Synthesis and Characterization of Mesoporous Silica Nanoparticles Loaded with Pt Catalysts
Abstract
:1. Introduction
2. Results and Discussion
2.1. Synthesis of mSiO2/Pt-5.0/SiO2 and Ring-mSiO2/Pt-5.0/SiO2
2.2. Surface Area Analysis
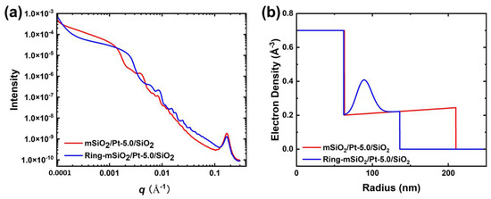
2.3. Ultra-Small-Angle X-Ray Scattering (USAXS)/Small-Angle X-Ray Scattering(SAXS)
2.4. Transmission Electron Microscopy (TEM) Characterization
2.5. In Situ Small-Angle X-Ray Scattering (SAXS) Heating Experiment
2.6. Thermogravimetric Analysis (TGA)
3. Conclusions
4. Materials and Methods
4.1. Chemicals and Materials
4.2. Synthesis of mSiO2/Pt-5.0/SiO2 and Ring-mSiO2/Pt-5.0/SiO2
4.3. Surface Area Analysis
4.4. Ultra Small-Angle X-Ray Scattering (USAXS)
4.5. Transmission Electron Microscopy (TEM)
4.6. SAXS Heating Experiment
4.7. Thermogravimetric Analysis (TGA)
Author Contributions
Funding
Data Availability Statement
Acknowledgments
Conflicts of Interest
References
- Li, W.C.; Tse, H.F.; Fok, L. Plastic waste in the marine environment: A review of sources, occurrence and effects. Sci. Total Environ. 2016, 566–567, 333–349. [Google Scholar] [CrossRef] [PubMed]
- Liang, Y.; Tan, Q.; Song, Q.; Li, J. An analysis of the plastic waste trade and management in Asia. Waste Manag. 2021, 119, 242c253. [Google Scholar] [CrossRef] [PubMed]
- Zhang, F.; Zhao, Y.; Wang, D.; Yan, M.; Zhang, J.; Zhang, P.; Ding, T.; Chen, L.; Chen, C. Current technologies for plastic waste treatment: A review. J. Clean. Prod. 2021, 282, 124523. [Google Scholar] [CrossRef]
- Rochman, C.M.; Browne, M.A.; Halpern, B.S.; Hentschel, B.T.; Hoh, E.; Karapanagioti, H.K.; Rios-Mendoza, L.M.; Takada, H.; Teh, S.; Thompson, R.C. Classify plastic waste as hazardous. Nature 2013, 494, 169–171. [Google Scholar] [CrossRef]
- Browne, M.A.; Dissanayake, A.; Galloway, T.S.; Lowe, D.M.; Thompson, R.C. Ingested Microscopic Plastic Translocates to the Circulatory System of the Mussel, Mytilus edulis (L.). Environ. Sci. Technol. 2008, 42, 5026–5031. [Google Scholar] [CrossRef] [PubMed]
- Law, K.L.; Starr, N.; Siegler, T.R.; Jambeck, J.R.; Mallos, N.J.; Leonard, G.H. The United States’s contribution of plastic waste to land and ocean. Sci. Adv. 2020, 6, eabd0288. [Google Scholar] [CrossRef]
- Ellis, L.D.; Rorrer, N.A.; Sullivan, K.P.; Otto, M.; McGeehan, J.E.; Román-Leshkov, Y.; Wierckx, N.; Beckham, G.T. Chemical and biological catalysis for plastics recycling and upcycling. Nat. Catal. 2021, 4, 539–556. [Google Scholar] [CrossRef]
- Jambeck Jenna, R.; Geyer, R.; Wilcox, C.; Siegler Theodore, R.; Perryman, M.; Andrady, A.; Narayan, R.; Law Kara, L. Plastic waste inputs from land into the ocean. Science 2015, 347, 768–771. [Google Scholar] [CrossRef]
- Rahimi, A.; García, J.M. Chemical recycling of waste plastics for new materials production. Nat. Rev. Chem. 2017, 1, 0046. [Google Scholar] [CrossRef]
- Jie, X.; Li, W.; Slocombe, D.; Gao, Y.; Banerjee, I.; Gonzalez-Cortes, S.; Yao, B.; AlMegren, H.; Alshihri, S.; Dilworth, J.; et al. Microwave-initiated catalytic deconstruction of plastic waste into hydrogen and high-value carbons. Nat. Catal. 2020, 3, 902–912. [Google Scholar] [CrossRef]
- Saeaung, K.; Phusunti, N.; Phetwarotai, W.; Assabumrungrat, S.; Cheirsilp, B. Catalytic pyrolysis of petroleum-based and biodegradable plastic waste to obtain high-value chemicals. Waste Manag. 2021, 127, 101–111. [Google Scholar] [CrossRef]
- Choi, J.; Yang, I.; Kim, S.S.; Cho, S.Y.; Lee, S. Upcycling Plastic Waste into High Value-Added Carbonaceous Materials. Macromol. Rapid Commun. 2021, 43, 2100467. [Google Scholar] [CrossRef] [PubMed]
- Jia, X.; Qin, C.; Friedberger, T.; Guan, Z.; Huang, Z. Efficient and selective degradation of polyethylenes into liquid fuels and waxes under mild conditions. Sci. Adv. 2016, 2, e1501591. [Google Scholar] [CrossRef] [PubMed] [Green Version]
- Okan, M.; Aydin, H.M.; Barsbay, M. Current approaches to waste polymer utilization and minimization: A review. J. Chem. Technol. Biotechnol. 2019, 94, 8–21. [Google Scholar] [CrossRef] [Green Version]
- Borsodi, N.; Szentes, A.; Miskolczi, N.; Wu, C.; Liu, X. Carbon nanotubes synthetized from gaseous products of waste polymer pyrolysis and their application. J. Anal. Appl. Pyrolysis 2016, 120, 304–313. [Google Scholar] [CrossRef]
- Rorrer, J.E.; Beckham, G.T.; Román-Leshkov, Y. Conversion of Polyolefin Waste to Liquid Alkanes with Ru-Based Catalysts under Mild Conditions. JACS Au 2021, 1, 8–12. [Google Scholar] [CrossRef] [PubMed]
- Celik, G.; Kennedy, R.M.; Hackler, R.A.; Ferrandon, M.; Tennakoon, A.; Patnaik, S.; LaPointe, A.M.; Ammal, S.C.; Heyden, A.; Perras, F.A.; et al. Upcycling Single-Use Polyethylene into High-Quality Liquid Products. ACS Cent. Sci. 2019, 5, 1795–1803. [Google Scholar] [CrossRef] [Green Version]
- Hackler, R.A.; Vyavhare, K.; Kennedy, R.M.; Celik, G.; Kanbur, U.; Griffin, P.J.; Sadow, A.D.; Zang, G.; Elgowainy, A.; Sun, P.; et al. Synthetic Lubricants Derived from Plastic Waste and their Tribological Performance. ChemSusChem 2021, 14, 4181–4189. [Google Scholar] [CrossRef]
- Peczak, I.L.; Kennedy, R.M.; Hackler, R.A.; Wang, R.; Shin, Y.; Delferro, M.; Poeppelmeier, K.R. Scalable Synthesis of Pt/SrTiO3 Hydrogenolysis Catalysts in Pursuit of Manufacturing-Relevant Waste Plastic Solutions. ACS Appl. Mater. Interfaces 2021, 13, 58691–58700. [Google Scholar] [CrossRef]
- Lee, J.; Jackson, D.H.K.; Li, T.; Winans, R.E.; Dumesic, J.A.; Kuech, T.F.; Huber, G.W. Enhanced stability of cobalt catalysts by atomic layer deposition for aqueous-phase reactions. Energy Environ. Sci. 2014, 7, 1657–1660. [Google Scholar] [CrossRef]
- Alba-Rubio, A.C.; O’Neill, B.J.; Shi, F.; Akatay, C.; Canlas, C.; Li, T.; Winans, R.; Elam, J.W.; Stach, E.A.; Voyles, P.M.; et al. Pore Structure and Bifunctional Catalyst Activity of Overlayers Applied by Atomic Layer Deposition on Copper Nanoparticles. ACS Catal. 2014, 4, 1554–1557. [Google Scholar] [CrossRef]
- Lu, Z.; Tracy, R.W.; Abrams, M.L.; Nicholls, N.L.; Barger, P.T.; Li, T.; Stair, P.C.; Dameron, A.A.; Nicholas, C.P.; Marshall, C.L. Atomic Layer Deposition Overcoating Improves Catalyst Selectivity and Longevity in Propane Dehydrogenation. ACS Catal. 2020, 10, 13957–13967. [Google Scholar] [CrossRef]
- Xiao, C.; Maligal-Ganesh, R.V.; Li, T.; Qi, Z.; Guo, Z.; Brashler, K.T.; Goes, S.; Li, X.; Goh, T.W.; Winans, R.E.; et al. High-Temperature-Stable and Regenerable Catalysts: Platinum Nanoparticles in Aligned Mesoporous Silica Wells. ChemSusChem 2013, 6, 1915–1922. [Google Scholar] [CrossRef] [PubMed]
- Fang, X.; Liu, Z.; Hsieh, M.-F.; Chen, M.; Liu, P.; Chen, C.; Zheng, N. Hollow Mesoporous Aluminosilica Spheres with Perpendicular Pore Channels as Catalytic Nanoreactors. ACS Nano 2012, 6, 4434–4444. [Google Scholar] [CrossRef] [PubMed]
- Maligal-Ganesh, R.V.; Pei, Y.; Xiao, C.; Chen, M.; Goh, T.W.; Sun, W.; Wu, J.; Huang, W. Sub-5 nm Intermetallic Nanoparticles Confined in Mesoporous Silica Wells for Selective Hydrogenation of Acetylene to Ethylene. ChemCatChem 2020, 12, 3022–3029. [Google Scholar] [CrossRef]
- Tennakoon, A.; Wu, X.; Paterson, A.L.; Patnaik, S.; Pei, Y.; LaPointe, A.M.; Ammal, S.C.; Hackler, R.A.; Heyden, A.; Slowing, I.I.; et al. Catalytic upcycling of high-density polyethylene via a processive mechanism. Nat. Catal. 2020, 3, 893–901. [Google Scholar] [CrossRef]
- Feng, Y.; Panwar, N.; Tng, D.J.H.; Tjin, S.C.; Wang, K.; Yong, K.-T. The application of mesoporous silica nanoparticle family in cancer theranostics. Coord. Chem. Rev. 2016, 319, 86–109. [Google Scholar] [CrossRef]
- Alyassin, Y.; Sayed, E.G.; Mehta, P.; Ruparelia, K.; Arshad, M.S.; Rasekh, M.; Shepherd, J.; Kucuk, I.; Wilson, P.B.; Singh, N.; et al. Application of mesoporous silica nanoparticles as drug delivery carriers for chemotherapeutic agents. Drug Discov. Today 2020, 25, 1513–1520. [Google Scholar] [CrossRef]
- Eivazzadeh-Keihan, R.; Chenab, K.K.; Taheri-Ledari, R.; Mosafer, J.; Hashemi, S.M.; Mokhtarzadeh, A.; Maleki, A.; Hamblin, M.R. Recent advances in the application of mesoporous silica-based nanomaterials for bone tissue engineering. Mater. Sci. Eng. C 2020, 107, 110267. [Google Scholar] [CrossRef]
- Salmani, M.H.; Ehrampoush, M.H.; Eslami, H.; Eftekhar, B. Synthesis, characterization and application of mesoporous silica in removal of cobalt ions from contaminated water. Groundw. Sustain. Dev. 2020, 11, 100425. [Google Scholar] [CrossRef]
- Dong, B.; Pei, Y.; Zhao, F.; Goh, T.W.; Qi, Z.; Xiao, C.; Chen, K.; Huang, W.; Fang, N. In situ quantitative single-molecule study of dynamic catalytic processes in nanoconfinement. Nat. Catal. 2018, 1, 135–140. [Google Scholar] [CrossRef]
- Dong, B.; Pei, Y.; Mansour, N.; Lu, X.; Yang, K.; Huang, W.; Fang, N. Deciphering nanoconfinement effects on molecular orientation and reaction intermediate by single molecule imaging. Nat. Commun. 2019, 10, 4815. [Google Scholar] [CrossRef] [PubMed]
- Dong, B.; Mansour, N.; Pei, Y.; Wang, Z.; Huang, T.; Filbrun, S.L.; Chen, M.; Cheng, X.; Pruski, M.; Huang, W.; et al. Single Molecule Investigation of Nanoconfinement Hydrophobicity in Heterogeneous Catalysis. J. Am. Chem. Soc. 2020, 142, 13305–13309. [Google Scholar] [CrossRef]
- Li, T.; Senesi, A.J.; Lee, B. Small Angle X-ray Scattering for Nanoparticle Research. Chem. Rev. 2016, 116, 11128–11180. [Google Scholar] [CrossRef] [PubMed]
- Li, T.; Karwal, S.; Aoun, B.; Zhao, H.; Ren, Y.; Canlas, C.P.; Elam, J.W.; Winans, R.E. Exploring Pore Formation of Atomic Layer-Deposited Overlayers by in Situ Small- and Wide-Angle X-ray Scattering. Chem. Mater. 2016, 28, 7082–7087. [Google Scholar] [CrossRef]
- Schlumberger, C.; Scherdel, C.; Kriesten, M.; Leicht, P.; Keilbach, A.; Ehmann, H.; Kotnik, P.; Reichenauer, G.; Thommes, M. Reliable surface area determination of powders and meso/macroporous materials: Small-angle X-ray scattering and gas physisorption. Microporous Mesoporous Mater. 2022, 329, 111554. [Google Scholar] [CrossRef]
- Liu, Y.; Paskevicius, M.; Sofianos, M.V.; Parkinson, G.; Wang, S.; Li, C.-Z. A SAXS study of the pore structure evolution in biochar during gasification in H2O, CO2 and H2O/CO2. Fuel 2021, 292, 120384. [Google Scholar] [CrossRef]
- Li, T.; Zan, X.; Winans, R.E.; Wang, Q.; Lee, B. Biomolecular Assembly of Thermoresponsive Superlattices of the Tobacco Mosaic Virus with Large Tunable Interparticle Distances. Angew. Chem. Int. Ed. 2013, 52, 6638–6642. [Google Scholar] [CrossRef]
- George, C.; Littlewood, P.; Stair, P.C. Understanding Pore Formation in ALD Alumina Overcoats. ACS Appl. Mater. Interfaces 2020, 12, 20331–20343. [Google Scholar] [CrossRef]
- Ilavsky, J.; Zhang, F.; Allen, A.J.; Levine, L.E.; Jemian, P.R.; Long, G.G. Ultra-Small-Angle X-ray Scattering Instrument at the Advanced Photon Source: History, Recent Development, and Current Status. Metall. Mater. Trans. A 2013, 44, 68–76. [Google Scholar]






| BET Surface Area (m2/g) | Pore Volume (cm3/g) | BJH Pore Size-Ads (Å) | BJH Pore Size-Des (Å) | |
|---|---|---|---|---|
| mSiO2/Pt-5.0/SiO2 | 1020 | 0.81 | 24 | 24 |
| Ring-mSiO2/Pt-5.0/SiO2 | 950 | 0.71 | 24 | 24 |
Publisher’s Note: MDPI stays neutral with regard to jurisdictional claims in published maps and institutional affiliations. |
© 2022 by the authors. Licensee MDPI, Basel, Switzerland. This article is an open access article distributed under the terms and conditions of the Creative Commons Attribution (CC BY) license (https://creativecommons.org/licenses/by/4.0/).
Share and Cite
Lyu, X.; Wu, X.; Liu, Y.; Huang, W.; Lee, B.; Li, T. Synthesis and Characterization of Mesoporous Silica Nanoparticles Loaded with Pt Catalysts. Catalysts 2022, 12, 183. https://doi.org/10.3390/catal12020183
Lyu X, Wu X, Liu Y, Huang W, Lee B, Li T. Synthesis and Characterization of Mesoporous Silica Nanoparticles Loaded with Pt Catalysts. Catalysts. 2022; 12(2):183. https://doi.org/10.3390/catal12020183
Chicago/Turabian StyleLyu, Xingyi, Xun Wu, Yuzi Liu, Wenyu Huang, Byeongdu Lee, and Tao Li. 2022. "Synthesis and Characterization of Mesoporous Silica Nanoparticles Loaded with Pt Catalysts" Catalysts 12, no. 2: 183. https://doi.org/10.3390/catal12020183
APA StyleLyu, X., Wu, X., Liu, Y., Huang, W., Lee, B., & Li, T. (2022). Synthesis and Characterization of Mesoporous Silica Nanoparticles Loaded with Pt Catalysts. Catalysts, 12(2), 183. https://doi.org/10.3390/catal12020183

