator module of the Monte Carlo (MC) simulations to the substrates GCE/TiO2-NPs and GCE/TiO2-NPs-nafion loaded with EFV as an adsorbate molecule. For finding a low energy adsorption site, a MC-based function was utilized to find the most favorable configuration. Table 1 depicts the lowest adsorption energy values for the adsorbate-substrate system modelled in a systematic way under periodic boundary conditions.
Table 1.
Calculated adsorption energy for the substrate-adsorbate systems.
Adsorption energies were all negative, indicating that adsorption occurs exothermically and spontaneously when the relaxed adsorbate components are adsorbed on the substrate, indicating that TiO2-NPs interact strongly with the GCE substrate. GCE/TiO2-NPs-nafion-EVF interaction is supported by a more highly negative adsorption energy (−23.962 kcal/mol) in contrast to a significantly higher value (−20.455 kcal/mol) in the absence of nafion.
As illustrated in Figure 2, a comparison of the electrode systems was performed to examine the adsorption behavior and energy differences in relation to electrode modification phases. The effect of intramolecular and intermolecular energies on the behavior of nafion adsorption was investigated using these models.
Figure 2.
System conformations for (A) GCE/TiO2-NPs-EFV and (B) GCE/TiO2-NPs/Nafion-EFV, together with their respective distribution field maps (C,D) in a periodic cell.
In Figure 2A, the EFV is positioned planarly above the TiO2-NPs surface. This is due to the reduced van der Waals forces of interaction between EFV and the surface of TiO2-NPs surface. Nafion, on the other hand, binds more strongly to TiO2-NPs (Figure 2B). This accounts for the lower adsorption energy (−29.050 kcal/mol) and also supports a stronger EFV adsorption with the GCE/TiO2-NPs-nafion substrate. This is demonstrated by the heat field maps presented in Figure 2C,D, with the more likely adsorption locations highlighted in red. As indicated by the “observed clouds”, the level of dispersion fields of the adsorbed molecule’s location correspond to the GCE surface.
2.2. Experimental Results
2.2.1. Spectroscopic and Morphological Characterization
Figure 3A shows the UV-vis spectrum of synthesized TiO2-NPs with absorption bands observed at 365 nm, which is close to the band (356 nm) reported in literature [23]. The SEM morphology of TiO2-NPs presented in Figure 3B revealed agglomeration of nearly spherical shaped grains of TiO2-NPs on nanoclusters. The XRD pattern of TiO2-NPs shown in Figure 3C was conducted in the range of 10–80θ. Characteristics peaks of 29.487, 44.281, 56.427, 63.641, 64.965, and 74.270 indexed to 101, 210, 211, 204, 213, and 215 diffraction planes were recorded. The crystalline size (D) was calculated as 5.7 nm for TiO2-NPs Anatase from 101 plane using the Debye–Scherrer equation, which is within the reported range (2.3–8.5 nm) [23,33].
Figure 3.
(A) UV-VIS spectrum, (B) SEM image, (C) XRD, and (D) EDS of TiO2-NPs.
The EDS spectra in Figure 3D presents the elemental composition of TiO2-NPs, confirming the presence of carbon (C), oxygen (O), and titanium (Ti). The emission of C in TiO2-NPs spectrum might have resulted from the leaf extract.
2.2.2. Electrochemical Behavior of Electrodes
Cyclic Voltametric Measurements
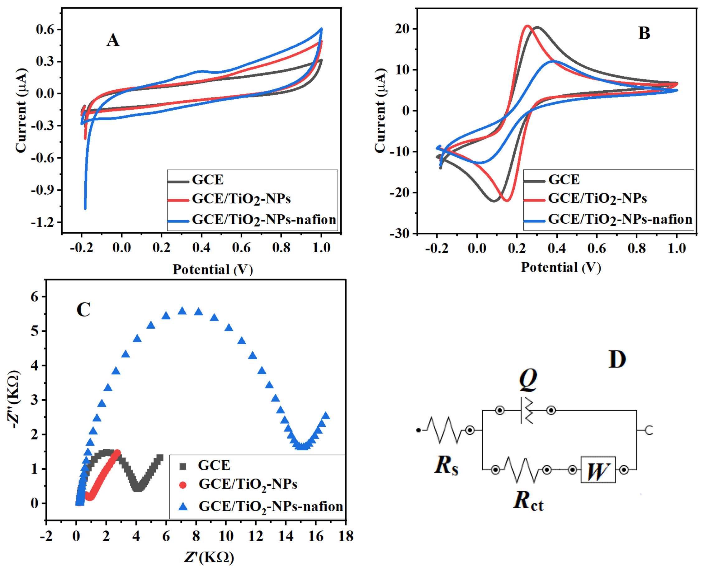
The charge transfer of (GCE, GCE/ TiO2-NPs, and GCE/TiO2-NPs-nafion) electrodes were investigated using CV in PBS (Figure 4A) and in a redox probe solution of [Fe(CN)6]3−/4− prepared in 0.1 M PBS, pH 7 (Figure 4B) at a scan rate of 25 mV/s. Figure 4B shows the CV responses at the electrodes with an decreased peak current noticed at GCE/TiO2-NPs-nafion in contrast to other electrodes, suggesting an electron withdrawing effect due to the blocking of electrode surface area by nafion film [31]. Table 2 summarizes the CV parameters, including peak-to-peak separation (∆Ep), ratio of anodic and cathodic peak current (Ipa/Ipc), active surface area (A), oxidation and reduction peak potential (Epa and Epc), and peak currents recorded at the electrodes. The Ipa/Ipc values were approximately unity, suggesting a reversible electrochemical process. The ∆Ep suggest more sluggish electron transport process at GCE/TiO2-NPs-nafion.
Figure 4.
CVs obtained in (A) 0.1 M PBS and (B) in 0.1 M PBS at pH 7 containing 5 mM of [Fe (CN)6]3−/4− at 25 mV/s scan rate, (C) Nyquist plots in 5 mM redox probe at the unmodified and modified electrodes, and (D) Modelled electric circuit diagram for the electrodes.
Table 2.
Summary of CV parameters recorded for the bare and modified electrodes in 5 mM [Fe (CN)6]3−/4−.
EIS Measurement
The electrode materials’ interfacial charge transfer properties were evaluated by EIS in a [Fe (CN)6]3−/4− redox probe solution produced in 0.1 M PBS, pH 7.0. Figure 4C shows the Nyquist plots obtained for the various electrodes at a fixed potential of 0.2 V in the frequency range of 0.1 Hz to 100 kHz, while Figure 4D shows the analogous circuit used in the fitting of EIS data. A high Rct value was recorded at GCE/TiO2-NPs-nafion electrode, suggesting a resistance to charge electron transport property at the electrode. Table 3 summarizes the impedimetric data, with Y° denoting the magnitude of Q and n being the deviation with parameter accordingly. Depending on the homogeneity of the electrode surface, the behavior of electrodes as a capacitor, inductor, or insulator is proposed when n is 1, −1, or 0, respectively [34], with n < 1 indicating that the electrodes are pseudo capacitive.
Table 3.
EIS data obtained on various electrodes in 5 mM [Fe (CN)6]3−/4− solution at +0.2 V fixed potential.
2.2.3. Effect of Scan Rate Variation
To better understand the kind of electrode reaction, the influence of scan rate variation on the peak potential and current of the redox probe at GCE/TiO2-NPs-nafion electrode was investigated. Figure 5A shows the CVs recorded at different scan rate in the range of 25 to 200 mV/s. An increased redox peak current and shifting of peak potentials of the redox probe with increase in scan rate was noticed. The relationship between peak current versus square root of scan rate (v1/2) and log of peak current versus log of scan rate (v) (Figure 5B,C respectively) displayed an acceptable linear plot with 0.999 correlation coefficient (R2) value, suggesting a diffusion-controlled electrode reaction [34]. The slope value of Figure 5C is close to 0.5 for an ideal diffusion-controlled electrode process.

Figure 5.
(A) CVs in 5 mM [Fe (CN)6]3−/4− solution at various scan rate (25–200 mV/s) on GCE/TiO2-NPs-nafio electrode. Linear plots of (B) 𝐼p versus v1/2, (C) log Ip versus log v, (D) Ip versus scan rate versus, and (E) Ep versus log of v.
The plot of peak current (Ipa and Ipc) versus scan rate (v) depicted in Figure 5D revealed a linear pattern with a regression coefficient of 0.99. Based on the slope value of Figure 5D, the electrochemical surface coverage concentration (Γ) of the redox probe was estimated to be 1.49 × 10−3 mol/cm3 according to Equation (1).
where Ip, n, F, Γ, A, v, R, and T denotes peak current in amperes, number of electrons involved, faradays constant in coulombs, surface coverage concentration in molcm−2, surface area of electrode in cm2, scan rate in V/s, gas constant in J/mol/k, and temperature in Kelvin respectively. The investigation of apparent number of electrons (n) involved, and the charge transfer coefficient (α) of the GCE/TiO2-NPs-nafion electrode, was conducted using the congruent changes in the redox peak potential (anodic and cathodic peak potentials) of Figure 5A as a function of the logarithm of scan rate. Figure 5E shows the plot of peak potentials versus logarithm of scan rates represented with two resulting linear slopes equal to , based on the Laviron equation [35]. Based on the slope and employing the simultaneous equation, n and α were found to be 0.8186 (approximately 1) and 0.51, respectively. For an ideal diffusion-controlled reaction, α ≈ 0.50.
2.3. Electrocatalysis of EFV
2.3.1. Effect of pH Solution
The effect of supporting electrolyte pH solution on the sensitivity of the GCE/TiO2-NPs-nafion electrode to 47.6 µM EFV was examined using CV, at 25 mV/s within potential window of −0.2 to 1.4 V in pH ranging from 5.0–8.5 (Figure 6A). Optimal current was obtained at pH 7.0. Thus, pH 7.0 was used through the study. Figure 6B presents the CV response in PBS alone at a scan rate of 25 mV/s at GCE/TiO2-NPs-nafion electrode.
Figure 6.
(A) CV in 0.1 M PBS at pH ranging from 5.0–8.5 containing 47.6 µM EFV and (B) in PBS only on at GCE/TiO2-NPs-nafion at 25 mV/s.
2.3.2. Electrochemical Behavior of EFV Bare and Modified Electrodes
The electrochemical behavior of 47.6 µM EFV on the GCE, GCE/TiO2-NPs, and GCE/TiO2-NPs-nafion electrode surfaces was examined using CVs and EIS. TiO2-NPs modified electrode was coated with nafion to prevent electrode fouling and improve the catalytic activity of the TiO2-NPs towards EFV. The CVs of 47.6 µM EFV in 0.1 M PBS at 25 mV/s had a peak potential of 1.2 V on GCE and GCE/TiO2-NPs-nafion, and 1.1 V on GCE/TiO2-NPs are shown in Figure 7A. According to the results, the electrocatalysis of EFV is an irreversible oxidation reaction, which is consistent with previous literature reports [3]. The amplified peak current observed at GCE/TiO2-NPs-nafion electrode indicates an improved electrocatalytic capability of TiO2-NPs nafion for oxidation of EFV in the presence of nafion with a rapid rate of electron transport and high current sensitivity.
Figure 7.
(A) CVs at 25 mV/s, (B) Nyquist plots obtained at the bare and modified GCEs in 0.1 M PBS at pH 7 containing 47.6 µM EFV, and (C) is the equivalent circuit-[R(RQ)] for the electrodes.
The behavior of the electrode–electrolyte interface during the oxidation of 47.6 µM EFV was examined to gain a better understanding of the electron transport process.
Figure 5B shows the Nyquist plots obtained at the electrodes, whereas Figure 7C shows the Randle’s circuits ([R(QR)]) used in the fitting of EIS data after numerous circuit iterations. The parameter obtained on fitting the EIS Nyquist plots are presented on Table 4, the values in parenthesis and the chi square values (χ²) confirmed successful fitting of the EIS data. The lowest Rct value was achieved at GCE/TiO2-NPs-nafion, which agrees with the CV measurements. The summary of EIS data of the electrode is presented in Table 4. As a result, all electrodes have n < 1, which indicates that the electrode–electrolyte interface exhibits a near capacitive response to EFV electro-oxidation.
Table 4.
Impedance data obtained for electrodes in 47.6 µM EFV at a fixed potential of 1.2 V (vs. Ag/AgCl, standard KCl). The % errors of the data fitting are shown in parenthesis.
According to literature, EFV undergoes one electron transfer (n), hence there is one proton involved in this reaction [4]. At GCE/TiO2-NPs-nafion, the electrooxidation of EFV is a one-electron and one-proton process. Using literature reports and DFT calculations, the following reaction mechanism is proposed for the oxidation of EFV (Scheme 1).
Scheme 1.
Proposed reaction mechanism for EFV oxidation on GCE/TiO2-NPs-nafion electrode.
2.3.3. Analytical Performance of GCE/TiO2-NPs-Nafion Electrode
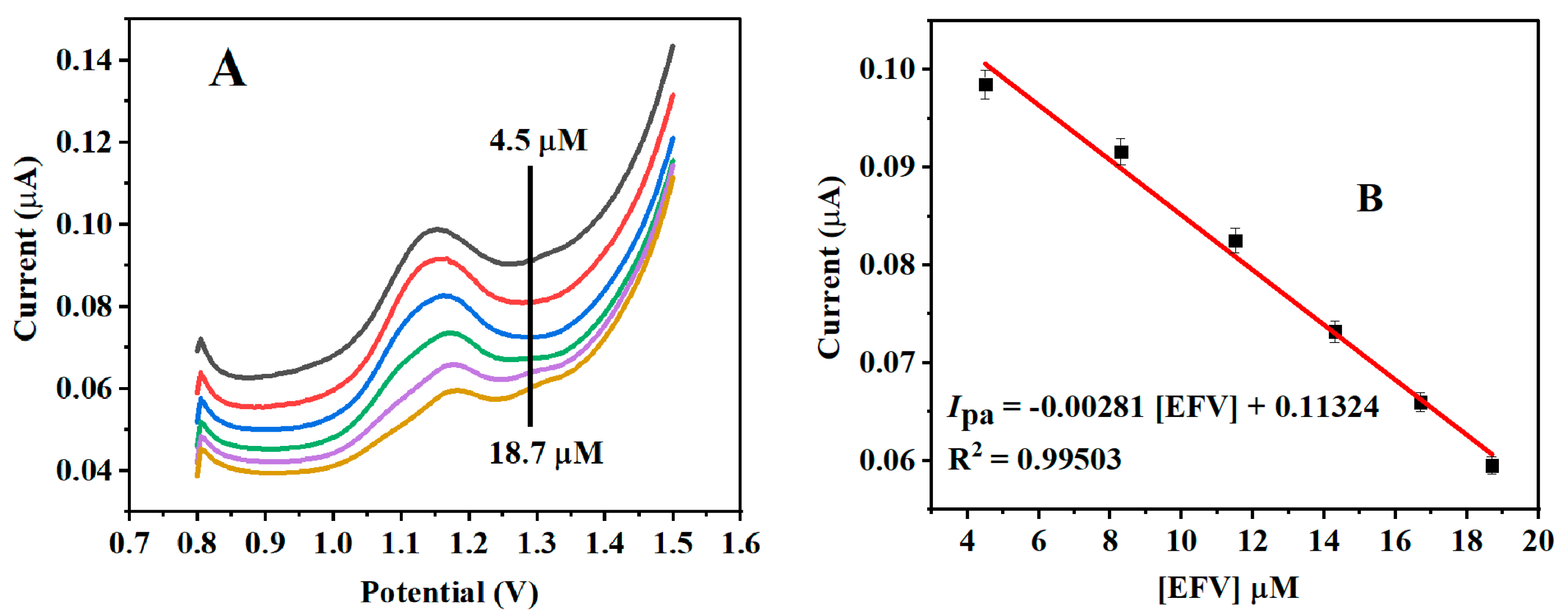
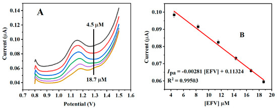
Figure 8A shows the DPV for various concentrations of EFV measured within the 0.8 and 1.4 V potential window. From 4.5 to 18.7 µM, the EFV oxidation peak current decreased linearly with increasing concentrations. For EFV, the computed values of LOD and LOQ of GCE/TiO2-NPs-nafion were 0.01 and 0.03 µM, respectively. The LOD obtained with other EFV sensors is compared in Table 5.
Figure 8.
(A) GCE/TiO2-NPs-nafion response to increasing EFV concentrations measured by DPV and (B) Linear plot of Ipa against concentrations (4.5 to 18.7 µM) in PBS.
Table 5.
Comparison present sensor with reported sensors.
2.4. Real Sample Analysis
The developed sensor’s practical utility for determining EFV in real samples was tested using a pharmaceutical sample (Cipla efavirenz tablet) and the standard addition method with DPV. The developed sensor displayed satisfactory recovery from the range of 97–106% with RSDs in the range of 9.9–10.3%. The summary of the obtained results is presented in Table 6.
Table 6.
Percent recovery and RSD (%) of EFV on GCE/TiO2-NPs-nafion in Cipla EFV sample.
2.5. Interference and Reproducibility Study
In order to test the selectivity of the developed sensor, the influence of several typical interfering species on the determination of 47.6 µM EFV in PBS pH 7.0 was evaluated using DPV and chronoamperometry. Figure 9A shows the DPV recorded on a GCE/TiO2-NPs-nafion electrode in 0.1 M PBS containing mixtures of EFV, ascorbic acid (AA), and uric acid (UA) at the same concentrations (47.6 µM) for the first voltammogram and 90 µM for AA in the second voltammogram.

Figure 9.
(A) The simultaneous determination of 47.6 µM of EFV, AA, and UA on GCE/TiO2-NPs-nafion by DPV, (B) Chronoamperometric curve of GCE/TiO2-NPs-nafion in pH 7 PBS containing EFV, AA, and UA, and (C) reproducibility study on three independent electrodes by DPV in 0.1 M PBS containing 47.6 µM of EFV.
Two prominent peaks for UA, 0.55 V, and EFV, 1.19 V, and a suppressed signal for AA were noticed for the first voltammogram in black. The second DPV voltammogram displayed three distinct peaks with peak potentials for AA, UA, and EFV found at 0.31, 0.59, and 1.22 V, accordingly. The peak potential separation between AA and UA, UA and EFV, and AA and EFV were estimated to be 0.28, 0.63, and 0.91 V, respectively. The results suggest the possibility of detecting EFV in the presence of possible interfering species. Figure 9B shows chronoamperometric current signal of EFV, AA, and UA at working potential of 1.0 V and interval of 40 s. EFV (47.6 µM) signal was determined before and after adding 1 mL of AA (90.9 µM) and 0.5 mL UA (47.6 µM) into 10 mL PBS. The result shows non-interference of EFV signal after successive injection of AA and UA, indicating selectivity of the electrode.
The reproducibility of GCE/TiO2-NPs-nafion was examined by analyzing the DPV responses of three independent electrodes in the 47.6 µM EFV and the RSD was found to be 6.7%, demonstrating acceptable reproducibility of the designed sensor for EFV detection (Figure 9C).
3. Materials and Methods
3.1. Experimental
3.1.1. Chemicals and Solutions
All analytical grade reagents were used for this study. Standard stock solutions Na2HPO4 and NaH2PO4.2H2O were obtained from Capital Lab Supplies (Durban, South Africa). Alumina powder ≤3 μm were supplied by Metrohm (Durban, South Africa). Nitric acid (HNO3), N, N-dimethyl formamide (DMF), Efavirenz (EFV), methanol, titanium tetra-isopropoxide (TTIP), and nafion (5 wt%) were obtained from Sigma-Aldrich (Johannesburg, South Africa). 0.1 M phosphate buffer solutions (PBS) were prepared by mixing stock solutions of 0.1 M NaH2PO4 and 0.1 M NaH2PO4.2H2O. 5 mM [Fe(CN)6]3−/4− solution was prepared using suitable mass of K3Fe(CN)6 and K4Fe(CN)6.3H2O in 0.1 M PBS. All reagent and samples were prepared using deionized water.
3.1.2. Preparation of Plant Extract
Harvested Eucalyptus globulus leaves from Eastern Cape were used in the synthesis of TiO2-NPs. The extracts from the plant leaves, stems, roots, and seed have gained wide application, as these leaves act as a stabilizing or reducing agent [36]. The leaves were thoroughly washed with tap water, rinsed using deionised water, dried in the oven for 2 h at 50 °C, and ground to a powder. The dried ground leaf (25 g) was transferred into a beaker containing deionised water (250 mL) and the solution was heated whilst stirring at 50 °C for 30 min. Thereafter, it was cooled and filtered.
3.1.3. Synthesis of TiO2 Nanoparticles
TiO2-NPs were synthesized using titanium tetra-isopropoxide (TTIP) (0.1 M, 50 mL). Leaf extract (20 mL) was added dropwise to the above solution of TTIP. The mixture was stirred for 3 h at room temperature which resulted in a white precipitate. The change of colour from white precipitate to yellowish grey confirms the formation of TiO2-NPs. The formed TiO2-NPs were separated by centrifugation of the mixture at 5000 rpm for 20 min, washed with deionized water (DW) to remove impurities, and then dried in the oven overnight at 100 °C. It was then calcined in a muffle furnace at 500 °C for 3 h [37].
3.1.4. Electrode pre-Treatment and Modification
Alumina nano powder slurry was gently applied to the glassy carbon electrode (GCE) prior to modification. For the purpose of removing the residual alumina nano powder and producing a mirror-like surface, GCE was rinsed with distilled water, then kept in 50% methanol for 1 min, rinsed again with distilled water, and dried in an oven at 40 °C for 2 min. GCE was modified using a drop-drying method. Nanoparticle modified glassy carbon electrode (GCE/TiO2-NPs) was prepared by weighing TiO2-NPs (3 mg) into a glass vial followed by addition of 300 µL of DMF, and the mixture was stirred on a hot plate for approximately 10 min for complete homogenization. To make the working electrode (GCE/TiO2-NPs), about 2.0 μL of the resultant paste was poured onto a GCE surface and oven-dried for one min at 50 °C. The modified electrode was allowed to cool at room temperature. Thereafter, 20 µL of 0.5% nafion was dropped on the modified electrode and allowed to dry at room temperature, yielding GCE/TiO2-NPs-nafion electrode. Scheme 2 illustrates the design of the sensor for EFV detection.
Scheme 2.
Schematic Illustration of a Stepwise Electrode Modification for the Electro-oxidation of EFV.
3.1.5. Preparation of EFV Stock and Working Solutions
An EFV stock solution of 1 mM was prepared using 0.0078 g and dissolved in 25 mL pure methanol, wrapped in aluminum foil, and kept in a refrigerator prior to analysis. Working solutions for the CV, EIS, DPV, and chronoamperometry measurements were prepared from the stock solution by appropriate dilution of a known amount of stock solution. It was covered with foil and stored in a refrigerator.
3.1.6. Characterization of TiO2-NPs
The morphology of TiO2-NPs was examined on a field emission scanning electron microscopy (FESEM), using the Tescan MIRA SEM, while the energy dispersive X-ray spectra (EDX) was obtained employing the Thermo Fisher Nova NanoSEM, with an Oxford X-max 20 mm2 detector and INCA software. The optical property and crystallinity of the synthesized nanomaterial was investigated using ultraviolet–visible spectrophotometry (UV-VIS) and X-ray diffractometer (XRD) on a PIXcel detector, X-ray source of cobalt (Co) with a wavelength of 1.79026 Å. The electrochemical characterization of the synthesized TiO2-NPs as well as TiO2-NPs-nafion were investigated using cyclic voltammetry (CV), and electrochemical impedance spectroscopy (EIS) in a 5 mM [Fe (CN)6]3−/4− probe solution prepared in a 0.1 M of PBS at pH 7.0.
3.1.7. Electrochemical Studies
In order to conduct electrochemical experiments, an Autolab potentiostat PGSTAT 302 was interconnected to a 663VA computrace system (Metrohm, SA) in a three-electrode configuration. The system comprises the bare and modified working glassy carbon (GCE, GCE/TiO2-NPs, and GCE/TiO2-NPs-nafion), reference (silver/silver chloride saturated 3 M potassium chloride), and counter platinum electrodes in supporting electrolyte. Measurements were carried out by application of CV, and EIS using modified glassy carbon electrode (GCE) after bubbling high purity nitrogen for 2–4 min to remove oxygen. The electrocatalytic properties of the bare and modified electrode towards 4.7 × 10−2 mM EFV was investigated using CV at 25 mV/s within potential windows of −0.2 to 1.4 V. EIS experiments were conducted within a frequency range of 100 kHz and 0.1 Hz at a constant applied potential of 1.2 V for EFV detection and 0.2 V for electrochemical characterization in a [Fe (CN)6]3−/4− solution. Quantitative detection of EFV was conducted using DPV with control conditions of 0.005 V step potential, 0.025 V modulation amplitude, and a modulation time of 0.05 s.
3.1.8. Preparation of Real Sample
Real samples were prepared using commercially available EFV (Cipla) tablet. The tablet (1.3120 g) was pulverized into fine homogenous powder using a mortar and pestle. 10 mg of EFV ground tablet was dissolved in a 10 mL volumetric flask containing methanol and made up to mark with methanol. The mixture was sonicated for complete homogenization and thereafter filtered to remove particulates. In an electrolytic cell containing 10 mL of PBS, 1 mL of the filtrate was transferred and spiked with different concentrations of the EFV standard, then analyzed using DPV. A calibration graph was constructed to estimate the recovery of analytes in the sample.
3.2. Computational Section
3.2.1. Model Building
The 3D molecular structures for EFV and nafion were retrieved from the PubChem database, while the construction of the nanostructures to mimic glassy carbon electrode (GCE) and TiO2-NPs anatase were constructed using Materials Studio (MS) software program [38]. The Forcite module, as implemented in MS, was used to optimize the geometry of all 3D model structures. The Forcite program was used to observe the EFV molecule’s low energy configuration as well as the COMPASS force field’s ‘ultrafine’ quality.
3.2.2. Density Functional Theory (DFT) Calculations
In order to understand the chemical reactivity of EFV from its electronic properties, the (HOMO-LUMO) band gap energies were calculated. The quantum chemical calculations were done at the DFT level of theory. A full geometry optimization was performed on the EFV molecule in vacuum, using the B3LYP density functional [39,40] and the 6-311+G basis set using the Gaussian 09 software [41]. In order to make sure that the global minima were obtained during the optimization, we have ensured the absence of imaginary frequencies. These frequencies are obtained through calculating second derivatives of energy, which constitute the hessian matrix.
3.2.3. Monte Carlo (MC) Simulations
The atomistic interactions between the substrate and the adsorbate were studied using the Adsorption Locator (AL) module in the MS program on the layers of assembly set at 298 K, and this was done to understand the molecular interactions at an atomic level. With the forcefield method, AL was utilized as a preparation and screening tool to produce a ranking of the energies for each created configuration, indicating the preferable adsorption sites. Because the adsorbate can be adsorbed at several places on the GCE/TiO2-NPs surface, the AL module was utilized to determine the optimal adsorption site on the surface with the lowest energy. The lowest adsorption energy conformers for GCE/TiO2-NPs-EFV and GCE/TiO2-NPs-nafion-EFV are presented in Table 1 and were separately optimized using the Forcite module to attain a stable conformation, as illustrated in Figure 2.
4. Conclusions
This study examined the electrochemical conductivity of EFV using a bioinspired green synthesized TiO2-NPs modified electrode with nafion as an anchor agent. We demonstrated that nafion contributes to the improved performance of the modified sensor. MC simulation results indicate that EFV interacts strongly with the GCE/TiO2-NPs-nafion electrode, supporting the CV and EIS results. As a result of the DFT calculations, the active sites of EFV could be predicted, resulting in the proposed mechanism. Additionally, we observed that this sensor has a low detection limit (0.01 µM), with a linear dynamic concentration range from 4.5 to 18.7 µM recorded on the electrode using DPV. In addition, the sensor showed good selectivity towards EFV amidst possible interfering species (AA and UA) and sensitivity (−0.00281 µA/µM). A GCE/TiO2-NPs-nafion electrode was successfully applied to the determination of EFV in pharmaceutical samples. The electrochemical sensor demonstrated good positive selectivity with excellent recoveries ranging from 92.0–103.9%. MC simulations revealed a strong electrostatic interaction on the GCE/TiO2-NPs-nafion-EFV (substrate-adsorbate) system, while the DFT based calculations represented the chemical reactivity for EFV, suggesting the benzoxazine ring as the active site. In this paper, a new and convenient electroanalytical method is described for the detection of EFV in the absence of enzymes.
Author Contributions
Conceptualization, K.B. and G.E.U.; methodology, K.M., G.E.U. and K.B.; formal analysis, K.M. and G.E.U.; data curation, K.M.; writing draft preparation, K.M.; writing—review and editing, G.E.U., K.B., M.A.J. and S.K. Project Leader K.B. All authors have read and agreed to the published version of the manuscript.
Funding
The APC was funded jointly by the Durban University of Technology (DUT), grant number (KB-RFA-2022) and Mangosuthu University of Technology (MAJ-2022).
Data Availability Statement
Not applicable.
Acknowledgments
K.B. acknowledges the Centre for High Performance Computing (CHPC), Cape Town, South Africa, for all the computational resources.
Conflicts of Interest
The authors declare no conflict of interest.
References
- Masenga, W.; Paganotti, G.M.; Seatla, K.; Gaseitsiwe, S.; Sichilongo, K. A fast-screening dispersive liquid–liquid microextraction–gas chromatography–mass spectrometry method applied to the determination of efavirenz in human plasma samples. Anal. Bioanal. Chem. 2021, 413, 6401–6412. [Google Scholar] [CrossRef] [PubMed]
- Tittikpina, N.K.; Wane, T.M.; Diouf, D.; Thiam, K.; Diop, A.; Fall, D.; Diop, Y.M.; Sarr, S.O. Development and validation of a UV-Visible method for the determination of the active principle Efavirenz in tablets. Int. J. Biol. Chem. Sci. 2020, 14, 279–288. [Google Scholar] [CrossRef]
- Thapliyal, N.; Osman, N.S.; Patel, H.; Karpoormath, R.; Goyal, R.N.; Moyo, T.; Patel, R. NiO–ZrO 2 nanocomposite modified electrode for the sensitive and selective determination of efavirenz, an anti-HIV drug. RSC Adv. 2015, 5, 40057–40064. [Google Scholar] [CrossRef]
- Sailaja, A.L.; Kumar, K.K.; Kumar, D.R.; Kumar, C.M.; Yugandhar, N.; Srinubabu, G. Development and validation of a liquid chromatographic method for determination of efavirenz in human plasma. Chromatographia 2007, 65, 359–361. [Google Scholar] [CrossRef]
- Dogan-Topal, B.; Ozkan, S.; Uslu, B. Simultaneous determination of abacavir, efavirenz and valganciclovir in human serum samples by isocratic HPLC-DAD detection. Chromatographia 2007, 66, 25–30. [Google Scholar] [CrossRef]
- Martin, J.; Deslandes, G.; Dailly, E.; Renaud, C.; Reliquet, V.; Raffi, F.; Jolliet, P. A liquid chromatography–tandem mass spectrometry assay for quantification of nevirapine, indinavir, atazanavir, amprenavir, saquinavir, ritonavir, lopinavir, efavirenz, tipranavir, darunavir and maraviroc in the plasma of patients infected with HIV. J. Chromatogr. B 2009, 877, 3072–3082. [Google Scholar] [CrossRef] [PubMed]
- Notari, S.; Mancone, C.; Alonzi, T.; Tripodi, M.; Narciso, P.; Ascenzi, P. Determination of abacavir, amprenavir, didanosine, efavirenz, nevirapine, and stavudine concentration in human plasma by MALDI-TOF/TOF. J. Chromatogr. B 2008, 863, 249–257. [Google Scholar] [CrossRef]
- Martins, E.d.S.; Oliveira, J.A.; Franchin, T.B.; Silva, B.C.U.; Cândido, C.D.; Peccinini, R.G. Simple and rapid method by ultra high-performance liquid chromatography (UHPLC) with ultraviolet detection for determination of efavirenz in plasma: Application in a preclinical pharmacokinetic study. J. Chromatogr. Sci. 2019, 57, 874–880. [Google Scholar] [CrossRef]
- Kim, K.-B.; Kim, H.; Jiang, F.; Yeo, C.-W.; Bae, S.K.; Desta, Z.; Shin, J.-G.; Liu, K.-H. Rapid and simultaneous determination of efavirenz, 8-hydroxyefavirenz, and 8, 14-dihydroxyefavirenz using LC–MS–MS in human plasma and application to pharmacokinetics in healthy volunteers. Chromatographia 2011, 73, 263–271. [Google Scholar] [CrossRef]
- Tamilselvi, N.; Arivukkarasu, R.; Sasikala, R.; Jayan, S. Development and Validation of HPTLC method for the Determination of Efavirenz in Tablet Dosage Form. Res. J. Pharm. Technol. 2018, 11, 885–888. [Google Scholar] [CrossRef]
- Srivastava, P.; Moorthy, G.S.; Gross, R.; Barrett, J.S. A Sensitive and Selective Liquid Chromatography/Tandem Mass Spectrometry Method for Quantitative Analysis of Efavirenz in Human Plasma. PLoS ONE 2013, 8, e63305. [Google Scholar] [CrossRef] [PubMed]
- Slabiak, O.I.; Ivanchuk, I.M.; Tokaryk, G.V.; Klimenko, L.; Kolisnyk, I.S. Development and validation of UV-spectrophotometric procedures for efavirenz quantitative determination. Int. J. Pharm. Qual. Assur. 2018, 9, 231–240. [Google Scholar]
- Guichard, N.; Tobolkina, E.; el Morabit, L.; Bonnabry, P.; Vernaz, N.; Rudaz, S. Determination of antiretroviral drugs for buyers’ club in Switzerland using capillary electrophoresis methods. Electrophoresis 2021, 42, 708–718. [Google Scholar] [CrossRef] [PubMed]
- Filho, L.A.Z.; Galdez, C.R.; Silva, C.A.; Tavares, M.F.; Costa, D.M.; Aurora-Prado, M.S. Development and validation of a simple and rapid capillary zone electrophoresis method for determination of nnrti nevirapine in pharmaceutical formulations. J. Braz. Chem. Soc. 2011, 22, 2005–2012. [Google Scholar] [CrossRef][Green Version]
- Hareesha, N.; Manjunatha, J.; Amrutha, B.; Sreeharsha, N.; Asdaq, S.B.; Answer, M.K. A fast and selective electrochemical detection of vanillin in food samples on the surface of poly (glutamic acid) functionalized multiwalled carbon nanotubes and graphite composite paste sensor. Colloids Surf. A Physicochem. Eng. Asp. 2021, 626, 127042. [Google Scholar] [CrossRef]
- Raj, M.; Gupta, P.; Thapliyal, N.; Goyal, R.N. A Novel Hybrid Nano-composite Grafted Electrochemically Reduced Graphene Oxide Based Sensor for Sensitive Determination of Efavirenz. Electroanalysis 2017, 29, 456–465. [Google Scholar] [CrossRef]
- Dogan-Topal, B.; Uslu, B.; Ozkan, S.A. Voltammetric studies on the HIV-1 inhibitory drug Efavirenz: The interaction between dsDNA and drug using electrochemical DNA biosensor and adsorptive stripping voltammetric determination on disposable pencil graphite electrode. Biosens. Bioelectron. 2009, 24, 2358–2364. [Google Scholar] [CrossRef]
- Castro, A.A.; de Souza, M.V.; Rey, N.A.; Farias, P.A. Determination of efavirenz in diluted alkaline electrolyte by cathodic adsorptive stripping voltammetry at the mercury film electrode. J. Braz. Chem. Soc. 2011, 22, 1662–1668. [Google Scholar] [CrossRef]
- Jeong, H.; Yoo, J.; Park, S.; Lu, J.; Park, S.; Lee, J. Non-Enzymatic Glucose Biosensor Based on Highly Pure TiO2 Nanoparticles. Biosensors 2021, 11, 149. [Google Scholar] [CrossRef]
- Aravind, M.; Amalanathan, M.; Mary, M. Synthesis of TiO2 nanoparticles by chemical and green synthesis methods and their multifaceted properties. SN Appl. Sci. 2021, 3, 1–10. [Google Scholar] [CrossRef]
- Uwaya, G.E.; Fayemi, O.E.; Sherif, E.-S.M.; Junaedi, H.; Ebenso, E.E. Synthesis, electrochemical studies, and antimicrobial properties of Fe3O4 nanoparticles from Callistemon viminalis plant extracts. Materials 2020, 13, 4894. [Google Scholar] [CrossRef] [PubMed]
- Malhotra, S.P.K.; Alghuthaymi, M.A. Biomolecule-assisted biogenic synthesis of metallic nanoparticles. Agri-Waste Microbes Prod. Sustain. Nanomater. 2022, 139–163. [Google Scholar] [CrossRef]
- Sethy, N.K.; Arif, Z.; Mishra, P.K.; Kumar, P. Green synthesis of TiO2 nanoparticles from Syzygium cumini extract for photo-catalytic removal of lead (Pb) in explosive industrial wastewater. Green Proc. Synth. 2020, 9, 171–181. [Google Scholar] [CrossRef]
- Thakur, B.; Kumar, A.; Kumar, D. Green synthesis of titanium dioxide nanoparticles using Azadirachta indica leaf extract and evaluation of their antibacterial activity. S. Afr. J. Bot. 2019, 124, 223–227. [Google Scholar] [CrossRef]
- Bhullar, S.; Goyal, N.; Gupta, S. Rapid green-synthesis of TiO2 nanoparticles for therapeutic applications. RSC Adv. 2021, 11, 30343–30352. [Google Scholar] [CrossRef]
- Amanulla, A.M.; Sundaram, R. Green synthesis of TiO2 nanoparticles using orange peel extract for antibacterial, cytotoxicity and humidity sensor applications. Mater. Today Proc. 2019, 8, 323–331. [Google Scholar] [CrossRef]
- Balaji, S.; Guda, R.; Mandal, B.K.; Kasula, M.; Ubba, E.; Khan, F.-R.N. Green synthesis of nano-titania (TiO2 NPs) utilizing aqueous Eucalyptus globulus leaf extract: Applications in the synthesis of 4H-pyran derivatives. Res. Chem. Intermed. 2021, 47, 3919–3931. [Google Scholar] [CrossRef]
- Shetti, N.P.; Nayak, D.S.; Malode, S.J.; Kulkarni, R.M. Fabrication of MWCNTs and Ru doped TiO2 nanoparticles composite carbon sensor for biomedical application. ECS J. Solid State Sci. Technol. 2018, 7, Q3070. [Google Scholar] [CrossRef]
- Oliveira, T.M.; Morais, S. New generation of electrochemical sensors based on multi-walled carbon nanotubes. Appl. Sci. 2018, 8, 1925. [Google Scholar] [CrossRef]
- Tarahomi, S.; Rounaghi, G.H.; Zavar, M.H.A.; Daneshvar, L. Electrochemical sensor based on TiO2 nanoparticles/nafion biocompatible film modified glassy carbon electrode for carbamazepine determination in pharmaceutical and urine samples. J. Electrochem. Soc. 2018, 165, B946. [Google Scholar] [CrossRef]
- Buzid, A.; McGlacken, G.P.; Glennon, J.D.; Luong, J.H. Electrochemical sensing of biotin using Nafion-modified boron-doped diamond electrode. ACS Omega 2018, 3, 7776–7782. [Google Scholar] [CrossRef] [PubMed]
- Pamuk, D.; Taşdemir, İ.H.; Ece, A.; Canel, E.; Kılıç, E. Redox pathways of aliskiren based on experimental and computational approach and its voltammetric determination. J. Braz. Chem. Soc. 2013, 24, 1276–1286. [Google Scholar] [CrossRef]
- Bekele, E.T.; Gonfa, B.A.; Zelekew, O.A.; Belay, H.H.; Sabir, F.K. Synthesis of titanium oxide nanoparticles using root extract of Kniphofia foliosa as a template, characterization, and its application on drug resistance bacteria. J. Nanomater. 2020, 2020, 2817037. [Google Scholar] [CrossRef]
- Hareesha, N.; Manjunatha, J. Electro-oxidation of formoterol fumarate on the surface of novel poly (thiazole yellow-G) layered multi-walled carbon nanotube paste electrode. Sci. Rep. 2021, 11, 1–14. [Google Scholar] [CrossRef] [PubMed]
- Laviron, E. General expression of the linear potential sweep voltammogram in the case of diffusionless electrochemical systems. J. Electroanal. Chem. Interfacial Electrochem. 1979, 101, 19–28. [Google Scholar] [CrossRef]
- Sharma, D.; Kanchi, S.; Bisetty, K. Biogenic synthesis of nanoparticles: A review. Arab. J. Chem. 2019, 12, 3576–3600. [Google Scholar] [CrossRef]
- Ahmad, W.; Jaiswal, K.K.; Soni, S. Green synthesis of titanium dioxide (TiO2) nanoparticles by using Mentha arvensis leaves extract and its antimicrobial properties. Inorg. Nano-Met. Chem. 2020, 50, 1032–1038. [Google Scholar] [CrossRef]
- Biovia, D. Material Studio Modelling; v. 16.1.0; Dassault Systemes: San Diego, CA, USA, 2016. [Google Scholar]
- Becke, A.D. A new mixing of Hartree–Fock and local density-functional theories. J. Chem. Phys. 1993, 98, 1372–1377. [Google Scholar] [CrossRef]
- Lee, C.; Yang, W.; Parr, R.G. Development of the Colle-Salvetti correlation-energy formula into a functional of the electron density. Phys. Rev. B 1988, 37, 785. [Google Scholar] [CrossRef]
- Frisch, G.W.T.M.J.; Schlegel, H.B.; Scuseria, G.E.; Robb, M.A.; Cheeseman, J.R.; Scalmani, G.; Barone, V.; Petersson, G.A.; Nakatsuji, H.; Li, X.; et al. Gaussian 09 Revision C. 01; Gaussian Inc.: Wallingford, CT, USA, 2016. [Google Scholar]
Publisher’s Note: MDPI stays neutral with regard to jurisdictional claims in published maps and institutional affiliations. |
© 2022 by the authors. Licensee MDPI, Basel, Switzerland. This article is an open access article distributed under the terms and conditions of the Creative Commons Attribution (CC BY) license (https://creativecommons.org/licenses/by/4.0/).












