Sustainable Amination of Bio-Based Alcohols by Hydrogen Borrowing Catalysis
Abstract
1. Introduction
2. Amination of Bio-Based Alcohols by Hydrogen Borrowing Catalysis
2.1. Fatty Alcohols
2.2. Terpenoids
2.3. Furan Derivatives
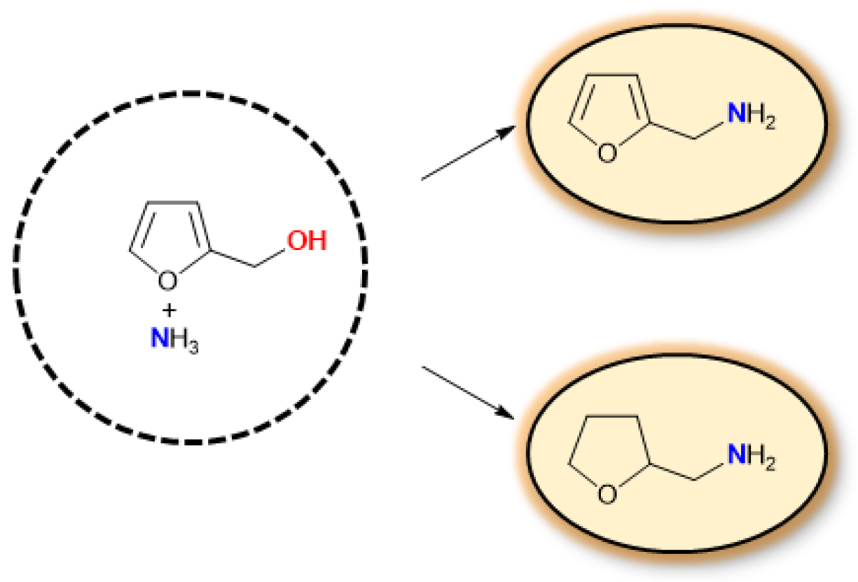
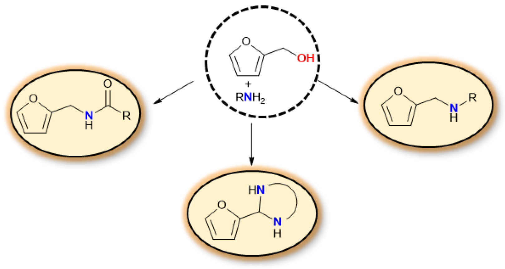
2.3.1. Furfuryl Alcohol
Ammonia as a Nitrogen Source
Primary Amines as a Nitrogen Source
Tertiary Amines as Nitrogen Sources
2.3.2. 1-(2-Furyl)ethanol
2.3.3. 5-Methylfurfuryl Alcohol
2.3.4. 5-(Hydroxymethyl)furfural
2.3.5. 2,5-Bis(hydroxymethym)furan
2.4. Polyfunctional Alcohols
2.4.1. α-hydroxy Amides
2.4.2. α-hydroxy Acids
2.4.3. α-and β-hydroxy Esters
2.5. Polyols
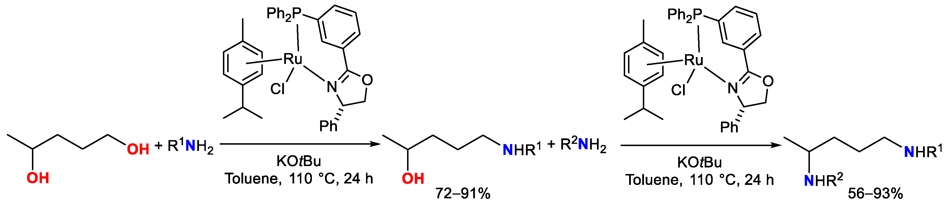
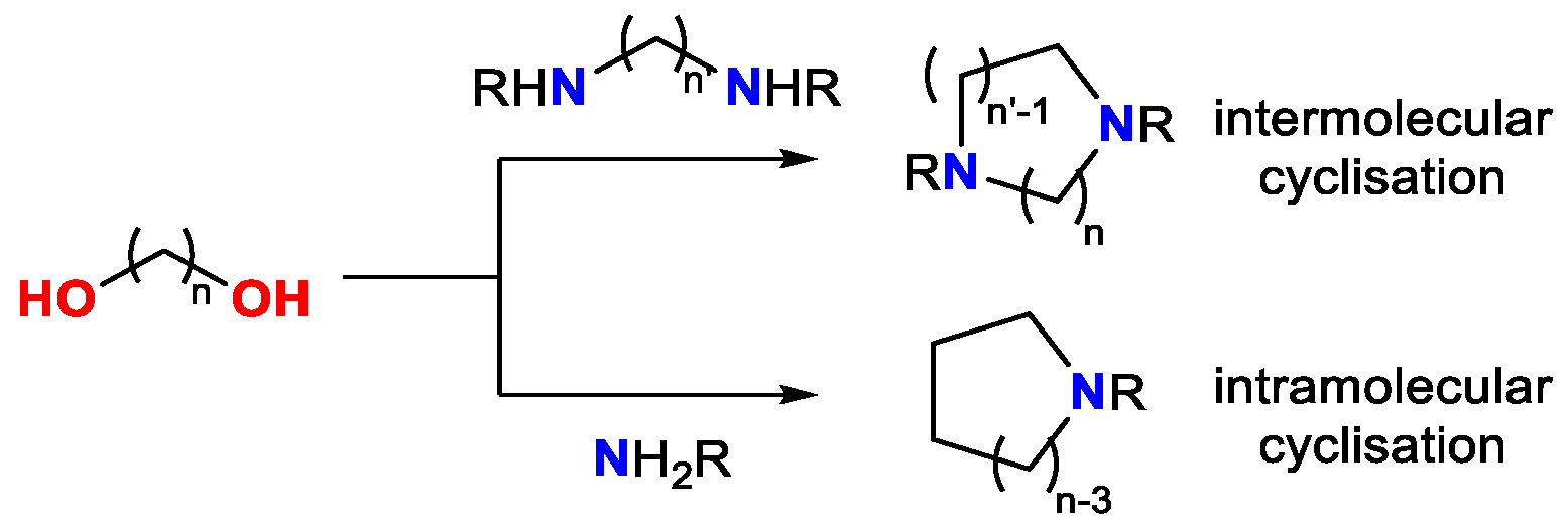
2.5.1. Diols
Diamines and Amino Alcohol Synthesis
| Diamination | Monoamination | |||
|---|---|---|---|---|
| Heterogeneous Catalysts | zeolite | [65] | zeolites | [65,66] |
| Ni-Cu-Cr2O3 | [63] | Ni-Cu-Cr2O3 | [63] | |
| Ru/Co/Al2O3 | [63] | Ru/Co/Al2O3 | [67] | |
| Ru-Co-Sn | [68] | Ru-Co-Sn | [68] | |
| CuNiAlOx | [69] | CuNiAlOx | [69] | |
| Re-Ru-Co | [67] | Re-Ru-Co | [70] | |
| Co-Fe | [52] | Co-Fe | [52] | |
| Cu-Zn-Zr oxide | [71] | Cu-Zn-Zr oxide | [71] | |
| Cu/Al2O3 | [64,72] | Cu/Al2O3 | [72,73] | |
| Cu-Ni-Ca-Ba | [74] | Ni nanoparticles | [14] | |
| Pt-Sn/γ-Al2O3 | [62] | CuCrO | [75] | |
| Ru/Al2O3 | [51] | RhIn/C | [76,77] | |
| Ru/C | [78] | Co/γ-Al2O3 | [79] | |
| Re-Ru-Co | [70] | |||
| RANEY® Ni | [22] | |||
| Co-Fe | [53] | |||
| Homogeneous Catalysts | [RuCl3·xH20] | [80] | [RuCl3·xH20]/PPh3 | [80] |
| [RuCl2(PPh3)3] | [64] | [RuCl2(PPh3)3] | [64,80] | |
| [Ru3(CO)12]/ CataCXium PCy | [59] | [Ru3(CO)12]/ CataCXium PCy | [59] | |
| [RuCl(p-cymene)(P,N)] [Cl] | [61] | [RuCl(p-cymene)(P,N)] [Cl] | [61] | |
| [IrCl2Cp*(NHC)] | [50] | [IrCl2Cp*(NHC)] | [50,81] | |
| [Ru3(CO)12]/ PNP | [16,36,82,83,84,85,86] | [Ru3(CO)12]/ PNP | [16,83,85,86] | |
| [IrCl3·xH20]/PPh3 | [80,87] | [RuHCl(PPh3)3] | [80] | |
| [RuHCl(CO)(PPh3)3]/ Xantphos | [48] | [RuHCl(CO)(PPh3)3]/ Triphos | [84] | |
| [RuCl2(p-cymene)]2/ DPEphos | [54,60] | |||
| [RuCl2(p-cymene)]2/ Josiphos | [88] | |||
| [IrH2Cl{(iPr2PC2H4)2NH}] | [87] | |||
| [Fe(CO)4 (cyclopentadienone)] | [89] | |||
Cyclization Reactions
Aromatic Heterocycles Formation
2.5.2. Isohexides
Ammonia as a Nitrogen Source
Primary Amines as Nitrogen Sources
2.5.3. Triols
2.5.4. Carbohydrates
Protected Carbohydrates
Unprotected Carbohydrates
3. Conclusions: Challenges and Future Directions
Author Contributions
Funding
Acknowledgments
Conflicts of Interest
References
- Esposito, D.; Antonietti, M. Redefining Biorefinery: The Search for Unconventional Building Blocks for Materials. Chem. Soc. Rev. 2015, 44, 5821–5835. [Google Scholar] [CrossRef] [PubMed]
- Corma, A.; Iborra, S.; Velty, A. Chemical Routes for the Transformation of Biomass into Chemicals. Chem. Rev. 2007, 107, 2411–2502. [Google Scholar] [CrossRef] [PubMed]
- Trowbridge, A.; Walton, S.M.; Gaunt, M.J. New Strategies for the Transition-Metal Catalyzed Synthesis of Aliphatic Amines. Chem. Rev. 2020, 120, 2613–2692. [Google Scholar] [CrossRef] [PubMed]
- He, J.; Chen, L.; Liu, S.; Song, K.; Yang, S.; Riisager, A. Sustainable Access to Renewable N-Containing Chemicals from Reductive Amination of Biomass-Derived Platform Compounds. Green Chem. 2020, 22, 6714–6747. [Google Scholar] [CrossRef]
- Corma, A.; Navas, J.; Sabater, M.J. Advances in One-Pot Synthesis through Borrowing Hydrogen Catalysis. Chem. Rev. 2018, 118, 1410–1459. [Google Scholar] [CrossRef]
- Reed-Berendt, B.G.; Latham, D.E.; Dambatta, M.B.; Morrill, L.C. Borrowing Hydrogen for Organic Synthesis. ACS Cent. Sci. 2021, 7, 570–585. [Google Scholar] [CrossRef] [PubMed]
- Podyacheva, E.; Afanasyev, O.I.; Vasilyev, D.V.; Chusov, D. Borrowing Hydrogen Amination Reactions: A Complex Analysis of Trends and Correlations of the Various Reaction Parameters. ACS Catal. 2022, 12, 7142–7198. [Google Scholar] [CrossRef]
- Rahimpour, M.R.; Dehnavi, M.R.; Allahgholipour, F.; Iranshahi, D.; Jokar, S.M. Assessment and Comparison of Different Catalytic Coupling Exothermic and Endothermic Reactions: A Review. Appl. Energy 2012, 99, 496–512. [Google Scholar] [CrossRef]
- Guillena, G.; Ramón, D.J.; Yus, M. Hydrogen Autotransfer in the N-Alkylation of Amines and Related Compounds Using Alcohols and Amines as Electrophiles. Chem. Rev. 2010, 110, 1611–1641. [Google Scholar] [CrossRef]
- Winans, C.F.; Adkins, H. The Alkylation of Amines as Catalyzed by Nickel. J. Am. Chem. Soc. 1932, 54, 306–312. [Google Scholar] [CrossRef]
- Grigg, R.; Mitchell, T.R.B.; Sutthivaiyakit, S.; Tongpenyai, N. Transition Metal-Catalysed N-Alkylation of Amines by Alcohols. J. Chem. Soc. Chem. Commun. 1981, 12, 611–612. [Google Scholar] [CrossRef]
- Watanabe, Y.; Tsuji, Y.; Ohsugi, Y. The Ruthenium Catalyzed N-Alkylation and N-Heterocyclization of Aniline Using Alcohols and Aldehydes. Tetrahedron Lett. 1981, 22, 2667–2670. [Google Scholar] [CrossRef]
- Edwards, M.G.; Jazzar, R.F.R.; Paine, B.M.; Shermer, D.J.; Whittlesey, M.K.; Williams, J.M.J.; Edney, D.D. Borrowing Hydrogen: A Catalytic Route to C–C Bond Formation from Alcohols. Chem. Commun. 2004, 1, 90–91. [Google Scholar] [CrossRef] [PubMed]
- Afanasenko, A.; Elangovan, S.; Stuart, M.C.A.; Bonura, G.; Frusteri, F.; Barta, K. Efficient Nickel-Catalysed N-Alkylation of Amines with Alcohols. Catal. Sci. Technol. 2018, 8, 5498–5505. [Google Scholar] [CrossRef]
- Paudel, K.; Xu, S.; Hietsoi, O.; Pandey, B.; Onuh, C.; Ding, K. Switchable Imine and Amine Synthesis Catalyzed by a Well-Defined Cobalt Complex. Organometallics 2021, 40, 418–426. [Google Scholar] [CrossRef]
- Pingen, D.; Diebolt, O.; Vogt, D. Direct Amination of Bio-Alcohols Using Ammonia. ChemCatChem 2013, 5, 2905–2912. [Google Scholar] [CrossRef]
- Gunanathan, C.; Milstein, D. Selective Synthesis of Primary Amines Directly from Alcohols and Ammonia. Angew. Chem. 2008, 120, 8789–8792. [Google Scholar] [CrossRef]
- Imm, S.; Bähn, S.; Neubert, L.; Neumann, H.; Beller, M. An Efficient and General Synthesis of Primary Amines by Ruthenium-Catalyzed Amination of Secondary Alcohols with Ammonia. Angew. Chem. Int. Ed. 2010, 49, 8126–8129. [Google Scholar] [CrossRef]
- Liang, G.; Zhou, Y.; Zhao, J.; Khodakov, A.Y.; Ordomsky, V.V. Structure-Sensitive and Insensitive Reactions in Alcohol Amination over Nonsupported Ru Nanoparticles. ACS Catal. 2018, 8, 11226–11234. [Google Scholar] [CrossRef]
- Kita, Y.; Kuwabara, M.; Yamadera, S.; Kamata, K.; Hara, M. Effects of Ruthenium Hydride Species on Primary Amine Synthesis by Direct Amination of Alcohols over a Heterogeneous Ru Catalyst. Chem. Sci. 2020, 11, 9884–9890. [Google Scholar] [CrossRef]
- Zhou, K.; Liu, H.; Shu, H.; Xiao, S.; Guo, D.; Liu, Y.; Wei, Z.; Li, X. A Comprehensive Study on the Reductive Amination of 5-Hydroxymethylfurfural into 2,5-Bisaminomethylfuran over Raney Ni Through DFT Calculations. ChemCatChem 2019, 11, 2649–2656. [Google Scholar] [CrossRef]
- Liu, Y.; Afanasenko, A.; Elangovan, S.; Sun, Z.; Barta, K. Primary Benzylamines by Efficient N-Alkylation of Benzyl Alcohols Using Commercial Ni Catalysts and Easy-to-Handle Ammonia Sources. ACS Sustain. Chem. Eng. 2019, 7, 11267–11274. [Google Scholar] [CrossRef] [PubMed]
- Ye, X.; Plessow, P.N.; Brinks, M.K.; Schelwies, M.; Schaub, T.; Rominger, F.; Paciello, R.; Limbach, M.; Hofmann, P. Alcohol Amination with Ammonia Catalyzed by an Acridine-Based Ruthenium Pincer Complex: A Mechanistic Study. J. Am. Chem. Soc. 2014, 136, 5923–5929. [Google Scholar] [CrossRef] [PubMed]
- Liu, Y.; Zhou, K.; Shu, H.; Liu, H.; Lou, J.; Guo, D.; Wei, Z.; Li, X. Switchable Synthesis of Furfurylamine and Tetrahydrofurfurylamine from Furfuryl Alcohol over RANEY® Nickel. Catal. Sci. Technol. 2017, 7, 4129–4135. [Google Scholar] [CrossRef]
- Hollmann, D.; Tillack, A.; Michalik, D.; Jackstell, R.; Beller, M. An Improved Ruthenium Catalyst for the Environmentally Benign Amination of Primary and Secondary Alcohols. Chem.–Asian J. 2007, 2, 403–410. [Google Scholar] [CrossRef] [PubMed]
- Lee, C.-C.; Chu, W.-Y.; Liu, Y.-H.; Peng, S.-M.; Liu, S.-T. Coordination and Catalytic Activity of Ruthenium Complexes Containing Tridentate P,N,O Ligands. Eur. J. Inorg. Chem. 2011, 2011, 4801–4806. [Google Scholar] [CrossRef]
- Kaloğlu, M.; Gürbüz, N.; Sémeril, D.; Özdemir, İ. Ruthenium(II)-(p-Cymene)-N-Heterocyclic Carbene Complexes for the N-Alkylation of Amine Using the Green Hydrogen Borrowing Methodology. Eur. J. Inorg. Chem. 2018, 2018, 1236–1243. [Google Scholar] [CrossRef]
- Saidi, O.; Blacker, A.J.; Farah, M.M.; Marsden, S.P.; Williams, J.M.J. Iridium-Catalysed Amine Alkylation with Alcohols in Water. Chem. Commun. 2010, 46, 1541–1543. [Google Scholar] [CrossRef]
- Luo, N.; Zhong, Y.; Wen, H.; Luo, R. Cyclometalated Iridium Complex-Catalyzed N-Alkylation of Amines with Alcohols via Borrowing Hydrogen in Aqueous Media. ACS Omega 2020, 5, 27723–27732. [Google Scholar] [CrossRef]
- Das, K.; Mondal, A.; Pal, D.; Srivastava, H.K.; Srimani, D. Phosphine-Free Well-Defined Mn(I) Complex-Catalyzed Synthesis of Amine, Imine, and 2,3-Dihydro-1H-Perimidine via Hydrogen Autotransfer or Acceptorless Dehydrogenative Coupling of Amine and Alcohol. Organometallics 2019, 38, 1815–1825. [Google Scholar] [CrossRef]
- Payard, P.-A.; Finidori, C.; Guichard, L.; Cartigny, D.; Corbet, M.; Khrouz, L.; Bonneviot, L.; Wischert, R.; Grimaud, L.; Pera-Titus, M. Rational Optimization of Lewis-Acid Catalysts for Direct Alcohol Amination, Part 2–Titanium Triflimide as New Active Catalyst. Eur. J. Org. Chem. 2020, 2020, 3225–3228. [Google Scholar] [CrossRef]
- Reddy, M.M.; Kumar, M.A.; Swamy, P.; Naresh, M.; Srujana, K.; Satyanarayana, L.; Venugopal, A.; Narender, N. N-Alkylation of Amines with Alcohols over Nanosized Zeolite Beta. Green Chem. 2013, 15, 3474–3483. [Google Scholar] [CrossRef]
- Furukawa, S.; Suzuki, R.; Komatsu, T. Selective Activation of Alcohols in the Presence of Reactive Amines over Intermetallic PdZn: Efficient Catalysis for Alcohol-Based N-Alkylation of Various Amines. ACS Catal. 2016, 6, 5946–5953. [Google Scholar] [CrossRef]
- Xie, X.; Huynh, H.V. Tunable Dehydrogenative Amidation versus Amination Using a Single Ruthenium-NHC Catalyst. ACS Catal. 2015, 5, 4143–4151. [Google Scholar] [CrossRef]
- Luo, J.; Wu, M.; Xiao, F.; Deng, G. Ruthenium-Catalyzed Direct Amination of Alcohols with Tertiary Amines. Tetrahedron Lett. 2011, 52, 2706–2709. [Google Scholar] [CrossRef]
- Pingen, D.; Schwaderer, J.B.; Walter, J.; Wen, J.; Murray, G.; Vogt, D.; Mecking, S. Diamines for Polymer Materials via Direct Amination of Lipid- and Lignocellulose-Based Alcohols with NH3. ChemCatChem 2018, 10, 3027–3033. [Google Scholar] [CrossRef]
- Yuan, H.; Kusema, B.T.; Yan, Z.; Streiff, S.; Shi, F. Highly Selective Synthesis of 2,5-Bis(Aminomethyl)Furan via Catalytic Amination of 5-(Hydroxymethyl)Furfural with NH3 over a Bifunctional Catalyst. RSC Adv. 2019, 9, 38877–38881. [Google Scholar] [CrossRef]
- Komanoya, T.; Kinemura, T.; Kita, Y.; Kamata, K.; Hara, M. Electronic Effect of Ruthenium Nanoparticles on Efficient Reductive Amination of Carbonyl Compounds. J. Am. Chem. Soc. 2017, 139, 11493–11499. [Google Scholar] [CrossRef]
- Li, P.; LIEBENS, A.T. A Process for Producing a Tetrahydrofuran Compound Comprising at Least Two Amine Functional Groups. WO Patent WO2018113599A1, 28 June 2018. [Google Scholar]
- Li, P.; Liebens, A.T.; Shi, F.; Yuan, H. Process for Production of Aromatic Compounds Comprising at Least Two Amine Functions. U.S. Patent US10662142B2, 26 May 2020. [Google Scholar]
- Sha, J.; Kusema, B.T.; Zhou, W.-J.; Yan, Z.; Streiff, S.; Pera-Titus, M. Single-Reactor Tandem Oxidation–Amination Process for the Synthesis of Furan Diamines from 5-Hydroxymethylfurfural. Green Chem. 2021, 23, 7093–7099. [Google Scholar] [CrossRef]
- Zhang, M.; Imm, S.; Bähn, S.; Neumann, H.; Beller, M. Synthesis of α-Amino Acid Amides: Ruthenium-Catalyzed Amination of α-Hydroxy Amides. Angew. Chem. Int. Ed. 2011, 50, 11197–11201. [Google Scholar] [CrossRef]
- Chandgude, A.L.; Dömling, A. Direct Amination of α-Hydroxy Amides. Asian J. Org. Chem. 2017, 6, 981–983. [Google Scholar] [CrossRef] [PubMed]
- Deng, W.; Wang, Y.; Zhang, S.; Gupta, K.M.; Hülsey, M.J.; Asakura, H.; Liu, L.; Han, Y.; Karp, E.M.; Beckham, G.T.; et al. Catalytic Amino Acid Production from Biomass-Derived Intermediates. Proc. Natl. Acad. Sci. USA 2018, 115, 5093–5098. [Google Scholar] [CrossRef] [PubMed]
- Xie, Z.; Chen, B.; Peng, F.; Liu, M.; Liu, H.; Yang, G.; Han, B. Highly Efficient Synthesis of Amino Acids by Amination of Bio-Derived Hydroxy Acids with Ammonia over Ru Supported on N-Doped Carbon Nanotubes. ChemSusChem 2020, 13, 5683–5689. [Google Scholar] [CrossRef] [PubMed]
- Zhang, T. Chemical Transformation of Sugars into Amino Acids. Chin. J. Catal. 2018, 39, 1013. [Google Scholar] [CrossRef]
- Song, S.; Qu, J.; Han, P.; Hülsey, M.J.; Zhang, G.; Wang, Y.; Wang, S.; Chen, D.; Lu, J.; Yan, N. Visible-Light-Driven Amino Acids Production from Biomass-Based Feedstocks over Ultrathin CdS Nanosheets. Nat. Commun. 2020, 11, 4899. [Google Scholar] [CrossRef] [PubMed]
- Imm, S.; Bähn, S.; Zhang, M.; Neubert, L.; Neumann, H.; Klasovsky, F.; Pfeffer, J.; Haas, T.; Beller, M. Improved Ruthenium-Catalyzed Amination of Alcohols with Ammonia: Synthesis of Diamines and Amino Esters. Angew. Chem. Int. Ed. 2011, 50, 7599–7603. [Google Scholar] [CrossRef]
- Afanasenko, A.; Yan, T.; Barta, K. Amination of β -Hydroxyl Acid Esters via Cooperative Catalysis Enables Access to Bio-Based β -Amino Acid Esters. Commun. Chem. 2019, 2, 1–9. [Google Scholar] [CrossRef]
- Lacroix, S.D.; Pennycook, A.; Liu, S.; Eisenhart, T.T.; Marr, A.C. Amination and Dehydration of 1,3-Propanediol by Hydrogen Transfer: Reactions of a Bio-Renewable Platform Chemical. Catal. Sci. Technol. 2012, 2, 288–290. [Google Scholar] [CrossRef]
- Li, Y.; Cheng, H.; Zhang, C.; Zhang, B.; Liu, T.; Wu, Q.; Su, X.; Lin, W.; Zhao, F. Reductive Amination of 1,6-Hexanediol with Ru/Al2O3 Catalyst in Supercritical Ammonia. Sci. China Chem. 2017, 60, 920–926. [Google Scholar] [CrossRef]
- Jenzer, G.; Mallat, T.; Baiker, A. Cobalt-catalyzed Amination of 1,3-cyclohexanediol and 2,4-pentanediol in Supercritical Ammonia. Catal. Lett. 1999, 61, 111–114. [Google Scholar] [CrossRef]
- Fischer, A.; Maciejewski, M.; Bürgi, T.; Mallat, T.; Baiker, A. Cobalt-Catalyzed Amination of 1,3-Propanediol: Effects of Catalyst Promotion and Use of Supercritical Ammonia as Solvent and Reactant. J. Catal. 1999, 183, 373–383. [Google Scholar] [CrossRef]
- Rossi, F.V.; Starr, J.T.; Uccello, D.P.; Young, J.A. Synthesis of PEG-Functionalized Amines Using Ruthenium-Catalyzed Hydrogen Borrowing. Org. Lett. 2020, 22, 5890–5894. [Google Scholar] [CrossRef] [PubMed]
- Lorentz-Petersen, L.L.R.; Nordstrøm, L.U.; Madsen, R. Iridium-Catalyzed Condensation of Amines and Vicinal Diols to Substituted Piperazines. Eur. J. Org. Chem. 2012, 2012, 6752–6759. [Google Scholar] [CrossRef]
- Yan, T.; Barta, K. Sustainable Pathways to Pyrroles through Iron-Catalyzed N-Heterocyclization from Unsaturated Diols and Primary Amines. ChemSusChem 2016, 9, 2321–2325. [Google Scholar] [CrossRef]
- Fischer, A.; Mallat, T.; Baiker, A. Synthesis of 1,4-Diaminocyclohexane in Supercritical Ammonia. J. Catal. 1999, 182, 289–291. [Google Scholar] [CrossRef]
- Shimizu, K.; Imaiida, N.; Kon, K.; Hakim Siddiki, S.M.A.; Satsuma, A. Heterogeneous Ni Catalysts for N-Alkylation of Amines with Alcohols. ACS Catal. 2013, 3, 998–1005. [Google Scholar] [CrossRef]
- Bähn, S.; Tillack, A.; Imm, S.; Mevius, K.; Michalik, D.; Hollmann, D.; Neubert, L.; Beller, M. Ruthenium-Catalyzed Selective Monoamination of Vicinal Diols. ChemSusChem 2009, 2, 551–557. [Google Scholar] [CrossRef] [PubMed]
- Watson, A.J.A.; Maxwell, A.C.; Williams, J.M.J. Borrowing Hydrogen Methodology for Amine Synthesis under Solvent-Free Microwave Conditions. J. Org. Chem. 2011, 76, 2328–2331. [Google Scholar] [CrossRef]
- Marichev, K.O.; Takacs, J.M. Ruthenium-Catalyzed Amination of Secondary Alcohols Using Borrowing Hydrogen Methodology. ACS Catal. 2016, 6, 2205–2210. [Google Scholar] [CrossRef]
- Wang, L.; He, W.; Wu, K.; He, S.; Sun, C.; Yu, Z. Heterogeneous Bimetallic Pt–Sn/γ-Al2O3 Catalyzed Direct Synthesis of Diamines from N-Alkylation of Amines with Diols through a Borrowing Hydrogen Strategy. Tetrahedron Lett. 2011, 52, 7103–7107. [Google Scholar] [CrossRef]
- Timofeev, A.F.; Bazanov, A.G.; Zubritskaya, N.G. Steric Effects in the Catalytic Amination of γ-, δ-, and ε-Glycols. Russ. J. Org. Chem. 2016, 52, 1756–1761. [Google Scholar] [CrossRef]
- Marsella, J.A. Ruthenium Catalyzed Reactions of Ethylene Glycol with Primary Amines: Steric Factors and Selectivity Control. J. Organomet. Chem. 1991, 407, 97–105. [Google Scholar] [CrossRef]
- Parvulescu, A.-N.; Gordillo, A.; Schroeter, M.K.; Melder, J.-P.; Bechtel, J.; Heidemann, T.; Schunk, S.A.; Müller, U. Process for the Conversion of Ethylene Glycol to Ethylenediamine Employing a Zeolite Catalyst. U.S. Patent US11091425B2, 17 August 2021. [Google Scholar]
- Radha Rani, V.; Srinivas, N.; Kulkarni, S.J.; Raghavan, K.V. Amino Cyclization of Terminal (α,ω)-Diols over Modified ZSM-5 Catalysts. J. Mol. Catal. Chem. 2002, 187, 237–246. [Google Scholar] [CrossRef]
- van Cauwenberge, G.; Melder, J.-P.; Hoffer, B.W.; Krug, T.; Pickenäcker, K.; Pape, F.-F.; Schwab, E. Method for Producing Ethylene Amines and Ethanol Amines by the Hydrogenating Amination of Monoethylene Glycol and Ammonia in the Presence of a Catalyst. U.S. Patent US7635790B2, 22 December 2009. [Google Scholar]
- Heidemann, T.; BECKER, B.; Koch, E.; Melder, J.-P.; Luyken, H. Method for the Production of Ethyleneamines. U.S. Patent US20200131111A1, 24 May 2020. [Google Scholar]
- Wu, Y.; Yuan, H.; Shi, F. Sustainable Catalytic Amination of Diols: From Cycloamination to Monoamination. ACS Sustain. Chem. Eng. 2018, 6, 1061–1067. [Google Scholar] [CrossRef]
- Becker, B.; Heidemann, T.; Bebensee, R.H.; Koch, E.; Melder, J.-P.; Luyken, H.; Oezkozanoglu, C.; Kehrer, J. Method for the Production of Ethyleneamines. WO Patent WO2020178085A1, 26 February 2020. [Google Scholar]
- Schroeter, M.K.; Gordillo, A.; Parvulescu, A.-N.; Melder, J.-P.; Pueyo, C.L.; Bechtel, J.; Heidemann, T.; Schunk, S.A.; Mueller, U. Method for Producing Ethanolamines and/or Ethyleneamines. U.S. Patent US10836704B2, 7 December 2020. [Google Scholar]
- Vultier, R.; Baikera, A.; Wokaunb, A. Copper Catalyzed Amination of 1,6-Hexanediol. Appl. Catal. 1987, 30, 167–176. [Google Scholar] [CrossRef]
- Runeberg, J.; Baiker, A.; Kijenski, J. Copper Catalyzed Amination of Ethylene Glycol. Appl. Catal. 1985, 17, 309–319. [Google Scholar] [CrossRef]
- Imabeppu, M.; Kiyoga, K.; Okamura, S.; Shoho, H.; Kimura, H. One-Step Amination of α,ω-Alkylenediols over Cu/Ni-Based Catalysts. Catal. Commun. 2009, 10, 753–757. [Google Scholar] [CrossRef]
- Paden, J.H.; Adkins, H. The Synthesis of Pyrrolidines, Piperidines and Hexahydroazepines1,2. J. Am. Chem. Soc. 1936, 58, 2487–2499. [Google Scholar] [CrossRef]
- Takanashi, T.; Nakagawa, Y.; Tomishige, K. Amination of Alcohols with Ammonia in Water over Rh–In Catalyst. Chem. Lett. 2014, 43, 822–824. [Google Scholar] [CrossRef]
- Takanashi, T.; Tamura, M.; Nakagawa, Y.; Tomishige, K. Structure of Catalytically Active Rh–In Bimetallic Phase for Amination of Alcohols. RSC Adv. 2014, 4, 28664–28672. [Google Scholar] [CrossRef]
- Niemeier, J.; Engel, R.V.; Rose, M. Is Water a Suitable Solvent for the Catalytic Amination of Alcohols? Green Chem. 2017, 19, 2839–2845. [Google Scholar] [CrossRef]
- Lei, X.; Gu, G.; Hu, Y.; Wang, H.; Zhang, Z.; Wang, S. Structural Requirements for Chemoselective Ammonolysis of Ethylene Glycol to Ethanolamine over Supported Cobalt Catalysts. Catalysts 2021, 11, 736. [Google Scholar] [CrossRef]
- Marsella, J.A. Homogeneously Catalyzed Synthesis of.Beta.-Amino Alcohols and Vicinal Diamines from Ethylene Glycol and 1,2-Propanediol. J. Org. Chem. 1987, 52, 467–468. [Google Scholar] [CrossRef]
- Liu, S.; Rebros, M.; Stephens, G.; Marr, A.C. Adding Value to Renewables: A One Pot Process Combining Microbial Cells and Hydrogen Transfer Catalysis to Utilise Waste Glycerol from Biodiesel Production. Chem. Commun. 2009, 17, 2308–2310. [Google Scholar] [CrossRef] [PubMed]
- Walther, G.; Deutsch, J.; Martin, A.; Baumann, F.-E.; Fridag, D.; Franke, R.; Köckritz, A. α,ω-Functionalized C19 Monomers. ChemSusChem 2011, 4, 1052–1054. [Google Scholar] [CrossRef] [PubMed]
- Schaub, T.; Buschhaus, B.; Brinks, M.K.; Schelwies, M.; Paciello, R.; Melder, J.-P.; Merger, M. Process for Preparing Di-, Tri- and Polyamines by Homogeneously Catalyzed Alcohol Amination. U.S. Patent US8912361B2, 16 December 2014. [Google Scholar]
- Schaub, T.; Buschhaus, B.; Brinks, M.K.; Schelwies, M.; Paciello, R.; Melder, J.-P.; Merger, M. Process for the Preparation of Primary Amines by Homogeneously Catalyzed Alcohol Amination. U.S. Patent US20120232309A1, 8 March 2012. [Google Scholar]
- Schaub, T.; Buschhaus, B.; Brinks, M.K.; Schelwies, M.; Paciello, R.; Melder, J.-P.; Merger, M. Process for Preparing Di-, Tri- and Polyamines by Homogeneously Catalyzed Alcohol Amination. U.S. Patent US20120232293A1, 8 March 2012. [Google Scholar]
- Schaub, T.; Buschhaus, B.; Brinks, M.K.; Schelwies, M.; Paciello, R.; Melder, J.-P.; Merger, M. Process for Preparing Alkanolamines by Homogeneously Catalyzed Alcohol Amination. U.S. Patent US9193666B2, 24 November 2015. [Google Scholar]
- Andrushko, N.; Andrushko, V.; Roose, P.; Moonen, K.; Börner, A. Amination of Aliphatic Alcohols and Diols with an Iridium Pincer Catalyst. ChemCatChem 2010, 2, 640–643. [Google Scholar] [CrossRef]
- Yang, L.-C.; Wang, Y.-N.; Zhang, Y.; Zhao, Y. Acid-Assisted Ru-Catalyzed Enantioselective Amination of 1,2-Diols through Borrowing Hydrogen. ACS Catal. 2017, 7, 93–97. [Google Scholar] [CrossRef]
- Yan, T.; Feringa, B.L.; Barta, K. Iron Catalysed Direct Alkylation of Amines with Alcohols. Nat. Commun. 2014, 5, 5602. [Google Scholar] [CrossRef]
- Nordstrøm, L.U.; Madsen, R. Iridium Catalysed Synthesis of Piperazines from Diols. Chem. Commun. 2007, 47, 5034–5036. [Google Scholar] [CrossRef]
- He, W.; Wang, L.; Sun, C.; Wu, K.; He, S.; Chen, J.; Wu, P.; Yu, Z. Pt–Sn/γ-Al2O3-Catalyzed Highly Efficient Direct Synthesis of Secondary and Tertiary Amines and Imines. Chem.–Eur. J. 2011, 17, 13308–13317. [Google Scholar] [CrossRef]
- Corma, A.; Ródenas, T.; Sabater, M.J. A Bifunctional Pd/MgO Solid Catalyst for the One-Pot Selective N-Monoalkylation of Amines with Alcohols. Chem.–Eur. J. 2010, 16, 254–260. [Google Scholar] [CrossRef] [PubMed]
- Subba Rao, Y.V.; Kulkarni, S.J.; Subrahmanyam, M.; Ramo Rao, A.V. Modified ZSM-5 Catalysts for the Synthesis of Five- and Six-Membered Heterocyclic Compounds. J. Org. Chem. 1994, 59, 3998–4000. [Google Scholar] [CrossRef]
- Kulkarni, S.J.; Raghavan, K.V.; Vippagunta, R.R.; Nagabandi, S. Process for the Synthesis of an Aliphatic Cyclic Amine. U.S. Patent US6528647B2, 4 March 2003. [Google Scholar]
- Long, Y.; Wang, P.; Fei, Y.; Zhou, D.; Liu, S.; Deng, Y. One-Pot Synthesis of N-Methylpyrrolidine (NMPD) Using Cu- and Ni-Modified ZSM-5 as an Efficient Catalyst. Green Chem. 2019, 21, 141–148. [Google Scholar] [CrossRef]
- Cui, X.; Dai, X.; Deng, Y.; Shi, F. Development of a General Non-Noble Metal Catalyst for the Benign Amination of Alcohols with Amines and Ammonia. Chem.–Eur. J. 2013, 19, 3665–3675. [Google Scholar] [CrossRef]
- Li, A.Y.; Dumaresq, N.; Segalla, A.; Braidy, N.; Moores, A. Plasma-Made (Ni0.5Cu0.5)Fe2O4 Nanoparticles for Alcohol Amination under Microwave Heating. ChemCatChem 2019, 11, 3959–3972. [Google Scholar] [CrossRef]
- Chedid, R.B.; Melder, J.-P.; Dostalek, R.; Pastre, J.; Tan, A.M. Process for Preparing Pyrrolidine. U.S. Patent US20140018547A1, 16 January 2014. [Google Scholar]
- Fujita, K.; Fujii, T.; Yamaguchi, R. Cp*Ir Complex-Catalyzed N-Heterocyclization of Primary Amines with Diols: A New Catalytic System for Environmentally Benign Synthesis of Cyclic Amines. Org. Lett. 2004, 6, 3525–3528. [Google Scholar] [CrossRef]
- Swain, S.P.; Shri, O.; Ravichandiran, V. Iridium and Bis(4-Nitrophenyl)Phosphoric Acid Catalysed Amination of Diol by Hydrogen-Borrowing Methodology for the Synthesis of Cyclic Amine: Synthesis of Clopidogrel. Mol. Catal. 2021, 508, 111576. [Google Scholar] [CrossRef]
- Hamid, M.H.S.A.; Allen, C.L.; Lamb, G.W.; Maxwell, A.C.; Maytum, H.C.; Watson, A.J.A.; Williams, J.M.J. Ruthenium-Catalyzed N-Alkylation of Amines and Sulfonamides Using Borrowing Hydrogen Methodology. J. Am. Chem. Soc. 2009, 131, 1766–1774. [Google Scholar] [CrossRef]
- Tsuji, Y.; Huh, K.T.; Ohsugi, Y.; Watanabe, Y. Ruthenium Complex Catalyzed N-Heterocyclization. Syntheses of N-Substituted Piperidines, Morpholines, and Piperazines from Amines and 1,5-Diols. J. Org. Chem. 1985, 50, 1365–1370. [Google Scholar] [CrossRef]
- Shue, Y.-J.; Yang, S.-C.; Lai, H.-C. Direct Palladium(0)-Catalyzed Amination of Allylic Alcohols with Aminonaphthalenes. Tetrahedron Lett. 2003, 44, 1481–1485. [Google Scholar] [CrossRef]
- Felföldi, K.; Klyavlin, M.S.; Bartók, M. Transformation of Organic Compounds in the Presence of Metal Complexes V. Cyclization of Aminoalcohols on a Ruthenium Complex. J. Organomet. Chem. 1989, 362, 193–195. [Google Scholar] [CrossRef]
- Shan, S.P.; Xiaoke, X.; Gnanaprakasam, B.; Dang, T.T.; Ramalingam, B.; Huynh, H.V.; Seayad, A.M. Benzimidazolin-2-Ylidene N-Heterocyclic Carbene Complexes of Ruthenium as a Simple Catalyst for the N-Alkylation of Amines Using Alcohols and Diols. RSC Adv. 2014, 5, 4434–4442. [Google Scholar] [CrossRef]
- Abbenhuis, R.A.T.M.; Boersma, J.; van Koten, G. Ruthenium-Complex-Catalyzed N-(Cyclo)Alkylation of Aromatic Amines with Diols. Selective Synthesis of N-(ω-Hydroxyalkyl)Anilines of Type PhNH(CH2)NOH and of Some Bioactive Arylpiperazines. J. Org. Chem. 1998, 63, 4282–4290. [Google Scholar] [CrossRef]
- Shi, Y.; Kamer, P.C.J.; Cole-Hamilton, D.J.; Harvie, M.; Baxter, E.F.; Lim, K.J.C.; Pogorzelec, P. A New Route to N-Aromatic Heterocycles from the Hydrogenation of Diesters in the Presence of Anilines. Chem. Sci. 2017, 8, 6911–6917. [Google Scholar] [CrossRef] [PubMed]
- Zou, Q.; Wang, C.; Smith, J.; Xue, D.; Xiao, J. Alkylation of Amines with Alcohols and Amines by a Single Catalyst under Mild Conditions. Chem.–Eur. J. 2015, 21, 9656–9661. [Google Scholar] [CrossRef]
- Bayguzina, A.R.; Musina, C.F.; Khusnutdinov, R.I. N-Alkylation of Aniline and Its Derivatives by Alcohols in the Presence of Copper Compounds. Russ. J. Org. Chem. 2018, 54, 1652–1659. [Google Scholar] [CrossRef]
- Du, Y.; Oishi, S.; Saito, S. Selective N-Alkylation of Amines with Alcohols by Using Non-Metal-Based Acid–Base Cooperative Catalysis. Chem.–Eur. J. 2011, 17, 12262–12267. [Google Scholar] [CrossRef]
- Dobrovolskij, S.V. Verfahren zur herstellung von morpholin. DE Patent DE2758769A1, 12 July 1979. [Google Scholar]
- Emayavaramban, B.; Sen, M.; Sundararaju, B. Iron-Catalyzed Sustainable Synthesis of Pyrrole. Org. Lett. 2017, 19, 6–9. [Google Scholar] [CrossRef]
- Pridmore, S.J.; Slatford, P.A.; Daniel, A.; Whittlesey, M.K.; Williams, J.M.J. Ruthenium-Catalysed Conversion of 1,4-Alkynediols into Pyrroles. Tetrahedron Lett. 2007, 48, 5115–5120. [Google Scholar] [CrossRef]
- Zhang, M.; Neumann, H.; Beller, M. Selective Ruthenium-Catalyzed Three-Component Synthesis of Pyrroles. Angew. Chem. Int. Ed. 2013, 52, 597–601. [Google Scholar] [CrossRef]
- Zhang, M.; Fang, X.; Neumann, H.; Beller, M. General and Regioselective Synthesis of Pyrroles via Ruthenium-Catalyzed Multicomponent Reactions. J. Am. Chem. Soc. 2013, 135, 11384–11388. [Google Scholar] [CrossRef] [PubMed]
- Hu, H.; Ramzan, A.; Wischert, R.; Jerôme, F.; Michel, C.; de Vigier, K.O.; Pera-Titus, M. Pivotal Role of H2 in the Isomerisation of Isosorbide over a Ru/C Catalyst. Catal. Sci. Technol. 2021, 11, 7973–7981. [Google Scholar] [CrossRef]
- Klasovsky, F.; Tacke, T.; Pfeffer, J.C.; Haas, T.; Beller, M.; Martin, A.; Deutsch, J.; Koeckritz, A.; Imm, S.; Haberland, J. Process for the Direct Amination of Alcohols Using Ammonia to Form Primary Amines by Means of a Xantphos Catalyst System. U.S. Patent US8946463B2, 3 February 2015. [Google Scholar]
- Schelwies, M.; Brinks, M.; Schaub, T.; Melder, J.-P.; Paciello, R.; Merger, M. Process for the Homogeneously Catalyzed Amination of Alcohols with Ammonia in the Presence of a Complex Catalyst Which Comprises No Anionic Ligands. U.S. Patent US20140024833A1, 23 January 2014. [Google Scholar]
- Klasovsky, F.; Pfeffer, J.C.; Tacke, T.; Haas, T.; Martin, A.; Deutsch, J.; Koeckritz, A. Process for the Direct Amination of Secondary Alcohols with Ammonia to Give Primary Amines. U.S. Patent US8927773B2, 6 January 2015. [Google Scholar]
- Pfützenreuter, R.; Rose, M. Aqueous-Phase Amination of Biogenic Isohexides by Using Ru/C as a Solid Catalyst. ChemCatChem 2016, 8, 251–255. [Google Scholar] [CrossRef]
- Rose, M.; Palkovits, R.; ENGEL, R.; Begli, A.H.; Kroener, C. Method for the Synthesis of Primary Isohexide Amines. U.S. Patent US9751891B2, 5 September 2017. [Google Scholar]
- Jacolot, M.; Moebs-Sanchez, S.; Popowycz, F. Diastereoselective Iridium-Catalyzed Amination of Biosourced Isohexides Through Borrowing Hydrogen Methodology. J. Org. Chem. 2018, 83, 9456–9463. [Google Scholar] [CrossRef] [PubMed]
- Bahé, F.; Grand, L.; Cartier, E.; Jacolot, M.; Moebs-Sanchez, S.; Portinha, D.; Fleury, E.; Popowycz, F. Direct Amination of Isohexides via Borrowing Hydrogen Methodology: Regio- and Stereoselective Issues. Eur. J. Org. Chem. 2020, 2020, 599–608. [Google Scholar] [CrossRef]
- Crotti, C.; Farnetti, E.; Licen, S.; Barbieri, P.; Pitacco, G. Iridium-Catalyzed N-Alkylation of Diamines with Glycerol. J. Mol. Catal. Chem. 2014, 382, 64–70. [Google Scholar] [CrossRef]
- Pandya, R.; Mane, R.; Rode, C.V. Cascade Dehydrative Amination of Glycerol to Oxazoline. Catal. Sci. Technol. 2018, 8, 2954–2965. [Google Scholar] [CrossRef]
- Safariamin, M.; Paul, S.; Moonen, K.; Ulrichts, D.; Dumeignil, F.; Katryniok, B. Novel Direct Amination of Glycerol over Heteropolyacid-Based Catalysts. Catal. Sci. Technol. 2016, 6, 2129–2135. [Google Scholar] [CrossRef]
- Dai, X.; Rabeah, J.; Yuan, H.; Brückner, A.; Cui, X.; Shi, F. Glycerol as a Building Block for Prochiral Aminoketone, N-Formamide, and N-Methyl Amine Synthesis. ChemSusChem 2016, 9, 3133–3138. [Google Scholar] [CrossRef]
- Xin, Z.; Jia, L.; Huang, Y.; Du, C.-X.; Li, Y. Ru-Catalyzed Switchable N-Hydroxyethylation and N-Acetonylation with Crude Glycerol. ChemSusChem 2020, 13, 2007–2011. [Google Scholar] [CrossRef]
- Wang, Y.; Furukawa, S.; Song, S.; He, Q.; Asakura, H.; Yan, N. Catalytic Production of Alanine from Waste Glycerol. Angew. Chem. Int. Ed. 2020, 59, 2289–2293. [Google Scholar] [CrossRef] [PubMed]
- Du, F.; Jin, X.; Yan, W.; Zhao, M.; Thapa, P.S.; Chaudhari, R.V. Catalytic H2 Auto Transfer Amination of Polyols to Alkyl Amines in One Pot Using Supported Ru Catalysts. Catal. Today 2018, 302, 227–232. [Google Scholar] [CrossRef]
- Jia, L.; Makha, M.; Du, C.-X.; Quan, Z.-J.; Wang, X.-C.; Li, Y. Direct Hydroxyethylation of Amines by Carbohydrates via Ruthenium Catalysis. Green Chem. 2019, 21, 3127–3132. [Google Scholar] [CrossRef]
- Said Stålsmeden, A.; Belmonte Vázquez, J.L.; van Weerdenburg, K.; Rae, R.; Norrby, P.-O.; Kann, N. Glycerol Upgrading via Hydrogen Borrowing: Direct Ruthenium-Catalyzed Amination of the Glycerol Derivative Solketal. ACS Sustain. Chem. Eng. 2016, 4, 5730–5736. [Google Scholar] [CrossRef]
- Kawahara, R.; Fujita, K.; Yamaguchi, R. Multialkylation of Aqueous Ammonia with Alcohols Catalyzed by Water-Soluble Cp*Ir−Ammine Complexes. J. Am. Chem. Soc. 2010, 132, 15108–15111. [Google Scholar] [CrossRef] [PubMed]
- Xu, Q.-S.; Li, C.; Xu, Y.; Xu, D.; Shen, M.-H.; Xu, H.-D. Ruthenium Catalyzed Amination Cyclization of 1,2,4-Butanetriol with Primary Amines: A Borrowing Hydrogen Strategy for 3-Pyrrolidinol Synthesis. Chin. Chem. Lett. 2020, 31, 103–106. [Google Scholar] [CrossRef]
- Cumpstey, I.; Agrawal, S.; Eszter Borbas, K.; Martín-Matute, B. Iridium-Catalysed Condensation of Alcohols and Amines as a Method for Aminosugar Synthesis. Chem. Commun. 2011, 47, 7827–7829. [Google Scholar] [CrossRef]
- Kort, M.J. Reactions of Free Sugars with Aqueous Ammonia. In Advances in Carbohydrate Chemistry and Biochemistry; Tipson, R.S., Horton, D., Eds.; Academic Press: New York, NY, USA; London, UK, 1970; Volume 25, pp. 311–349. [Google Scholar]
- Shibamoto, T.; Bernhard, R.A. Investigation of Pyrazine Formation Pathways in Sugar-Ammonia Model Systems. J. Agric. Food Chem. 1977, 25, 609–614. [Google Scholar] [CrossRef]
- Milić, B.L.; Piletić, M.V. The Mechanism of Pyrrole, Pyrazine and Pyridine Formation in Non-Enzymic Browning Reaction. Food Chem. 1984, 13, 165–180. [Google Scholar] [CrossRef]
- Lichtenthaler, F.W. Unsaturated O- and N-Heterocycles from Carbohydrate Feedstocks. Acc. Chem. Res. 2002, 35, 728–737. [Google Scholar] [CrossRef]
- Chen, X.; Yang, H.; Hülsey, M.J.; Yan, N. One-Step Synthesis of N-Heterocyclic Compounds from Carbohydrates over Tungsten-Based Catalysts. ACS Sustain. Chem. Eng. 2017, 5, 11096–11104. [Google Scholar] [CrossRef]
- Yu, F.; Darcel, C.; Fischmeister, C. Single-Step Sustainable Production of Hydroxy-Functionalized 2-Imidazolines from Carbohydrates. ChemSusChem 2022, 15, e202102361. [Google Scholar] [CrossRef] [PubMed]
- Pelckmans, M.; Mihaylov, T.; Faveere, W.; Poissonnier, J.; Van Waes, F.; Moonen, K.; Marin, G.B.; Thybaut, J.W.; Pierloot, K.; Sels, B.F. Catalytic Reductive Aminolysis of Reducing Sugars: Elucidation of Reaction Mechanism. ACS Catal. 2018, 8, 4201–4212. [Google Scholar] [CrossRef]
- Pelckmans, M.; Vermandel, W.; Van Waes, F.; Moonen, K.; Sels, B.F. Low-Temperature Reductive Aminolysis of Carbohydrates to Diamines and Aminoalcohols by Heterogeneous Catalysis. Angew. Chem. Int. Ed. 2017, 56, 14540–14544. [Google Scholar] [CrossRef] [PubMed]
- Kwok, T.; Hoff, O.; Armstrong, R.J.; Donohoe, T.J. Control of Absolute Stereochemistry in Transition-Metal-Catalysed Hydrogen-Borrowing Reactions. Chem.–Eur. J. 2020, 26, 12912–12926. [Google Scholar] [CrossRef]
























































| Entry | Catalyst | T (°C) | t (h) | Solvent | Additive | Yield (%) | Ref |
|---|---|---|---|---|---|---|---|
| 1 | Ru-PNP complex | 135 | 12 | Toluene | — | 95 | [17] |
| 2 | [Ru3CO12]/ CataCXium® PCy | 150 | 20 | Neat | — | 71 | [18] |
| 3 | Ru nanoparticles | 180 | 20 | Neat | H2 (2 bar) | 38 | [19] |
| 4 | Ru/Al2O3 | 180 | 20 | Neat | H2 (2 bar) | 10 | [19] |
| 5 | Ru–MgO/TiO2 | 110 | 20 | Toluene | — | 94 | [20] |
| 6 | RANEY® Ni | 180 | 24 | THF | — | 82 | [21] |
| 7 | Ni/Al2O3-SiO2 | 160 | 18 | t-amyl alcohol | — | 52 | [22] |
| Entry | Catalyst | T (°C) | t (h) | Solvent | Additive | Yield (%) | Ref |
|---|---|---|---|---|---|---|---|
| 1 | [Ru3CO12]/ CataCXiumPCy® | 110 | 24 | Neat | — | 66 | [25] |
| 2 | Ru-PNO complex | 110–130 | 4 | Neat | t-BuOK | 68 | [26] |
| 3 | Ru-NHC | 120 | 24 | Toluene | t-BuOK | 93 | [27] |
| 4 | [IrI2Cp*]2 | 115 | 10 | H2O | — | 86 | [28] |
| 5 | Cyclometalated Iridium complex | 80 | 24 | H2O | KOH | 91 | [29] |
| 6 | Mn-NNS complex | 140 | 72 | Toluene | KOH | 67 1 | [30] |
| 7 | TiIII0.2TiIV0.8(NTf2)2 (O)x(OH)y(H2O)z· 2.5H2O | 100 | 2 | Toluene | Bipyridine or terpyridine | 98 2 | [31] |
| 8 | Nanosized zeolite beta | 135 | 4 | Neat | — | 52 | [32] |
| 9 | PdZn/Al2O3 | 110 | 4 | p-xylene | — | 85 | [33] |
| 10 | [Ni(COD)2] | 140 | 18 | CPME | KOH | 51 | [14] |
| Entry | Catalyst | T (°C) | t (h) | Solvent | Additive | Yield (%) | Refs |
|---|---|---|---|---|---|---|---|
| 1 | Ru-PNP complex | 140 | 11 | t-amyl alcohol | H2 (10 bar) | 85 | [36] |
| 2 | RANEY® Ni | 160 | 12 | THF | H2 (10 bar) | 61 | [21] |
| 3 | CuNiAlOx | 210 1 | 27 | Dioxane | Na2CO3 H2 (45 bar) | 86 | [37,39,40] |
| Intermolecular Cyclization | Intramolecular Cyclization | |||
|---|---|---|---|---|
| Heterogeneous Catalysts | Pt-Sn/γ-Al2O3 | [62] | Pt-Sn/γ-Al2O3 | [62,91] |
| Pd/MgO | [92] | zeolites | [65,66,93,94,95] | |
| Re-Ru-Co | [70] | |||
| NiCuFeOx | [96] | |||
| CuNiAlOx | [69] | |||
| (Ni0.5Cu0.5)Fe2O4 | [97] | |||
| Cu-Zn-Zr oxide | [71] | |||
| CuCrO | [75] | |||
| Ru/Co/Al2O3 | [67] | |||
| Ru-Co-Sn | [68] | |||
| Ni/Co/Cu/Sn/Al2O3 | [98] | |||
| Ru/C | [78] | |||
| Homogeneous Catalysts | [Fe(CO)4 (cyclopentadienone)] | [89] | [Fe(CO)4 (cyclopentadienone)] | [89] |
| [IrCl2Cp*]2 | [55,90] | [IrCl2Cp*]2 | [55,99,100] | |
| [RuCl(p-cymene)(P,N)] [Cl] | [61] | [RuCl(p-cymene)(P,N)] [Cl] | [61] | |
| [RuCl2(p-cymene)]2/ DPEphos | [60,101] | [RuCl3·xH20]/PPh3 | [102] | |
| [Pd(OAc)2]/PPh3 | [103] | [RuCl2(PPh3)3] | [104] | |
| [RuCl(p-cymene) (NHC)(PPh3)][PF6] | [105] | |||
| [RuCl2(PPh3) (C5H3N-2,6-(CH2NMe2)2] | [106] | |||
| Ru-PNP complex | [83,85,86] | |||
| [RuHCl(CO)(PPh3)3]/ Triphos | [84] | |||
| [Ru(acac)3]/Triphos | [107] | |||
| cyclometalated Ir catalyst | [108] | |||
| [CuBr2] | [109] | |||
| 1,3,5-triazo-2,4,6-triphosphorine-2,2,4,4,6,6-hexachloride (TAPC) | [110] | |||
| Entry | Catalyst | T (°C) | t (h) | Solvent | Additive | Yield (%) | Refs |
|---|---|---|---|---|---|---|---|
| 1 | [RuHCl(CO)(PPh3)3]/ Xantphos | 150 | 20 | t-amyl alcohol | — | 96 | [48] |
| 2 | [RuHCl(CO)(POP)] | 170 | 48 | t-amyl alcohol | — | 90 | [117] |
| 3 | [Ru3(CO)12]/PNP | 170–200 | 21 | t-amyl alcohol | — | 96 | [16,118] |
| 4 | [RuHCl(CO)(PNP)] | 170 | 48 | t-amyl alcohol | — | 90 | [119] |
| Entry | Catalyst | T (°C) | t (h) | Solvent | Additive | Yield (%) | Refs |
|---|---|---|---|---|---|---|---|
| 1 | [RuHCl(CO) (PNP)] | 180 | 20 | t-amyl alcohol | — | 94 | [118] |
| 2 | [RuHCl(CO) (PPh3)3] | 150 | 20 | Neat | — | 50 | [48] |
| 3 | Ru/C | 170 | 24 | H2O | H2 (10 bar) | 50 | [78,120,121] |
| 4 | RANEY® Ni | 160 | 18 | t-amyl alcohol | — | 32 | [22] |
| 5 | Ni/Al2O3−SiO2 | 160 | 18 | t-amyl alcohol | — | 51 | [22] |
| Entry | Catalyst | T (°C) | t (h) | Solvent | Additive | Products | Refs |
|---|---|---|---|---|---|---|---|
| 1 | Ru/C | 125 | 1 | H2O | H2 (70 bar) | Ethan- diamines | [142,143] |
| 2 | Supported Ni | 125 | 1 | H2O | H2 (70 bar) | Ethan- diamines | [142,143] |
| 3 | [Ru(2-methylallyl)2(cod)2]/ Xantphos | 150 | 16 | Dioxane | Acetic acid | Ethanol- amines | [131] |
| 4 | [RuCl2(p-cymene)]/DCyPF/N-MeTMA | 150 | 20 | Dioxane | t-BuOK | Ethanol- amines | [128] |
| 5 | CdS nanosheet | 50 | 8 | H2O | NaOH, hν | Alanine | [47] |
Publisher’s Note: MDPI stays neutral with regard to jurisdictional claims in published maps and institutional affiliations. |
© 2022 by the authors. Licensee MDPI, Basel, Switzerland. This article is an open access article distributed under the terms and conditions of the Creative Commons Attribution (CC BY) license (https://creativecommons.org/licenses/by/4.0/).
Share and Cite
Hameury, S.; Bensalem, H.; De Oliveira Vigier, K. Sustainable Amination of Bio-Based Alcohols by Hydrogen Borrowing Catalysis. Catalysts 2022, 12, 1306. https://doi.org/10.3390/catal12111306
Hameury S, Bensalem H, De Oliveira Vigier K. Sustainable Amination of Bio-Based Alcohols by Hydrogen Borrowing Catalysis. Catalysts. 2022; 12(11):1306. https://doi.org/10.3390/catal12111306
Chicago/Turabian StyleHameury, Sophie, Hana Bensalem, and Karine De Oliveira Vigier. 2022. "Sustainable Amination of Bio-Based Alcohols by Hydrogen Borrowing Catalysis" Catalysts 12, no. 11: 1306. https://doi.org/10.3390/catal12111306
APA StyleHameury, S., Bensalem, H., & De Oliveira Vigier, K. (2022). Sustainable Amination of Bio-Based Alcohols by Hydrogen Borrowing Catalysis. Catalysts, 12(11), 1306. https://doi.org/10.3390/catal12111306

