Morphology Effects on Structure-Activity Relationship of Pd/Y-ZrO2 Catalysts for Methane Oxidation
Abstract
1. Introduction
2. Experimental
2.1. Catalysts Preparation
2.2. Catalytic Activity Tests
2.3. Catalysts Characterizations
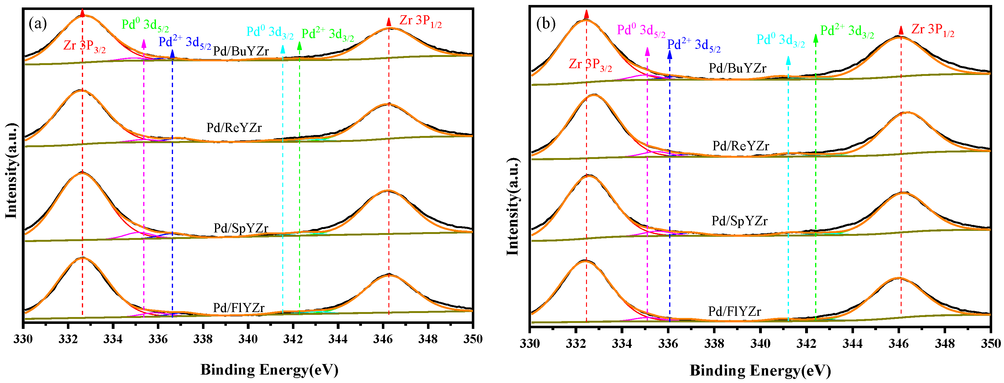
3. Result and Discussion
3.1. Physicochemical Properties of Different Y-ZrO2 Mixed Oxides
3.2. Structural and Textural Properties of Pd/Y-ZrO2 Catalysts with Different Morphologies
3.3. Catalytic Performance
4. Conclusions
Author Contributions
Funding
Conflicts of Interest
References
- Yoshida, H.; Nakajima, T.; Yazawa, Y.; Hattori, T. Support effect on methane combustion over palladium catalysts. Appl. Catal. B Environ. 2007, 71, 70–79. [Google Scholar] [CrossRef]
- Zhao, Z.; Wang, B.; Ma, J.; Zhan, W.; Wang, L.; Guo, Y.; Guo, Y.; Lu, G. Catalytic combustion of methane over Pd/SnO 2 catalysts. Chin. J. Catal. 2017, 38, 1322–1329. [Google Scholar] [CrossRef]
- Barrera, A.; Fuentes, S.; Díaz, G.; Gómez-Cortés, A.; Tzompantzi, F.; Molina, J. Methane oxidation over Pd catalysts supported on binary Al2O3–La2O3 oxides prepared by the sol–gel method. Fuel 2012, 93, 136–141. [Google Scholar] [CrossRef]
- Ramírez-López, R.; Martinez, I.E.; Balderas-Tapia, L. Complete catalytic oxidation of methane over Pd/CeO2–Al2O3: The influence of different ceria loading. Catal. Today 2010, 150, 358–362. [Google Scholar] [CrossRef]
- Amairia, C.; Fessi, S.; Ghorbel, A.; Rives, A. Methane oxidation behaviour over sol–gel derived Pd/Al2O3-ZrO2 materials: Influence of the zirconium precursor. J. Mol. Catal. A Chem. 2010, 332, 25–31. [Google Scholar] [CrossRef]
- Wang, Y.; Shang, H.; Xu, H.; Gong, M.; Chen, Y. Effects of ZnO content on the performance of Pd/Zr0.5Al0.5O1.75 catalysts used in lean-burn natural gas vehicles. Chin. J. Catal. 2014, 35, 1157–1165. [Google Scholar] [CrossRef]
- Du, J.C.; Chang, S.Y.; Huang, W.Q.; He, J.J.; Zhao, Y.K. Progress of the Pd Catalysts for Methane Oxidation under Low Temperature. Mol. Catal. 2015, 29, 482–493. [Google Scholar]
- Fino, D.; Russo, N.; Saracco, G.; Specchia, V. CNG engines exhaust gas treatment via Pd-Spinel-type-oxide catalysts. Catal. Today 2006, 117, 559–563. [Google Scholar] [CrossRef]
- Shi, C.; Zhang, Z.-S.; Crocker, M.; Xu, L.; Wang, C.-Y.; Au, C.; Zhu, A.-M. Non-thermal plasma-assisted NOx storage and reduction on a LaMn0.9Fe0.1O3 perovskite catalyst. Catal. Today 2013, 211, 96–103. [Google Scholar] [CrossRef]
- Lu, Y.; Keav, S.; Marchionni, V.; Chiarello, G.L.; Pappacena, A.; Di Michiel, M.; Newton, M.A.; Weidenkaff, A.; Ferri, D. Ageing induced improvement of methane oxidation activity of Pd/YFeO3. Catal. Sci. Technol. 2014, 4, 2919–2931. [Google Scholar] [CrossRef]
- Park, J.-H.; Cho, J.H.; Kim, Y.J.; Kim, E.S.; Han, H.S.; Shin, C.-H. Hydrothermal stability of Pd/ZrO2 catalysts for high temperature methane combustion. Appl. Catal. B Environ. 2014, 160–161, 135–143. [Google Scholar] [CrossRef]
- Escandón, L.S.; Ordóñez, S.; Vega, A.; Díez, F.V. Oxidation of methane over palladium catalysts: Effect of the support. Chemosphere 2005, 58, 9–17. [Google Scholar] [CrossRef] [PubMed]
- Schma, M.I.; Mariana, M.V.; Souzab, M.; Alegre, V.V.; da Silva, M.A.P.; Cesar, D.; Perez, G.A.d. Methane oxidation-effect of support, precursor and pretreatment conditions-in situ reaction XPS and DRIFT. Catal. Today 2006, 118, 392–401. [Google Scholar] [CrossRef]
- Guerrero, S.; Araya, P.; Wolf, E.E. Methane oxidation on Pd supported on high area zirconia catalysts. Appl. Catal. A Gen. 2006, 298, 243–253. [Google Scholar] [CrossRef]
- Rohart, E.; Larcher, O.; Allain, M.; Ottaviani, E.; Pelissard, S. High Thermo-Stable Hybrid Zirconia Materials for Low Loading Precious Metal Catalyst Technology; SAE paper, No 2005-01-1107; SAE: Warrendale, PA, USA, 2005. [Google Scholar]
- Zheng, T.T.; He, J.J.; Xia, W.Z.; Hochstadt, H.; Yang, J.; Zhao, Y. Study of Pd supported on Y or Ln containing ZrO2 as catalyst for the oxidation of hydrocarbons. Catal. Commun. 2015, 71, 51–55. [Google Scholar] [CrossRef]
- Wu, Y.; Chen, J.; Qu, P.; Hu, W.; Shen, P.; Zhang, G.; Jiao, Y.; Zhong, L.; Chen, Y. Promotion of yttrium (Y) on the water resistance and hydrothermal stability of Pd/ZrO2 catalyst coated on the monolith for complete methane oxidation. J. Taiwan Inst. Chem. Eng. 2019, 103, 44–56. [Google Scholar] [CrossRef]
- Li, L.N.; Chen, Y.Q.; Gong, M.C.; Xiang, Y. Catalytic activity of Fe2O3/YSZ-gamma-Al2O3 for methane combustion. Chem. J. Chin. Univ. 2003, 24, 2235–2238. [Google Scholar]
- Zheng, S.; Guo, H.-X.; Jia, F.-C. Catalytic Combustion of Methane over CuO/ZrO2-Al2O3 Catalysts Modified by MxOy (M = Y, Cr, Mg, Ce). Asian J. Chem. 2013, 25, 4094–4098. [Google Scholar] [CrossRef]
- Force, C.; Roman, E.; Guil, J.M.; Sanz, J. XPS and 1H NMR study of thermally stabilized Rh/CeO2 catalysts submitted to reduction/oxidation treatments. Langmuir ACS J. Surf. Colloids 2007, 23, 4569–4574. [Google Scholar] [CrossRef]
- Montini, T.; Melchionna, M.; Monai, M.; Fornasiero, P. Fundamentals and Catalytic Applications of CeO2-Based Materials. Chem. Rev. 2016, 116, 5987–6041. [Google Scholar] [CrossRef]
- Raju, V.; Jaenicke, S.; Chuah, G.-K. Effect of hydrothermal treatment and silica on thermal stability and oxygen storage capacity of ceria–zirconia. Appl. Catal. B Environ. 2009, 91, 92–100. [Google Scholar] [CrossRef]
- Zheng, T.T.; Lu, J.; Zhao, Y.K. Review on cerium-based composite oxides as oxygen storage materials. Chin. J. Nonferrous Met. 2013, 23, 1575–1585. [Google Scholar]
- Vidal, H.; Kašpar, J.; Pijolat, M.; Colon, G.; Bernal, S.; Cordón, A.; Perrichon, V.; Fally, F. Redox behavior of CeO2–ZrO2 mixed oxides: I. Influence of redox treatments on high surface area catalysts. Appl. Catal. B Environ. 2000, 27, 49–63. [Google Scholar] [CrossRef]
- Ren, Z.H.; Wang, P.; Kong, J.; Wang, M.; Chang, L. Structures and oxygen storage/release capacities of CexZr1−xO2: Effects of Zr content and preparation method. J. Energy Chem. 2017, 26, 647–654. [Google Scholar] [CrossRef]
- Wan, J.; Lin, J.; Guo, X.; Wang, T.; Zhou, R. Morphology effect on the structure-activity relationship of Rh/CeO2-ZrO2 catalysts. Chem. Eng. J. 2019, 368, 719–729. [Google Scholar] [CrossRef]
- Wan, J.; Yang, X.; Wang, T.; Liu, Y.; Zhou, Y.; Wu, G.; Zhou, R. Morphology controllable synthesis of Pd/CeO2-ZrO2 catalysts and its structure-activity relationship in three-way catalytic performance. Prog. Nat. Sci. Mater. Int. 2021, 368, 656–663. [Google Scholar] [CrossRef]
- Shu, Z.; Jiao, X.; Chen, D. Synthesis and photocatalytic properties of flower-like zirconia nanostructures. CrystEngComm 2011, 14, 1122–1127. [Google Scholar] [CrossRef]
- Shu, Z.; Jiao, X.; Chen, D. Template-free solvothermal synthesis of size-controlled yttria-stabilized-zirconia hollow spheres. J. Alloy. Compd. 2011, 509, 9200–9206. [Google Scholar] [CrossRef]
- Goodman, E.D.; Schwalbe, J.A.; Cargnello, M. Mechanistic understanding and the rational design of sinter-resistant heterogeneous catalysts. ACS Catal. 2017, 7, 7156–7173. [Google Scholar] [CrossRef]
- Neimark, A.V.; Sing, K.; Thommes, M. Surface Area and Porosity; Wiley-VCH Verlag GmbH & Co. KGaA: Hoboken, NJ, USA, 2008. [Google Scholar]
- Rouquerol, F.; Rouquerol, J.; Sing, K. Adsorption by Powders and Porous Solids; Academic Press: Cambridge, MA, USA, 2014. [Google Scholar]
- Xu, B.J. Synthesis Characterization and Catalytic Application of Mesoporous Alumina under Carbohydrate Template; China University of Petroleum (East China): Karamay, China, 2006. [Google Scholar]
- Soodeh, S.; Mehran, R. Preparation of highly active nickel catalysts supported on mesoporous nanocrystalline γ-Al2O3 for methane autothermal reforming. Chem. Eng. Technol. 2015, 38, 1637–1645. [Google Scholar]
- Hong, E.; Kim, C.; Lim, D.-H.; Cho, H.-J.; Shin, C.-H. Catalytic methane combustion over Pd/ZrO2 catalysts: Effects of crystalline structure and textural properties. Appl. Catal. B Environ. 2018, 232, 544–552. [Google Scholar] [CrossRef]
- Wu, Y.; Chen, J.; Hu, W.; Zhao, K.; Qu, P.; Shen, P.; Zhao, M.; Zhong, L.; Chen, Y. Phase transformation and oxygen vacancies in Pd/ZrO2 for complete methane oxidation under lean conditions. J. Catal. 2019, 377, 565–576. [Google Scholar] [CrossRef]
- Murata, K.; Mahara, Y.; Ohyama, J.; Yamamoto, Y.; Arai, S. The metal-support interaction concerning the particle size effect of Pd/Al2O3 on methane combustion. Angew. Chem. Int. Ed. 2017, 56, 15993–15997. [Google Scholar] [CrossRef] [PubMed]
- Willis, J.J.; Gallo, A.; Sokaras, D.; Aljama, H.; Nowak, S.H.; Goodman, E.D.; Wu, L.; Tassone, C.J.; Jaramillo, T.F.; Abild-Pedersen, F.; et al. System-atic structure–property relationship studies in palladium-catalyzed methane complete combustion. ACS Catal. 2017, 7, 7810–7821. [Google Scholar] [CrossRef]
- Christensen, A.; Carter, E.A. First-principles study of the surfaces of zirconia. Phys. Rev. B 1998, 58, 8050–8064. [Google Scholar] [CrossRef]
- Lan, L.; Yan, C.; Shanhu, C.; Li, H.; Li, D.; Wang, J.; Chen, Y.; Chen, Y. Designed synthesis of semi-embedded Pd over CeO2-ZrO2/Al2O3 as advanced three-way catalyst. J. Taiwan Inst. Chem. Eng. 2018, 85, 98–105. [Google Scholar] [CrossRef]
- Yazawa, Y.; Yoshida, H.; Komai, S.-I.; Hattori, T. The additive effect on propane combustion over platinum catalyst: Control of the oxidation-resistance of platinum by the electronegativity of additives. Appl. Catal. A Gen. 2002, 233, 113–124. [Google Scholar] [CrossRef]
- Ciuparu, D.; Pfefferle, L. Support and water effects on palladium based methane combustion catalysts. Appl. Catal. A Gen. 2001, 209, 415–428. [Google Scholar] [CrossRef]
- Gholami, R.; Alyani, M.; Smith, K.J. Deactivation of Pd Catalysts by Water during Low Temperature Methane Oxidation Relevant to Natural Gas Vehicle Converters. Catalysts 2015, 5, 561–594. [Google Scholar] [CrossRef]
- Boucly, A.; Artiglia, L.; Roger, M.; Zabilskiy, M.; Beck, A.; Ferri, D.; van Bokhoven, J.A. Water inhibition and role of palladium adatoms on Pd/Al2O3 catalysts during methane oxidation. Appl. Surf. Sci. 2022, 606, 154927. [Google Scholar] [CrossRef]
- Stakheev, A.Y.; Batkin, A.M.; Teleguina, N.S.; Bragina, G.O.; Zaikovsky, V.I.; Prosvirin, I.; Khudorozhkov, A.K.; Bukhtiyarov, V. Particle Size Effect on CH4 Oxidation Over Noble Metals: Comparison of Pt and Pd Catalysts. Top. Catal. 2013, 56, 306–310. [Google Scholar] [CrossRef]
- Fujimoto, K.; Ribeiro, F.H.; Avalos-borja, M.; Iglesia, E. Structure and reactivity of PdOx/ZrO2 catalysts for methane oxidation at low temperatures. J. Catal. 1998, 179, 431–442. [Google Scholar] [CrossRef]
- Christian, A.M.; Marek, M.; Rene, A.K.; Baiker, A. Combustion of methane over palladium/zirconia: Effect of Pd-particle size and role of lattice oxygen. Catal. Today 1999, 47, 245–252. [Google Scholar]
- Kinnunen, N.M.; Hirvi, J.T.; Suvanto, M.; Pakkanen, T.A. Role of the Interface between Pd and PdO in Methane Dissociation. J. Phys. Chem. C 2011, 115, 19197–19202. [Google Scholar] [CrossRef]











| Samples | SBET (m2·g−1) | VP (cm3·g−1) | DP (nm) | |||
|---|---|---|---|---|---|---|
| Fresh | Aged | Fresh | Aged | Fresh | Aged | |
| FlYZr | 22.0 | 14.2 | 0.142 | 0.063 | 12.9 | 9.0 |
| SpYZr | 82.7 | 8.8 | 0.142 | 0.056 | 3.4 | 10.6 |
| ReYZr | 6.5 | 6.9 | 0.022 | 0.025 | 5.6 | 7.2 |
| BuYZr | 106.7 | 34.9 | 0.353 | 0.235 | 6.6 | 13.5 |
| Samples | Pd Content (%) | Pd Dispersion (%) | Pd Particle Size (nm) | ||
|---|---|---|---|---|---|
| Fresh | Fresh | Aged | Fresh | Aged | |
| Pd/FlYZr | 0.41 | 17.6 | 2.9 | 6.4 | 38.3 |
| Pd/SpYZr | 0.46 | 49.4 | 25.9 | 2.3 | 4.3 |
| Pd/ReYZr | 0.42 | 10.5 | 3.4 | 10.6 | 33.1 |
| Pd/BuYZr | 0.41 | 57.0 | 25.7 | 2.0 | 4.4 |
| Samples | Pd 3d5/2 Binding Energy (eV) | Pd2+/(Pd0 + Pd2+) (%) | |
|---|---|---|---|
| Pd0 | Pd2+ | ||
| Pd/FlYZr-F | 353.82 | 336.94 | 47.27% |
| Pd/SpYZr-F | 335.12 | 336.64 | 45.87% |
| Pd/ReYZr-F | 335.37 | 336.94 | 58.65% |
| Pd/BuYZr-F | 334.91 | 336.39 | 47.85% |
| Pd/FlYZr-A | 335.13 | 336.82 | 36.79% |
| Pd/SpYZr-A | 335.54 | 337.01 | 38.73% |
| Pd/ReYZr-A | 335.48 | 336.96 | 34.16% |
| Pd/BuYZr-A | 335.00 | 336.34 | 33.94% |
| Samples | T50 (°C) | |||
|---|---|---|---|---|
| No Water | With Water | |||
| F | A | F | A | |
| Pd/FlYZr | 512 | -- | -- | -- |
| Pd/SpYZr | 516 | 420 | -- | 487 |
| Pd/ReYZr | -- | -- | -- | -- |
| Pd/BuYZr | 496 | 369 | -- | 442 |
Publisher’s Note: MDPI stays neutral with regard to jurisdictional claims in published maps and institutional affiliations. |
© 2022 by the authors. Licensee MDPI, Basel, Switzerland. This article is an open access article distributed under the terms and conditions of the Creative Commons Attribution (CC BY) license (https://creativecommons.org/licenses/by/4.0/).
Share and Cite
Zhang, X.; Zheng, T.; Ma, J.; Wang, C.; Yang, D.; Ning, P. Morphology Effects on Structure-Activity Relationship of Pd/Y-ZrO2 Catalysts for Methane Oxidation. Catalysts 2022, 12, 1420. https://doi.org/10.3390/catal12111420
Zhang X, Zheng T, Ma J, Wang C, Yang D, Ning P. Morphology Effects on Structure-Activity Relationship of Pd/Y-ZrO2 Catalysts for Methane Oxidation. Catalysts. 2022; 12(11):1420. https://doi.org/10.3390/catal12111420
Chicago/Turabian StyleZhang, Xiujuan, Tingting Zheng, Jiangli Ma, Chengxiong Wang, Dongxia Yang, and Ping Ning. 2022. "Morphology Effects on Structure-Activity Relationship of Pd/Y-ZrO2 Catalysts for Methane Oxidation" Catalysts 12, no. 11: 1420. https://doi.org/10.3390/catal12111420
APA StyleZhang, X., Zheng, T., Ma, J., Wang, C., Yang, D., & Ning, P. (2022). Morphology Effects on Structure-Activity Relationship of Pd/Y-ZrO2 Catalysts for Methane Oxidation. Catalysts, 12(11), 1420. https://doi.org/10.3390/catal12111420
