A Promising Catalyst for the Dehydrogenation of Perhydro-Dibenzyltoluene: Pt/Al2O3 Prepared by Supercritical CO2 Deposition
Abstract
:1. Introduction
2. Results and Discussion
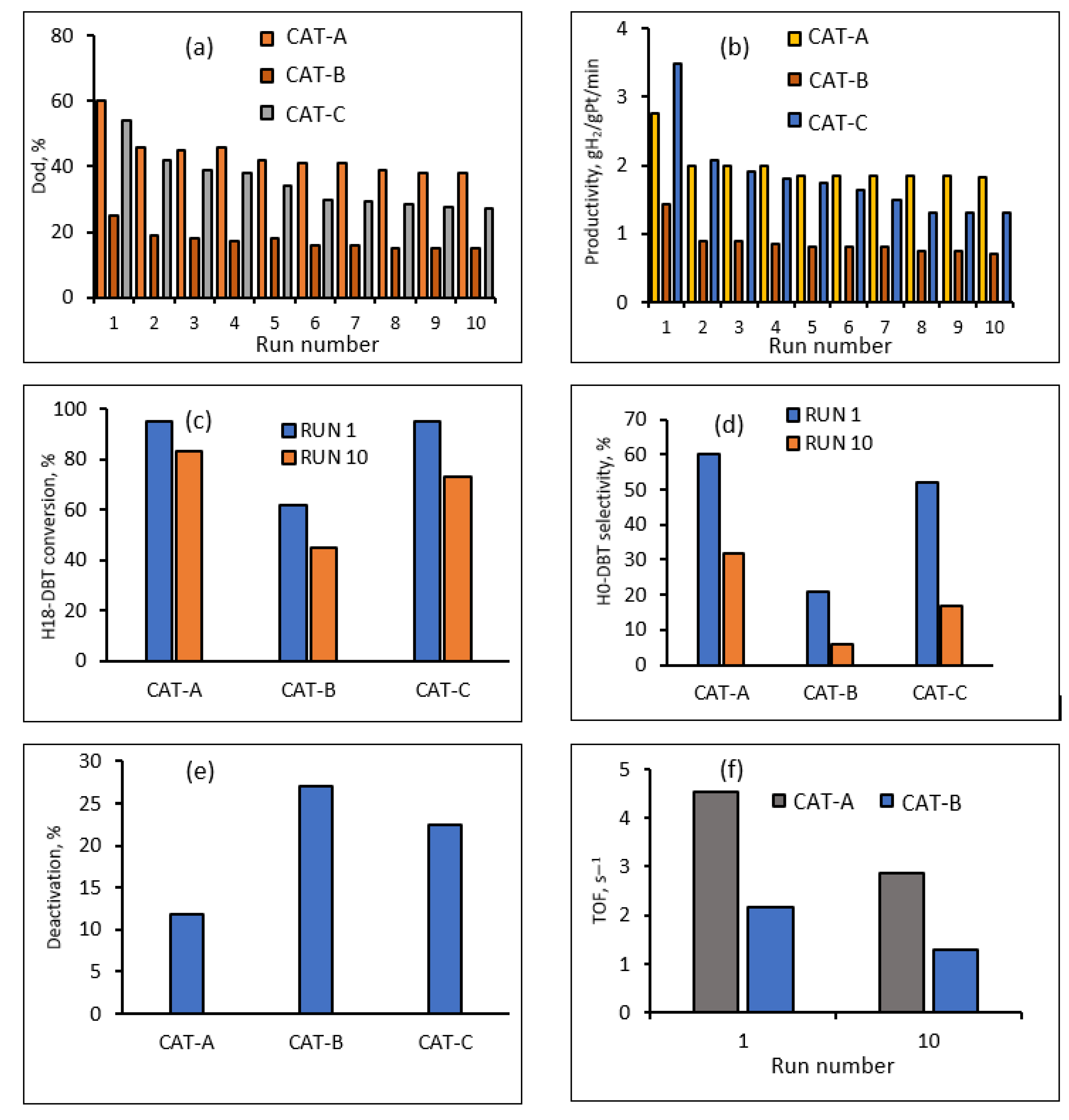
2.1. Catalytic Dehydrogenation
2.2. Characterization
2.2.1. Temperature-Programmed Desorption of Ammonia (NH3-TPD)
2.2.2. Catalyst Deactivation
2.2.3. Analysis of Reaction Mixtures
2.2.4. HAADF–STEM Imaging and STEM–EDX Mapping
3. Materials and Methods
3.1. Catalyst Preparation
3.1.1. Chemicals
3.1.2. Wet Impregnation Method (WI)
3.1.3. Supercritical CO2 Deposition Method (SCD/scCO2)
3.1.4. Determination of Catalyst Performance
3.2. Characterization
4. Conclusions
Supplementary Materials
Author Contributions
Funding
Data Availability Statement
Acknowledgments
Conflicts of Interest
References
- Züttel, A. Hydrogen Storage Methods. Naturwissenschaften 2004, 91, 157–172. [Google Scholar] [CrossRef] [PubMed]
- Barthélémy, H. Hydrogen Storage—Industrial Prospectives. Int. J. Hydrogen Energy 2012, 37, 17364–17372. [Google Scholar] [CrossRef]
- Zhang, M.; Lv, H.; Kang, H.; Zhou, W.; Zhang, C. A Literature Review of Failure Prediction and Analysis Methods for Composite High-Pressure Hydrogen Storage Tanks. Int. J. Hydrogen Energy 2019, 44, 25777–25799. [Google Scholar] [CrossRef]
- Berstad, D.O.; Stang, J.H.; Nekså, P. Comparison Criteria for Large-Scale Hydrogen Liquefaction Processes. Int. J. Hydrogen Energy 2009, 34, 1560–1568. [Google Scholar] [CrossRef]
- Laouir, A. Performance Analysis of Open-Loop Cycles for LH2 Regasification. Int. J. Hydrogen Energy 2019, 44, 22425–22436. [Google Scholar] [CrossRef]
- Lee, S.; Kim, T.; Han, G.; Kang, S.; Yoo, Y.S.; Jeon, S.Y.; Bae, J. Comparative energetic studies on liquid organic hydrogen carrier: A net energy analysis. Renew. Sustain. Energy Rev. 2021, 150, 111447. [Google Scholar] [CrossRef]
- Modisha, P.M.; Ouma, C.N.M.; Garidzirai, R.; Wasserscheid, P.; Bessarabov, D. The Prospect of Hydrogen Storage Using Liquid Organic Hydrogen Carriers. Energy Fuels 2019, 33, 2778–2796. [Google Scholar] [CrossRef]
- Sisakova, K.; Podrojkova, N.; Orinakova, R.; Oriňak, A. Novel Catalysts for Dibenzyltoluene as a Potential Liquid Organic Hydrogen Carrier Use—A Mini-review. Energy Fuels 2021, 35, 7608–7623. [Google Scholar] [CrossRef]
- Rao, P.C.; Yoon, M. Potential liquid-organic hydrogen carrier (LOHC) systems: A review on recent progress. Energies 2020, 13, 6040. [Google Scholar] [CrossRef]
- Brückner, N.; Obesser, K.; Bösmann, A.; Teichmann, D.; Arlt, W.; Dungs, J.; Wasserscheid, P. Evaluation of Industrially Applied Heat-Transfer Fluids as Liquid Organic Hydrogen Carrier Systems. ChemSusChem 2014, 7, 229–235. [Google Scholar] [CrossRef]
- Dong, Y.; Yang, M.; Mei, P.; Li, C.; Li, L. Dehydrogenation Kinetics Study of Perhydro-N-Ethylcarbazole over a Supported Pd Catalyst for Hydrogen Storage Application. Int. J. Hydrogen Energy 2016, 41, 8498–8505. [Google Scholar] [CrossRef]
- Steinhauer, J.; Bachmann, P.; Freiberger, E.M.; Bauer, U.; Steinrück, H.P.; Papp, C. Model Catalytic Studies of Liquid Organic Hydrogen Carriers: Indole/Indoline/Octahydroindole on Ni(111). J. Phys. Chem. C 2020, 124, 22559–22567. [Google Scholar] [CrossRef]
- Chen, Z.; Yang, M.; Zhu, T.; Zhang, Z.; Chen, X.; Liu, Z.; Dong, Y.; Cheng, G.; Cheng, H. 7-Ethylindole: A New Efficient Liquid Organic Hydrogen Carrier with Fast Kinetics. Int. J. Hydrogen Energy 2018, 43, 12688–12696. [Google Scholar] [CrossRef]
- Jorschick, H.; Geißelbrecht, M.; Eßl, M.; Preuster, P.; Bösmann, A.; Wasserscheid, P. Benzyltoluene/Dibenzyltoluene-Based Mixtures as Suitable Liquid Organic Hydrogen Carrier Systems for Low Temperature Applications. Int. J. Hydrogen Energy 2020, 45, 14897–14906. [Google Scholar] [CrossRef]
- Teichmann, D.; Stark, K.; Müller, K.; Zöttl, G.; Wasserscheid, P.; Arlt, W. Energy Storage in Residential and Commercial Buildings via Liquid Organic Hydrogen Carriers (LOHC). Energy Environ. Sci. 2012, 5, 9044–9054. [Google Scholar] [CrossRef] [Green Version]
- Modisha, P.; Gqogqa, P.; Garidzirai, R.; Ouma, C.N.M.; Bessarabov, D. Evaluation of Catalyst Activity for Release of Hydrogen from Liquid Organic Hydrogen Carriers. Int. J. Hydrogen Energy 2019, 44, 21926–21935. [Google Scholar] [CrossRef]
- Modisha, P.; Bessarabov, D. Stress Tolerance Assessment of Dibenzyltoluene-Based Liquid Organic Hydrogen Carriers. Sustain. Energy Fuels 2020, 4, 4662–4670. [Google Scholar] [CrossRef]
- Garidzirai, R.; Modisha, P.; Shuro, I.; Visagie, J.; van Helden, P.; Bessarabov, D. The Effect of Mg and Zn Dopants on Pt/Al2 O3 for the Dehydrogenation of Perhydrodibenzyltoluene. Catalysts 2021, 11, 490. [Google Scholar] [CrossRef]
- Jo, Y.; Oh, J.; Kim, D.; Park, J.H.; Baik, J.H.; Suh, Y.W. Recent progress in dehydrogenation catalysts for heterocyclic and homocyclic liquid organic hydrogen carriers. Korean J. Chem. Eng. 2022, 39, 20–37. [Google Scholar] [CrossRef]
- Auer, F.; Blaumeiser, D.; Bauer, T.; Bösmann, A.; Szesni, N.; Libuda, J.; Wasserscheid, P. Boosting the Activity of Hydrogen Release from Liquid Organic Hydrogen Carrier Systems by Sulfur-Additives to Pt on Alumina Catalysts. Catal. Sci. Technol. 2019, 9, 3537–3547. [Google Scholar] [CrossRef]
- Ouma, C.N.M.; Obodo, K.O.; Modisha, P.M.; Rhyman, L.; Ramasami, P.; Bessarabov, D. Effect of Chalcogen (S, Se and Te) Surface Additives on the Dehydrogenation of a Liquid Organic Hydrogen Carrier System, Octahydroindole–Indole, on a Pt (1 1 1) Surface. Appl. Surf. Sci. 2021, 566, 150636. [Google Scholar] [CrossRef]
- Auer, F.; Hupfer, A.; Bösmann, A.; Szesni, N.; Wasserscheidpeter, P. Influence of the Nanoparticle Size on Hydrogen Release and Side Product Formation in Liquid Organic Hydrogen Carrier Systems with Supported Platinum Catalysts. Catal. Sci. Technol. 2020, 10, 6669–6678. [Google Scholar] [CrossRef]
- Catalyst Development for Improved Economic Viability of LOHC Technology l Programme l H2020 l CORDIS l European Commission (Europa.Eu). Available online: https://cordis.europa.eu/programme/id/H2020_FCH-02-1-2020 (accessed on 25 February 2022).
- Türk, M.; Erkey, C. Synthesis of Supported Nanoparticles in Supercritical Fluids by Supercritical Fluid Reactive Deposition: Current State, Further Perspectives and Needs. J. Supercrit. Fluids 2018, 134, 176–183. [Google Scholar] [CrossRef]
- Seshimo, M.; Hirai, T.; Rahman, M.M.; Ozawa, M.; Sone, M.; Sakurai, M.; Higo, Y.; Kameyama, H. Functionally Graded Pd/γ-Alumina Composite Membrane Fabricated by Electroless Plating with Emulsion of Supercritical CO2. J. Membr. Sci. 2009, 342, 321–326. [Google Scholar] [CrossRef]
- Zhang, Y.; Kang, D.; Saquing, C.; Aindow, M.; Erkey, C. Supported Platinum Nanoparticles by Supercritical Deposition. Ind. Eng. Chem. Res. 2005, 44, 4161–4164. [Google Scholar] [CrossRef]
- Sootodeh, F.; de Vries, T.J.; Woerlee, G.F. 6 CO2 as a Solvent. In Carbon Dioxide Utilisation; North, M., Styring, P., Eds.; de Gruyter: Berlin, Germany, 2019; pp. 79–104. [Google Scholar]
- Ali, A.; Udaya Kumar, G.; Lee, H.J. Parametric Study of the Hydrogenation of Dibenzyltoluene and Its Dehydrogenation Performance as a Liquid Organic Hydrogen Carrier. J. Mech. Sci. Technol. 2020, 34, 3069–3077. [Google Scholar] [CrossRef]
- Lee, S.; Han, G.; Kim, T.; Yoo, Y.S.; Jeon, S.Y.; Bae, J. Connected Evaluation of Polymer Electrolyte Membrane Fuel Cell with Dehydrogenation Reactor of Liquid Organic Hydrogen Carrier. Int. J. Hydrogen Energy 2020, 45, 13398–13405. [Google Scholar] [CrossRef]
- Lee, S.; Lee, J.; Kim, T.; Han, G.; Lee, J.; Lee, K.; Bae, J. Pt/CeO2 Catalyst Synthesized by Combustion Method for Dehydrogenation of Perhydro-Dibenzyltoluene as Liquid Organic Hydrogen Carrier: Effect of Pore Size and Metal Dispersion. Int. J. Hydrogen Energy 2021, 46, 5520–5529. [Google Scholar] [CrossRef]
- Jorschick, H.; Dürr, S.; Preuster, P.; Bösmann, A.; Wasserscheid, P. Operational Stability of a LOHC-Based Hot Pressure Swing Reactor for Hydrogen Storage. Energy Technol. 2019, 7, 146–152. [Google Scholar] [CrossRef] [Green Version]
- Jorschick, H.; Preuster, P.; Dürr, S.; Seidel, A.; Müller, K.; Bösmann, A.; Wasserscheid, P. Hydrogen Storage Using a Hot Pressure Swing Reactor. Energy Environ. Sci. 2017, 10, 1652–1659. [Google Scholar] [CrossRef] [Green Version]
- Gutiérrez-Alejandre, A.; González-Cruz, M.; Trombetta, M.; Busca, G.; Ramírez, J. Characterization of Alumina-Titania Mixed Oxide Supports: Part II: Al2O3-Based Supports. Microporous Mesoporous Mater. 1998, 23, 265–275. [Google Scholar] [CrossRef]
- Shi, Y.; Li, X.; Rong, X.; Gu, B.; Wei, H.; Sun, C. Influence of Support on the Catalytic Properties of Pt-Sn-K/θ-Al2O3 for Propane Dehydrogenation. RSC Adv. 2017, 7, 19841–19848. [Google Scholar] [CrossRef] [Green Version]
- Stanislaus, A.; Absi-Halabi, M.; Al-Doloma, K. Effect of Phosphorus on the Acidity of γ-Alumina and on the Thermal Stability of γ-Alumina Supported Nickel-Molybdenum Hydrotreating Catalysts. Appl. Catal. 1988, 39, 239–253. [Google Scholar] [CrossRef]
- Lai, Y.; He, S.; Li, X.; Sun, C.; Seshan, K. Dehydrogenation of N-Dodecane over PtSn/MgAlO Catalysts: Investigating the Catalyst Performance While Monitoring the Products. Appl. Catal. A Gen. 2014, 469, 74–80. [Google Scholar] [CrossRef]
- Saquing, C.D.; Kang, D.; Aindow, M.; Erkey, C. Investigation of the Supercritical Deposition of Platinum Nanoparticles into Carbon Aerogels. Microporous Mesoporous Mater. 2005, 80, 11–23. [Google Scholar] [CrossRef]
- Modisha, P.M.; Jordaan, J.H.L.; Bösmann, A.; Wasserscheid, P.; Bessarabov, D. Analysis of Reaction Mixtures of Perhydro-Dibenzyltoluene Using Two-Dimensional Gas Chromatography and Single Quadrupole Gas Chromatography. Int. J. Hydrogen Energy 2018, 43, 5620–5636. [Google Scholar] [CrossRef]
- Aslam, R.; Minceva, M.; Müller, K.; Arlt, W. Development of a Liquid Chromatographic Method for the Separation of a Liquid Organic Hydrogen Carrier Mixture. Sep. Purif. Technol. 2016, 163, 140–144. [Google Scholar] [CrossRef]







| Catalyst | Productivity gH2/gPt/min | Degree of Dehydrogenation (%) | H18-DBT Conversion (%) | H0-DBT Selectivity (%) | TOF (s−1) | |||||
|---|---|---|---|---|---|---|---|---|---|---|
| Run 1 | Run 10 | Run 1 | Run 10 | Run 1 | Run 10 | Run 1 | Run 10 | Run 1 | Run 10 | |
| CAT-A | 2.77 | 1.82 | 60 | 38 | 89 | 67 | 38 | 25 | 4.5 | 2.9 |
| CAT-B | 1.42 | 0.71 | 25 | 15 | 31 | 3 | 15 | 5.6 | 2 | 1.3 |
| CAT-C | 3.50 | 1.30 | 54 | 27 | 88 | 38 | 42 | 13 | - | - |
| Catalyst ID | Dispersion (%) | Carbon Content (%) * | NH3–TPD | |||
|---|---|---|---|---|---|---|
| Peak Fraction A (%) | Peak Fraction B (%) | Peak Fraction C (%) | Acidity mmol NH3/g | |||
| CAT-A + | 45 | - | 42 | 58 | - | 0.79 |
| CAT-B + | 32 | - | 33 | 56 | 14 | 0.98 |
| CAT-A $ | 37 | 32 | 14 | 42 | 44 | 0.74 |
| CAT-B $ | 22 | 23 | 17 | 43 | 40 | 0.85 |
Publisher’s Note: MDPI stays neutral with regard to jurisdictional claims in published maps and institutional affiliations. |
© 2022 by the authors. Licensee MDPI, Basel, Switzerland. This article is an open access article distributed under the terms and conditions of the Creative Commons Attribution (CC BY) license (https://creativecommons.org/licenses/by/4.0/).
Share and Cite
Modisha, P.; Garidzirai, R.; Güneş, H.; Bozbag, S.E.; Rommel, S.; Uzunlar, E.; Aindow, M.; Erkey, C.; Bessarabov, D. A Promising Catalyst for the Dehydrogenation of Perhydro-Dibenzyltoluene: Pt/Al2O3 Prepared by Supercritical CO2 Deposition. Catalysts 2022, 12, 489. https://doi.org/10.3390/catal12050489
Modisha P, Garidzirai R, Güneş H, Bozbag SE, Rommel S, Uzunlar E, Aindow M, Erkey C, Bessarabov D. A Promising Catalyst for the Dehydrogenation of Perhydro-Dibenzyltoluene: Pt/Al2O3 Prepared by Supercritical CO2 Deposition. Catalysts. 2022; 12(5):489. https://doi.org/10.3390/catal12050489
Chicago/Turabian StyleModisha, Phillimon, Rudaviro Garidzirai, Hande Güneş, Selmi Erim Bozbag, Sarshad Rommel, Erdal Uzunlar, Mark Aindow, Can Erkey, and Dmitri Bessarabov. 2022. "A Promising Catalyst for the Dehydrogenation of Perhydro-Dibenzyltoluene: Pt/Al2O3 Prepared by Supercritical CO2 Deposition" Catalysts 12, no. 5: 489. https://doi.org/10.3390/catal12050489
APA StyleModisha, P., Garidzirai, R., Güneş, H., Bozbag, S. E., Rommel, S., Uzunlar, E., Aindow, M., Erkey, C., & Bessarabov, D. (2022). A Promising Catalyst for the Dehydrogenation of Perhydro-Dibenzyltoluene: Pt/Al2O3 Prepared by Supercritical CO2 Deposition. Catalysts, 12(5), 489. https://doi.org/10.3390/catal12050489

