Laccase Cross-Linked Ultraporous Aluminas for Sustainable Biodegradation of Remazol Brilliant Blue R
Abstract
:1. Introduction
2. Results and Discussion
2.1. Effects of GA Concentration and Immobilization Protocols
2.2. Characterizations
2.3. Biocatalyst Stability Study
2.4. RBBR Kinetic Study
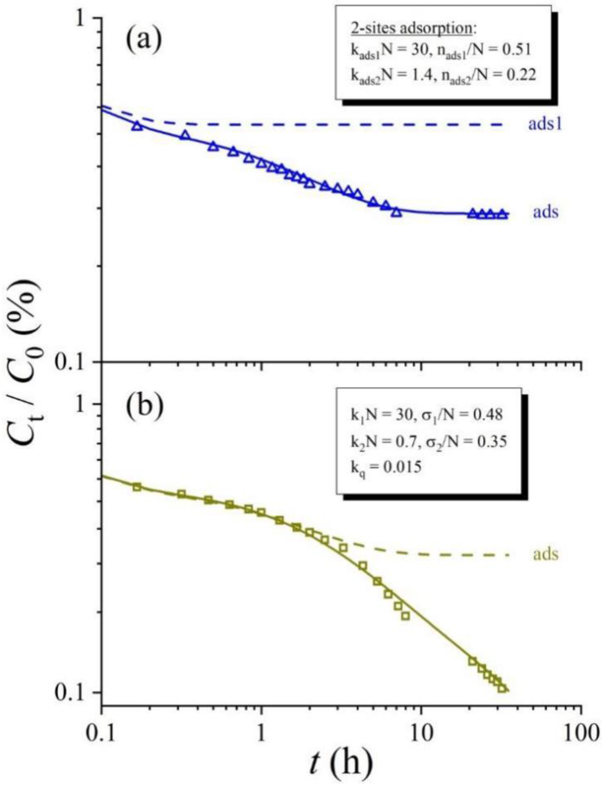
2.5. Adsorption
- (i)
- The adsorption sites (a1) with fast kinetics were rapidly filled (t ≤ 0.2 h) with an estimated rate k1N0 = 30, by consuming about 50% of free RBBR molecules (dashed line, Figure 6a).
- (ii)
- The following (almost total measured) kinetics described the adsorption of RBBR molecules on a2 sites with a slower rate k2N0 = 1.4, tending to about 22% of the RBBR molecules for t > 10 h, when the adsorption process achieved equilibrium.
2.6. Adsorption and Biocatalysis
- (i)
- The adsorption sites (a1) with fast kinetics survived after laccase T. deposition onto UPA(γ) surfaces, and they were rapidly occupied (t ≤ 0.2 h) with rate k1N0 = 30 and by consuming about 50% of free RBBR molecules, which is consistent with the results mentioned above (Figure 6a).
- (ii)
- The deposition of laccase T. onto UPA(γ) surfaces significantly affected the a2 sites: the adsorption rate decreased k2N0 = 0.7, and the adsorption capacity increased to 35%.
- (iii)
- The RBBR decomposition was resolved at t > 2 h with a rate of kq = 0.015 h−1.
3. Materials and Methods
3.1. Materials and Chemicals
3.2. Syntheses of UPA(γ), UPA(θ), and UPA(α) Powders
3.3. Syntheses of APTES-Silanized UPA Powders, Laccase T. Cross-Linked UPA Biocatalysts, and Laccase T./UPA Powders
3.4. Characterizations
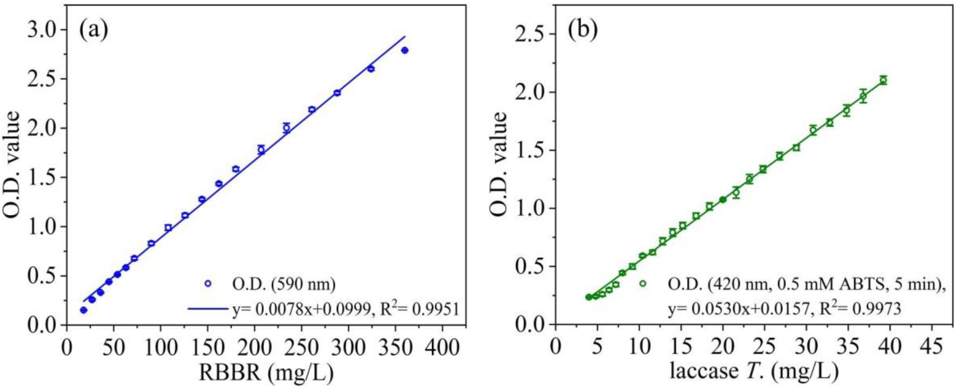
3.5. RBBR Calibration Curve and Laccase T. Activity Measurement
3.6. Biocatalyst Stability Study
3.7. Adsorption Kinetics Study and Data Analysis
4. Conclusions
Author Contributions
Funding
Data Availability Statement
Acknowledgments
Conflicts of Interest
References
- Sheldon, R.A. Fundamentals of green chemistry: Efficiency in reaction design. Chem. Soc. Rev. 2012, 41, 1437–1451. [Google Scholar] [CrossRef] [PubMed] [Green Version]
- Lavis, L.D. Teaching Old Dyes New Tricks: Biological Probes Built from Fluoresceins and Rhodamines. Annu. Rev. Biochem. 2017, 86, 825–843. [Google Scholar] [CrossRef] [PubMed]
- Zdarta, J.; Meyer, A.S.; Jesionowski, T.; Pinelo, M. Developments in support materials for immobilization of oxidoreductases: A comprehensive review. Adv. Colloid Interface Sci. 2018, 258, 1–20. [Google Scholar] [CrossRef] [PubMed]
- Hou, J.; Dong, G.; Ye, Y.; Chen, V. Laccase immobilization on titania nanoparticles and titania-functionalized membranes. J. Membr. Sci. 2014, 452, 229–240. [Google Scholar] [CrossRef]
- Zhu, K.; Xu, H.; Chen, C.; Ren, X.; Alsaedi, A.; Hayat, T. Encapsulation of Fe0-dominated Fe3O4/Fe0/Fe3C nanoparticles into carbonized polydopamine nanospheres for catalytic degradation of tetracycline via persulfate activation. Chem. Eng. J. 2019, 372, 304–311. [Google Scholar] [CrossRef]
- Sheldon, R.A. Cross-linked enzyme aggregates (CLEAs): From concept to industrial biocatalyst. In Biocatalysis: An Industrial Perspective; Gonzalo, G., María, P.D., Eds.; Royal Society of Chemistry: Cambridge, UK, 2017; pp. 363–396. ISBN 978-1-78262-619-0. [Google Scholar]
- Sheldon, R.A.; Woodley, J.M. Role of biocatalysis in sustainable chemistry. Chem. Rev. 2018, 118, 801–838. [Google Scholar] [CrossRef]
- Sheldon, R.A.; Pelt, S.V. Enzyme immobilisation in biocatalysis: Why, what and how. Chem. Soc. Rev. 2013, 42, 6223–6235. [Google Scholar] [CrossRef] [Green Version]
- Sheldon, R.A. Enzyme-catalyzed cascade reactions. In Multi-Step Enzyme Catalysis: Biotransformations and Chemoenzymatic Synthesis; Garcia-Junceda, E., Ed.; Wiley-VCH: Weinheim, Germany, 2008; pp. 109–135. ISBN 978-3-527-31921-3. [Google Scholar]
- Brugnari, T.; Braga, D.M.; Santos, C.S.A.d.; Torres, B.H.C.; Modkovski, T.A.; Haminiuk, C.W.I.; Maciel, G.M. Laccases as green and versatile biocatalysts: From lab to enzyme market—An overview. Bioresour. Bioprocess. 2021, 8, 131–159. [Google Scholar] [CrossRef]
- Torres-Salas, P.; del Monte-Martinez, A.; Cutiño-Avila, B.; Rodriguez-Colinas, B.; Alcalde, M.; Ballesteros, A.O.; Plou, F.J. Immobilized biocatalysts: Novel approaches and tools for binding enzymes to supports. Adv. Mater. 2011, 23, 5275–5282. [Google Scholar] [CrossRef] [Green Version]
- Lassouane, F.; Aït-Amar, H.; Amrani, S.; Rodriguez-Couto, S. A promising laccase immobilization approach for Bisphenol A removal from aqueous solutions. Bioresour. Technol. 2019, 271, 360–367. [Google Scholar] [CrossRef]
- Osma, J.F.; Toca-Herrera, J.L.; Rodríguez-Couto, S. Transformation pathway of Remazol Brilliant Blue R by immobilised laccase. Bioresour. Technol. 2010, 101, 8509–8514. [Google Scholar]
- Zhang, L.; Sun, Y. Poly(carboxybetaine methacrylate)-grafted silica nanoparticle: A novel carrier for enzyme immobilization. Biochem. Eng. J. 2018, 132, 122–129. [Google Scholar] [CrossRef]
- López-Gallego, F.; Guisán, J.M.; Betancor, L. Glutaraldehyde-mediated protein immobilization. In Immobilization of Enzymes and Cells; Walker, J.M., Ed.; Springer: Berlin/Heidelberg, Germany, 2013; pp. 33–41. ISBN 978-1-62703-549-1. [Google Scholar]
- Xu, H.; Boeuf, G.; Jia, Z.; Zhu, K.; Nikravech, M.; Kanaev, A.; Azouani, R.; Traore, M.; Elm’selmi, A. Solvent-free synthesized monolithic ultraporous aluminas for highly efficient removal of Remazol Brilliant Blue R: Equilibrium, kinetic, and thermodynamic studies. Materials 2021, 14, 3054. [Google Scholar] [CrossRef]
- Brena, B.; González-Pombo, P.; Batista-Viera, F. Immobilization of enzymes: A literature survey. In Immobilization of Enzymes and Cells; Walker, J.M., Ed.; Springer: Berlin/Heidelberg, Germany, 2013; pp. 15–31. ISBN 978-1-62703-549-1. [Google Scholar]
- Routoula, E.; Patwardhan, S.V. Degradation of anthraquinone dyes from effluents: A review focussing on enzymatic dye degradation with industrial potential. Environ. Sci. Technol. 2020, 54, 647–664. [Google Scholar] [CrossRef]
- Kosseva, M.R. Use of immobilized biocatalyst for valorization of whey lactose. In Food Industry Wastes: Assessment and Recuperation of Commodities; Kosseva, M.R., Webb, C., Eds.; Elsevier: Amsterdam, The Netherlands, 2013; pp. 137–156. ISBN 978-0-12-391921-2. [Google Scholar]
- Santos, P.S.; Santos, H.S.; Toledo, S.P. Standard transition aluminas. Electron microscopy studies. Mater. Res. 2000, 3, 104–114. [Google Scholar] [CrossRef]
- Sing, K.S.W.; Everett, D.H.; Haul, R.A.W.; Moscou, L.; Pierotti, R.A.; Rouquérol, J.; Siemieniewska, T. Reporting physisorption data for gas/solid systems with special reference to the determination of surface area and porosity. Pure Appl. Chem. 1985, 57, 603–619. [Google Scholar] [CrossRef]
- Storck, S.; Bretinger, H.; Maier, W.F. Characterization of micro- and mesoporous solids by physisorption methods and pore-size analysis. Appl. Catal. A Gen. 1998, 174, 137–146. [Google Scholar] [CrossRef] [Green Version]
- Liu, C.; Shih, K.; Gao, Y.; Li, F.; Wei, L. Dechlorinating transformation of propachlor through nucleophilic substitution by dithionite on the surface of alumina. J. Soils Sediments 2012, 12, 724–733. [Google Scholar] [CrossRef] [Green Version]
- Al-Rubayee, W.T.; Abdul-Rasheed, O.F.; Ali, N.M. Preparation of a modified nanoalumina sorbent for the removal of alizarin yellow R and methylene blue dyes from aqueous solutions. J. Chem. 2016, 2016, 4683859. [Google Scholar] [CrossRef]
- Nishida, J.; Shigeto, S.; Yabumoto, S.; Hamaguchi, H.O. Anharmonic coupling of the CH-stretch and CH-bend vibrations of chloroform as studied by near-infrared electroabsorption spectroscopy. J. Chem. Phys. 2012, 137, 234501. [Google Scholar] [CrossRef]
- Samui, A.; Sahu, S.K. One-pot synthesis of microporous nanoscale metal organic frameworks conjugated with laccase as a promising biocatalyst. New J. Chem. 2018, 42, 4192–4200. [Google Scholar] [CrossRef]
- Hsiao, P.F.; Peng, S.; Tang, T.-C.; Lin, S.-Y.; Tsai, H.-C. Enhancing the in vivo transdermal delivery of gold nanoparticles using poly(ethylene glycol) and its oleylamine conjugate. Int. J. Nanomedicine 2016, 11, 1867–1878. [Google Scholar] [PubMed] [Green Version]
- Mahmoudi, B.; Gabouze, N.; Guerbous, L.; Haddadi, M.; Beldjilali, K. Long-time stabilization of porous silicon photoluminescence by surface modification. J. Lumin. 2007, 127, 534–540. [Google Scholar] [CrossRef]
- Ivashchenko, L.; Vasin, A.; Ivashchenko, V.; Ushakov, M.; Rusavsky, A. Blue light emission from PECVD deposited nanostructured SiC. Mater. Res. Soc. Symp. Proc. 2011, 910, 1–7. [Google Scholar] [CrossRef]
- Li, S.; Ma, W.; Zhou, Y.; Chen, X.; Ma, M.; Xu, Y.; Ding, Z.; Wu, X. 3-aminopropyltriethoxysilanes modified porous silicon as a voltammetric sensor for determination of silver ion. Int. J. Electrochem. Sci. 2013, 8, 1802–1812. [Google Scholar]
- Aronson, M.T.; Gorte, R.J.; Farneth, W.E. An infrared spectroscopy study of simple alcohols adsorbed on H-ZSM-5. J. Catal. 1987, 105, 455–468. [Google Scholar] [CrossRef]
- di Bernardo, P.; Zanonato, P.L.; Tamburini, S.; Tomasin, P.; Vigato, P.A. Complexation behaviour and stability of Schiff bases in aqueous solution. The case of an acyclic diimino(amino) diphenol and its reduced triamine derivative. Dalton Trans. 2006, 21, 4711–4721. [Google Scholar] [CrossRef]
- Bashir, S.; Teo, Y.Y.; Ramesh, S.; Ramesh, K.; Rizwan, M.; Rizwan, M. Synthesis and characterization of pH-sensitive N-succinyl chitosan hydrogel and its properties for biomedical applications. J. Chil. Chem. Soc. 2019, 64, 4571–4574. [Google Scholar] [CrossRef] [Green Version]
- Spevak, L.; Flach, C.R.; Hunter, T.; Mendelsohn, R.; Boskey, A. FTIRI parameters describing acid phosphate substitution in biologic hydroxyapatite. Calcif. Tissue Int. 2013, 92, 418–428. [Google Scholar] [CrossRef] [Green Version]
- Jastrzebski, W.; Sitarz, M.; Rokita, M.; Bulat, K. Infrared spectroscopy of different phosphates structures. Spectrochim. Acta A Mol. Biomol. Spectrosc. 2011, 79, 722–727. [Google Scholar] [CrossRef]
- Zhang, Y.; Zong, S.; Cheng, C.; Shi, J.; Guo, P.; Guan, X.; Luo, B.; Shen, S.; Guo, L. Rapid high-temperature treatment on graphitic carbon nitride for excellent photocatalytic H2-evolution performance. Appl. Catal. B 2018, 233, 80–87. [Google Scholar] [CrossRef]
- Kaya-Özkiper, K.; Uzun, A.; Soyer-Uzun, S. A novel alkali activated magnesium silicate as an effective and mechanically strong adsorbent for methylene blue removal. J. Hazard. Mater. 2022, 424, 127256–127272. [Google Scholar] [CrossRef] [PubMed]
- Ho, Y.S.; McKay, G. A comparison of chemisorption kinetic models applied to pollutant removal on various sorbents. Process Saf. Environ. Prot. 1998, 76, 332–340. [Google Scholar] [CrossRef] [Green Version]
- Ho, Y.S.; McKay, G. Pseudo-second order model for sorption processes. Process Biochem. 1999, 34, 451–465. [Google Scholar] [CrossRef]
- Matijošytė, I.; Arends, I.W.C.E.; de Vries, S.; Sheldon, R.A. Preparation and use of cross-linked enzyme aggregates (CLEAs) of laccases. J. Mol. Catal. B Enzym. 2010, 62, 142–148. [Google Scholar] [CrossRef]
- Vignes, J.-L.; Frappart, C.; di Costanzo, T.; Rouchaud, J.-C.; Mazerolles, L.; Michel, D. Ultraporous monoliths of alumina prepared at room temperature by aluminium oxidation. J. Mater. Sci. 2008, 43, 1234–1240. [Google Scholar] [CrossRef]
- Bouslama, M.; Amamra, M.C.; Jia, Z.; Amar, M.B.; Chhor, K.; Brinza, O.; Abderrabba, M.; Vignes, J.-L.; Kanaev, A. Nanoparticulate TiO2-Al2O3 photocatalytic media: Effect of particle size and polymorphism on photocatalytic activity. ACS Catal. 2012, 2, 1884–1892. [Google Scholar] [CrossRef]
- Khodan, A.; Nguyen, T.H.N.; Esaulkov, M.; Kiselev, M.R.; Amamra, M.; Vignes, J.-L.; Kanaev, A. Porous monoliths consisting of aluminum oxyhydroxide nanofibrils: 3D structure, chemical composition, and phase transformations in the temperature range 25–1700 °C. J. Nanopart. Res. 2018, 20, 1–11. [Google Scholar] [CrossRef]
- Landoulsi, J.; Genet, M.J.; el Kirat, K.; Richard, C.; Pulvin, S.; Rouxhet, P.G. Silanization with APTES for controlling the interactions between stainless steel and biocomponents: Reality vs Expectation. In Biomaterials—Physics and Chemistry; Pignatello, R., Musumeci, T., Eds.; InTech: Londona, UK, 2011; pp. 109–138. ISBN 978-953-307-418-4. [Google Scholar]








| Laccase T./UPA(γ) Powders | Laccase T. Cross-Linked UPA(γ) Biocatalysts | |||||
|---|---|---|---|---|---|---|
| GA Concentration (v/v) | 0 | 0.25% | 0.50% | 1.00% | 1.50% | 3.00% |
| IY (%) | 68.8 ± 0.5 | 88.5 ± 0.5 | 90.5 ± 0.4 | 89.7 ± 0.6 | 87.4 ± 0.7 | 86.9 ± 0.5 |
| IE (%) | 7.3 ± 0.4 | 16.4 ± 0.6 | 19.3 ± 0.4 | 19.2 ± 0.2 | 16.8 ± 0.5 | 16.4 ± 0.4 |
| AR (%) a | 5.0 ± 0.2 | 14.6 ± 0.3 | 17.5 ± 0.2 | 17.2 ± 0.1 | 14.7 ± 0.3 | 14.3 ± 0.2 |
| AR (mg·g−1 carrier) b | 70.0 ± 2.2 | 203.7 ± 4.3 | 244.4 ± 2.4 | 241.3 ± 1.4 | 205.2 ± 4.2 | 199.6 ± 2.5 |
| Laccase T./UPA(θ) Powders | Laccase T. Cross-Linked UPA(θ) Biocatalysts | |||||
| GA Concentration (v/v) | 0 | 0.25% | 0.50% | 1.00% | 1.50% | 3.00% |
| IY (%) | 44.8 ± 0.7 | 56.8 ± 0.5 | 59.3 ± 0.4 | 58.9 ± 0.6 | 53.5 ± 0.4 | 54.0 ± 0.8 |
| IE (%) | 6.9 ± 0.2 | 18.0 ± 0.5 | 20.8 ± 0.6 | 20.2 ± 0.3 | 17.9 ± 0.5 | 18.3 ± 0.5 |
| AR (%) a | 3.1 ± 0.2 | 10.2 ± 0.2 | 12.3 ± 0.3 | 11.9 ± 0.2 | 9.6 ± 0.2 | 9.9 ± 0.4 |
| AR (mg·g−1 carrier) b | 43.3 ± 2.3 | 143.2 ± 3.4 | 172.7 ± 3.5 | 166.8 ± 2.9 | 134.4 ± 2.3 | 138.4 ± 4.9 |
| Sequential Immobilization | GA Post-Treatment | Physical Adsorption | |
|---|---|---|---|
| IY (%) | 90.5 ± 0.4 | 90.8 ± 0.4 | 68.8 ± 0.5 |
| IE (%) | 19.3 ± 0.4 | 12.9 ± 0.3 | 7.3 ± 0.4 |
| AR (%) | 17.5 ± 0.2 | 11.7 ± 0.1 | 5.0 ± 0.2 |
| AR (mg·g−1 carrier) | 244.4 ± 2.4 | 164.3 ± 1.5 | 70.0 ± 2.2 |
| Kinetic Models | UPA(γ) | UPA(θ) | UPA(α) |
|---|---|---|---|
| Lagergren pseudo-first-order | |||
| k’ (h−1) | 0.127 | 0.089 | 0.034 |
| Qmc (mg·g−1) a | 7.251 | 4.594 | 1.236 |
| R2 | 0.565 | 0.580 | 0.265 |
| Pseudo-second-order | |||
| k″ (g·mg−1·h−1) | 0.110 | 0.194 | 1.635 |
| Qmc (mg·g−1) a | 140.845 | 77.340 | 9.823 |
| R2 | 0.999 | 0.999 | 0.999 |
| Qme (mg·g−1) b | 141.398 | 78.174 | 10.587 |
Publisher’s Note: MDPI stays neutral with regard to jurisdictional claims in published maps and institutional affiliations. |
© 2022 by the authors. Licensee MDPI, Basel, Switzerland. This article is an open access article distributed under the terms and conditions of the Creative Commons Attribution (CC BY) license (https://creativecommons.org/licenses/by/4.0/).
Share and Cite
Xu, H.; Boeuf, G.; Zhu, K.; Jia, Z.; Kanaev, A.; Azouani, R.; Wu, Z.; Traore, M.; Elm’selmi, A. Laccase Cross-Linked Ultraporous Aluminas for Sustainable Biodegradation of Remazol Brilliant Blue R. Catalysts 2022, 12, 744. https://doi.org/10.3390/catal12070744
Xu H, Boeuf G, Zhu K, Jia Z, Kanaev A, Azouani R, Wu Z, Traore M, Elm’selmi A. Laccase Cross-Linked Ultraporous Aluminas for Sustainable Biodegradation of Remazol Brilliant Blue R. Catalysts. 2022; 12(7):744. https://doi.org/10.3390/catal12070744
Chicago/Turabian StyleXu, Huan, Guilhem Boeuf, Kairuo Zhu, Zixian Jia, Andrei Kanaev, Rabah Azouani, Zhengyan Wu, Mamadou Traore, and Abdellatif Elm’selmi. 2022. "Laccase Cross-Linked Ultraporous Aluminas for Sustainable Biodegradation of Remazol Brilliant Blue R" Catalysts 12, no. 7: 744. https://doi.org/10.3390/catal12070744
APA StyleXu, H., Boeuf, G., Zhu, K., Jia, Z., Kanaev, A., Azouani, R., Wu, Z., Traore, M., & Elm’selmi, A. (2022). Laccase Cross-Linked Ultraporous Aluminas for Sustainable Biodegradation of Remazol Brilliant Blue R. Catalysts, 12(7), 744. https://doi.org/10.3390/catal12070744

