Effect of Ion-Exchange Sequences on Catalytic Performance of Cerium-Modified Cu-SSZ-13 Catalysts for NH3-SCR
Abstract
:1. Introduction
2. Results and Discussion
2.1. Catalytic Performance
2.2. Textural Properties
2.3. NMR Measurements
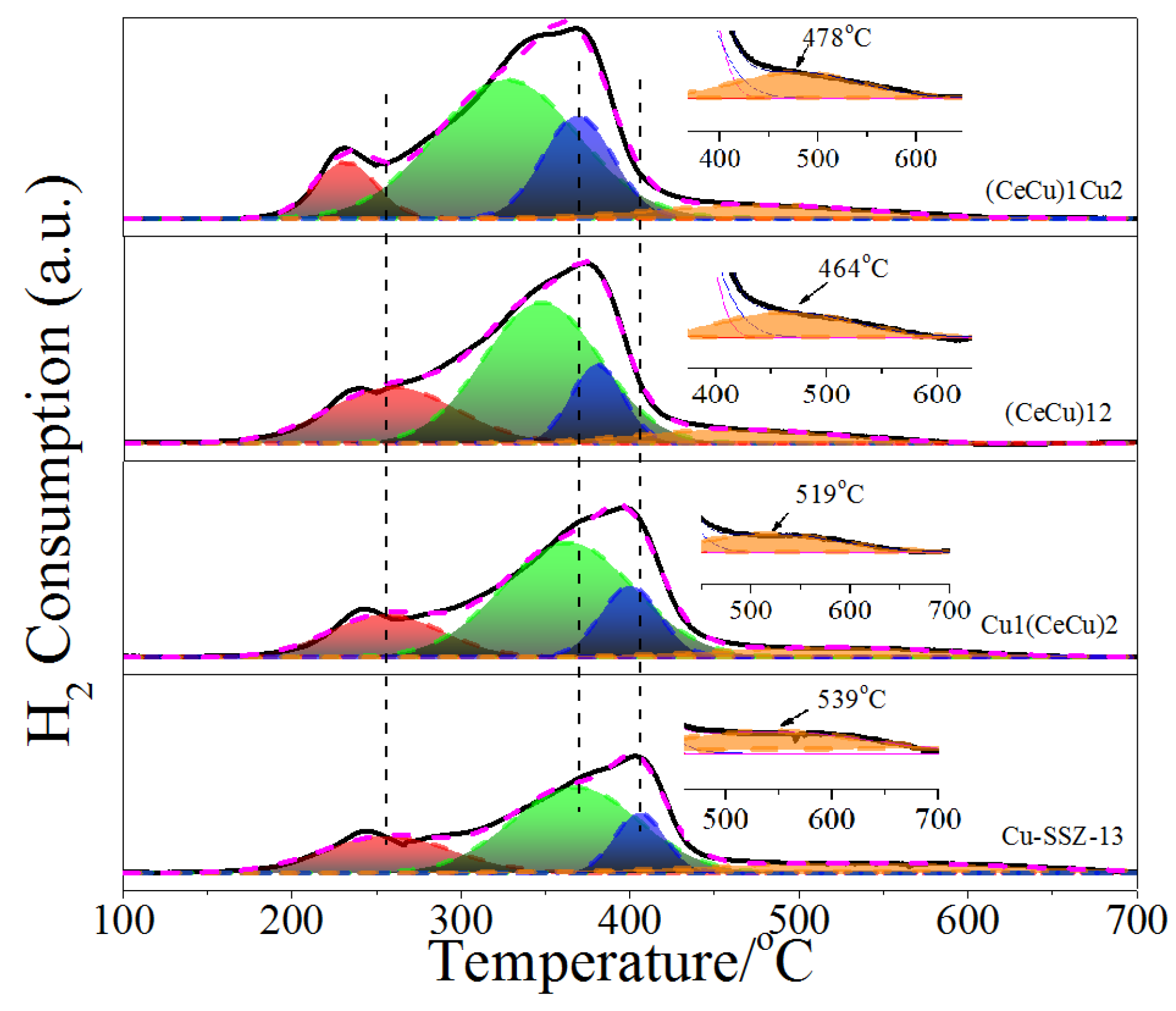
2.4. H2-TPR Measurements
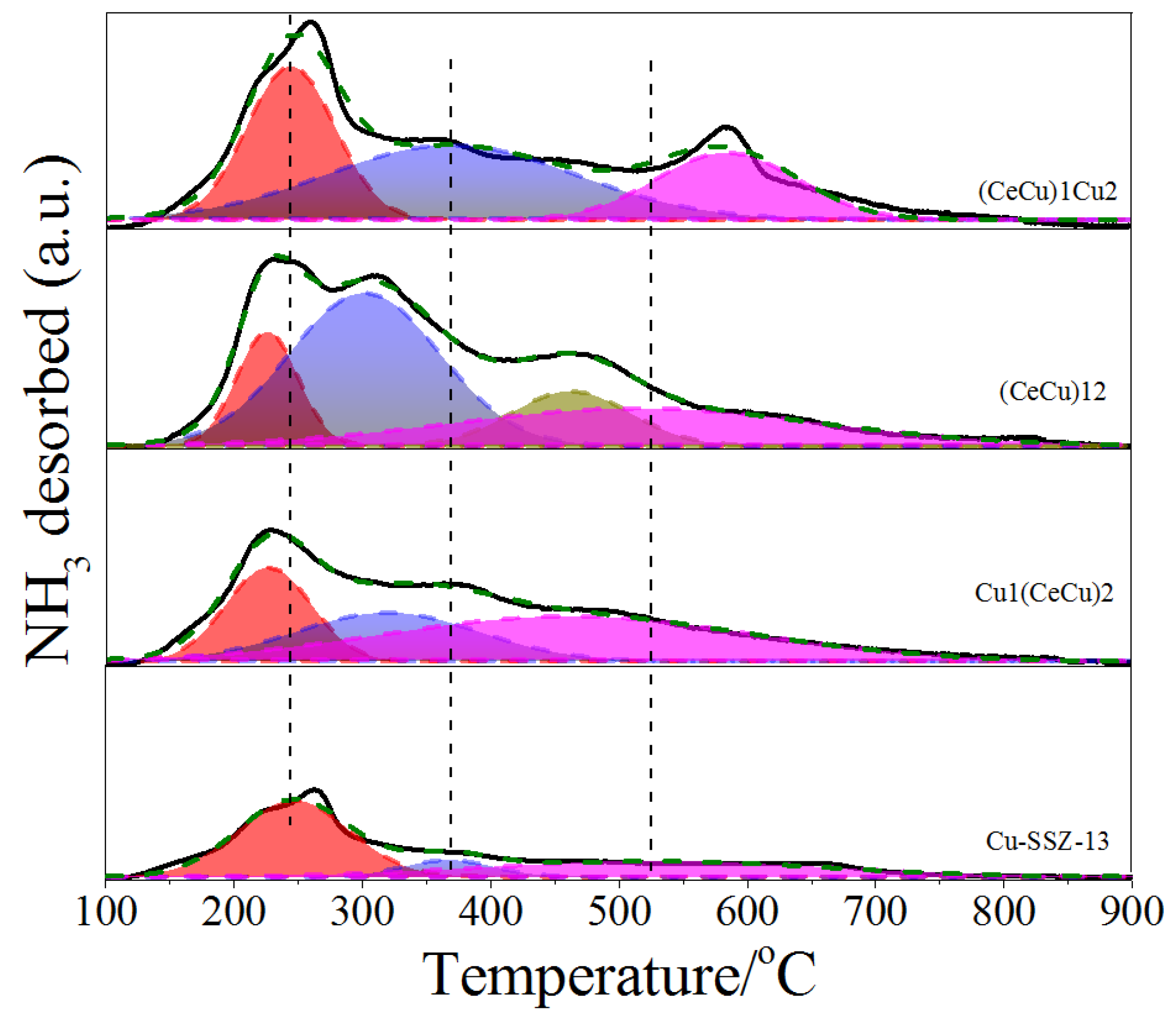
2.5. NH3-TPD Measurements
3. Materials and Methods
3.1. Catalyst Preparation
3.2. Catalyst Characterization
3.3. Activity Evaluation
4. Conclusions
Author Contributions
Funding
Data Availability Statement
Conflicts of Interest
References
- Shan, Y.L.; Du, J.P.; Zhang, Y.; Shan, W.P.; Shi, X.Y.; Yu, Y.B.; Zhang, R.D.; Meng, X.J.; Xiao, F.S.; He, H. Selective catalytic reduction of NOx with NH3: Opportunities and challenges of Cu-based small-pore zeolites. Natl. Sci. Rev. 2021, 8, 1–10. [Google Scholar]
- Clark, A.H.; Nuguid, R.J.G.; Steiger, P.; Marberger, A.; Petrov, A.W.; Ferri, D.; Nachtegaal, M.; Kröcher, O. Selective catalytic reduction of NO with NH3 on Cu-SSZ-13: Deciphering the low and high-temperature rate-limiting steps by transient XAS experiments. ChemCatChem 2020, 12, 1429–1435. [Google Scholar] [CrossRef]
- Chen, M.Y.; Sun, Q.M.; Yang, X.G.; Yu, J.H. A dual-template method for the synthesis of bimetallic CuNi/SSZ-13 zeolite catalysts for NH3-SCR reaction. Inorg. Chem. Commun. 2019, 105, 203–207. [Google Scholar] [CrossRef]
- Bendrich, M.; Scheuer, A.; Hayes, R.E.; Votsmeier, M. Increased SCR performance of Cu-CHA due to ammonium nitrate buffer: Experiments with oscillating NO/NO2 ratios and application to real driving cycles. Appl. Catal. B Environ. 2020, 270, 118763–118771. [Google Scholar] [CrossRef]
- Usui, T.; Liu, Z.D.; Ibe, S.; Zhu, J.; Anand, C.; Igarashi, H.; Onaya, N.; Sasaki, Y.; Shiramata, Y.; Kusamoto, T.; et al. Improve the hydrothermal stability of Cu-SSZ-13 zeolite catalyst by loading a small amount of Ce. ACS Catal. 2018, 8, 9165–9173. [Google Scholar] [CrossRef]
- Zhao, Z.C.; Yu, R.; Shi, C.A.; Gies, H.; Xiao, F.S.; Vos, D.D.; Yokoi, T.; Bao, X.H.; Kolb, U.; McGuire, R.; et al. Rare-earth ion exchanged Cu-SSZ-13 zeolite from organotemplate-free synthesis with enhanced hydrothermal stability in NH3-SCR of NOx. Catal. Sci. Technol. 2019, 9, 241–251. [Google Scholar] [CrossRef]
- Wang, Y.J.; Shi, X.Y.; Shan, Y.L.; Du, J.P.; Liu, K.; He, H. Hydrothermal stability enhancement of Al-Rich Cu-SSZ-13 for NH3 selective catalytic reduction reaction by ion eExchange with cerium and samarium. Ind. Eng. Chem. Res. 2020, 59, 6416–6423. [Google Scholar] [CrossRef]
- Fan, J.; Ning, P.; Wang, Y.C.; Song, Z.X.; Liu, X.; Wang, H.M.; Wang, J.; Wang, L.Y.; Zhang, Q.L. Significant promoting effect of Ce or La on the hydrothermal stability of Cu-SAPO-34 catalyst for NH3-SCR reaction. Chem. Eng. J. 2019, 369, 908–919. [Google Scholar] [CrossRef]
- Wang, Y.; Li, Z.Q.; Fan, R.R.; Guo, X.; Zhang, C.; Wang, Y.; Ding, Z.Y.; Wang, R.; Liu, W. Deactivation and regeneration for the SO2-poisoning of a Cu-SSZ-13 catalyst in the NH3-SCR reaction. Catalysts 2019, 9, 797. [Google Scholar] [CrossRef] [Green Version]
- Liang, J.; Mi, Y.; Song, G.; Peng, H.G.; Li, Y.L.; Yan, R.; Liu, W.M.; Wang, Z.; Wu, P.; Liu, F.D. Environmental benign synthesis of Nano-SSZ-13 via FAU transcrystallization: Enhanced NH3-SCR performance on Cu-SSZ-13 with nanosize effect. J. Hazard. Mater. 2020, 398, 122986–122998. [Google Scholar] [CrossRef]
- He, D.D.; Wang, Z.H.; Deng, D.; Deng, S.J.; He, H.; Liu, L.C. Synthesis of Cu-SSZ-13 catalyst by using different silica sources for NO-SCR by NH3. Mol. Catal. 2020, 484, 110738–110747. [Google Scholar] [CrossRef]
- Wang, Y.; Nishitoba, T.; Wang, Y.N.; Meng, X.J.; Xiao, F.S.; Zhang, W.P.; Marler, B.; Gies, H.; Vos, D.D.; Kolb, U.; et al. Cu-exchanged CHA-Type zeolite from organic template-free synthesis: An effective catalyst for NH3-SCR. Ind. Eng. Chem. Res. 2020, 59, 7375–7382. [Google Scholar] [CrossRef]
- Su, W.K.; Li, Z.G.; Peng, Y.; Li, J.H. Correlation of the changes in the framework and active Cu sites for typical Cu/CHA zeolites (SSZ-13 and SAPO-34) during hydrothermal aging. Phys. Chem. Chem. Phys. 2015, 17, 29142–29149. [Google Scholar] [CrossRef] [PubMed]
- Ma, L.; Cheng, Y.S.; Cavataio, G.; McCabe, R.W.; Fu, L.X.; Li, J.H. Characterization of commercial Cu-SSZ-13 and Cu-SAPO-34 catalysts with hydrothermal treatment for NH3-SCR of NOx in diesel exhaust. Chem. Eng. J. 2013, 225, 323–330. [Google Scholar] [CrossRef]
- Jiang, H.; Guan, B.; Lin, H.; Huang, Z. Cu/SSZ-13 zeolites prepared by in situ hydrothermal synthesis method as NH3-SCR catalysts: Influence of the Si/Al ratio on the activity and hydrothermal properties. Fuel 2019, 255, 15587–115604. [Google Scholar] [CrossRef]
- Cui, Y.R.; Wang, Y.L.; Walter, E.D.; Szanyi, J.; Wang, Y.; Gao, F. Influences of Na+ co-cation on the structure and performance of Cu/SSZ-13 selective catalytic reduction catalysts. Catal. Today 2020, 339, 233–240. [Google Scholar] [CrossRef]
- Wang, J.C.; Peng, Z.L.; Qiao, H.; Yu, H.F.; Hu, Y.F.; Chang, L.P.; Bao, W.R. Cerium-stabilized Cu-SSZ-13 catalyst for the catalytic removal of NOx by NH3. Ind. Eng. Chem. Res. 2016, 55, 1174–1182. [Google Scholar] [CrossRef]
- Luo, J.Y.; Gao, F.; Kamasamudram, K.; Currier, N.; Peden, C.H.F.; Yezerets, A. New insights into Cu/SSZ-13 SCR catalyst acidity. Part I: Nature of acidic sites probed by NH3 titration. J. Catal. 2017, 348, 291–299. [Google Scholar] [CrossRef] [Green Version]
- Zhang, T.; Qiu, F.; Li, J.H. Design and synthesis of core-shell structured meso-Cu-SSZ-13@mesoporous aluminosilicate catalyst for SCR of NOx with NH3: Enhancement of activity, hydrothermal stability and propene poisoning resistance. Appl. Catal. B Environ. 2016, 195, 48–58. [Google Scholar] [CrossRef]
- Kim, Y.J.; Lee, J.K.; Min, K.M.; Hong, S.B.; Nam, I.S.; Cho, B.K. Hydrothermal stability of CuSSZ13 for reducing NOx by NH3. J. Catal. 2014, 311, 447–457. [Google Scholar] [CrossRef]
- Villamaina, R.; Liu, S.J.; Nova, I.; Tronconi, E.; Ruggeri, M.P.; Collier, J.; York, A.; Thompsett, D. Speciation of Cu cations in Cu-CHA catalysts for NH3-SCR: Effects of SiO2/AlO3 ratio and Cu-loading investigated by transient response methods. ACS Catal. 2019, 9, 8916–8927. [Google Scholar] [CrossRef]
- Shan, W.; Geng, Y.; Chen, X.; Huang, N.; Liu, F.; Yang, S. A highly efficient CeWOx catalyst for the selective catalytic reduction of NOx with NH3. Catal. Sci. Technol. 2016, 6, 1195–1200. [Google Scholar] [CrossRef]
- Leistner, K.; Xie, K.P.; Kumar, A.; Kamasamudram, K.; Olsson, L. Ammonia Desorption Peaks Can Be Assigned to Different Copper Sites in Cu/SSZ-13. Catal. Lett. 2017, 147, 1882–1890. [Google Scholar] [CrossRef]
- Gao, F.; Washton, N.M.; Wang, Y.; Kollar, M.; Szanyi, J.; Peden, C.H.F. Effects of Si/Al ratio on Cu/SSZ-13 NH3-SCR catalysts: Implications for the active Cu species and the roles of Brønsted acidity. J. Catal. 2015, 331, 25–38. [Google Scholar] [CrossRef] [Green Version]
- Paolucci, C.; Parekh, A.A.; Khurana, I.; Di Iorio, J.R.; Li, H.; Albarracin Caballero, J.D.; Shih, A.J.; Anggara, T.; Delgass, W.N.; Miller, J.T.; et al. Catalysis in a cage: Condition-dependent speciation and dynamics of exchanged Cu cations in SSZ-13 zeolites. J. Am. Chem. Soc. 2016, 138, 6028–6048. [Google Scholar] [CrossRef] [PubMed]






| Samples | CuO (%) a | CeO2 (ppm) a | Langmuir Surface Area (m2/g) | VT (mL/g) b |
|---|---|---|---|---|
| Cu-SSZ-13 | 1.90 | - | 793.7 | 0.2789 |
| Cu1(CeCu)2 | 1.83 | 120 | 763.3 | 0.2695 |
| (CeCu)12 | 2.04 | 130 | 768.6 | 0.2730 |
| (CeCu)1Cu2 | 1.84 | 60 | 803.1 | 0.2779 |
| Samples | H2 Total Consumption (cm3/g) | Acidity (cm3/g) | Peak Concentration from H2-TPR (%) a | X b /Cu-SSZ-13 from NH3-TPD (%) | ||
|---|---|---|---|---|---|---|
| Peak 1 | Peak 2 | Peak 2 | Peak 3 | |||
| Cu-SSZ-13 | 44.9 | 32.7 | 21.8 | 49.7 | - | - |
| Cu1(CeCu)2 | 51.0 | 35.5 | 18.2 | 57.3 | 5.9 | 3.1 |
| (CeCu)12 | 62.8 | 39.1 | 23.7 | 53.9 | 15.2 | 2.6 |
| (CeCu)1Cu2 | 76.1 | 47.8 | 10.5 | 59.3 | 12.4 | 1.8 |
Publisher’s Note: MDPI stays neutral with regard to jurisdictional claims in published maps and institutional affiliations. |
© 2021 by the authors. Licensee MDPI, Basel, Switzerland. This article is an open access article distributed under the terms and conditions of the Creative Commons Attribution (CC BY) license (https://creativecommons.org/licenses/by/4.0/).
Share and Cite
Wang, Y.; Li, Z.; Ding, Z.; Kang, N.; Fan, R.; Wang, Y.; Zhang, C.; Guo, X.; Wang, R. Effect of Ion-Exchange Sequences on Catalytic Performance of Cerium-Modified Cu-SSZ-13 Catalysts for NH3-SCR. Catalysts 2021, 11, 997. https://doi.org/10.3390/catal11080997
Wang Y, Li Z, Ding Z, Kang N, Fan R, Wang Y, Zhang C, Guo X, Wang R. Effect of Ion-Exchange Sequences on Catalytic Performance of Cerium-Modified Cu-SSZ-13 Catalysts for NH3-SCR. Catalysts. 2021; 11(8):997. https://doi.org/10.3390/catal11080997
Chicago/Turabian StyleWang, Yan, Zhaoqiang Li, Zhiyong Ding, Na Kang, Rongrong Fan, Yu Wang, Cheng Zhang, Xin Guo, and Rong Wang. 2021. "Effect of Ion-Exchange Sequences on Catalytic Performance of Cerium-Modified Cu-SSZ-13 Catalysts for NH3-SCR" Catalysts 11, no. 8: 997. https://doi.org/10.3390/catal11080997
APA StyleWang, Y., Li, Z., Ding, Z., Kang, N., Fan, R., Wang, Y., Zhang, C., Guo, X., & Wang, R. (2021). Effect of Ion-Exchange Sequences on Catalytic Performance of Cerium-Modified Cu-SSZ-13 Catalysts for NH3-SCR. Catalysts, 11(8), 997. https://doi.org/10.3390/catal11080997

