Promotion Effect of Ce Doping on Catalytic Performance of LaMnO3 for CO Oxidation
Abstract
1. Introduction
2. Results and Discussion
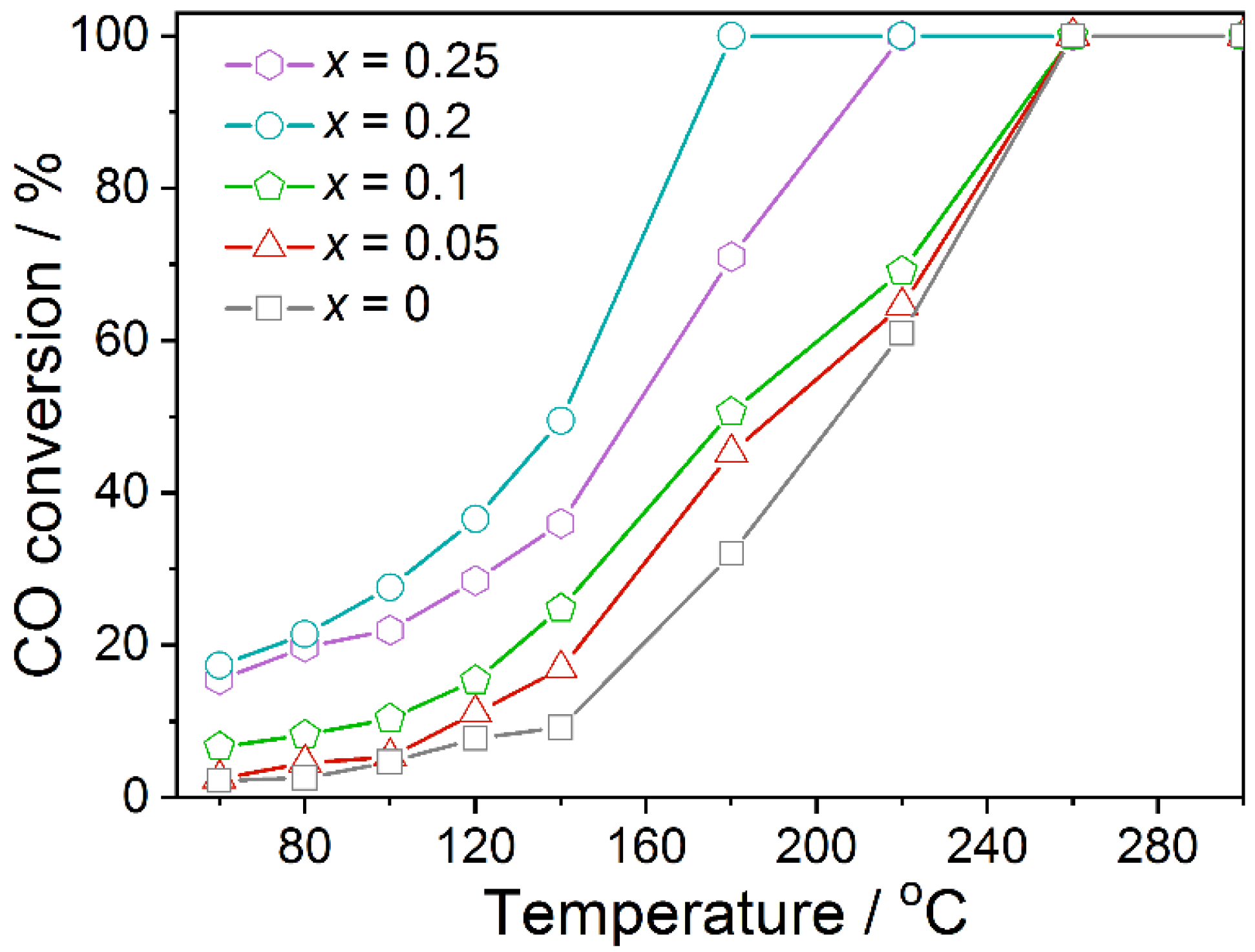
2.1. Catalytic Performance
2.2. XRD and Raman Results
2.3. N2 Physisorption Isotherms
2.4. TEM Results
2.5. XPS Results
2.6. H2-TPR Results
2.7. Stability Test of La0.8Ce0.2MnO3
3. Experimental
3.1. Catalyst’s Preparation
3.2. Catalyst Characterization
3.3. Catalytic Test
4. Conclusions
Author Contributions
Funding
Conflicts of Interest
References
- Konsolakis, M.; Yentekakis, I.V. Insight into the role of electropositive promoters in emission control catalysis: An in situ drifts study of NO reduction by C3H6 over Na-promoted Pt/Al2O3 catalysts. Top. Catal. 2013, 56, 165–171. [Google Scholar] [CrossRef]
- Altass, H.M.; Morad, M.; Khder, A.E.-R.S.; Mannaa, M.A.; Jassas, R.S.; Alsimaree, A.A.; Ahmed, S.A.; Salama, R.S. Enhanced catalytic activity for CO oxidation by highly active Pd nanoparticles supported on reduced graphene oxide/copper metal organic framework. J. Taiwan Inst. Chem. Eng. 2021, 128, 194–208. [Google Scholar] [CrossRef]
- Brook, R.D.; Franklin, B.; Cascio, W.; Hong, Y.; Howard, G.; Lipsett, M.; Luepker, R.; Mittleman, M.; Samet, J.; Smith, S.C., Jr.; et al. Air pollution and cardiovascular disease: A statement for healthcare professionals from the Expert Panel on Population and Prevention Science of the American Heart Association. Circulation 2004, 109, 2655–2671. [Google Scholar] [CrossRef] [PubMed]
- Wang, S.; Xu, X.L.; Xiao, P.; Zhu, J.J.; Liu, X.Y. Cooperative effect between copper species and oxygen vacancy in Ce0.7–xZrxCu0.3O2 catalysts for carbon monoxide oxidation. Front. Chem. Sci. Eng. 2021, 15, 1524–1536. [Google Scholar] [CrossRef]
- Alshorifi, F.T.; Ali, S.L.; Salama, R.S. Promotional synergistic effect of Cs-Au NPs on the performance of Cs-Au/MgFe2O4 catalysts in catalysis 3,4-Dihydropyrimidin-2(1H)-Ones and degradation of RhB Dye. J. Inorg. Organomet. Polym. Mater. 2022, 32, 3765–3776. [Google Scholar] [CrossRef]
- Eichhorn, L.; Thudium, M.; Juttner, B. The diagnosis and treatment of carbon monoxide poisoning. Dtsch. Arztebl. Int. 2018, 115, 863–870. [Google Scholar] [CrossRef] [PubMed]
- Li, X.N.; Wang, L.N.; Mou, L.H.; He, S.G. Catalytic CO oxidation by gas-phase metal oxide clusters. J. Phys. Chem. A 2019, 123, 9257–9267. [Google Scholar] [CrossRef] [PubMed]
- López-Suárez, F.E.; Bueno-López, A.; Illán-Gómez, M.J.; Trawczynski, J. Potassium-copper perovskite catalysts for mild temperature diesel soot combustion. J. Mol. Catal. A Chem. 2014, 485, 214–221. [Google Scholar] [CrossRef]
- Zhang, C.; Wang, C.; Zhan, W.; Guo, Y.; Guo, Y.; Lu, G.; Baylet, A.; Giroir-Fendler, A. Catalytic oxidation of vinyl chloride emission over LaMnO3 and LaB0.2Mn0.8O3 (B=Co, Ni, Fe) catalysts. Appl. Catal. B Environ. 2013, 129, 509–516. [Google Scholar] [CrossRef]
- Zhu, J.; Li, H.; Zhong, L.; Xiao, P.; Xu, X.; Yang, X.; Zhao, Z.; Li, J. Perovskite oxides: Preparation, characterizations, and applications in heterogeneous catalysis. ACS Catal. 2014, 4, 2917–2940. [Google Scholar] [CrossRef]
- Royer, S.; Alamdari, H.; Duprez, D.; Kaliaguine, S. Oxygen storage capacity of La1−xA′xBO3 perovskites (with A′=Sr, Ce; B=Co, Mn)-relation with catalytic activity in the CH4 oxidation reaction. Appl. Catal. B Environ. 2005, 58, 273–288. [Google Scholar] [CrossRef]
- Ivanov, D.V.; Sadovskaya, E.M.; Pinaeva, L.G.; Isupova, L.A. Influence of oxygen mobility on catalytic activity of La–Sr–Mn–O composites in the reaction of high temperature N2O decomposition. J. Catal. 2009, 267, 5–13. [Google Scholar] [CrossRef]
- Zhou, Y.; Wang, Z.; Liu, C. Perspective on CO oxidation over Pd-based catalysts. Catal. Sci. Technol. 2015, 5, 69–81. [Google Scholar] [CrossRef]
- Al Soubaihi, R.; Saoud, K.; Dutta, J. Critical review of low-temperature CO oxidation and hysteresis phenomenon on heterogeneous catalysts. Catalysts 2018, 8, 660. [Google Scholar] [CrossRef]
- Nakamura, T.; Misono, M.; Yoneda, Y. Reduction-oxidation and catalytic properties of perovskite-type mixed oxide catalysts (La1-xSrxCoO3). Chem. Lett. 1981, 10, 1589–1592. [Google Scholar] [CrossRef]
- Myung, C.-L.; Jang, W.; Kwon, S.; Ko, J.; Jin, D.; Park, S. Evaluation of the real-time de-NOx performance characteristics of a LNT-equipped Euro-6 diesel passenger car with various vehicle emissions certification cycles. Energy 2017, 132, 356–369. [Google Scholar] [CrossRef]
- Alifanti, M.; Florea, M.; Pârvulescu, V.I. Ceria-based oxides as supports for LaCoO3 perovskite catalysts for total oxidation of VOC. Appl. Catal. B Environ. 2007, 70, 400–405. [Google Scholar] [CrossRef]
- Wang, S.; Xu, X.; Zhu, J.; Tang, D.; Zhao, Z. Effect of preparation method on physicochemical properties and catalytic performances of LaCoO3 perovskite for CO oxidation. J. Rare Earths 2019, 37, 970–977. [Google Scholar] [CrossRef]
- Zhu, X.; Zhang, S.; Yang, Y.; Zheng, C.; Zhou, J.; Gao, X.; Tu, X. Enhanced performance for plasma-catalytic oxidation of ethyl acetate over La1-xCexCoO3+δ catalysts. Appl. Catal. B Environ. 2017, 213, 97–105. [Google Scholar] [CrossRef]
- Xiang, X.P.; Zhao, L.H.; Teng, B.T.; Lang, J.J.; Hu, X.; Li, T.; Fang, Y.A.; Luo, M.F.; Lin, J.J. Catalytic combustion of methane on La1−xCexFeO3 oxides. Appl. Surf. Sci. 2013, 276, 328–332. [Google Scholar] [CrossRef]
- Mathieu-Deremince, V.; Nagy, J.B.; Verbist, J.J. Structure and catalytic activity of mixed oxides of perovskite structure. Stud. Surf. Sci. Catal. 1995, 96, 393–404. [Google Scholar]
- Zhou, H.; Wu, Q.; Qi, B. Facile one-step flame synthesis of La1-xSrxMnO3 nanoparticles for CO catalytic oxidation. J. Chem. 2021, 2021, 9472008. [Google Scholar] [CrossRef]
- Huang, X.; Niu, P.; Pan, H.; Shang, X. Micromorphological control of porous LaMnO3 and LaMn0.8Fe0.2O3 and its catalytic oxidation performance for CO. J. Solid State Chem. 2018, 265, 218–226. [Google Scholar] [CrossRef]
- Cimino, S.; Lisi, L.; De Rossi, S.; Faticanti, M.; Porta, P. Methane combustion and CO oxidation on LaAl1-xMnxO3 perovskite-type oxide solid solutions. Appl. Catal. B Environ. 2003, 43, 397–406. [Google Scholar] [CrossRef]
- Russo, N.; Fino, D.; Saracco, G.; Specchia, V. Promotion effect of Au on perovskite catalysts for the regeneration of diesel particulate filters. Catal. Today 2008, 137, 306–311. [Google Scholar] [CrossRef]
- Abrashev, M.V.; Litvinchuk, A.P.; Iliev, M.N.; Meng, R.L.; Popov, V.N.; Ivanov, V.G.; Chakalov, R.A.; Thomsen, C. Comparative study of optical phonons in the rhombohedrally distorted perovskites LaAlO3 and LaMnO3. Phys. Rev. B 1999, 59, 4146–4153. [Google Scholar] [CrossRef]
- Zhou, Y.; Ren, S.; Yang, J.; Liu, W.; Su, Z.; Chen, Z.; Wang, M.; Chen, L. Effect of oxygen vacancies on improving NO oxidation over CeO2 [32] and [17] facets for fast SCR reaction. J. Environ. Chem. Eng. 2021, 9, 106218. [Google Scholar] [CrossRef]
- Guo, X.; Meng, M.; Dai, F.; Li, Q.; Zhang, Z.; Jiang, Z.; Zhang, S.; Huang, Y. NOx-assisted soot combustion over dually substituted perovskite catalysts La1-xKxCo1-yPdyO3-δ. Appl. Catal. B Environ. 2013, 142–143, 278–289. [Google Scholar] [CrossRef]
- Alifanti, M.; Kirchnerova, J.; Delmon, B. Effect of substitution by cerium on the activity of LaMnO3 perovskite in methane combustion. J. Mol. Catal. A Chem. 2003, 245, 231–244. [Google Scholar] [CrossRef]
- Peng, Y.; Wang, C.; Li, J. Structure-activity relationship of VOx/CeO2 nanorod for NO removal with ammonia. Appl. Catal. B Environ. 2014, 144, 538–546. [Google Scholar] [CrossRef]
- Bêche, E.; Charvin, P.; Perarnau, D.; Abanades, S.; Flamant, G. Ce 3d XPS investigation of cerium oxides and mixed cerium oxide (CexTiyOz). Surf. Interface Anal. 2008, 40, 264–267. [Google Scholar] [CrossRef]
- Sakthivel, T.S.; Reid, D.L.; Bhatta, U.M.; Möbus, G.; Sayle, D.C.; Seal, S. Engineering of nanoscale defect patterns in CeO2 nanorods via ex situ and in situ annealing. Nanoscale 2015, 7, 5169–5177. [Google Scholar] [CrossRef] [PubMed]
- Holgado, J.P.; Munuera, G.; Espinós, J.P.; González-Elipe, A.R. XPS study of oxidation processes of CeOx defective layers. Appl. Surf. Sci. 2000, 158, 164–171. [Google Scholar] [CrossRef]
- Liu, X.; Zhou, K.; Wang, L.; Wang, B.; Li, Y. Oxygen vacancy clusters promoting reducibility and activity of ceria nanorods. J. Am. Chem. Soc. 2009, 131, 3140–3141. [Google Scholar] [CrossRef]
- Hammami, R.; Aïssa, S.B.; Batis, H. Effects of thermal treatment on physico-chemical and catalytic properties of lanthanum manganite LaMnO3+y. J. Mol. Catal. A Chem. 2009, 353, 145–153. [Google Scholar] [CrossRef]
- Magkoev, T.T.; Zaalishvili, V.B.; Burdzieva, O.G.; Tuaev, G.E.; Grigorkina, G.S. Interaction of Co, Mn, and Fe atoms with calcite: An X-ray photoelectron spectroscopy study. Geochem. Int. 2019, 57, 98–103. [Google Scholar] [CrossRef]
- Fierro, J.L.G.; Tejuca, L.G. Non-stoichiometric surface behaviour of LaMO3 oxides as evidenced by XPS. Appl. Surf. Sci. 1987, 27, 453–457. [Google Scholar] [CrossRef]
- Lisi, L.; Bagnasco, G.; Ciambelli, P.; De Rossi, S.; Porta, P.; Russo, G.; Turco, M. Perovskite-type oxides: II. redox properties of LaMn1-xCuxO3 and LaCo1-xCuxO3 and methane catalytic combustion. J. Solid State Chem. 1999, 146, 176–183. [Google Scholar] [CrossRef]
- Zhu, J.; Zhao, Y.; Tang, D.; Zhao, Z.; Carabineiro, S.A.C. Aerobic selective oxidation of alcohols using La1-xCexCoO3 perovskite catalysts. J. Catal. 2016, 340, 41–48. [Google Scholar] [CrossRef]







| Catalyst | BET Surface Area (m2/g) | Reaction Conditions | CO Conversion | Reference | |
|---|---|---|---|---|---|
| T50 (°C) | T100 (°C) | ||||
| La0.8Ce0.2MnO3 | 25.8 | 0.5% CO and 6.5% O2; WHSV = 30,000 mL/(g·h) | 140 | 180 | This work |
| La0.4Sr0.6MnO3 | 12.0 | 1.0% CO and 10.0% O2; WHSV = 90,000 mL/(g·h) | 135 | 163 | [22] |
| LaMn0.8Fe0.2O3 | 55.7 | 1.0% CO and 1.25%/O2; GHSV = 12,000 h–1 | 187 | 200 | [23] |
| LaAl0.8Mn0.2O3 | 25.0 | 1% CO and 20% O2; GHSV = 12,000 h−1 | 127 | 227 | [24] |
| 2 wt% Au-LaMnO3 | 17.7 | 2300 ppm CO and 7% O2; WHSV = 30,000 mL/(g·h) | 234 | 290 | [25] |
| Catalysts | Ce3+/(Ce3+ + Ce4+) | Mn4+/Mn3+ | Oβ/Oγ |
|---|---|---|---|
| LaMnO3 | - | 0.55 | 0.62 |
| La0.9Ce0.1MnO3 | 0.23 | 0.29 | 0.65 |
| La0.8Ce0.2MnO3 | 0.27 | 0.35 | 0.81 |
| La0.75Ce0.25MnO3 | 0.20 | 0.82 | 0.58 |
Publisher’s Note: MDPI stays neutral with regard to jurisdictional claims in published maps and institutional affiliations. |
© 2022 by the authors. Licensee MDPI, Basel, Switzerland. This article is an open access article distributed under the terms and conditions of the Creative Commons Attribution (CC BY) license (https://creativecommons.org/licenses/by/4.0/).
Share and Cite
Wang, N.; Wang, S.; Yang, J.; Xiao, P.; Zhu, J. Promotion Effect of Ce Doping on Catalytic Performance of LaMnO3 for CO Oxidation. Catalysts 2022, 12, 1409. https://doi.org/10.3390/catal12111409
Wang N, Wang S, Yang J, Xiao P, Zhu J. Promotion Effect of Ce Doping on Catalytic Performance of LaMnO3 for CO Oxidation. Catalysts. 2022; 12(11):1409. https://doi.org/10.3390/catal12111409
Chicago/Turabian StyleWang, Nan, Shan Wang, Jie Yang, Ping Xiao, and Junjiang Zhu. 2022. "Promotion Effect of Ce Doping on Catalytic Performance of LaMnO3 for CO Oxidation" Catalysts 12, no. 11: 1409. https://doi.org/10.3390/catal12111409
APA StyleWang, N., Wang, S., Yang, J., Xiao, P., & Zhu, J. (2022). Promotion Effect of Ce Doping on Catalytic Performance of LaMnO3 for CO Oxidation. Catalysts, 12(11), 1409. https://doi.org/10.3390/catal12111409

