Mild Oxidation of Organosulfur Compounds with H2O2 over Metal-Containing Microporous and Mesoporous Catalysts
Abstract
:1. Introduction
2. Reactivity of Molecules in Sulfoxidation
3. Catalysts for Sulfoxidation with H2O2
3.1. Ti-Containing Catalysts
- (i)
- reactant selectivity (when the pore size limits the entrance of the reacting molecules). For example, the activity of TS-1 is very high for the oxidation of MPS (a small molecule which can penetrate the pores), while it is negligible when larger molecules, such as dibutylsulfoxide [60] or DBT [26,86], are oxidized.
- (ii)
- product selectivity (when the pore size limits the desorption of the product molecules). Robinson et al. [63] studied the shape-selective oxidation of TS-1 using different isomeric butyl methyl thioethers. Based on the experimental results and calculated occupying volumes, the authors suggested that in the case of two molecules, namely tert-butyl and iso-butyl methyl sulfides, the shape selectivity inhibited the formation of the bulkier sulfones.
- (iii)
- transition state selectivity (when the pore size avoids the formation of certain intermediates). Adam et al. [120] studied the sulfoxidation of thianthrene 5-oxide (T-5-O) with H2O2 over TS-1, Ti-Beta and Ti-MCM-41. Only TS-1 was inactive in sulfoxidation. This behavior was attributed to an inhibition caused by the size of the transition state involved in reaction.
3.2. Me-Silicates
3.3. Me-MOF
3.4. Me-LDH
4. Active Species and Mechanism in the Oxidation with H2O2
4.1. Me-Silicates
4.2. Me-LDH
4.3. Me-MOFs
5. Understanding the Role of Solvents
6. Conclusions
- The order of reactivity of the organic compounds depends on type of the radicals attached to the sulfur atom: dialkylsulfides > alkyl-arylsulfides > diarylsulfides > thiophenes.
- Ti-based catalysts, particularly Ti-silicates, show superior catalytic behavior compared to that exhibited by the other Me-based porous materials.
- The catalytic active sites are the isolated Me atoms placed in various matrixes, including silicates, LDH or MOFs.
- It is widely accepted that the species generated at Me sites upon H2O2 contact are Me-OOH and Me-(O2), which are the active species for the oxidative processes.
- The sulfoxidation reactions are successfully carried out at a low temperature (30–60 °C).
- Acetonitrile and methanol appear to be the best solvents for these reactions.
- The activity and the stability of catalysts mainly depend on their pore topology and pore size: (a) crystalline Me-silicates are highly active and stable for reactions involving small molecules; (b) mesoporous Me-silicates, which can be used for the sulfoxidation of larger molecules, are less stable in the presence of H2O2.
Author Contributions
Funding
Conflicts of Interest
References
- Campos-Martin, J.M.; Blanco-Brieva, G.; Fierro, J.L.G. Hydrogen Peroxide Synthesis: An Outlook beyond the Anthraquinone Process. Angew. Chem. Int. Ed. 2006, 45, 6962–6984. [Google Scholar] [CrossRef]
- Strukul, G. Catalytic Oxidation with Hydrogen Peroxide as Oxidant; Kluwer Academic Publishers: London, UK, 1992. [Google Scholar]
- Jones, C.W. Applications of Hydrogen Peroxide and Derivatives; Royal Society of Chemistry: Cambridge, UK, 1999. [Google Scholar]
- Lane, B.S.; Burgess, K. Metal-Catalyzed Epoxidations of Alkenes with Hydrogen Peroxide. Chem. Rev. 2003, 103, 2457–2474. [Google Scholar] [CrossRef]
- Taramasso, M.; Perego, G.; Notari, B. Preparation of Porous Crystalline Synthetic Material Comprised of Silicon and Titanium Oxides. U.S. Patent 4,410,501, 18 October 1983. [Google Scholar]
- Notari, B. Titanium silicalites. Catal. Today 1993, 18, 163–172. [Google Scholar] [CrossRef]
- Centi, G.; Cavani, F.; Trifirò, F. Selective Oxidation by Heterogeneous Catalysis; Kluwer Academic/Plenum Publishers: New York, NY, USA, 2001. [Google Scholar]
- Sheldon, R.; van Bekkum, H. (Eds.) Fine Chemicals through Heterogeneous Catalysis; Wiley-VCH: Weinheim, Germany, 2001. [Google Scholar]
- Sheldon, R.A.; Arends, I.; Hanefeld, U. Green Chemistry and Catalysis; Wiley: Hoboken, NJ, USA, 2007. [Google Scholar]
- Mizuno, N. (Ed.) Modern Heterogeneous Oxidation Catalysis: Design, Reactions and Characterization; Wiley-VCH: Weinheim, Germany, 2009. [Google Scholar]
- Thomas, J.M. Design and Applications of Single-Site Heterogeneous Catalysts: Contributions to Green Chemistry, Clean Technology and Sustainability; Imperial College Press: London, UK, 2012. [Google Scholar]
- Guidotti, M.; Pirovano, C.; Ravasio, N.; Lazaro, B.; Fraile, J.M.; Mayoral, J.A.; Coq, B.; Galarneau, A. The use of H2O2 over titanium-grafted mesoporous silica catalysts: A step further towards sustainable epoxidation. Green Chem. 2009, 11, 1421–1427. [Google Scholar] [CrossRef]
- Kholdeeva, O.A. Recent developments in liquid-phase selective oxidation using environmentally benign oxidants and mesoporous metal silicates. Catal. Sci. Technol. 2014, 4, 1869–1889. [Google Scholar] [CrossRef]
- Duprez, D.; Cavani, F. (Eds.) Handbook of Advanced Methods and Processes in Oxidation Catalysis; Imperial College Press: London, UK, 2014. [Google Scholar]
- Přech, J. Catalytic performance of advanced titanosilicate selective oxidation catalysts—A review. Catal. Rev. 2018, 60, 71–131. [Google Scholar] [CrossRef]
- Kholdeeva, O.A. Recent progress in selective oxidations with hydrogen peroxide catalyzed by polyoxometalates. In Frontiers of Green Catalytic Selective Oxidations; Bryliakov, K.P., Ed.; Springer Nature Singapore Pte Ltd.: Singapore, 2019; pp. 61–92. [Google Scholar]
- Kholdeeva, O.; Maksimchuk, N. Metal-Organic Frameworks in Oxidation Catalysis with Hydrogen Peroxide. Catalysts 2021, 11, 283. [Google Scholar] [CrossRef]
- Clerici, M.G.; Domine, M.E. Oxidation reactions catalyzed by transition metal substituted zeolites. In Liquid Phase Oxidation via Heterogeneous Catalysis: Organic Synthesis and Industrial Applications; Clerici, M.G., Kholdeeva, O.A., Eds.; Wiley: Hoboken, NJ, USA, 2013. [Google Scholar]
- Kamata, K.; Hirano, T.; Ishimoto, R.; Mizuno, N. Sulfoxidation with hydrogen peroxide catalyzed by [SeO4{WO(O2)2}2]2−. Dalton Trans. 2010, 39, 5509–5518. [Google Scholar] [CrossRef] [PubMed]
- Villa de P, A.L.; Sels, B.F.; De Vos, D.E.; Jacobs, P.A. A Heterogeneous Tungsten Catalyst for Epoxidation of Terpenes and Tungsten-Catalyzed Synthesis of Acid-Sensitive Terpene Epoxides. J. Org. Chem. 1999, 64, 19–7267. [Google Scholar] [CrossRef]
- Madesclaire, M. Synthesis of sulfoxides by oxidation of thioethers. Tetrahedron 1986, 42, 5459–5495. [Google Scholar] [CrossRef]
- Kaczorowska, K.; Kolarska, Z.; Mitka, K.; Kowalski, P. Oxidation of sulfides to sulfoxides. Part 2: Oxidation by hydrogen peroxide. Tetrahedron 2005, 61, 8315–8327. [Google Scholar] [CrossRef]
- Simpkins, N.S. (Ed.) Sulfones in Organic Synthesis; Pergamon Press: Oxford, UK, 1993. [Google Scholar]
- Legros, J.; Dehli, J.R.; Bolm, C. Applications of catalytic asymmetric sulfide oxidations to the syntheses of biologically active sulfoxides. Adv. Synth. Catal. 2005, 347, 19–31. [Google Scholar] [CrossRef]
- Collins, F.M.; Lucy, A.R.; Sharp, C. Oxidation desulphurization of oils via hydrogen peroxide and heteropolyanion catalysis. J. Mol. Catal. A 1997, 117, 397–403. [Google Scholar] [CrossRef]
- Hulea, V.; Fajula, F.; Bousquet, J. Mild Oxidation with H2O2 over Ti-Containing Molecular Sieves—A very Efficient Method for Removing Aromatic Sulfur Compounds from Fuels. J. Catal. 2001, 198, 179–186. [Google Scholar] [CrossRef]
- Rabion, A.; Fajula, F.; Bernard, J.R.; Hulea, V. Method for Desulphurizing Thiophene Derivatives Contained in Fuels. U.S. Patent 2003/0102252 A1/, 5 June 2003. [Google Scholar]
- Martín, J.M.C.; Sánchez, M.D.C.C.; Presas, P.P.; Fierro, J.L.G. Oxidative processes of desulfurization of liquid fuels. J. Chem. Technol. Biotechnol. 2010, 85, 879–890. [Google Scholar] [CrossRef] [Green Version]
- Jiang, Z.; Lü, H.; Zhang, Y.; Li, C. Oxidative Desulfurization of Fuel Oils. Chin. J. Catal. 2011, 32, 707–715. [Google Scholar] [CrossRef]
- Torres-García, E.; Galano, A.; Gattorno, G.R. Oxidative desulfurization (ODS) of organosulfur compounds catalyzed by peroxo-metallate complexes of WOx–ZrO2: Thermochemical, structural, and reactivity indexes analyses. J. Catal. 2011, 282, 201–208. [Google Scholar] [CrossRef]
- Pawelec, B.; Navarro, R.M.; Campos-Martin, J.M.; Fierro, J.L.G. Retracted article: Towards near zero-sulfur liquid fuels: A perspective review. Catal. Sci. Technol. 2011, 1, 23–42. [Google Scholar] [CrossRef]
- Fraile, J.M.; Gil, C.; Mayoral, J.A.; Muel, B.; Roldán, L.; Vispe, E.; Calderón, S.; Puente, F. Heterogeneous titanium catalysts for oxidation of dibenzothiophene in hydrocarbon solutions with hydrogen peroxide: On the road to oxidative desulfurization. Appl. Catal. B Environ. 2016, 180, 680–686. [Google Scholar] [CrossRef] [Green Version]
- Maciuca, A.L.; Dumitriu, E.; Fajula, F.; Hulea, V. Catalytic oxidation processes for removing dimethylsulfoxide from wastewater. Chemosphere 2007, 68, 227–233. [Google Scholar] [CrossRef]
- Cojocariu, A.M.; Mutin, P.H.; Dumitriu, E.; Vioux, A.; Fajula, F.; Hulea, V. Removal of dimethylsulfoxide from wastewater using mild oxidation with H2O2 over Ti-based catalysts. Chemosphere 2009, 77, 1065–1068. [Google Scholar] [CrossRef] [PubMed]
- Dai, C.; Zhang, J.; Huang, C.; Lei, Z. Ionic liquids in selective oxidation: Catalysts and solvents. Chem. Rev. 2017, 117, 6929–6983. [Google Scholar] [CrossRef]
- Ali, M.F.; Al-Malki, A.; El-Ali, B.; Martinie, G.; Siddiqui, M.N. Deep desulphurization of gasoline and diesel fuels using non-hydrogen consuming techniques. Fuel 2006, 85, 1354–1363. [Google Scholar] [CrossRef]
- Houda, S.; Lancelot, C.; Blanchard, P.; Poinel, L.; Lamonier, C. Oxidative Desulfurization of Heavy Oils with High Sulfur Content: A Review. Catalysts 2018, 8, 344. [Google Scholar] [CrossRef] [Green Version]
- Di Furia, F.; Modena, G. Mechanism of oxygen transfer from peroxo species. Pure Appl. Chem. 1982, 54, 1853–1866. [Google Scholar] [CrossRef]
- Vassel, K.A.; Espenson, J.H. Oxidation of organic sulfides by electrophilically activated hydrogen peroxide: The catalytic ability of methylrhenium trioxide. Inorg. Chem. 1994, 33, 5491–5498. [Google Scholar] [CrossRef]
- Otsuki, S.; Nonaka, T.; Takashima, N.; Qian, W.; Ishihara, A.; Imai, A.T.; Kabe, T. Oxidative Desulfurization of Light Gas Oil and Vacuum Gas Oil by Oxidation and Solvent Extraction. Energy Fuels 2000, 14, 1232–1239. [Google Scholar] [CrossRef]
- Choudary, B.M.; Bharathi, B.; Venkat, C.; Lakshmi Kantam, M. Tungstate-exchanged Mg-Al-LDH catalyst: An eco-compatible route for the oxidation of sulphides in aqueous medium. J. Chem. Soc. Perkin Trans. 2002, 2, 2069–2074. [Google Scholar] [CrossRef]
- Bonchio, M.; Campestrini, S.; Come, V.; Di Furia, F.; Moro, S. A theoretical and experimental investigation of the electrophilic oxidation of thioethers and sulfoxides by peroxides. Tetrahedron 1995, 51, 12363–12372. [Google Scholar] [CrossRef]
- Bonchio, M.; Carofiglio, T.; Di Furia, F.; Fornasier, R. Supramolecular catalysis: Enantioselective oxidation of thioanisole in water by hydrogen peroxide catalyzed by Mo(VI) in the presence of beta-cyclodextrin-based ligands. J. Org. Chem. 1995, 60, 5986–5988. [Google Scholar] [CrossRef]
- Bunton, C.A.; Foroudian, H.J.; Kumar, A. Sulfide oxidation and oxidative hydrolysis of thioesters by peroxymonosulfate ion. J. Chem. Soc. Perkin Trans. 2 1995, 1, 33–39. [Google Scholar] [CrossRef]
- Hulea, V.; Maciuca, A.L.; Fajula, F.; Dumitriu, E. Catalytic oxidation of thiophenes and thioethers with hydrogen peroxide in the presence of W-containing layered double hydroxides. Appl. Catal. A Gen. 2006, 313, 200–207. [Google Scholar] [CrossRef]
- Andrei, R.D.; Cambruzzi, N.; Bonne, M.; Lebeau, B.; Hulea, V. Selective sulfoxidation reactions with H2O2 catalyzed by Ti-containing SBA-15 materials. J. Porous Mater. 2018, 26, 533–539. [Google Scholar] [CrossRef]
- Bregante, D.T.; Patel, A.Y.; Johnson, A.M.; Flaherty, D.W. Catalytic thiophene oxidation by groups 4 and 5 framework-substituted zeolites with hydrogen peroxide: Mechanistic and spectroscopic evidence for the effects of metal Lewis acidity and solvent Lewis basicity. J. Catal. 2018, 364, 415–425. [Google Scholar] [CrossRef]
- Bortolini, O.; Di Furia, F.; Modena, G.; Seraglia, R. Metal catalysis in oxidation by peroxides. Sulfide oxidation and olefin epoxidation by dilute hydrogen peroxide, catalyzed by molybdenum and tungsten derivatives under phase-transfer conditions. J. Org. Chem. 1985, 50, 2688–2690. [Google Scholar] [CrossRef]
- Sato, K.; Hyodo, M.; Aoki, M.; Zheng, X.-Q.; Noyori, R. Oxidation of sulfides to sulfoxides and sulfones with 30% hydrogen peroxide under organic solvent- and halogen-free conditions. Tetrahedron 2001, 57, 2469–2476. [Google Scholar] [CrossRef]
- Aida, T.; Funakoshi, I. Method of Recovering Organic Sulfur Compounds from Liquid Oil. European Patent 0 565 324 A1, 13 October 1993. [Google Scholar]
- Treiber, A.; Dansette, P.M.; El Amri, H.; Girault, J.P.; Ginderow, D.; Mornon, J.P.; Mansuy, D. Chemical and biological oxidation of thiophene: Preparation and complete characterization of thiophene S-oxide dimers and evidence for thiophene S-oxide as an inter-mediate in thiophene metabolism in vivo and in vitro. J. Am. Chem. Soc. 1997, 119, 1565–1571. [Google Scholar] [CrossRef]
- Brown, K.N.; Espenson, J.H. Stepwise oxidation of thiophene and its derivatives by hydrogen peroxide catalyzed by methyltriox-orhenium(VII). Inorg. Chem. 1996, 35, 7211–7216. [Google Scholar] [CrossRef] [PubMed]
- Reddy, R.S.; Reddy, J.S.; Kumar, R.; Kumar, P. Sulfoxidation of thioethers using titanium silicate molecular sieve catalysts. J. Chem. Soc. Chem. Commun. 1992, 84–85. [Google Scholar] [CrossRef]
- Estephane, G.; Lancelot, C.; Blanchard, P.; Toufaily, J.; Hamiye, T.; Lamonier, C. Sulfur compounds reactivity in the ODS of model and real feeds onW–SBA based catalysts. RSC Adv. 2018, 8, 13714–13721. [Google Scholar] [CrossRef] [Green Version]
- Shi, X.Y.; Wei, J.F. Selective oxidation of sulfide catalyzed by peroxotungstate immobilized on ionic liquid-modified silica with aqueous hydrogen peroxide. Mol. Catal. 2008, 280, 142–147. [Google Scholar] [CrossRef]
- Ramaswamy, A.; Sivasanker, S.; Ratnasamy, P. Selective oxidation reactions over metallosilicate molecular sieves: A comparison of titanium and vanadium silicates with MEL structure. Microporous Mater. 1994, 2, 451–458. [Google Scholar] [CrossRef]
- Hulea, V.; Moreau, P.; Di Renzo, F. Thioether oxidation by hydrogen peroxide using titanium-containing zeolites as catalysts. J. Mol. Catal. A Chem. 1996, 111, 325–332. [Google Scholar] [CrossRef]
- Hulea, V.; Moreau, P. The solvent effect in the sulfoxidation of thioethers by hydrogen peroxide using Ti-containing zeolites as catalysts. J. Mol. Catal. A Chem. 1996, 113, 499–505. [Google Scholar] [CrossRef]
- Hulea, V.; Moreau, P.; Di Renzo, F. Selective sulfoxidation of thioethers on Ti-containing zeolites under mild conditions. Stud. Surf. Sci. Catal. 1997, 108, 361–368. [Google Scholar] [CrossRef]
- Moreau, P.; Hulea, V.; Gomez, S.; Brunel, D.; Di Renzo, F. Oxidation of sulfoxides to sulfones by hydrogen peroxide over Ti-containing zeolites. Appl. Catal. A Gen. 1997, 155, 253–263. [Google Scholar] [CrossRef]
- Corma, A.; Iglesias, M. Large pore Ti-zeolites and mesoporous Ti-silicalites as catalysts for selective oxidation of organic sulfides. Catal. Lett. 1996, 39, 153–156. [Google Scholar] [CrossRef]
- Reddy, T.I.; Varma, R.S. Ti-beta-Catalyzed Selective Oxidation of Sulfides to Sulfoxides Using Urea-Hydrogen Peroxide Adduct. Chem. Commun. 1997, 471–472. [Google Scholar] [CrossRef]
- Robinson, D.J.; Davies, L.; McGuire, N.; Lee, D.F.; McMorn, P.; Willock, D.J.; Watson, G.W.; Bulman Page, P.C.; Bethell, D.; Hutchings, G.J. Oxidation of thioethers and sulfoxides with hydrogen peroxide using TS-1 as catalyst. Phys. Chem. Chem. Phys. 2000, 2, 1523–1529. [Google Scholar] [CrossRef]
- Kholdeeva, O.A.; Derevyankin, A.Y.; Shmakov, A.N.; Trukhan, N.N.; A Paukshtis, E.; Tuel, A.; Romannikov, V.N. Alkene and thioether oxidations with H2O2 over Ti-containing mesoporous mesophase catalysts. J. Mol. Catal. A Chem. 2000, 158, 417–421. [Google Scholar] [CrossRef]
- Trukhan, N.N.; Derevyankin, A.Y.; Shmakov, A.N.; Paukshtis, E.A.; Kholdeeva, O.A.; Romannikov, V.N. Alkene and thioethers oxidation with H2O2 over Ti- and V-containing mesoporous phase catalysts. Mol. Catal. 2001, 44, 603–608. [Google Scholar] [CrossRef]
- Kong, L.; Li, G.; Wang, X. Mild oxidation of thiophene over TS-1/H2O2. Catal. Today 2004, 93–95, 341–345. [Google Scholar] [CrossRef]
- Kong, L.; Li, G.; Wang, X. Kinetics and Mechanism of Liquid-Phase Oxidation of Thiophene over TS-1 Using H2O2 Under Mild Conditions. Catal. Lett. 2004, 92, 163–167. [Google Scholar] [CrossRef]
- Kong, L.; Li, G.; Wang, X.; Wu, B. Oxidative Desulfurization of Organic Sulfur in Gasoline over Ag/TS-1. Energy Fuels 2006, 20, 896–902. [Google Scholar] [CrossRef]
- Napanang, T.; Sooknoi, T. Oxidative extraction of thiophene from n-dodecane over TS-1 in continuous process: A model for non-severe sulfur removal from liquid fuels. Catal. Commun. 2009, 11, 1–6. [Google Scholar] [CrossRef]
- Németh, L.; Bare, S.R.; Rathbun, W.; Gatter, M.; Low, J. Oxidative desulfurization of sulfur compounds: Oxidation of thiophene and derivatives with hydrogen peroxide using Ti-Beta catalyst. Adv. Pharmacol. 2008, 174, 1017–1020. [Google Scholar] [CrossRef]
- Cui, S.; Ma, F.; Wang, Y. Oxidative desulfurization of model diesel oil over Ti-containing molecular sieves using hydrogen peroxide. React. Kinet. Catal. Lett. 2007, 92, 155–163. [Google Scholar] [CrossRef]
- Hulea, V.; Maciuca, A.L.; Cojocariu, A.M.; Ciocan, C.E.; Dumitriu, E. New heterogeneous catalysts for mild oxidation of S-containing organic compounds. Comptes Rendus Chim. 2009, 12, 723–730. [Google Scholar] [CrossRef]
- Rivoira, L.P.; Vallés, V.A.; Ledesma, B.C.; Ponte, M.V.; Martínez, M.L.; Anunziata, O.A.; Beltramone, A.R. Sulfur elimination by oxidative desulfurization withtitanium-modified SBA-16. Catal. Today 2016, 271, 102–113. [Google Scholar] [CrossRef]
- Fang., Y.; Hu, H. Mesoporous TS-1: Nanocasting synthesis with CMK-3 as template and its performance in catalytic oxidation of aromatic thiophene. Catal. Commun. 2007, 8, 817–820. [Google Scholar] [CrossRef]
- Wang, X.; Li, G.; Wang, W.; Jin, C.; Chen, Y. Synthesis, characterization and catalytic performance of hierarchical TS-1 with carbon template from sucrose carbonization. Microporous Mesoporous Mater. 2011, 142, 494–502. [Google Scholar] [CrossRef]
- Wang, W.; Li, G.; Liu, L.; Chen, Y. Synthesis and catalytic performance of hierarchical TS-1 directly using agricultural products sucrose as meso/macropores template. Microporous Mesoporous Mater. 2013, 179, 165–171. [Google Scholar] [CrossRef]
- Wang, Y.; Li, G.; Wang, X.; Jin, C. Oxidative Desulphurization of 4,6-Dimethyldibenzothiophene with Hydrogen Peroxide over Ti-HMS. Energy Fuels 2007, 21, 1415–1419. [Google Scholar] [CrossRef]
- Gao, G.; Cheng, S.; An, Y.; Si, X.; Fu, X.; Liu, Y.; Zhang, H.; Wu, P.; He, M.-Y. Oxidative Desulfurization of Aromatic Sulfur Compounds over Titanosilicates. ChemCatChem 2010, 2, 459–466. [Google Scholar] [CrossRef]
- Leng, K.; Sun, Y.; Zhang, X.; Yu, M.; Xu, W. Ti-modified hierarchical mordenite as highly active catalyst for oxidative desulfurization of dibenzothiophene. Fuel 2016, 174, 9–16. [Google Scholar] [CrossRef]
- Lv, Q.; Li, G.; Sun, H. Synthesis of hierarchical TS-1 with convenient separation and the application for the oxidative desulfurization of bulky and small reactants. Fuel 2014, 130, 70–75. [Google Scholar] [CrossRef]
- Thornburg, N.E.; Notestein, J.M. Rate and Selectivity Control in Thioether and Alkene Oxidation with H2O2 over Phosphonate-Modified Niobium(V)–Silica Catalysts. ChemCatChem 2017, 9, 3714–3724. [Google Scholar] [CrossRef]
- Du, Q.; Guo, Y.; Duan, H.; Li, H.; Chen, Y.; Liu, H. Synthesis of hierarchical TS-1 zeolite via a novel three-step crystallization method and its excellent catalytic performance in oxidative desulfurization. Fuel 2017, 188, 232–238. [Google Scholar] [CrossRef]
- Jin, C.; Li, G.; Wang, X.; Wang, Y.; Zhao, L.; Sun, D. A titanium containing micro/mesoporous composite and its catalytic performance in oxidative desulfurization. Microporous Mesoporous Mater. 2008, 111, 236–242. [Google Scholar] [CrossRef]
- Cojocariu, A.M.; Mutin, P.H.; Dumitriu, E.; Fajula, F.; Vioux, A.; Hulea, V. Non-hydrolytic synthesis of mesoporous silica–titania catalysts for the mild oxidation of sulfur compounds with hydrogen peroxide. Chem. Commun. 2008, 5357–5359. [Google Scholar] [CrossRef] [PubMed]
- Cojocariu, A.M.; Mutin, P.; Dumitriu, E.; Aboulaich, A.; Vioux, A.; Fajula, F.; Hulea, V. Non-hydrolytic SiO2–TiO2 mesoporous xerogels—Efficient catalysts for the mild oxidation of sulfur organic compounds with hydrogen peroxide. Catal. Today 2010, 157, 270–274. [Google Scholar] [CrossRef]
- Cojocariu, A.M.; Mutin, P.H.; Dumitriu, E.; Fajula, F.; Vioux, A.; Hulea, V. Mild oxidation of bulky organic compounds with hydrogen peroxide over mesoporous TiO2-SiO2 xerogels prepared by non-hydrolytic sol–gel. Appl. Catal. B Environ. 2010, 97, 407–413. [Google Scholar] [CrossRef]
- Sachse, A.; Hulea, V.; Kostov, K.L.; Marcotte, N.; Boltoeva, M.Y.; Belamie, E.; Alonso, B. Efficient mesoporous silica–titania catalysts from colloidal self-assembly. Chem. Commun. 2012, 48, 10648–10650. [Google Scholar] [CrossRef] [PubMed]
- Sachse, A.; Hulea, V.; Kostov, K.L.; Belamie, E.; Alonso, B. Improved silica–titania catalysts by chitin biotemplating. Catal. Sci. Technol. 2015, 5, 415–427. [Google Scholar] [CrossRef]
- Ramaswamy, A.V.; Sivasanker, S. Selective oxidation reactions over titanium and vanadium metallosilicate molecular sieves. Catal. Lett. 1993, 22, 239–249. [Google Scholar] [CrossRef]
- de Mello, M.I.; Sobrinho, E.V.; da Silva, V.L.; Pergher, S.B. V or Mn zeolite catalysts for the oxidative desulfurization of diesel fractions using dibenzothiophene as a probe molecule: Preliminary study. Mol. Catal. 2020, 482, 100495. [Google Scholar] [CrossRef]
- Shiraishi, Y.; Naito, T.; Hirai, T. Vanadosilicate Molecular Sieve as a Catalyst for Oxidative Desulfurization of Light Oil. Ind. Eng. Chem. Res. 2003, 42, 6034–6039. [Google Scholar] [CrossRef]
- Raghavan, P.; Ramaswamy, V.; Upadhya, T.; Sudalai, A.; Sivasanker, S.; Ramaswamy, A. Selective catalytic oxidation of thioethers to sulfoxides over Mo-silicalite-1 (MoS-1) molecular sieves. J. Mol. Catal. A Chem. 1997, 122, 75–80. [Google Scholar] [CrossRef]
- Perles, J.; Iglesias, M.; Martín-Luengo, M.-Á.; Monge, M.A.; Ruiz-Valero, C.; Snejko, N. Metal−Organic Scandium Framework: Useful Material for Hydrogen Storage and Catalysis. Chem. Mater. 2005, 17, 5837–5842. [Google Scholar] [CrossRef]
- Dybtsev, D.N.; Nuzhdin, A.L.; Chun, H.; Bryliakov, K.P.; Talsi, E.P.; Fedin, V.P.; Kim, K. A Homochiral Metal–Organic Material with Permanent Porosity, Enantioselective Sorption Properties, and Catalytic Activity. Angew. Chem. Int. Ed. 2006, 45, 916–920. [Google Scholar] [CrossRef]
- Gándara, F.; de Andrés, A.; Gómez-Lor, B.; Gutiérrez-Puebla, E.; Iglesias, M.; Monge, M.A.; Proserpio, D.M.; Snejko, N. Rare-earth MOF series: Fascinating structure, efficient light emitters, and promising catalyst. Cryst. Growth Des. 2008, 8, 378–380. [Google Scholar] [CrossRef]
- Gándara, F.; Gutierrez-Puebla, E.; Iglesias, M.; Proserpio, D.M.; Snejko, N.; Monge, M. Ángeles Controlling the Structure of Arenedisulfonates toward Catalytically Active Materials. Chem. Mater. 2009, 21, 655–661. [Google Scholar] [CrossRef]
- Perles, J.; Snejko, N.; Iglesias, M.; Monge, M.A. 3D scandium and yttrium arenedisulfonate MOF materials as highly thermally stable bifunctional heterogeneous catalysts. J. Mater. Chem. 2009, 19, 6504–6511. [Google Scholar] [CrossRef]
- Hwang, Y.K.; Hong, D.-Y.; Chang, J.-S.; Seo, H.; Yoon, M.; Kim, J.; Jhung, S.H.; Serre, C.; Férey, G. Selective sulfoxidation of aryl sulfides by coordinatively unsaturated metal centers in chromium carboxylate MIL-101. Appl. Catal. A Gen. 2009, 358, 249–253. [Google Scholar] [CrossRef]
- Granadeiro, C.M.; Ribeiro, S.O.; Karmaoui, M.; Valença, R.; Ribeiro, J.C.; de Castro, B.; Cunha-Silva, L.; Balula, S.S. Production of ultra-deep sulfur-free diesels using a sustainable catalytic system based on UiO-66(Zr). Chem. Commun. 2015, 51, 13818–13821. [Google Scholar] [CrossRef]
- Zhang, X.; Huang, P.; Liu, A.; Zhu, M. A metal–organic framework for oxidative desulfurization: UIO-66(Zr) as a catalyst. Fuel 2017, 209, 417–423. [Google Scholar] [CrossRef]
- Ye, G.; Qi, H.; Li, X.; Leng, K.; Sun, Y.; Xu, W. Enhancement of Oxidative Desulfurization Performance over UiO-66(Zr) by Titanium Ion Exchange. ChemPhysChem 2017, 18, 1903–1908. [Google Scholar] [CrossRef] [PubMed]
- Zhang, Y.; Li, G.; Kong, L.; Lu, H. Deep oxidative desulfurization catalyzed by Ti-based metal-organic frameworks. Fuel 2018, 219, 103–110. [Google Scholar] [CrossRef]
- Xiao, W.; Dong, Q.; Wang, Y.; Li, Y.; Deng, S.; Zhang, N. Time modulation of defects in UiO-66 and application in oxidative desulfurization. Cryst. Eng. Comm. 2018, 20, 5658–5662. [Google Scholar] [CrossRef]
- Ye, G.; Qi, H.; Zhou, W.; Xu, W.; Sun, Y. Green and scalable synthesis of nitro- and amino-functionalized UiO-66(Zr) and the effect of functional groups on the oxidative desulfurization performance. Inorg. Chem. Front. 2019, 6, 1267–1274. [Google Scholar] [CrossRef]
- Viana, A.; Ribeiro, S.O.; De Castro, B.; Balula, S.S.; Cunha-Silva, L. Influence of UiO-66(Zr) Preparation Strategies in Its Catalytic Efficiency for Desulfurization Process. Materials 2019, 12, 3009. [Google Scholar] [CrossRef] [Green Version]
- Zheng, H.-Q.; Zeng, Y.-N.; Chen, J.; Lin, R.-G.; Zhuang, W.-E.; Cao, R.; Lin, Z.-J. Zr-Based Metal–Organic Frameworks with Intrinsic Peroxidase-Like Activity for Ultradeep Oxidative Desulfurization: Mechanism of H2O2 Decomposition. Inorg. Chem. 2019, 58, 6983–6992. [Google Scholar] [CrossRef] [PubMed]
- Piscopo, C.G.; Voellinger, L.; Schwarzer, M.; Polyzoidis, A.; Boškovi´c, D.; Loebbecke, S. Continuous flow desulfurization of a model fuel catalysed by titanium functionalized UiO-66. Chem. Sel. 2019, 4, 2806–2809. [Google Scholar] [CrossRef]
- Limvorapitux, R.; Chen, H.; Mendonca, M.L.; Liu, M.; Snurr, R.Q.; Nguyen, S.T. Elucidating the mechanism of the UiO-66-catalyzed sulfide oxidation: Activity and selectivity enhancements through changes in the node coordination environment and solvent. Catal. Sci. Technol. 2019, 9, 327–335. [Google Scholar] [CrossRef]
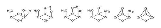
- Zalomaeva, O.V.; Evtushok, V.Y.; Ivanchikova, I.D.; Glazneva, T.S.; Chesalov, Y.A.; Larionov, K.P.; Skobelev, I.Y.; Kholdeeva, O.A. Nucleophilic versus Electrophilic Activation of Hydrogen Peroxide over Zr-Based Metal–Organic Frameworks. Inorg. Chem. 2020, 59, 10634–10649. [Google Scholar] [CrossRef] [PubMed]
- Maksimchuk, N.V.; Ivanchikova, I.D.; Cho, K.H.; Zalomaeva, O.V.; Evtushok, V.Y.; Larionov, K.P.; Glazneva, T.S.; Chang, J.-S.; Kholdeeva, O.A. Catalytic performance of Zr-based metal-organic frameworks Zr-abtc and MIP-200 in selective oxidations with H2O2. Chem. Eur. J. 2021, 27, 6985–6992. [Google Scholar] [CrossRef] [PubMed]
- Maciuca, A.L.; Ciocan, C.E.; Dumitriu, E.; Fajula, F.; Hulea, V. V-, Mo- and W-containing layered double hydroxides as effective catalysts for mild oxidation of thioethers and thiophenes with H2O2. Catal. Today 2008, 138, 33–37. [Google Scholar] [CrossRef]
- Maciuca, A.L.; Dumitriu, E.; Fajula, F.; Hulea, V. Mild oxidation of tetrahydrothiophene to sulfolane over V-, Mo- and W-containing layered double hydroxides. Appl. Catal. A Gen. 2008, 338, 1–8. [Google Scholar] [CrossRef]
- Ciocan, C.E.; Dumitriu, E.; Cacciaguerra, T.; Fajula, F.; Hulea, V. New approach for synthesis of Mo-containing LDH based catalysts. Catal. Today 2012, 198, 239–245. [Google Scholar] [CrossRef]
- Dobrea, I.D.; Ciocan, C.E.; Dumitriu, E.; Popa, M.I.; Petit, E.; Hulea, V. Raman spectroscopy—Useful tool for studying the catalysts derived fromMo and V-oxyanion-intercalated layered double hydroxides. Appl. Clay Sci. 2015, 104, 205–210. [Google Scholar] [CrossRef]
- Davis, R.J.; Liu, Z. Titania−Silica: A Model Binary Oxide Catalyst System. Chem. Mater. 1997, 9, 2311–2324. [Google Scholar] [CrossRef]
- Boccuti, M.; Rao, K.; Zecchina, A.; Leofanti, G.; Petrini, G. Spectroscopic Characterization of Silicalite and Titanium-Silicalite. Adv. Pharmacol. 1989, 48, 133–144. [Google Scholar] [CrossRef]
- Anpo, M.; Nakaya, H.; Kodama, S.; Kubokawa, Y.; Domen, K.; Onishi, T. Photocatalysis over binary metal oxides. Enhancement of the photocatalytic activity of titanium dioxide in titanium-silicon oxides. J. Phys. Chem. 1986, 90, 1633–1636. [Google Scholar] [CrossRef]
- Cojocariu, A.M. Mesostructured Materials for Applications in Oxidation. Ph.D. Thesis, Montpellier University, Montpellier, France, 2010. [Google Scholar]
- Marchese, L.; Maschmeyer, T.; Gianotti, E.; Coluccia, S.; Thomas, J.M. Probing the Titanium Sites in Ti−MCM41 by Diffuse Reflec-tance and Photoluminescence UV−Vis Spectroscopies. J. Phys. Chem. B 1997, 101, 8836–8838. [Google Scholar] [CrossRef]
- Adam, W.; Mitchell, C.M.; Sacha-Möller, C.R.; Selvam, T.; Weichold, O. Titanium-catalysed oxidation of thianthrene 5-oxide in heterogeneous (zeolites) versus homogeneous media: Electrophilic versus template-mediated oxygen transfer. J. Mol. Catal. A 2000, 154, 251–255. [Google Scholar] [CrossRef]
- Moliner, M.; Corma, A. Advances in the synthesis of titanosilicates: From the medium pore TS-1 zeolite to highly-accessible ordered materials. Microporous Mesoporous Mater. 2014, 189, 31–40. [Google Scholar] [CrossRef] [Green Version]
- Arends, I.W.C.E.; Sheldon, R.A. Activities and stabilities of heterogeneous catalysts in selective liquid phase oxidations: Recent de-velopments. Appl. Catal. A Gen. 2001, 212, 175–187. [Google Scholar] [CrossRef]
- Bhaumik, A.; Tatsumi, T. Organically Modified Titanium-Rich Ti-MCM-41, Efficient Catalysts for Epoxidation Reactions. J. Catal. 2000, 189, 31–39. [Google Scholar] [CrossRef]
- Bonino, F.; Damin, A.; Ricchiardi, G.; Ricci, M.; Spano, G.; D’Aloisio, R.; Zecchina, A.; Lamberti, C.; Prestipino, C.; Bordiga, S. Ti-peroxo species in the TS-1/H2O2/H2O system. J. Phys. Chem. B 2004, 108, 3573–3583. [Google Scholar] [CrossRef]
- Gianotti, E.; Bisio, C.; Marchese, L.; Guidotti, M.; Ravasio, N.; Psaro, A.R.; Coluccia, S. Ti(IV) Catalytic Centers Grafted on Different Siliceous Materials: Spectroscopic and Catalytic Study. J. Phys. Chem. C 2007, 111, 5083–5089. [Google Scholar] [CrossRef]
- García, H.; Navalón, S. (Eds.) Metal-Organic Frameworks: Applications in Separations and Catalysis; Wiley-VCH Verlag GmbH & Co. KGaA: Weinheim, Germany, 2018. [Google Scholar]
- Ryu, U.; Jee, S.; Rao, P.C.; Shin, J.; Ko, C.; Yoon, M.; Park, K.S.; Choi, K.M. Recent advances in process engineering and upcoming applications of metal–organic frameworks. Coord. Chem. Rev. 2021, 426, 213544. [Google Scholar] [CrossRef]
- Kang, Y.-S.; Lu, Y.; Chen, K.; Zhao, Y.; Wang, P.; Sun, W.-Y. Metal–organic frameworks with catalytic centers: From synthesis to catalytic application. Coord. Chem. Rev. 2019, 378, 262–280. [Google Scholar] [CrossRef]
- Hwang, Y.K.; Férey, G.; Lee, U.-H.; Chang, J.-S. Liquid Phase Oxidation of Organic Compounds by Metal-Organic Frameworks. In Liquid Phase Oxidation via Heterogeneous Catalysis; Wiley: Hoboken, NJ, USA, 2013; pp. 371–409. [Google Scholar]
- Gascon, J.; Corma, A.; Kapteijn, F.; Llabrés i Xamena, F.X. Metal organic framework catalysis: Quo vadis? ACS Catal. 2014, 4, 361–378. [Google Scholar] [CrossRef]
- Leus, K.; Liu, Y.-Y.; Van Der Voort, P. Metal-Organic Frameworks as Selective or Chiral Oxidation Catalysts. Catal. Rev. 2014, 56, 1–56. [Google Scholar] [CrossRef] [Green Version]
- Bavykina, A.; Kolobov, N.; Khan, I.S.; Bau, J.A.; Ramirez, A.; Gascon, J. Metal–Organic Frameworks in Heterogeneous Catalysis: Recent Progress, New Trends, and Future Perspectives. Chem. Rev. 2020, 120, 8468–8535. [Google Scholar] [CrossRef] [PubMed] [Green Version]
- Zecchina, A.; Bordiga, S.; Lamberti, C.; Ricchiardi, G.; Scarano, D.; Leofanti, G.; Petrini, G.; Mantegazza, M. Structural characterization of Ti centres in Ti-silicalite and breaction mechanisms in cyclohexanone ammoximation. Catal. Today 1996, 32, 97–106. [Google Scholar] [CrossRef]
- Bonoldi, L.; Busetto, C.; Congiu, A.; Marra, G.; Ranghino, G.; Salvalaggio, M.; Spano, G.; Giamello, E. An ESR study of titani-um-silicalite in presence of H2O2. Spectrochim. Acta A Mol. Biomol. Spectrosc. 2002, 58, 1143–1154. [Google Scholar] [CrossRef]
- Lin, W.; Frei, H. Photochemical and FT-IR probing of the active site of hydrogen peroxide in the Ti silicates sieves. J. Am. Chem. Soc. 2002, 124, 9292–9298. [Google Scholar] [CrossRef]
- Geobaldo, F.; Bordiga, S.; Zecchina, A.; Giamello, E.; Leofanti, G.; Petrini, G. DRS UV-Vis and EPR spectroscopy of hydroperoxo and superoxo complexes in titanium silicalite. Catal. Lett. 1992, 16, 109–115. [Google Scholar] [CrossRef]
- Tozzola, G.; Mantegazza, M.; Ranghino, G.; Petrini, G.; Bordiga, S.; Ricchiardi, G.; Lamberti, C.; Zulian, R.; Zecchina, A. On the Structure of the Active Site of Ti-Silicalite in Reactions with Hydrogen Peroxide: A Vibrational and Computational Study. J. Catal. 1998, 179, 64–71. [Google Scholar] [CrossRef]
- Dumitriu, E.; Hulea, V.; Moreau, P. Solvent effects during the oxidation reactions catalyzed by Ti-micro- and mesoporous materials. Rev. Roum. Chim. 1999, 44, 1073–1083. [Google Scholar]
- Clerici, M.G.; Bellussi, G.; Romano, U. ChemInform Abstract: Synthesis of Propylene Oxide from Propylene and Hydrogen Peroxide Catalyzed by Titanium Silicalite. ChemInform 2010, 22, 159–167. [Google Scholar] [CrossRef]
- Clerici, M.; Ingallina, P. Epoxidation of Lower Olefins with Hydrogen Peroxide and Titanium Silicalite. J. Catal. 1993, 140, 71–83. [Google Scholar] [CrossRef]
- Van der Waal, J.C.; Rigutto, M.S.; van Bekkum, H. Synthesis of all-silica zeolite beta. J. Chem. Soc. Chem. Commun. 1241–1242. [CrossRef]
- Hulea, V.; Dumitriu, E.; Patcas, F.; Ropot, R.; Graffin, P.; Moreau, P. Cyclopentene oxidation with H2O2 over Ti-containing zeolites. Appl. Catal. A Gen. 1998, 170, 169–175. [Google Scholar] [CrossRef]
- Corma, A.; Esteve, P.; Martínez, A. Solvent Effects during the Oxidation of Olefins and Alcohols with Hydrogen Peroxide on Ti-Beta Catalyst: The Influence of the Hydrophilicity–Hydrophobicity of the Zeolite. J. Catal. 1996, 161, 11–19. [Google Scholar] [CrossRef]
- Payne, G.B.; Deming, P.H.; Williams, P.H. Reactions of Hydrogen Peroxide. VII. Alkali-Catalyzed Epoxidation and Oxidation Using a Nitrile as Co-reactant. J. Org. Chem. 1961, 26, 659–663. [Google Scholar] [CrossRef]
- Dumitriu, E.; Guimon, C.; Cordoneanu, A.; Casenave, S.; Hulea, T.; Chelaru, C.; Martinez, H.; Hulea, V. Heterogeneous sulfoxidation of thioethers by hydrogen peroxide over layered double hydroxides as catalysts. Catal. Today 2001, 66, 529–534. [Google Scholar] [CrossRef]
- Palomeque, J.; Clacens, J.; Figueras, F. Oxidation of Dibenzothiophene by Hydrogen Peroxide Catalyzed by Solid Bases. J. Catal. 2002, 211, 103–108. [Google Scholar] [CrossRef]





















| Reaction | Potential Application |
|---|---|
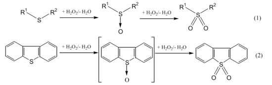
![]() | Sulfoxides and sulfones synthesis |
![]() | Fuel catalytic oxidative desulfurization |
![]() | DMSO removal from wastewater |
| Method | Conditions | Relative Rate Constants for Thiophene Desulfurisation Th:BT:DBT |
|---|---|---|
| Oxidation with H2O2 HDS | Ti-Beta; MeCN; 60 °C CoMo/Al2O3; 300 °C; 7–10 MPa | 1:5:3.5 22.5:13.3:1 |
| Catalyst | Matrix | Substrate a | T (°C)/Solvent b | Ref |
|---|---|---|---|---|
| Titanosilicates | ||||
| TS-1, TS-2 | Microporous | Thioethers | 56/MeCOMe | [53] |
| TS-2 | Microporous | Thioethers | 60/MeCN | [56] |
| TS-1, Ti-Beta | Microporous | Thioethers Sulfoxides Thiophenes | 30–60/MeOH, EtOH, MeCN, t-BuOH, MeCOMe, THF | [57,58,59,60] |
| Ti-beta Ti-MCM-41 | Microporous Mesoporous | MPS, phenyl-iso-pentyl sulphide | 40/MeCN | [61] |
| Ti-Beta | Microporous | Thioethers | 20/MeCOMe | [62] |
| TS-1, Ti-Beta | Microporous | Thioethers | 21/MeOH | [63] |
| TS-1, Ti-Beta, Ti-HMS | Microporous Mesoporous | PS, Th, BT, DBT, THT | 60/MeOH, MeCN, EtOH, t-BuOH | [26] |
| Ti-MMM | Mesoporous | MPS | 20/MeCN | [64] |
| Ti-SBA-15 | Mesoporous | MPS | 20–50/MeCN, MeOH, MeCOMe | [65] |
| TS-1 | Microporous | Thiophene | 60/n-octane | [66,67] |
| Ag/TS-1 | Micro-, mesoporous | Thiophenes | 60/n-octane | [68] |
| TS-1 | Microporous | Thiophenes | 60/MeOH | [69] |
| Ti-Beta | Microporous | Thiophenes | 80/heptane | [70] |
| Ti-HMS and Ti-MSU | Mesoporous | DBT | 60/n-octane | [71] |
| Ti-MCM-48 | Mesoporous | DMSO, DBT, MPS | 30–50/MeCN | [72] |
| Ti-SBA-16 | Mesoporous | DBT | 60/MeCN | [73] |
| Ti-SBA-15 | Mesoporous | THT, MS, MPS, DBT | 40–70/MeCN | [46] |
| Ti-Beta | Microporous | 2,5-DMT | 40/MeOH, MeCN, EtOH, MeCOMe, DMSO, Dioxane | [47] |
| meso-TS-1 | Mesoporous | Th, DBT | 60/n-octane | [74] |
| meso-TS-1 | Mesoporous | Th, BT | 60/n-octane | [75] |
| meso-TS-1 | Mesoporous | Th, BT | 60/MeOH | [76] |
| Ti-HMS | Mesoporous | 4,6-DMDBT, BT, DBT | 60/MeOH | [77] |
| TS-1, Ti-Beta, Ti-MCM-41, Ti-MWW | Microporous Mesoporous | BT, DBT, 4,6-DMDBT | 30–90/MeCN | [78] |
| Meso-Ti-MOR | Mesoporous | DBT, 4,6-DMDBT | 60/MeCN | [79] |
| meso-TS-1 | Mesoporous | Th, BT, DBT, 4,6-DMDBT | 60/n-octane | [80] |
| Ti/SiO2 | Mesoporous | DBT, 4,6-DMDBT | 60/iso-octane | [32] |
| Ti/SiO2 | Mesoporous | BT, DBT, 4,6-DMDBT | 25–65/MeCN | [81] |
| meso-TS-1 | Mesoporous | DBT, 4,6-DMDBT | 60/octane | [82] |
| Ti-HMS/TS-1 | Micro-mesoporous | Th, BT, DBT | 60/MeOH | [83] |
| TiO2-SiO2 | Mesoporous | DPS, DBT, 4,6-DMDBT, DMSO, THT, MPS, BT | 20–70/MeCN | [34,84,85,86] |
| TiO2-SiO2 | Mesoporous | MPS, DBT | 60/MeCN | [87,88] |
| Me-silicates | ||||
| VS-2 | Microporous | Thioethers | 60/MeCN | [89] |
| V-, Mn-zeolite | Microporous | DBT | 55/oil | [90] |
| Nb-Beta, Ta-Beta, Zr-Beta | Microporous | 2,5-DMT | 40/MeOH, MeCN, EtOH, MeCOMe, DMSO, Dioxane | [47] |
| Nb/SiO2 | Mesoporous | MPS, BT, DBT, 4,6-DMDBT | 25–65/MeCN | [81] |
| VS-1, VS-2 V-HMS | Microporous Mesoporous | BT, DBT | 60/MeCN | [91] |
| Mo-TS-1 | Microporous | Thioethers | 20/MeOH | [92] |
| V-SBA-15 | Mesoporous | MPS | 20–50/MeCN, MeOH, MeCOMe | [65] |
| Me-MOF | ||||
| Sc-MOF | Microporous | Thioethers | 50/MeCN | [93] |
| Zn-MOF | Microporous | Thioethers | 25/MeCN, CH2Cl2 | [94] |
| La-MOF | Microporous | MPS | 60/MeCN | [95] |
| Yb-LRH, Yb-RPF-5 | Microporous | MPS | 60/MeCN | [96] |
| Sc-MOF, Y-MOF | Microporous | Thioethers | 60/MeCN | [97] |
| Cr-MIL-101 | Microporous | Aryl sulfides | 25/MeCN | [98] |
| Zr- UiO-66 | Microporous | DBT, 4-MDBT, 4,6-DMDBT | 50/MeCN, octane | [99] |
| Zr- UiO-66 | Microporous | DBT | 30–70/octane | [100] |
| Ti-Zr-UiO-66 | Microporous | DBT | 60/n-octane, MeCN | [101] |
| Ti-MOF (MIL-125) | Microporous | Th, BT, DBT, 4,6-DMBT | 60/n-octane | [102] |
| UiO-66 | Microporous | DBT | 60/MeCN | [103] |
| nitro-/amino- UiO-66(Zr) | Microporous | DBT, 4,6-DMDBT | 60/n-octane | [104] |
| Zr- UiO-66 | Microporous | BT, DBT | 50/n-octane | [105] |
| Zr- UiO-66, UiO-67, NU-1000, and MOF-808 | Microporous | DBT | 40/MeCN | [106] |
| Ti-Zr-UiO-66 | Microporous | MPS, DBT | 60/MeCN | [107] |
| Zr- UiO-66 | Microporous | MPS | MeOH, MeCN, CH2Cl2 | [108] |
| UiO-66 and UiO-67 | Microporous | MPS, MPSO | 27/MeCN | [109] |
| Zr-abtc and MIP-200 | Microporous | MPS, MPSO, Thianthrene | 27/MeCN | [110] |
| Me-LDH | ||||
| W-LDH | Layered | 25/H2O2 | [41] | |
| W-LDH | Layered | Thioethers BT, DBT | 40–70/MeCN, EtOH, MeCOMe, n-BuOH, t-BuOH | [45] |
| V, Mo, W-LDH | Layered | MPS, PPS, BPS, BT, DBT | 40/MeCN | [111] |
| V, Mo, W-LDH | Layered | THT | 20–30/Dioxane, MeCN, EtOH, MeOH, MeCOMe | [112] |
| V, Mo, W-LDH | Layered | MPS, DBT, DMSO | 30–50/MeCN, H2O | [20] |
| W-LDH | Layered | DMSO | 25–50/H2O, EtOH, Dioxane, MeCN | [33] |
| Mo-LDH | Layered | MPS, DBT | 40–70/MeCN | [113] |
| Mo-, V-LDH | Layered | DBT | 70/MeCN | [114] |
Publisher’s Note: MDPI stays neutral with regard to jurisdictional claims in published maps and institutional affiliations. |
© 2021 by the authors. Licensee MDPI, Basel, Switzerland. This article is an open access article distributed under the terms and conditions of the Creative Commons Attribution (CC BY) license (https://creativecommons.org/licenses/by/4.0/).
Share and Cite
Hulea, V.; Dumitriu, E.; Fajula, F. Mild Oxidation of Organosulfur Compounds with H2O2 over Metal-Containing Microporous and Mesoporous Catalysts. Catalysts 2021, 11, 867. https://doi.org/10.3390/catal11070867
Hulea V, Dumitriu E, Fajula F. Mild Oxidation of Organosulfur Compounds with H2O2 over Metal-Containing Microporous and Mesoporous Catalysts. Catalysts. 2021; 11(7):867. https://doi.org/10.3390/catal11070867
Chicago/Turabian StyleHulea, Vasile, Emil Dumitriu, and François Fajula. 2021. "Mild Oxidation of Organosulfur Compounds with H2O2 over Metal-Containing Microporous and Mesoporous Catalysts" Catalysts 11, no. 7: 867. https://doi.org/10.3390/catal11070867
APA StyleHulea, V., Dumitriu, E., & Fajula, F. (2021). Mild Oxidation of Organosulfur Compounds with H2O2 over Metal-Containing Microporous and Mesoporous Catalysts. Catalysts, 11(7), 867. https://doi.org/10.3390/catal11070867




