Synthesis of High-Energy Faceted TiO2 Nanocrystals with Enhanced Photocatalytic Performance for the Removal of Methyl Orange
Abstract
1. Introduction
2. Results and Discussion
2.1. XRD Analysis
2.2. Morphology and Microstructure Analysis
2.3. XPS Studies
2.4. UV-Visible Diffuse Reflectance Spectra Studies
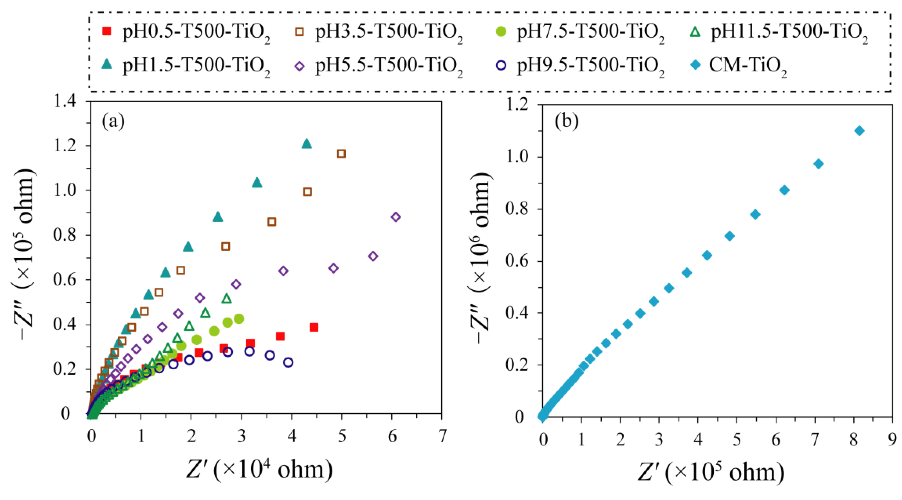
2.5. Electrochemical Impedance Spectroscopy Analysis
2.6. Photocatalytic Activity Analysis
3. Materials and Methods
3.1. Materials
3.2. Synthesis
3.3. Characterization
3.4. Photocatalytic Experiments
4. Conclusions
Author Contributions
Funding
Data Availability Statement
Conflicts of Interest
References
- Pitchaimuthu, S.; Honda, K.; Suzuki, S.; Naito, A.; Suzuki, N.; Katsumata, K.; Nakata, K.; Ishida, N.; Kitamura, N.; Idemoto, Y.; et al. Solution plasma process-derived defect-induced heterophase anatase/brookite TiO2 nanocrystals for enhanced gaseous photocatalytic performance. ACS Omega 2018, 3, 898–905. [Google Scholar] [CrossRef] [PubMed]
- Zou, F.X.; Hu, J.W.; Miao, W.J.; Shen, Y.J.; Ding, J.D.; Jing, X.H. Synthesis and Characterization of Enhanced Photocatalytic Activity with Li+-Doping Nanosized TiO2 Catalyst. ACS Omega 2020, 5, 28510–28516. [Google Scholar] [CrossRef] [PubMed]
- Zhao, J.; Zou, X.X.; Su, J.; Wang, P.P.; Zhou, L.J.; Li, G.D. Synthesis and photocatalytic activity of porous anatase TiO2 microspheres composed of {010}-faceted nanobelts. Dalton Trans. 2013, 42, 4365–4368. [Google Scholar] [CrossRef] [PubMed]
- Roy, A.; Mukhopadhyay, S.; Sujatha Devi, P.S.; Sundaram, S. Polyaniline-layered rutile TiO2 nanorods as alternative photoanode in dye-sensitized solar cells. ACS Omega 2019, 4, 1130–1138. [Google Scholar] [CrossRef] [PubMed]
- Svora, P.; Ecorchard, P.; Pližingrová, E.; Komárková, B.; Pawełkowicz, S.S.; Murafa, N.; Maříková, M.; Darina Smržová, D.; Wagner, B.; Machálková, A.; et al. Influence of inorganic bases on the structure of titanium dioxide based microsheets. ACS Omega 2020, 5, 23703–23717. [Google Scholar] [CrossRef]
- Lee, M.G.; Yang, J.W.; Kwon, H.R.; Jang, H.W. Crystal facet and phase engineering for advanced water splitting. CrystEngComm 2022, 24, 5838–5864. [Google Scholar] [CrossRef]
- Han, X.G.; Kuang, Q.; Jin, M.S.; Xie, Z.X.; Zheng, L.S. Synthesis of titania nanosheets with a high percentage of exposed {001} facets and related photocatalytic properties. J. Am. Chem. Soc. 2009, 131, 3152–3153. [Google Scholar] [CrossRef]
- Xu, H.; Reunchan, P.; Ouyang, S.; Tong, H.; Umezawa, N.; Kako, T.; Ye, J. Anatase TiO2 single crystals exposed with high reactive {111} facets toward efficient H2 evolution. Chem. Mater. 2013, 25, 405–411. [Google Scholar] [CrossRef]
- Wen, P.H.; Itoh, H.; Tang, W.P.; Feng, Q. Single nanocrystals of anatase-type TiO2 prepared from layered titanate nanosheets: Formation mechanism and characterization of surface properties. Langmuir 2007, 23, 11782–11790. [Google Scholar] [CrossRef]
- Yang, H.G.; Sun, C.H.; Qiao, S.Z.; Zou, J.; Liu, G.; Smith, S.C.; Cheng, H.M.; Lu, G.Q. Anatase TiO2 single crystals with a large percentage of reactive facets. Nature 2008, 453, 638–642. [Google Scholar] [CrossRef]
- Pan, J.; Liu, G.; Lu, G.Q.; Cheng, H.M. On the true photoreactivity order of {001}, {010}, and {101} facets of anatase TiO2 Crystals. Angew. Chem. Int. Ed. 2011, 50, 2133–2137. [Google Scholar] [CrossRef]
- Zheng, Z.L.; Huang, B.B.; Lu, J.B.; Qin, X.Y.; Zhang, X.Y.; Ying Dai, Y. Hierarchical TiO2 microspheres: Synergetic effect of {001} and {101} facets for enhanced photocatalytic activity. Chem. Eur. J. 2011, 17, 15032–15038. [Google Scholar] [CrossRef]
- Pan, L.; Zou, J.J.; Wang, S.B.; Liu, X.U.; Zhang, X.W.; Wang, L. Morphology evolution of TiO2 Facets and vital influences on photocatalyic activity. ACS Appl. Mater. Interfaces 2012, 4, 1450–1655. [Google Scholar] [CrossRef]
- Liu, M.; Li, H.M.; Zeng, Y.S.; Huang, T.C. Anatase TiO2 single crystals with dominant {001} facets: Facile fabrication from Ti powders and enhanced photocatalytical activity. Appl. Surf. Sci. 2013, 274, 117–123. [Google Scholar] [CrossRef]
- Pan, F.; Wu, K.; Li, H.X.; Xu, G.Q.; Chen, W. Synthesis of {100} facets dominant anatase TiO2 nanobelts and the origin of facet-dependent photoreactivity. Chem. Eur. J. 2014, 20, 15095–15101. [Google Scholar] [CrossRef]
- Liu, X.G.; Du, G.R.; Li, M. True photoreactivity origin of Ti3+-doped anatase TiO2 crystals with respectively dominated exposed {001}, {101}, and {100} facets. ACS Omega 2019, 4, 14902–14912. [Google Scholar] [CrossRef]
- Žerjav, G.; Pintar, A.; Ferentz, M.; Landau, M.; Haimovich, A.; Goldbourt, A.; Herskowitz, M. Effect of surface chemistry and crystallographic parameters of TiO2 anatase nanocrystals on photocatalytic degradation of Bisphenol A. Catalysts 2019, 9, 447. [Google Scholar] [CrossRef]
- Zarattini, M.; Dun, C.C.; Isherwood, L.H.; Felten, A.; Filippi, J.; Gordon, M.P.; Zhang, L.F.; Kassem, O.; Song, X.J.; Zhang, W.J.; et al. Synthesis of 2D anatase TiO2 with highly reactive facets by fluorine-free topochemical conversion of 1T-TiS2 nanosheets. J. Mater. Chem. A 2022, 10, 13884–13894. [Google Scholar] [CrossRef]
- Du, Y.E.; Feng, Q.; Chen, C.D.; Tanaka, Y.; Yang, X.J. Photocatalytic and Dye-sensitized solar cell perforemances of {010}-faceted and [111]-faceted anatase TiO2 nanocrystals synthesized from tetratitanate nanoribbons. ACS Appl. Mater. Interfaces 2014, 6, 16007–160019. [Google Scholar] [CrossRef]
- Du, Y.E.; Du, D.J.; Feng, Q.; Yang, X.J. Delithiation, exfoliation, and transformation of rock-salt-structured Li2TiO3 to highly exposed {010}-faceted anatase. ACS Appl. Mater. Interfaces 2015, 7, 7995–8004. [Google Scholar] [CrossRef]
- Zhang, H.Z.; Banfield, F. Understanding polymorphic phase transformation behavior during growth of nanocrystalline aggregates: Insights from TiO2. J. Phys. Chem. B 2000, 104, 3481–3487. [Google Scholar] [CrossRef]
- Peng, Y.P.; Lo, S.L.; Ou, H.H.; Lai, S.W. Microwave-assisted hydrothermal synthesis of N-doped titanate nanotubes for visible-light-responsive photocatalysis. J. Hazard. Mater. 2010, 183, 754–758. [Google Scholar] [CrossRef] [PubMed]
- Shang, Q.Q.; Huang, X.; Tan, X.; Tao Yu, T. High Activity Ti3+-Modified Brookite TiO2/Graphene Nanocomposites with Specific Facets Exposed for Water Splitting. Ind. Eng. Chem. Res. 2017, 56, 9098−9106. [Google Scholar] [CrossRef]
- Lin, H.F.; Li, L.P.; Zhao, M.L.; Huang, X.S.; Chen, X.M.; Li, G.S.; Yu, R.C. Synthesis of High-Quality Brookite TiO2 Single-Crystalline Nanosheets with Specific Facets Exposed: Tuning Catalysts from Inert to Highly Reactive. J. Am. Chem. Soc. 2012, 134, 8328–8331. [Google Scholar] [CrossRef] [PubMed]
- Du, Y.E.; Niu, X.J.; Hou, K.; He, X.R.; Zhang, C.F. Microflowery, microspherical, and fan-shaped TiO2 crystals via hierarchical self-assembly of nanorods with exposed specific crystal facets and enhanced photocatalytic performance. Catalysts 2022, 12, 232. [Google Scholar] [CrossRef]
- Zhang, H.M.; Liu, X.L.; Wang, Y.; Liu, P.R.; Cai, W.P.; Zhu, G.S.; Yang, H.G.; Zhao, H.J. Rutile TiO2 films with 100% exposed pyramid-shaped (111) surface: Photoelectron transport properties under UV and visible light irradiation. J. Mater. Chem. A 2013, 1, 2646–2652. [Google Scholar] [CrossRef][Green Version]
- Liu, X.B.; Zhuang, H.Q.; Huang, J.L.; Xu, W.T.; Lin, L.Q.; Zheng, Y.M.; Li, Q.B. Engineering TiO2 nanosheets with exposed (001) facets via the incorporation of Au clusters for boosted photocatalytic hydrogen production. Mater. Adv. 2020, 1, 1608–1612. [Google Scholar] [CrossRef]
- Li, T.; Shen, Z.L.; Shu, Y.L.; Li, X.G.; Jiang, C.J.; Chen, W. Facet-dependent evolution of surface defects in anatase TiO2 by thermal treatment: Implications for environmental applications of photocatalysis. Environ. Sci. Nano 2019, 6, 1740–1753. [Google Scholar] [CrossRef]
- Zhang, N.; Jiang, G.Y.; Chen, X.; Mao, J.Y.; Zhou, Y.J.; Li, Y.S. Rational design of a tubular, interlayer expanded MoS2-N/O doped carbon composite for excellent potassium-ion storage. J. Mater. Chem. A 2019, 7, 9305–9315. [Google Scholar] [CrossRef]
- Shen, L.M.; Bao, N.Z.; Zheng, Y.Q.; Gupta, A.; An, T.C.; Yanagisawa, K. Hydrothermal splitting of titanate fibers to single-crystalline TiO2 nanostructures with controllable crystalline phase, morphology microstructure, and photocatalytic activity. J. Phys. Chem. C 2008, 112, 8809–8818. [Google Scholar] [CrossRef]
- Verma, R.; Gangwar, J.; Srivastava, A.K. Multiphase TiO2 nanostructures: A review of efficient synthesis, growth mechanism, probing capabilities, and applications in bio-safety and health. RSC Adv. 2017, 7, 44199–44224. [Google Scholar] [CrossRef]
- Liu, B.; Khare, A.; Aydil, E.S. TiO2-B/anatase core-shell heterojunction nanowires for photocatalysis. ACS Appl. Mater. Inter. 2011, 3, 4444–4450. [Google Scholar] [CrossRef]
- Zhang, H.; Liu, P.; Li, F.; Liu, H.; Wang, Y.; Zhang, S.; Guo, M.; Cheng, H.; Zhao, H. Facile fabrication of anatase TiO2 microspheres on solid substrates and surface crystal facet transformation from {001} and {100}. Chem. Eur. J. 2011, 17, 5949−5957. [Google Scholar]
- Niu, X.J.; Du, Y.E.; Liu, J.; Li, J.X.; Guo, Y.W. Facile synthesis of TiO2/MoS2 composites with co-exposed high-energy facets for enhanced photocatalytic performance. Micromachines 2022, 13, 1812. [Google Scholar] [CrossRef]
- Du, Y.-E.; Niu, X.J.; Li, W.X.; An, J.; Liu, Y.F.; Chen, Y.Q.; Wang, P.F.; Yang, X.D.; Feng, Q. Microwave-Assisted Synthesis of High-Energy Faceted TiO2 Nanocrystals Derived from Exfoliated Porous Metatitanic Acid Nanosheets with Improved Photocatalytic and Photovoltaic Performance. Materials 2019, 12, 3614. [Google Scholar] [CrossRef]









| Samples | Phase | Exposed Facets | DXRD a (nm) | DFESEM b (nm) | Specific Surface Area (m2/g) | Degradation Percentage (%) |
|---|---|---|---|---|---|---|
| pH0.5-TiO2 | brookite/rutile | {001}/{120} | 22.3 | 30.4 | 51.4 | 69.10 |
| pH1.5-TiO2 | rutile | {110} | 25.0 | 49.4 | 31.7 | 6.33 |
| pH3.5-TiO2 | anatase | {101} | 18.2 | 17.4 | 89.6 | 95.75 |
| pH5.5-TiO2 | anatase | {101}/{010} | 16.5 | 18.9 | 82.8 | 89.47 |
| pH7.5-TiO2 | anatase | {101}/{010} | 15.8 | 19.6 | 79.5 | 73.53 |
| pH9.5-TiO2 | anatase | {101}/{010} | 16.6 | 21.4 | 73.2 | 79.41 |
| pH11.5-TiO2 | brookite | {001}/{120} | 34.8 | 199.2 | 7.9 | 8.99 |
| P25-TiO2 | anatase/rutile | {111}-facets | 20.0 | 26.2 | 52.5 | 81.16 |
| CM-TiO2 | anatase/rutile | without | 54.4 | 60.7 | 7.27 | 61.09 |
| Blank | - | - | - | - | - | 3.44 |
Publisher’s Note: MDPI stays neutral with regard to jurisdictional claims in published maps and institutional affiliations. |
© 2022 by the authors. Licensee MDPI, Basel, Switzerland. This article is an open access article distributed under the terms and conditions of the Creative Commons Attribution (CC BY) license (https://creativecommons.org/licenses/by/4.0/).
Share and Cite
Du, Y.; Niu, X.; Li, W.; Liu, J.; Li, J. Synthesis of High-Energy Faceted TiO2 Nanocrystals with Enhanced Photocatalytic Performance for the Removal of Methyl Orange. Catalysts 2022, 12, 1534. https://doi.org/10.3390/catal12121534
Du Y, Niu X, Li W, Liu J, Li J. Synthesis of High-Energy Faceted TiO2 Nanocrystals with Enhanced Photocatalytic Performance for the Removal of Methyl Orange. Catalysts. 2022; 12(12):1534. https://doi.org/10.3390/catal12121534
Chicago/Turabian StyleDu, Yien, Xianjun Niu, Wanxi Li, Jian Liu, and Jinxiao Li. 2022. "Synthesis of High-Energy Faceted TiO2 Nanocrystals with Enhanced Photocatalytic Performance for the Removal of Methyl Orange" Catalysts 12, no. 12: 1534. https://doi.org/10.3390/catal12121534
APA StyleDu, Y., Niu, X., Li, W., Liu, J., & Li, J. (2022). Synthesis of High-Energy Faceted TiO2 Nanocrystals with Enhanced Photocatalytic Performance for the Removal of Methyl Orange. Catalysts, 12(12), 1534. https://doi.org/10.3390/catal12121534

