Next Article in Journal
Synthesis of Semicrystalline Long Chain Aliphatic Polyesters by ADMET Copolymerization of Dianhydro-D-glucityl bis(undec-10-enoate) with 1,9-Decadiene and Tandem Hydrogenation
Next Article in Special Issue
Practical Approaches towards NOx Emission Mitigation from Fluid Catalytic Cracking (FCC) Units
Previous Article in Journal
Catalytic Diesel and Gasoline Particulate Filters
Previous Article in Special Issue
Application of a Combined Adsorption−Ozonation Process for Phenolic Wastewater Treatment in a Continuous Fixed-Bed Reactor
 
 
Font Type:
Arial Georgia Verdana
Font Size:
Aa Aa Aa
Line Spacing:
Column Width:
Background:
Article

Design of Co3O4@SiO2 Nanorattles for Catalytic Toluene Combustion Based on Bottom-Up Strategy Involving Spherical Poly(styrene-co-acrylic Acid) Template

1
Faculty of Chemistry, Jagiellonian University, Gronostajowa 2, 30-387 Kraków, Poland
2
Faculty of Geography and Geology, Jagiellonian University, Gronostajowa 3a, 30-387 Kraków, Poland
*
Author to whom correspondence should be addressed.
Catalysts 2021, 11(9), 1097; https://doi.org/10.3390/catal11091097
Submission received: 29 July 2021 / Revised: 4 September 2021 / Accepted: 10 September 2021 / Published: 11 September 2021

Abstract

:
Bearing in mind the need to develop optimal transition metal oxide-based catalysts for the combustion of volatile organic compounds (VOCs), yolk-shell materials were proposed. The constructed composites contained catalytically active Co3O4 nanoparticles, protected against aggregation and highly dispersed in a shell made of porous SiO2, forming a specific type of nanoreactor. The bottom-up synthesis started with obtaining spherical poly(styrene-co-acrylic acid) copolymer (PS30) cores, which were then covered with the SiO2 layer. The Co3O4 active phase was deposited by impregnation using the PS30@SiO2 composite as well as hollow SiO2 spheres with the removed copolymer core. Structure (XRD), morphology (SEM), chemical composition (XRF), state of the active phase (UV-Vis-DR and XPS) and reducibility (H2-TPR) of the obtained catalysts were studied. It was proven that the introduction of Co3O4 nanoparticles into the empty SiO2 spheres resulted in their loose distribution, which facilitated the access of reagents to active sites and, on the other hand, promoted the involvement of lattice oxygen in the catalytic process. As a result, the catalysts obtained in this way showed a very high activity in the combustion of toluene, which significantly exceeded that achieved over a standard silica gel supported Co3O4 catalyst.

1. Introduction

Considering the necessity to implement efficient methods for the elimination of volatile organic compounds (VOCs) from contaminated air, active and selective catalysts have been extensively developed, which could allow the lowering of the reaction temperature of the total oxidation of VOCs. In general, systems tested so far can be divided into two main types due to the nature of the catalytically active phase, i.e., materials based on noble metals and transition metal oxides. The catalysts containing noble metals (e.g., Pt, Pd, Au or Ag) supported on various oxides (mainly SiO2 or γ-Al2O3) have an obvious advantage due to their extraordinary activity at low temperatures [1,2]. However, high production costs and sensitivity to poisoning (by sulfur- and halogen-containing compounds) constitute a serious limitation in their application. A compromise solution is therefore to use transition metal oxides which combine the benefits of low manufacturing costs with relatively high efficiency and enhanced resistance to deactivation. The final performance of these catalysts is influenced by various factors, including properties of active components, dispersion of the active phase, and size and morphology of grains [1,2,3,4,5]. Co3O4, CuO, MnOx, Fe2O3 and NiO are the most common oxide systems used in the combustion of VOCs. As in the case of noble metals, the involvement of a support also has a positive effect on dispersion and thermal stability of the catalytically active phase. The selection of the appropriate material forming the support depends on many factors (including its porosity, chemical activity and strength of interaction with the active phase), but a typical choice is γ-Al2O3, SiO2, TiO2, ZrO2, CeO2 and zeolites [1,5,6]. Mixed systems containing at least two transition or noble metals in their structure have also been increasingly studied. The effect of improved catalytic activity obtained in such cases is most often related to promoting the mobility of lattice oxygen and facilitating electron transfer [7].
Particularly promising catalysts for the total oxidation of VOCs could be core–shell composites, which contain a core located inside another domain forming an outer layer [8,9]. The structures belonging to the group of core–shell materials also include hollow core–shell and yolk–shell systems [10]. The advantages of using such composite materials include: (i) ability to protect the core against effects of environmental changes outside the material, (ii) limiting the possibility of increasing the volume and maintaining structural integrity, (iii) protecting the core particles against aggregation into larger clusters, and (iv) selective molecule penetration into the core. The core–shell materials combine properties of both the shell and the core. By covering nanoparticles with one or more layers of other materials, systems with intensified or completely changed physical or chemical properties in relation to the initial structure can be obtained [11,12]. Few core–shell structures for VOCs combustion, limited mainly to systems containing noble metal nanoparticles embedded in an oxide shell (e.g., Pd@CeO2 [13]), have been described in the literature so far.
Due to availability and the relatively low price of substrates, as well as simplicity and short time of synthesis, polymer templates are often selected as structure-directing agents to obtain core–shell composites by the bottom-up approach [14,15]. Oxide layers, e.g., SiO2, TiO2, ZrO2 or CeO2, are deposited onto the polymer cores, and then the organic interior is easily removed by calcination or chemical etching with acidic, alkaline or organic agents [16,17,18,19,20]. In the synthesis of such core–shell systems, among other things, heterophase polymerization (leading to encapsulation of inorganic nanoparticles), sol-gel processes (leading to coating polymer colloids with an inorganic layer) and layer-by-layer deposition are used. Regardless of the choice of the synthesis method, it is necessary to facilitate interaction between a polymer and an inorganic component [18,20,21,22].
Amines are often used to modify a surface of polystyrene templates [23]. The amine layer adsorbed on the latex surface induces the formation of the silica layer through electrostatic interactions. Upon dissolution or calcination, the polymer is removed together with the amine, creating a hollow silica sphere. However, the attachment of the amine to the latex surface reduces the integrity of the resulting SiO2 shell. This effect can be overcome by using silanes or silica nanoparticles as hollow shell precursors, but this drastically increases the cost of synthesis, and the process becomes more complicated.
One of the most frequently used techniques for the preparation of polymer cores is emulsion polymerization. It is a type of radical polymerization which is based on the use of an emulsion containing water, monomer and surfactant. Potassium or ammonium persulfate is widely used as an initiator in the emulsion polymerization [14]. The process often takes place in an o/w (oil in water) emulsion in which monomer droplets are dispersed in water by surfactants. Other types of polymerization, such as so-called reverse w/o emulsion (water in oil) as well as w/o/w and o/w/o microemulsion, are rarely chosen [14,16,20]. The mechanism of surfactant-free emulsion polymerization has also been described [24]. The amount of polymer contained in the aqueous phase influences the nucleation mechanism and the change in dispersion of the systems during the polymerization of molecules with different properties [25,26]. A common solution used during the polymerization of styrene is an addition of methacrylic or acrylic acid. Ge and co-workers [15] synthesized poly(styrene-co-methacrylic acid) spheres by the emulsion polymerization without emulsifiers. The addition of methacrylic acid reduced the size of the spheres formed (to ca. 370 nm) and the thickness of the SiO2 layer (to ca. 50 nm) compared to the synthesis with the use of a purely polystyrene template. It was unequivocally found that the presence of methacrylic acid in the template has a beneficial effect on the formation of homogeneous silica layers on the surface of latex templates. Thus, in order to increase the degree of uniform bonding of SiO2 with the surface of polystyrene spheres, they can be functionalized, for example, with acid groups, by copolymerization of styrene with methacrylic acid or sulfonation with sulfuric acid [14,15]. The deposition of the SiO2 shell on the poly(styrene-co-methacrylic acid) spheres was carried out using various aging conditions—at 150 °C (obtaining materials with a mesoporous shell) or at room temperature (microporous spheres). Moreover, aging at room temperature resulted in a layer of SiO2 with a thickness of ca. 30 nm, while the higher temperature of the thermal treatment reduced its thickness to ca. 15 nm.
In this paper a pioneering method of synthesis of core–shell catalysts with an active phase in the form of Co3O4 spinel nanoparticles located inside a porous SiO2 shell is described. In the first step of preparation, a spherical copolymer template (namely poly(styrene-co-acrylic acid)) with a defined grain size within the range of 200–300 nm was obtained. The SiO2 coating was deposited on the surface of the latex spheres by performing the hydrolysis and condensation of tetraethyl orthosilicate (TEOS) in a water-isopropanol solution of ammonia. The formed composite particles with a copolymer core retained or removed by calcination were modified with various amounts of cobalt-based active phase. The samples containing Co3O4 nanoparticles were characterized by a wide range of physicochemical techniques, and above all, their activity in the toluene combustion was determined. The role of selected parameters influencing the catalytic performance of the developed composite materials in the studied process is discussed. At the same time, a very significant influence of the proper path selection, resulting in various dispersion of the active component within the Co3O4@SiO2 yolk–shell structure, on the achieved conversion of the organic pollutant is shown.

2. Results and Discussion

The main objective of this study was to obtain composite materials containing Co3O4 nanoparticles embedded and protected inside a spherical, porous SiO2 shell, which would be highly active and selective in the catalytic combustion of VOCs. In the first step of the synthesis, a spherical poly(styrene-co-acrylic acid) latex containing 30 wt.% acrylic acid in relation to styrene was prepared. The formed PS30 emulsion was examined by dynamic light scattering (DLS), proving the high monodispersity of the particles with diameters within the narrow range of 240–260 nm and the average ζ potential of −42.8 mV measured in deionized water at pH = 7 (Figure 1a). The latter value is related to the high amount of carboxyl groups on the surface of the copolymer nanoparticles and confirms high colloidal stability of the formed emulsion [27].
The prepared latex spheres were further modified by the deposition of the silica shell using the Stöber strategy. The coverage of the PS30 surface with the silica coating slightly shifts the average ζ potential to −39.6 mV (Figure 1a). This change indicates a variation in the chemical composition of the surface. In this case, the negative zeta potential mainly comes from the ionization of silanol groups [28]. However, since the zeta potential value remains outside the range from −30 mV to +30 mV, it should be considered that the PS30@SiO2 nanoparticles have sufficient repulsion force to maintain colloidal stability [29]. In the literature, the correlation between the SiO2 particle size and the zeta potential value was discussed [30]. It was postulated that as the size of the spheres decreased, the average ζ potential raised and oscillated in the range from −37.7 mV to −45.5 mV.
The introduction of the inorganic part was additionally confirmed by thermal analysis (Figure 1b). The mass loss of 3.2% in the temperature range up to approx. 140 °C is associated with removal of residual solvents, unreacted monomers and physically adsorbed water. Desorption of these components is related to the heat consumption, which confirms the endothermic peak observed by differential thermal analysis (DTA). At higher temperatures, the parts of the chain of acrylic acid units slowly decompose and polystyrene depolymerizes. Rapid decomposition begins at ca. 320 °C with a maximum rate at 360 °C. This exothermic step is mainly due to the combustion of the polymer. After the analysis, the copolymer-free SiO2 remains, the content of which in the PS30_Si material is estimated to be 84.5 wt.%.
The obtained PS30_Si composite was calcined at the oxidizing atmosphere to remove the copolymer core and subsequently studied using scanning electron microscopy (SEM). The SEM image shown in Figure 2a confirms a well-formed spherical structure of the grains. The particles are homogeneous, and their average size is close to ca. 300 nm. This means that, taking into account the size of the latex spheres determined earlier by DLS (240–260 nm), the thickness of the SiO2 layer is approx. 20–30 nm.
Simultaneously, textural properties of PS30_Si before and after removal of the copolymer core were analyzed. The measured isotherms of N2 adsorption, shown in Figure 3, reveal a very interesting conclusion. The shape of the isotherm for the starting PS30@SiO2 structure can be classified as type II, according to the IUPAC (International Union of Pure and Applied Chemistry, Research Triangle Park, NC, USA) nomenclature, which is characteristic of materials containing pores with diameters within the macroporosity range. It is manifested by a very intense adsorption effect observed at the relative pressure p/p0 > 0.9. Interestingly, after removing the PS30 template, this effect largely disappears. It should therefore be assumed that the adsorption of N2 prior to the core elimination corresponds to the condensation of the adsorbate in slits formed between the silica shell and the copolymer core, which during drying shrinks slightly, forming the free spaces. These observations are reflected in the determined textural parameters. For the PS30_Si filled by the copolymer core, the total pore volume (Vtotal, constituted mainly by wide meso- and macropores) is 0.319 cm3/g, and consequently the surface area is determined according to the Brunauer–Emmett–Teller theory (SBET) is 41 m2/g (Table 1). The destruction of the copolymer scaffold results in a significant decrease in Vtotal and SBET to 0.059 cm3/g and 15 m2/g, respectively, since the voids formed inside the hollow SiO2 spheres are too large for the adsorbate to condense therein.
X-ray fluorescence (XRF) analyses were carried out to confirm the introduction of the Co-containing active phase onto the silica support. The determined Co loadings are presented in Table 1. It should be stated that the chemical composition of the studied materials is close to the intended values.
The modification of PS30@SiO2 with the Co3O4 phase causes a further change in average ζ potential to a value of ca. −37 mV which is very similar for the calcined PS30_Si_Co15 samples prepared both on path A and B (Figure 1a). Therefore, it should be stated that a part of the Co modifier was deposited on the outer surface of SiO2 nanospheres, changing its charge a little. Figure 2b,c demonstrate the SEM images collected for the calcined PS30_Si_Co15 obtained in the paths A and B, respectively. For PS30_Si_Co15_A no significant differences in morphology are observed compared to the hollow SiO2 spheres (Figure 2a). In the case of PS30_Si_Co15_B, a greater aggregation of nanoparticles is noted. They form distinct clusters, and consequently polydispersity increases significantly.
In Figure 3 two examples of the N2 adsorption isotherms for the samples with the highest Co loadings are demonstrated, while the textural parameters for all synthesized Co-loaded samples are summarized in Table 1. It can be concluded that the introduction of cobalt oxide results in a slight increase in the pore volume compared to the hollow SiO2 spheres. This effect is also correlated with the amount of active phase deposited—the more it is, the greater value of Vtotal. Therefore, it should be assumed that the cobalt oxide nanoparticles formed as a result of calcination create secondary porosity. These nanograins are arranged partly on the outer surface of the SiO2 nanospheres, partly inside their pores, but above all on the inner surface of the SiO2 shells. In the case of the synthesis by the path B, the deposition of the active phase precursor takes place in the completely empty interior of the SiO2 spheres compared to the path A, in which the Co(II) nitrate solution is introduced into the spaces between the shell and the copolymer core and only to a limited extent inside the PS30 template structure. This leads to different contents of the active phase precursor inside the spheres, and thus various arrangements of the formed oxide nanograins. For the PS30_Si_Co_B materials, they are a bit more loosely aggregated, and therefore in this case the Vtotal values are slightly higher than in the case of the analogous PS30_Si_Co_A catalysts.
The crystalline structure of the synthesized materials was studied by X-ray diffraction (XRD). Figure 4a,b present the diffractograms registered for the PS30_Si_Co_A and PS30_Si_Co_B catalysts, respectively.
The diffraction patterns clearly display a broad, low, intense diffraction peak (101) at 2θ~22°, originating from the poorly ordered silica in the composite shells [31]. The presence of the transition metal oxide in the structure of the developed materials is confirmed by other characteristic reflections observed at 2θ equal to 19.0°, 31.2°, 37.0°, 38.5°, 44.8°, 59.3° and 65.2° with intensities growing with the increasing Co content. They correspond to (111), (220), (311), (222), (400), (511) and (440) lattice planes in the crystal structure of Co3O4 spinel phase (space group Fd3m), respectively (PDF 00-009-0418). The calculated values of the parameter a of 8.06 Å and the unit cell volume of 523.2 Å are only slightly lower compared to the theoretical data of 8.084 Å and 528.30 Å, respectively [32]. The mean Co3O4 crystallite sizes determined on the basis of the Scherrer equation from the broadening of the most intense (311) diffraction are given in Table 1. A very clear correlation between the Co3O4 mean crystallite size and the Co content for the materials in both series is observed.
In order to determine the chemical environment of the active phase in the investigated catalysts, UV-Vis-DR measurements were performed. The collected spectra are shown in Figure 5a,b. The results for both series of the catalysts are very similar, and fully confirm the presence of the Co3O4 spinel phase. Around 260 nm, the band corresponding to the O2− → Co3+ charge transfer is distinguished. However, the main bands occur at higher wavelengths. Their width is indicative of different ordering of spinel particles, but generally the absorption band in the range of 300–500 nm is attributed to octahedrally coordinated Co3+ ions, whereas another wide band at 600–800 nm is assigned to the electron transitions characteristic for Co2+ ions in tetrahedral coordination in the Co3O4 spinel [33,34,35].
The surface composition of the Co-loaded materials synthesized in the paths A and B was more precisely characterized by X-ray photoelectron spectroscopy (XPS). The high-resolution XPS spectra recorded in the Co 2p region (Figure 6a,b) display a characteristic doublet of the Co 2p3/2 and Co 2p1/2 peaks, which is related to the spin-orbital splitting. The determined distance between the peaks in this doublet for all studied materials is Δ = 15.3–15.4 eV, which is the typical value reported for the Co3O4 phase in the literature [36,37].
The studied materials are characterized by the presence of Co3+ ions in octahedral coordination (779.0 ± 0.3 eV) and Co2+ in tetrahedral coordination (780.6 ± 0.2 eV) [38]. In the fitting model used, an additional component related to Co2+ multiplet splitting at 782.4 ± 0.3 eV was added [38,39,40]. In order to describe the surface composition in more detail, the Co2+/Co3+ ratio was calculated based on the performed deconvolution. The values for the PS30_Si_Co_A catalysts are close to 1.0, while for PS30_Si_Co_B they are at the level of 0.8, which indicates that in the latter case the Co3+ ion content is higher. The presence of more Co3+ ions usually enhances the reducibility and increases the activity of the Co3O4 spinel phase in the catalytic combustion of VOCs [41,42]. The calculated ratio of the Co concentration on the surface (from the XPS results) to that in the total volume (from the XRF results) provides clear differences in the cobalt deposition on the surface of the SiO2 spheres (Figure 7). For the PS30_Si_Co_B catalysts, the enrichment of the surface with cobalt ranges from 40% to 90%. In the case of the catalysts obtained in path A, there is a clear tendency to change the distribution along with the Co content. The PS30_Si_Co5_B sample has almost four times more Co on the surface than in the volume, while for higher Co contents, the enrichment of the surface with the active phase significantly decreases (for PS30_Si_Co15_B, the Co content on the surface is only 10% higher than in the entire volume).
The activity of oxide catalysts in the total oxidation of VOCs is often directly related to their redox properties, as the reaction involves lattice oxygen from the subsurface layers and even the interior of the solid phase [43]. Susceptibility to reduction oxides more easily creates surface defects, which promotes catalytic activity [44]. Therefore, we decided to use the temperature-programmed reduction (H2-TPR) technique to study the reducibility of the developed catalysts (Figure 8a,b).
Mandal et al. [45] postulated that large Co3O4 particles are typically reduced directly to metallic cobalt in one step, while the reduction of Co3O4 nanoparticles is often a two-step process. In the case of the tested materials, two main reduction peaks in the H2-TPR profiles are observed, which confirm the nanometric dimensions of the active phase particles. The reduction of Co3O4 spinel proceeds through two steps described by the following reaction equations:
Co3O4 + H2 → 3CoO + H2O
CoO + H2 → Co0 + H2O
The first reduction step begins in the temperature range of 250–280 °C and reaches its maximum rate at about 360–370 °C. A deeper reduction in the active phase occurs at higher temperatures (a maximum of greater intensity at approximately 390–410 °C). For both series, an increase in the cobalt content in the studied catalysts results in an increase in the intensity of the reduction maxima and their shift towards higher temperatures. These effects are rather expected, since the higher content of the component to be reduced requires the consumption of more hydrogen, and on the other hand, kinetic circumstances lead to the achievement of the maximum rate of the polythermal reduction process at increasingly higher temperatures.
However, very interesting conclusions can be deduced by analyzing the temperatures of reduction onset determined for the individual catalysts (Figure 8c). These values were determined based on an increase in a detector signal to a value exceeding by 1% a baseline value determined in the temperature range of 200–220 °C, in which no reaction resulting in the consumption of H2 occurs. It is clearly visible that the reduction process begins at lower temperatures in the case of larger Co3O4 crystallites, the formation of which is favored by the higher Co content. Nevertheless, it is not the most important parameter responsible for easier reducibility. Clearly, the PS30_Si_Co_A catalysts require higher temperatures to initialize the reduction process than the analogous PS30_Si_Co_B materials, containing crystallites of similar sizes and comparable Co loadings. It should therefore be assumed that the observed differences result from a different distribution of Co3O4 nanoparticles, which in turn are varied by the synthesis procedure. In the case of PS30_Si_Co_A, the infiltration of the Co(NO3)2 solution leads to the aggregation of more active phase nanoparticles on the inner walls of the SiO2 spheres, which closely adhere to the surface of the support stabilizing them. Differently, the introduction of the Co(NO3)2 solution into the hollow SiO2 spheres provides a larger space for crystallization and the subsequent transformation of the active phase precursor to the oxide form. Hence, in this case, the Co3O4 crystallites are loosely bonded to the silica support and thus are easier to be reduced. The shift of the reduction onset towards lower temperatures with the activation of lattice oxygen should result in higher catalytic activity in the combustion of VOCs [38,46].
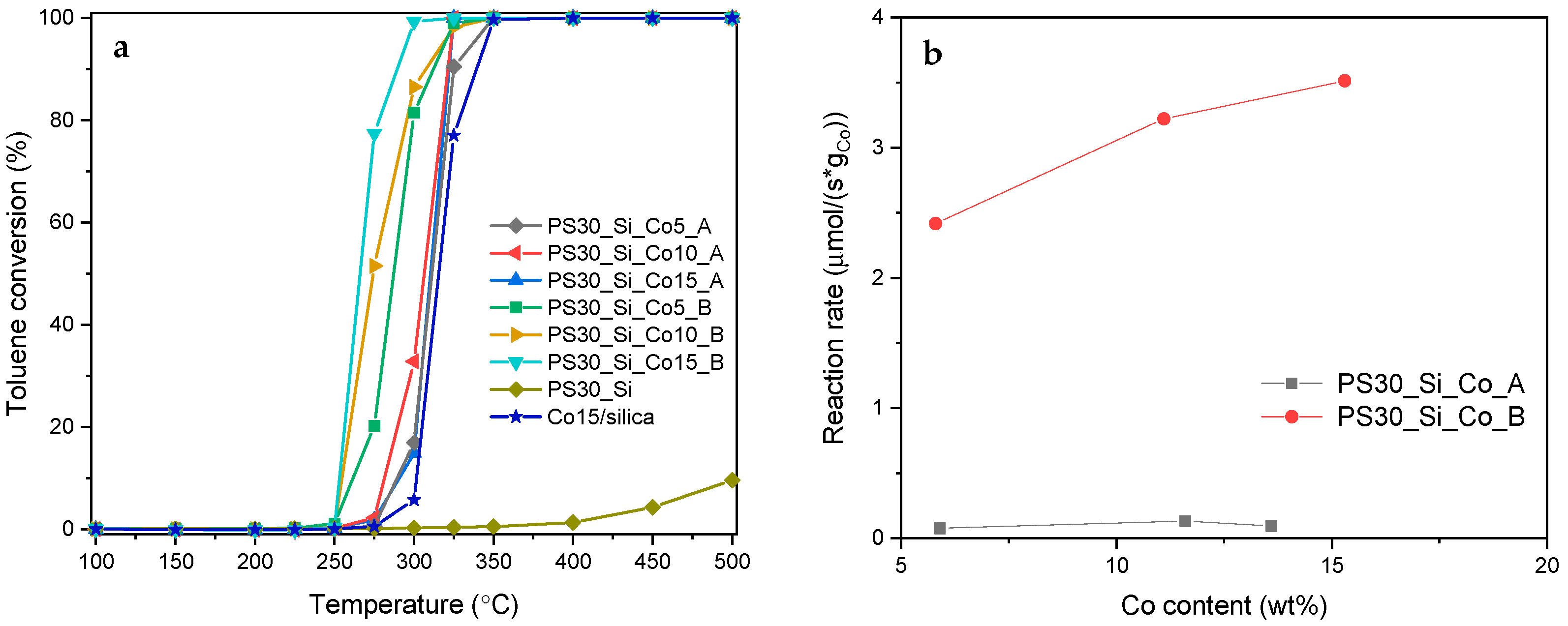
The Co3O4-containing catalysts synthesized on the basis of the PS30_Si composite template were tested for the catalytic activity in the total oxidation of toluene (Figure 9a). The catalysts of both series A and B showed high activity in this reaction, the main products of which were CO2 and H2O. Selectivity to CO2 remained at an extremely high level. For each material, regardless of the reaction temperature, it was > 99.9%. In only selected cases, the formation of traces of benzene, as a by-product, was detected. It is observed that the PS30_Si_Co_A catalysts demonstrate very similar activity, while the materials calcined prior to the inclusion of the cobalt precursor (PS30_Si_Co_B) exhibit apparent differences in the catalytic performance. Nevertheless, it should be noted that for the PS30_Si_Co_B catalysts, which are characterized by easier reducibility as previously shown by the H2-TPR measurements, significantly better catalytic results were achieved. The toluene conversion at the level of 50% for the most active catalysts of both series was attained at temperatures of 306 °C and 266 °C for PS30_Si_Co10_A and PS30_Si_Co15_B, respectively (Table 2). The extraordinary catalytic activity of the PS30_Si_Co_B catalysts can be found even better when the reaction rate (r) is compared:
r = F t o l u e n e C t o l u e n e m C o
where Ftoluene represents the flow rate of toluene (mol/s), Ctoluene is the toluene conversion, and mCo is the content of Co in the working catalyst. The results collected for the experimental points measured at 275 °C are shown in Figure 9b.
It should therefore be emphasized that the procedure used to introduce the active phase is of crucial importance in profiling the catalytic activity of Co3O4@SiO2 nanorattles. Due to the larger available nanospace for the arrangement of the active phase grains, much more favorable effects are obtained by the deposition of the Co3O4 precursor in the empty SiO2 spheres. In this case, the absence of strong interactions between the spinel phase crystallites and the silica support is confirmed even for the content of 15 wt.% of Co. Furthermore, the oxide particles do not aggregate significantly and finally the highest reaction rate is reached.
In order to verify the real usefulness of the developed catalysts in the process of toluene combustion, the catalytic test was also carried out for the material prepared using commercial spherical silica gel, which was modified by introducing 15 wt.% of Co with an analogous procedure as for the PS30_Si_Co samples. As can be seen from Figure 9a, the reference Co15/silica sample shows a lower activity than all developed yolk–shell catalysts. Compared to the most active PS30_Si_Co15_B material, this difference is huge—the T50 value is reached at a temperature approx. 50 °C lower.
On the other hand, additional measurements for the most active PS30_Si_Co15_B catalyst were performed to show its stability and behavior at much higher toluene content (the toluene content in the feed was increased from 1000 ppm to 2500 ppm). After the catalytic run in the temperature range of 100–500 °C in the presence of 1000 ppm of toluene in the flowing air (cycle 1), the reactor was cooled down to 100 °C and the measurement was repeated (cycle 2). After cycle 2, the toluene concentration in the feed was increased to 2500 ppm and two subsequent polythermal runs (cycle 3 and 4) were carried out. The results presented in Figure 10 clearly confirm high stability of the developed material in the repeated runs. Only a slight decrease in the toluene conversion at 275 °C is found. Moreover, an increase in the toluene concentration results in a noticeable decrease in its conversion from 77.4% (cycle 1 at 1000 ppm) to 38.4% (cycle 3 at 2500 ppm) at this temperature. At 300 °C these differences are not so important, and starting from 325 °C, practically complete conversion is achieved regardless of the toluene concentration.
To conclude, the presented results clearly indicate the enormous potential resulting from the location of the oxide phase inside the SiO2 shell, where properly protected, can actively, selectively and stably act in the total oxidation of VOCs.

3. Materials and Methods

3.1. Chemicals

Styrene (Sigma-Aldrich, Germany, >99.0%), acrylic acid (Acros Organics, France, 98%, extra pure), potassium persulfate (Chempur, Piekary Śląskie, Poland, pure p.a.), tetraethyl orthosilicate (TEOS, Sigma-Aldrich, China, ≥99.0%), ammonia solution (28–30%, J.T. Baker, Philipsburg, NJ, USA), isopropanol (Stanlab, Lublin, Poland, pure), cobalt(II) nitrate(V) hexahydrate (Honeywell, Seelze, Germany, 98%), toluene (Honeywell, Seelze, Germany, puriss p.a.) and nitrogen (Air Products, Świerzewo, Poland, grade 5.2).

3.2. Synthesis

Poly(styrene-co-acrylic acid) latex spheres were prepared by emulsion polymerization [47]. Briefly, 360 mL of distilled water was introduced into a 1000 mL three-neck round-bottom flask equipped with a mechanical stirrer (300 rpm), a reflux condenser and a N2 dosing tube. Then, acrylic acid (1.6 g) and styrene (6.4 g) were added slowly by dropping it into the flask, and the mixture was deoxygenated by bubbling with nitrogen gas for 30 min. The temperature was raised to 70 °C and an aqueous solution of potassium persulfate (0.24 g in 40 g water) was poured to initialize the polymerization reaction at a constant mixing speed of 300 rpm. After 24 h the reaction mixture was allowed to cool down to room temperature.
In the next step, the surface of the obtained poly(styrene-co-acrylic acid) spheres (coded as PS30) was coated with a SiO2 layer. For this purpose, 5 mL of the mixture containing the synthesized latex was placed along with 35 mL of distilled water and 200 mL of isopropanol in a 1000 mL vessel. After 15 min, 5 mL of ammonia solution and 4.5 mL of TEOS were added dropwise while vigorously stirring the mixture using a mechanical stirrer (250 rpm). The mixing was continued for another 3 h. Subsequently, the solid was centrifuged, rinsed twice with distilled water and once with isopropanol, and finally dried at 80 °C. The formed core–shell material is named as PS30_Si.
The synthesized composite was modified with Co using two different procedures (path A and B) shown schematically in Scheme 1. The series A was prepared by infiltrating the active phase precursor into the previously obtained PS30_Si material, drying and then calcinating. In the case of the series B, the copolymer core was first removed by calcination, then the active phase precursor was introduced. The resulting material was dried and calcined again.
The preparations of both series were impregnated with aqueous solutions of Co(NO3)2 with concentrations that allowed Co loadings of 5, 10 and 15 wt.% in the final catalysts. Appropriate amounts of Co(NO3)2·6H2O were dissolved in distilled water and added to 1 g of the support placed in crucibles. After thorough mixing, the samples were allowed to dry at 80 °C. Finally, the materials were calcined at 550 °C for 4 h (heating rate of 1 °C/min) in order to remove the polymer core and form the Co3O4 spinel phase.

3.3. Characterization

Surface morphology was investigated by SEM imaging using a Hitachi S-4700 field emission scanning electron microscope at an accelerating voltage of 20 kV. Samples were mounted on sticky carbon discs and coated with a gold layer. Secondary electron (SE) signal was used for observations.
Particle size distribution and average ζ-potential were determined by DLS measurements in a Zetasizer Nano ZS instrument (Malvern Instruments) equipped with a He-Ne laser source (λ = 633 nm). Prior to analysis, a suspension containing 0.1 wt.% of a material was prepared using deionized water and sonicated in an ultrasonic bath for 30 min.
Chemical composition was studied by XRF using an ARL Quant’x (Thermo Scientific) spectrometer, whereas polymer and inorganic contents in the PS30_Si composite were determined by thermal analysis. About 10 mg of the sample was tested in a TA Instruments SDT Q600 thermobalance in the range of 20–1000 °C at a linear heating rate of 20 °C/min in flowing air flow (100 mL/min).
The structure of samples was examined by XRD. The XRD patterns were collected on a Bruker D2 Phaser instrument using Cu Kα radiation (λ = 1.54184° Å) and a LYNXEYE detector within a 2θ range of 5–70° at a step of 0.02°.
Textural properties were calculated from low-temperature N2 adsorption isotherms measured at −196 °C using a Micromeritics ASAP 2020 sorptometer. Samples were initially outgassed at 250 °C for 5 h under vacuum.
UV-Vis spectra were collected in a Thermo Scientific UV-VIS Evolution 200 double-beam spectrometer equipped with a xenon lamp and a diffuse reflectance accessory, enabling analyses of solids. The spectra were recorded in the wavelength range of 190–1100 nm, collecting 60 scans per min.
Surface analyses were performed by XPS in an ultra-high vacuum system manufactured by Prevac. The XPS spectra were collected using a monochromatized aluminum source AlKα (E = 1486.6 eV) and a hemispherical analyzer (VG SCIENTA R3000). The binding energy scale for the non-conductive samples was calibrated by referring to a position of Si 2p (Eb = 103.0 eV). The Shirley background and fitting with the mixed Gauss–Lorentz function (GL = 30) were used during interpretation of the spectra in the CasaXPS software.
H2-TPR measurements were performed in a self-made equipment. An amount of 50 mg of a dried sample was placed in a quartz reactor and heated from room temperature to 900 °C at a linear temperature increase of 10 °C/min in a mixture of Ar/H2 (95/5 vol.%), which was passed through the bed of the analyzed sample at a total flow rate of 40 mL/min. Hydrogen concentration in the gas mixture was analyzed by a thermal conductivity detector (TCD) and recalculated into consumption by the reduction reaction based on calibration with CuO as a reference.

3.4. Catalytic Activity

Catalytic combustion of toluene was studied as a model reaction in a quartz microreactor with an inner diameter of 8.0 mm. Before starting a measurement, a catalyst (0.1 g, particle size 160–315 μm) was degassed at 500 °C for 30 min in a stream of air (flow rate = 100 mL/min). After that time, the reactor was cooled to 100 °C and toluene dosing (at concentration of 1000 ppm) to flowing air was started. The organic substrate was introduced into the feed using a thermostated scrubber filled with the liquid compound kept at −7.5 °C ensuring its vapor pressure at the assumed level. The catalytic tests were carried out in the temperature range of 100–500 °C. The reactor was held at each temperature step for 80 min during which three analyses of the reaction products were performed. The reaction products were analyzed using a Bruker 450 gas chromatograph equipped with two capillary columns (Porapak S and Chromosorb WAW-DMCS), two flame ionization detectors, a thermal conductivity detector and a methanizer.

4. Conclusions

The main goal of this study was to develop yolk–shell materials containing Co3O4 nanoparticles, catalytically active in the total oxidation of VOCs. The introduction of a shell made of porous SiO2 was to play a role in protecting the active phase against aggregation, which ensures a high dispersion of active sites and creates a nanospace for the reactants involved in the catalytic process. The bottom-up strategy was used for the construction of Co3O4@SiO2 nanorattles, in which in the initial step a spherical poly(styrene-co-acrylic acid) template with a particle size in the range of 240–260 nm was synthesized by emulsion polymerization. On the surface of the copolymer scaffold, a SiO2 nanolayer (with a thickness of approx. 20–30 nm) was deposited by hydrolysis and condensation of TEOS. The enrichment of the PS30@SiO2 composite in Co was carried out by the wet impregnation method, with the active phase precursor being introduced either into SiO2 spheres filled with the copolymer core (series A) or into hollow SiO2 spheres after removal of the core by calcination (series B). The catalysts of both series showed high activity in total oxidation of toluene, exceeding that of the reference material containing 15 wt.% of Co on a commercial spherical silica gel. The catalysts of series B, however, were characterized by significantly lower temperatures of toluene conversion. Based on wide physicochemical characterization, including XRD, low-temperature adsorption of N2, DLS, SEM, XRF, UV-Vis-DR, XPS and H2-TPR, it was found that in the materials synthesized on the path B, the nanoparticles of the Co3O4 spinel phase were arranged loosely inside the SiO2 shell. No strong interaction between the crystallites of the active phase and SiO2 surface resulted in a weak stabilization effect observed for lattice oxygen in Co3O4. On the other hand, the high dispersion of the active phase, while facilitating the transport of the reagent molecules through the porous SiO2 shell, created an ideal structure of a nanoreactor with high operating efficiency. It can therefore be concluded that the Co3O4@SiO2 materials are an attractive alternative to conventional catalysts of VOCs combustion and can be considered as a platform for commercial applications in the future.

Author Contributions

Conceptualization, A.R. and P.K.; methodology, A.R., P.Ł. and P.K.; investigation, A.R., M.Ż., P.Ł., M.D. and M.M.; writing—original draft preparation, A.R., M.Ż. and P.K.; writing—review and editing, A.R. and P.K.; visualization, A.R. and M.Ż.; supervision, P.K. All authors have read and agreed to the published version of the manuscript.

Funding

This research was funded by National Science Centre, Poland, grant number 2018/02/X/ST5/03641. Some measurements were carried out with equipment purchased thanks to the financial support of the European Regional Development Fund in the framework of the Polish Innovation Economy Operational Program (contract no. POIG.02.01.00-12-023/08).

Data Availability Statement

The data presented in this study are available on request from the corresponding author.

Conflicts of Interest

The authors declare no conflict of interest. The funders had no role in the design of the study; in the collection, analyses, or interpretation of data; in the writing of the manuscript; or in the decision to publish the results.

References

  1. Huang, H.; Xu, Y.; Feng, Q.; Leung, D.Y.C. Low temperature catalytic oxidation of volatile organic compounds: A review. Catal. Sci. Technol. 2015, 5, 2649–2669. [Google Scholar] [CrossRef]
  2. Kuśtrowski, P.; Rokicińska, A.; Kondratowicz, T. Abatement of Volatile Organic Compounds Emission as a Target for Various Human Activities Including Energy Production. Adv. Inorg. Chem. 2018, 72, 385–419. [Google Scholar]
  3. Kamal, M.S.; Razzak, S.A.; Hossain, M.M. Catalytic oxidation of volatile organic compounds (VOCs)—A review. Atmos. Environ. 2016, 140, 117–134. [Google Scholar] [CrossRef]
  4. Zhang, Z.; Jiang, Z.; Shangguan, W. Low-temperature catalysis for VOCs removal in technology and application: A state-of-the-art review. Catal. Today 2016, 264, 270–278. [Google Scholar] [CrossRef]
  5. Rokicińska, A.; Berniak, T.; Drozdek, M.; Kuśtrowski, P. In Search of Factors Determining Activity of Co3O4 Nanoparticles Dispersed in Partially Exfoliated Montmorillonite Structure. Molecules 2021, 26, 3288. [Google Scholar] [CrossRef]
  6. Saqer, S.M.; Kondarides, D.I.; Verykios, X.E. Catalytic oxidation of toluene over binary mixtures of copper, manganese and cerium oxides supported on γ-Al2O3. Appl. Catal. B 2011, 103, 275–286. [Google Scholar] [CrossRef]
  7. Carrillo, A.M.; Carriazo, J.G. Cu and Co oxides supported on halloysite for the total oxidation of toluene. Appl. Catal. B 2015, 164, 443–452. [Google Scholar] [CrossRef]
  8. Gosecka, M.; Gosecki, M. Characterization methods of polymer core–shell particles. Colloid Polym. Sci. 2015, 293, 2719–2740. [Google Scholar] [CrossRef]
  9. Ramli, R.A.; Laftah, W.A.; Hashim, S. Core–shell polymers: A review. RSC Adv. 2013, 3, 15543–15565. [Google Scholar] [CrossRef]
  10. Lu, W.; Guo, X.; Luo, Y.; Li, Q.; Zhu, R.; Pang, H. Core-Shell Materials for Advanced Batteries. Chem. Eng. J. 2019, 355, 208–237. [Google Scholar] [CrossRef]
  11. Li, Z.; Li, M.; Bian, Z.; Kathiraser, Y.; Kawi, S. Design of highly stable and selective core/yolk–shell nanocatalysts—A review. Appl. Catal. B 2016, 188, 324–341. [Google Scholar] [CrossRef]
  12. El-Toni, A.M.; Habila, M.A.; Puzon Labis, J.; Al Othman, Z.A.; Alhoshan, M.; Elzatahry, A.A.; Zhang, F. Design, synthesis and applications of core–shell, hollow core, and nanorattle multifunctional nanostructures. Nanoscale 2016, 8, 2510–2531. [Google Scholar] [CrossRef] [PubMed]
  13. Adijanto, L.; Bennett, D.A.; Chen, C.; Yu, A.S.; Cargnello, M.; Fornasiero, P.; Gorte, R.J.; Vohs, J.M. Exceptional Thermal Stability of Pd@CeO2 Core–Shell Catalyst Nanostructures Grafted onto an Oxide Surface. Nano Lett. 2013, 13, 2252–2257. [Google Scholar] [CrossRef] [PubMed]
  14. Lu, C.; Ge, C.; Wang, A.; Yin, H.; Ren, M.; Zhang, Y.; Yu, L.; Jiang, T. Synthesis of porous hollow silica spheres using functionalized polystyrene latex spheres as templates. Korean J. Chem. Eng. 2011, 28, 1458–1463. [Google Scholar] [CrossRef]
  15. Ge, C.; Zhang, D.; Wang, A.; Yin, H.; Ren, M.; Liu, Y.; Jiang, T.; Yu, L. Synthesis of porous hollow silica spheres using polystyrene–methyl acrylic acid latex template at different temperatures. J. Phys. Chem. Solids 2009, 70, 1432–1437. [Google Scholar] [CrossRef]
  16. Fujiwara, M.; Shiokawa, K.; Tanaka, Y.; Nakahara, Y. Preparation and Formation Mechanism of Silica Microcapsules (Hollow Sphere) by Water/Oil/Water Interfacial Reaction. Chem. Mater. 2004, 16, 5420–5426. [Google Scholar] [CrossRef]
  17. Lu, Y.; McLellan, J.; Xia, Y. Synthesis and Crystallization of Hybrid Spherical Colloids Composed of Polystyrene Cores and Silica Shells. Langmuir 2004, 20, 3464–3470. [Google Scholar] [CrossRef]
  18. Zou, H.; Wu, S.; Shen, J. Preparation of Silica-Coated Poly(styrene-co-4-vinylpyridine) Particles and Hollow Particles. Langmuir 2008, 24, 10453–10461. [Google Scholar] [CrossRef]
  19. Du, B.; Cao, Z.; Li, Z.; Mei, A.; Zhang, X.; Nie, J.; Xu, J.; Fan, Z. One-Pot Preparation of Hollow Silica Spheres by Using Thermosensitive Poly(N-isopropylacrylamide) as a Reversible Template. Langmuir 2009, 25, 12367–12373. [Google Scholar] [CrossRef]
  20. Guo, Y.; Davidson, R.A.; Peck, K.A.; Guo, T. Encapsulation of multiple large spherical silica nanoparticles in hollow spherical silica shells. J. Colloid Interface Sci. 2015, 445, 112–118. [Google Scholar] [CrossRef]
  21. Du, P.; Liu, P. Novel Smart Yolk/Shell Polymer Microspheres as a Multiply Responsive Cargo Delivery System. Langmuir 2014, 30, 3060–3068. [Google Scholar] [CrossRef]
  22. Blas, H.; Save, M.; Pasetto, P.; Boissiere, C.; Sanchez, C.; Charleux, B. Elaboration of Monodisperse Spherical Hollow Particles with Ordered Mesoporous Silica Shells via Dual Latex/Surfactant Templating: Radial Orientation of Mesopore Channels. Langmuir 2008, 24, 13132–13137. [Google Scholar] [CrossRef]
  23. Nakashima, Y.; Takai, C.; Razavi-Khosroshahi, H.; Shirai, T.; Fuji, M. Effects of primary- and secondary-amines on the formation of hollow silica nanoparticles by using emulsion template method. Colloids Surf. A Physicochem. Eng. Asp. 2016, 506, 849–854. [Google Scholar] [CrossRef] [Green Version]
  24. Telford, A.M.; Pham, B.T.T.; Neto, C.; Hawkett, B.S. Micron-sized polystyrene particles by surfactant-free emulsion polymerization in air: Synthesis and mechanism. J. Polym. Sci. A Polym. Chem. 2013, 51, 3997–4002. [Google Scholar] [CrossRef]
  25. Prokopov, N.I.; Gritskova, I.A.; Kiryutina, O.P.; Khaddazh, M.; Tauer, K.; Kozempel, S. The Mechanism of Surfactant-Free Emulsion Polymerization of Styrene. Polym. Sci. Ser. B 2010, 52, 339–345. [Google Scholar] [CrossRef]
  26. Agrawal, M.; Pich, A.; Gupta, S.; Zafeiropoulos, N.E.; Simon, P.; Stamm, M. Synthesis of Novel Tantalum Oxide Sub-micrometer Hollow Spheres with Tailored Shell Thickness. Langmuir 2008, 24, 1013–1018. [Google Scholar] [CrossRef] [PubMed]
  27. Nakashima, Y.; Takai, C.; Razavi-Khosroshahi, H.; Fuji, M. Influence of the PAA concentration on PAA/NH3 emulsion template method for synthesizing hollow silica nanoparticles. Colloids Surf. A 2018, 546, 301–306. [Google Scholar] [CrossRef]
  28. Farooq, U.; Tweheyo, M.T.; Sjöblom, J.; Øye, G. Surface Characterization of Model, Outcrop and Reservoir Samples in Low Salinity Aqueous Solutions. J. Dispers. Sci. Technol. 2011, 32, 519–531. [Google Scholar] [CrossRef]
  29. Bhattacharjee, S. DLS and zeta potential—What they are and what they are not? J. Control. Release 2016, 235, 337–351. [Google Scholar] [CrossRef] [PubMed]
  30. Leroy, P.; Devau, N.; Revil, A.; Bizi, M. Influence of surface conductivity on the apparent zeta potential of amorphous silica nanoparticles. J. Colloid Interface Sci. 2013, 410, 81–93. [Google Scholar] [CrossRef] [Green Version]
  31. Bao, Y.; Wang, T.; Kang, Q.; Shi, C.; Ma, J. Micelle-template synthesis of hollow silica spheres for improving water vapor permeability of waterborne polyurethane membrane. Sci. Rep. 2017, 7, 46638. [Google Scholar] [CrossRef] [PubMed] [Green Version]
  32. Dutta, P.; Seehra, M.S.; Thota, S.; Kumar, J. A comparative study of the magnetic properties of bulk and nanocrystalline Co3O4. J. Phys. Condens. Matter 2008, 20, 015218. [Google Scholar] [CrossRef] [Green Version]
  33. Popova, M.; Ristić, A.; Mavrodinova, V.; Maučec, D.; Mindizova, L.; Novak Tušar, N. Design of Cobalt Functionalized Silica with Interparticle Mesoporosity as a Promising Catalyst for VOCs Decomposition. Catal. Lett. 2014, 144, 1096–1100. [Google Scholar] [CrossRef]
  34. Lin, L.Y.; Bai, H. Salt-induced formation of hollow and mesoporous CoOx/SiO2 spheres and their catalytic behavior in toluene oxidation. RSC Adv. 2016, 6, 24304–24313. [Google Scholar] [CrossRef]
  35. Taghavimoghaddam, J.; Knowles, G.P.; Chaffee, A.L. Mesoporous Silica SBA-15 Supported Co3O4 Nanorods as Efficient Liquid Phase Oxidative Catalysts. Top. Catal. 2012, 55, 571–579. [Google Scholar] [CrossRef]
  36. Rokicińska, A.; Drozdek, M.; Bogdan, E.; Węgrzynowicz, A.; Michorczyk, P.; Kuśtrowski, P. Combustion of toluene over cobalt-modified MFI zeolite dispersed on monolith produced using 3D printing technique. Catal. Today 2021, 375, 369–376. [Google Scholar] [CrossRef]
  37. Klegova, A.; Inayat, A.; Indyka, P.; Gryboś, J.; Sojka, Z.; Pacultová, K.; Schwieger, W.; Volodarskaja, A.; Kuśtrowski, P.; Rokicińska, A.; et al. Cobalt mixed oxides deposited on the SiC open-cell foams for nitrous oxide decomposition. Appl. Catal. B 2019, 255, 117745. [Google Scholar] [CrossRef]
  38. Rokicińska, A.; Natkański, P.; Dudek, B.; Drozdek, M.; Lityńska-Dobrzyńska, L.; Kuśtrowski, P. Co3O4-pillared montmorillonite catalysts synthesized by hydrogel-assisted route for total oxidation of toluene. Appl. Catal. B 2016, 195, 59–68. [Google Scholar] [CrossRef]
  39. Ataloglou, T.; Fountzoula, C.; Bourikas, K.; Vakros, J.; Lycourghiotis, A.; Kordulis, C. Cobalt oxide/γ-alumina catalysts prepared by equilibrium deposition filtration: The influence of the initial cobalt concentration on the structure of the oxide phase and the activity for complete benzene oxidation. Appl. Catal. A 2005, 288, 1–9. [Google Scholar] [CrossRef]
  40. Iablokov, V.; Barbosa, R.; Pollefeyt, G.; Van Driessche, I.; Chenakin, S.; Kruse, N. Catalytic CO Oxidation over Well-Defined Cobalt Oxide Nanoparticles: Size-Reactivity Correlation. ACS Catal. 2015, 5, 5714–5718. [Google Scholar] [CrossRef]
  41. Li, G.; Zhang, C.; Wang, Z.; Huang, H.; Peng, H.; Li, X. Fabrication of mesoporous Co3O4 oxides by acid treatment and their catalytic performances for toluene oxidation. Appl. Catal. A 2018, 550, 67–76. [Google Scholar] [CrossRef]
  42. Zhang, Q.; Mo, S.; Chen, B.; Zhang, W.; Huang, C.; Ye, D. Hierarchical Co3O4 nanostructures in-situ grown on 3D nickel foam towards toluene oxidation. Mol. Catal. 2018, 454, 12–20. [Google Scholar] [CrossRef]
  43. Chen, S.; Xie, H.; Zhou, G. Tuning the pore structure of mesoporous Co3O4 materials for ethanol oxidation to acetaldehyde. Ceram. Int. 2019, 45, 24609–24617. [Google Scholar] [CrossRef]
  44. Shamma, E.H.; Said, S.; Riad, M.; Mikhail, S.; Ismail, A.E.H. Modernization of the bulk Co3O4 to produce meso-porous Co3O4 nanoparticles with enhanced structural and morphological characteristics. J. Porous Mater. 2020, 27, 647–657. [Google Scholar] [CrossRef]
  45. Mandal, S.; Rakibuddin, M.; Ananthakrishnan, R. Strategic Synthesis of SiO2-Modified Porous Co3O4 Nano-Octahedra Through the Nanocoordination Polymer Route for Enhanced and Selective Sensing of H2 Gas over NOx. ACS Omega 2018, 3, 648–661. [Google Scholar] [CrossRef] [Green Version]
  46. Rokicińska, A.; Drozdek, M.; Dudek, B.; Gil, B.; Michorczyk, P.; Brouri, D.; Dzwigaj, S.; Kuśtrowski, P. Cobalt-containing BEA zeolite for catalytic combustion of toluene. Appl. Catal. B 2017, 212, 59–67. [Google Scholar] [CrossRef] [Green Version]
  47. Yan, R.; Zhang, Y.; Wang, X.; Xu, J.; Wang, D.; Zhang, W. Synthesis of porous poly(styrene-co-acrylic acid) microspheres through one-step soap-free emulsion polymerization: Whys and wherefores. J. Colloid Interface Sci. 2012, 368, 220–225. [Google Scholar] [CrossRef]
Figure 1. (a) Zeta potential distribution of samples dispersed in water, and (b) mass loss (TG), mass loss rate (DTG) as well as differential thermal analysis (DTA) curves for PS30_Si measured at air atmosphere.
Figure 1. (a) Zeta potential distribution of samples dispersed in water, and (b) mass loss (TG), mass loss rate (DTG) as well as differential thermal analysis (DTA) curves for PS30_Si measured at air atmosphere.
Catalysts 11 01097 g001
Figure 2. SEM images of calcined PS30_Si (a), PS30_Si_Co15_A (b) and PS30_Si_Co15_B (c).
Figure 2. SEM images of calcined PS30_Si (a), PS30_Si_Co15_A (b) and PS30_Si_Co15_B (c).
Catalysts 11 01097 g002
Figure 3. N2 adsorption isotherms for PS30_Si before and after the PS30 core removal as well as the PS30_Si_Co15 catalysts synthesized in the paths A and B.
Figure 3. N2 adsorption isotherms for PS30_Si before and after the PS30 core removal as well as the PS30_Si_Co15 catalysts synthesized in the paths A and B.
Catalysts 11 01097 g003
Figure 4. XRD patterns of PS30_Si-based catalysts synthesized in the path A (a) and B (b). Reflections characteristic for the Co3O4 phase are marked with an asterisk.
Figure 4. XRD patterns of PS30_Si-based catalysts synthesized in the path A (a) and B (b). Reflections characteristic for the Co3O4 phase are marked with an asterisk.
Catalysts 11 01097 g004
Figure 5. UV-Vis-DR spectra of PS30_Si-based catalysts synthesized in the path A (a) and B (b).
Figure 5. UV-Vis-DR spectra of PS30_Si-based catalysts synthesized in the path A (a) and B (b).
Catalysts 11 01097 g005
Figure 6. XPS Co 2p spectra of PS30_Si-based catalysts synthesized in the path A (a) and B (b).
Figure 6. XPS Co 2p spectra of PS30_Si-based catalysts synthesized in the path A (a) and B (b).
Catalysts 11 01097 g006
Figure 7. Relationship between the Cosurf/Cobulk atomic ratio and the total cobalt content in the studied yolk–shell catalysts.
Figure 7. Relationship between the Cosurf/Cobulk atomic ratio and the total cobalt content in the studied yolk–shell catalysts.
Catalysts 11 01097 g007
Figure 8. Temperature-programmed reduction profiles of PS30_Si-based catalysts synthesized in the path A (a) and B (b) as well as relationship between temperature of reduction onset and mean Co3O4 crystallite size (c).
Figure 8. Temperature-programmed reduction profiles of PS30_Si-based catalysts synthesized in the path A (a) and B (b) as well as relationship between temperature of reduction onset and mean Co3O4 crystallite size (c).
Catalysts 11 01097 g008
Figure 9. (a) Toluene conversion achieved at various temperatures over PS30_Si-based catalysts compared to the reference Co15/silica sample, and (b) rate of the toluene combustion at 275 °C calculated in relation to Co content.
Figure 9. (a) Toluene conversion achieved at various temperatures over PS30_Si-based catalysts compared to the reference Co15/silica sample, and (b) rate of the toluene combustion at 275 °C calculated in relation to Co content.
Catalysts 11 01097 g009
Figure 10. Catalytic activity in toluene combustion over PS30_Si_Co15_B in four successive reaction cycles (toluene concentration: cycles 1 and 2—1000 ppm, cycles 3 and 4—2500 ppm).
Figure 10. Catalytic activity in toluene combustion over PS30_Si_Co15_B in four successive reaction cycles (toluene concentration: cycles 1 and 2—1000 ppm, cycles 3 and 4—2500 ppm).
Catalysts 11 01097 g010
Scheme 1. Synthesis of Co3O4@SiO2 composites using spherical poly(styrene-co-acrylic acid) template.
Scheme 1. Synthesis of Co3O4@SiO2 composites using spherical poly(styrene-co-acrylic acid) template.
Catalysts 11 01097 sch001
Table 1. Chemical composition, Co3O4 crystallite size and textural parameters of the studied PS30_Si-based samples.
Table 1. Chemical composition, Co3O4 crystallite size and textural parameters of the studied PS30_Si-based samples.
SampleCo Loading [wt.%]Mean Co3O4 Crystallite Size [Å]Textural Parameters
SBET [m2/g] aVtotal [cm3/g] b
PS30_Si with PS30 core--410.319
PS30_Si without PS30 core--150.059
PS30_Si_Co5_A5.9225180.063
PS30_Si_Co10_A11.6298170.083
PS30_Si_Co15_A13.6338160.086
PS30_Si_Co5_B5.8237160.069
PS30_Si_Co10_B11.1282190.089
PS30_Si_Co15_B15.3358160.089
a specific surface area calculated using the Brunauer–Emmett–Teller (BET) model, b total pore volume measured as the amount of N2 adsorbed at p/p0 ~ 0.99.
Table 2. Temperatures at which 20, 50 and 90% toluene conversion was achieved in the toluene combustion over PS30_Si-based catalysts.
Table 2. Temperatures at which 20, 50 and 90% toluene conversion was achieved in the toluene combustion over PS30_Si-based catalysts.
SampleTemperature [°C]
T20T50T90
PS30_Si_Co5_A301312325
PS30_Si_Co10_A290306322
PS30_Si_Co15_A302311322
PS30_Si_Co5_B274287312
PS30_Si_Co10_B260274307
PS30_Si_Co15_B256266290
Publisher’s Note: MDPI stays neutral with regard to jurisdictional claims in published maps and institutional affiliations.

Share and Cite

MDPI and ACS Style

Rokicińska, A.; Żurowska, M.; Łątka, P.; Drozdek, M.; Michalik, M.; Kuśtrowski, P. Design of Co3O4@SiO2 Nanorattles for Catalytic Toluene Combustion Based on Bottom-Up Strategy Involving Spherical Poly(styrene-co-acrylic Acid) Template. Catalysts 2021, 11, 1097. https://doi.org/10.3390/catal11091097

AMA Style

Rokicińska A, Żurowska M, Łątka P, Drozdek M, Michalik M, Kuśtrowski P. Design of Co3O4@SiO2 Nanorattles for Catalytic Toluene Combustion Based on Bottom-Up Strategy Involving Spherical Poly(styrene-co-acrylic Acid) Template. Catalysts. 2021; 11(9):1097. https://doi.org/10.3390/catal11091097

Chicago/Turabian Style

Rokicińska, Anna, Magdalena Żurowska, Piotr Łątka, Marek Drozdek, Marek Michalik, and Piotr Kuśtrowski. 2021. "Design of Co3O4@SiO2 Nanorattles for Catalytic Toluene Combustion Based on Bottom-Up Strategy Involving Spherical Poly(styrene-co-acrylic Acid) Template" Catalysts 11, no. 9: 1097. https://doi.org/10.3390/catal11091097

APA Style

Rokicińska, A., Żurowska, M., Łątka, P., Drozdek, M., Michalik, M., & Kuśtrowski, P. (2021). Design of Co3O4@SiO2 Nanorattles for Catalytic Toluene Combustion Based on Bottom-Up Strategy Involving Spherical Poly(styrene-co-acrylic Acid) Template. Catalysts, 11(9), 1097. https://doi.org/10.3390/catal11091097

Note that from the first issue of 2016, this journal uses article numbers instead of page numbers. See further details here.

Article Metrics

Back to TopTop