An Examination of the Catalyst Layer Contribution to the Disparity between the Nernst Potential and Open Circuit Potential in Proton Exchange Membrane Fuel Cells
Abstract
:1. Introduction
2. Results and Discussion
2.1. Dependence of the Nernst Potential on Temperature, Pressure, and RH
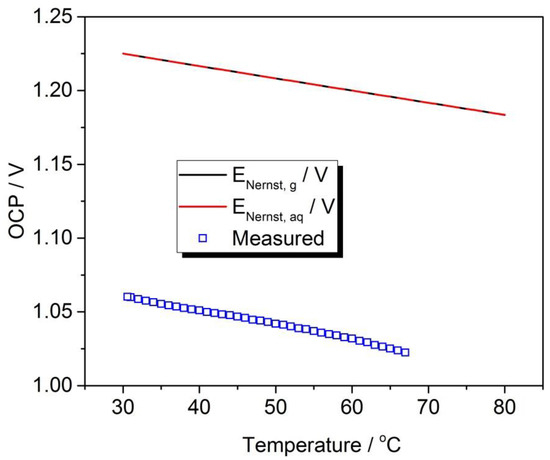
2.2. Nernst Equation and Temperature Dependency
2.3. Electrolyte Concentration
2.4. Ex Situ GDEs—The Effect of Pt Surface Area and Catalyst Composition on OCP
2.5. MEA Testing
3. Materials and Experiments
3.1. Ex Situ GDE Measurements
3.2. O2 Solubility Measurements
3.3. MEA Fabrication and In-Situ Testing
4. Conclusions
Supplementary Materials
Author Contributions
Funding
Acknowledgments
Conflicts of Interest
Nomenclature
| Symbol | Meaning | Units |
| ENernst, E0298K, ECell, E0aq | Nernst potential, Standard potential at 298 K, Cell potential, Standard potential of the aqueous model. | V |
| ηORR | Overpotential from the ORR | V |
| ΔEOhmic | Ohmic loss of potential | V |
| ηMT | Overpotential of mass transport | V |
| T | Temperature | K |
| R | Gas constant | J mol−1 K−1 |
| n | Number of electrons | N/A |
| F | Faradays constant | C mol−1 |
| Q | Reaction quotient | N/A |
| b | Tafel slope | V dec−1 |
| i | Measured current (Abs) | A |
| iox | Oxidative currents (Abs) | A |
| i0 | Exchange current (Abs) | A |
| ΔGf0, ΔGdiss0 | Standard Gibbs free energy change of formation, dissolution. Gaseous or aqueous system denoted by subscripts ‘g’ or ‘aq’ respectively. | J mol−1 |
| pg, pO2, pvap | Partial pressure of the gas or vapour, e.g., O2 | Pa |
| μ, μ0 | Chemical and standard chemical potential. Gaseous or aqueous system denoted by subscripts ‘g’ or ‘aq’ respectively. | J mol−1 |
| Caq, [O2(aq)] | Concentration of dissolved gas, e.g., O2 | M |
| H | Henry’s law constant | M Pa−1 |
References
- Wang, Y.-J.; Long, W.; Wang, L.; Yuan, R.; Ignaszak, A.; Fang, B.; Wilkinson, D.P. Unlocking the Door to Highly Active ORR Catalysts for PEMFC Applications: Polyhedron-Engineered Pt-Based Nanocrystals. Energy Environ. Sci. 2017, 11, 258–275. [Google Scholar] [CrossRef]
- Stephens, I.E.L.; Rossmeisl, J.; Chorkendorff, I. Toward Sustainable Fuel Cells. Science 2016, 354, 1378–1380. [Google Scholar] [CrossRef]
- Kongkanand, A.; Mathias, M.F. The Priority and Challenge of High-Power Performance of Low-Platinum Proton-Exchange Membrane Fuel Cells. J. Phys. Chem. Lett. 2016, 7, 1127–1137. [Google Scholar] [CrossRef]
- El-kharouf, A.; Mason, T.J.; El-kharouf, A.; Mason, T.J.; Brett, D.J.L.; Pollet, B.G. Ex-Situ Characterisation of Gas Diffusion Layers for Proton Exchange Membrane Fuel Cells Ex-Situ Characterisation of Gas Diffusion Layers for Proton Exchange Membrane Fuel Cells. J. Power Sources 2012, 218, 393–404. [Google Scholar] [CrossRef] [Green Version]
- El-kharouf, A.; Steinberger-Wilckens, R.; Rees, N. Gas Diffusion Layer Materials and Their Effect on Polymer Electrolyte Fuel Cell Performance-Ex Situ and In Situ. Fuel Cells 2014, 14, 735–741. [Google Scholar] [CrossRef]
- Hamilton, P.J.; Pollet, B.G. Polymer Electrolyte Membrane Fuel Cell (PEMFC) Flow Field Plate: Design, Materials and Characterisation. Fuel Cells 2010, 10, 489–509. [Google Scholar] [CrossRef]
- Huang, J.; Li, Z.; Zhang, J. Review of Characterization and Modeling of Polymer Electro- Lyte Fuel Cell Catalyst Layer: The Blessing and Curse of Ionomer. Front. Energy 2017, 11, 334–364. [Google Scholar] [CrossRef]
- Dicks, A.; Larminie, J. Fuel Cell Systems Explained; Wiley: Hoboken, NJ, USA, 2003. [Google Scholar]
- Siroma, Z.; Kakitsubo, R.; Fujiwara, N.; Ioroi, T.; Yamazaki, S.; Yasuda, K. Depression of Proton Conductivity in Recast Nafion® Film Measured on Flat Substrate. J. Power Sources 2009, 189, 994–998. [Google Scholar] [CrossRef]
- Kocha, S.S.; Yang, J.D.; Yi, J.S. Characterization of Gas Crossover and Its Implications in PEM Fuel Cells. Am. Inst. Chem. Eng. 2006, 52, 1916–1925. [Google Scholar] [CrossRef]
- Baik, K.D.; Hong, B.K.; Kim, M.S. Effects of Operating Parameters on Hydrogen Crossover Rate through Nafion Membranes in Polymer Electrolyte Membrane Fuel Cells. Renew. Energy 2013, 57, 234–239. [Google Scholar] [CrossRef]
- Nie, Y.; Li, L.; Wei, Z. Recent Advancements in Pt and Pt-Free Catalysts for Oxygen Reduction Reaction. Chem. Soc. Rev. 2015, 44, 2168–2201. [Google Scholar] [CrossRef] [PubMed]
- Li, M.; Li, M.; Zhao, Z.; Cheng, T.; Fortunelli, A.; Chen, C.; Yu, R.; Gu, L.; Merinov, B.; Lin, Z.; et al. Ultrafine Jagged Platinum Nanowires Enable Ultrahigh Mass Activity for the Oxygen Reduction Reaction. Science 2016, 9050, 1414–1419. [Google Scholar] [CrossRef] [Green Version]
- Debe, M.K. Electrocatalyst Approaches and Challenges for Automotive Fuel Cells. Nature 2012, 486, 43–51. [Google Scholar] [CrossRef]
- Zhang, J.; Tang, Y.; Song, C.; Zhang, J.; Wang, H. Short Communication PEM Fuel Cell Open Circuit Voltage (OCV) in the Temperature Range of 23 °C to 120 °C. J. Power Sources 2006, 163, 532–537. [Google Scholar] [CrossRef]
- Vilekar, S.A.; Datta, R. The Effect of Hydrogen Crossover on Open-Circuit Voltage in Polymer Electrolyte Membrane Fuel Cells. J. Power Sources 2010, 195, 2241–2247. [Google Scholar] [CrossRef]
- Bockris, J.O.M.; Srinivasan, S. Fuel Cells: Their Electrochemistry; McGraw-Hill: New York, NY, USA, 1969. [Google Scholar]
- Barbir, F. PEM Fuel Cells—Theory and Practice; Elsevier: Amsterdam, The Netherlands, 2013. [Google Scholar]
- Reimer, U.; Cai, Y.; Li, R.; Froning, D.; Lehnert, W. Time Dependence of the Open Circuit Potential of Platinum Disk Electrodes in Half Cell Experiments. J. Electrochem. Soc. 2019, 166, F3098–F3104. [Google Scholar] [CrossRef]
- Sander, R. Compilation of Henry’s Law Constants (Version 4.0) for Water as Solvent. Atmos. Chem. Phys. 2015, 15, 4399–4981. [Google Scholar] [CrossRef] [Green Version]
- Garsany, Y.; Baturina, O.A.; Swider-Lyons, K.E.; Kocha, S.S. Experimental Methods for Quantifying the Activity of Platinum Electrocatalysts for the Oxygen Reduction Reaction. Anal. Chem. 2010, 82, 6321–6328. [Google Scholar] [CrossRef]
- Gasteiger, H.A.; Panels, J.E.; Yan, S.G. Dependence of PEM Fuel Cell Performance on Catalyst Loading. J. Power Sources 2004, 127, 162–171. [Google Scholar] [CrossRef]
- Shinagawa, T.; Garcia-esparza, A.T.; Takanabe, K. Insight on Tafel Slopes from a Microkinetic Analysis of Aqueous Electrocatalysis for Energy Conversion. Nat. Publ. Gr. 2015, 5, 13801. [Google Scholar] [CrossRef] [PubMed] [Green Version]
- Eberle, D.; Horstmann, B. Oxygen Reduction on Pt(111) in Aqueous Electrolyte: Elementary Kinetic Modeling. Electrochim. Acta 2014, 137, 714–720. [Google Scholar] [CrossRef]
- Mukerjee, S.; Srinivasan, S.; Soriaga, M.P.; Mcbreen, J. Role of Structural and Electronic Properties of Pt and Pt Alloys on Electrocatalysis of Oxygen Reduction. J. Electrochem. Soc. 1995, 142, 1409–1421. [Google Scholar] [CrossRef]
- Gasteiger, H.A.; Kocha, S.S.; Sompalli, B.; Wagner, F.T. Activity Benchmarks and Requirements for Pt, Pt-Alloy, and Non-Pt Oxygen Reduction Catalysts for PEMFCs. Appl. Catal. B Environ. 2005, 56, 9–35. [Google Scholar] [CrossRef]
- Schalenbach, M.; Hoefner, T.; Paciok, P.; Carmo, M.; Lueke, W. Gas Permeation through Nafion. Part 1: Measurements. J. Phys. Chem. C 2015, 119, 25145–25155. [Google Scholar] [CrossRef]
- Zhang, H.; Li, J.; Tang, H.; Lin, Y.; Pan, M. Hydrogen Crossover through Perfluorosulfonic Acid Membranes with Variable Side Chains and Its Influence in Fuel Cell Lifetime. Int. J. Hydrog. Energy 2014, 39, 15989–15995. [Google Scholar] [CrossRef]
- Kudo, K.; Suzuki, T.; Morimoto, Y. Analysis of Oxygen Dissolution Rate from Gas Phas into Nafion Surface and Development of an Agglomerate Model. ECS Trans. 2010, 33, 1495–1502. [Google Scholar] [CrossRef]
- Kudo, K.; Morimoto, Y. Analysis of Oxygen Transport Resistance of Nafion Thin Film on Pt Electrode. ECS Trans. 2012, 50, 1487–1494. [Google Scholar] [CrossRef]
- Suzuki, T.; Kudo, K.; Morimoto, Y. Model for Investigation of Oxygen Transport Limitation in a Polymer Electrolyte Fuel Cell. J. Power Sources 2013, 222, 379–389. [Google Scholar] [CrossRef]
- Jinnouchi, R.; Kudo, K.; Kitano, N.; Morimoto, Y. Molecular Dynamics Simulations on O2 Permeation through Nafion Ionomer on Platinum Surface. Electrochim. Acta 2016, 188, 767–776. [Google Scholar] [CrossRef]
- Snyder, J.; Fujita, T.; Chen, M.W.; Erlebacher, J. Oxygen Reduction in Nanoporous Metal-Ionic Liquid Composite Electrocatalysts. Nat. Mater. 2010, 9, 904–907. [Google Scholar] [CrossRef] [PubMed]
- Mardle, P.; Thirunavukkarasu, G.; Guan, S.; Chiu, Y.-L.; Du, S. Comparative Study of PtNi Nanowire Array Electrodes toward Oxygen Reduction Reaction by Half-Cell Measurement and PEMFC Test. ACS Appl. Mater. Interfaces 2020, 12, 42832–42841. [Google Scholar] [CrossRef] [PubMed]







Publisher’s Note: MDPI stays neutral with regard to jurisdictional claims in published maps and institutional affiliations. |
© 2021 by the authors. Licensee MDPI, Basel, Switzerland. This article is an open access article distributed under the terms and conditions of the Creative Commons Attribution (CC BY) license (https://creativecommons.org/licenses/by/4.0/).
Share and Cite
Mardle, P.; Cerri, I.; Suzuki, T.; El-kharouf, A. An Examination of the Catalyst Layer Contribution to the Disparity between the Nernst Potential and Open Circuit Potential in Proton Exchange Membrane Fuel Cells. Catalysts 2021, 11, 965. https://doi.org/10.3390/catal11080965
Mardle P, Cerri I, Suzuki T, El-kharouf A. An Examination of the Catalyst Layer Contribution to the Disparity between the Nernst Potential and Open Circuit Potential in Proton Exchange Membrane Fuel Cells. Catalysts. 2021; 11(8):965. https://doi.org/10.3390/catal11080965
Chicago/Turabian StyleMardle, Peter, Isotta Cerri, Toshiyuki Suzuki, and Ahmad El-kharouf. 2021. "An Examination of the Catalyst Layer Contribution to the Disparity between the Nernst Potential and Open Circuit Potential in Proton Exchange Membrane Fuel Cells" Catalysts 11, no. 8: 965. https://doi.org/10.3390/catal11080965
APA StyleMardle, P., Cerri, I., Suzuki, T., & El-kharouf, A. (2021). An Examination of the Catalyst Layer Contribution to the Disparity between the Nernst Potential and Open Circuit Potential in Proton Exchange Membrane Fuel Cells. Catalysts, 11(8), 965. https://doi.org/10.3390/catal11080965

