Synthesis of Gd2O3 Nanoparticles and Their Photocatalytic Activity for Degradation of Azo Dyes
Abstract
1. Introduction
2. Results
2.1. Characterization of Gd2O3 Nanoparticles
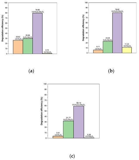
2.2. Mechanism of Photocatalytic Degradation of Azo Dyes by Gd2O3 Nanoparticles
2.3. Kinetics Study for Photocatalytic Degradation of Azo Dyes
2.4. Effect of Gd2O3 Nanoparticle Dose for Photocatalytic Degradation of Azo Dyes
2.5. Effect of Initial Dye Concentration on the Photocatalytic Degradation of Azo Dyes
2.6. Effect of UV Light Wavelength on Azo Dye for Photocatalytic Degradation
2.7. Reusability of Gd2O3 Nanoperticles as Photocatalyst for Degradation of MO
3. Materials and Methods
3.1. Materials
3.2. Methods
3.2.1. Synthesis of Gd2O3 Nanoparticles
3.2.2. Photocatalytic Activity of Gd2O3 Nanoparticles for Degradation of Azo Dyes Such as MO, AO7, and AY23
3.2.3. Photocatalytic Activity of Degradation of Azo Dyes Uner UV Irradiation at 254 nm and 365 nm
3.2.4. Reusability of Gd2O3 Nanoperticles as Photocatalyst for Degradation of MO
4. Conclusions
Supplementary Materials
Author Contributions
Funding
Data Availability Statement
Conflicts of Interest
References
- Saravanan, T.; Anandan, P.; Shanmugam, M.; Jayakumari, T.; Arivanandhan, M.; Azhagurajan, M.; Hayakawa, Y.; Jayavel, R. Impact of graphene on the enhancement of electrochemical and photocatalytic performance of Gd2O3-Graphene nanocomposites. Solid State Sci. 2018, 83, 171–180. [Google Scholar] [CrossRef]
- Karthikeyan, C.; Arunachalam, P.; Ramachandran, K.; Al-Mayouf, A.M.; Karuppuchamy, S. Recent advances in semiconductor metal oxides with enhanced methods for solar photocatalytic applications. J. Alloys Compd. 2020, 828, 154281–154295. [Google Scholar] [CrossRef]
- Liu, H.; Wang, C.; Wang, G. Photocatalytic advanced oxidation processes for water treatment: Recent advances and perspective. Chem. Asian J. 2020, 15, 3239–3253. [Google Scholar] [CrossRef] [PubMed]
- O’Shea, K.E.; Dionysiou, D.D. Advanced oxidation processes for water treatment. J. Phys. Chem. Lett. 2012, 3, 2112–2113. [Google Scholar] [CrossRef]
- Mu, M.; Gu, B.S.; Liu, Y.Y.; Yang, P.Y.; Zhang, Q.F.; Zhao, H.Q. Photocatalytic degradation of Methyl Orange by H2O2 Cooperated with Graphene Oxide Under Visible Light Irradiation. DEStech Trans. Environ. Energy Earth Sci. 2018. [Google Scholar] [CrossRef]
- Marandi, R.; Mahanpoor, K.; Sharif, A.A.M.; Olya, A.E.; Moradi, R. Photocatalytic degradation of azo dye acid yellow 23 in water using NiFe2O4 nanoparticles supported on clinoptilolite as a catalyst in a circulating fluidized bed reactor. J. Basic Appl. Sci. Res. 2013, 3, 347–357. [Google Scholar]
- Ghoreishian, S.M.; Badii, K.; Norouzi, M.; Rashidi, A.; Montazer, M.; Sadeghi, M.; Vafaee, M. Decolorization and mineralization of an azo reactive dye using loaded nano-photocatalysts on spacer fabric: Kinetic study and operational factors. J. Taiwan Inst. Chem. Eng. 2014, 45, 2436–2446. [Google Scholar] [CrossRef]
- Tijani, J.O.; Fatoba, O.O.; Madzivire, G.; Petrik, L.F. A review of combined advanced oxidation technologies for the removal of organic pollutants from water. Water Air Soil Pollut. 2014, 225, 2102. [Google Scholar] [CrossRef]
- Kansal, S.K.; Sood, S.; Umar, A.; Mehta, S.K. Photocatalytic degradation of Eriochrome Black T dye using well-crystalline anatase TiO2 nanoparticles. J. Alloys Compd. 2013, 581, 392–397. [Google Scholar] [CrossRef]
- Cuerda-Correa, E.M.; Alexandre-Franco, M.F.; Fernandez-Gonzalez, C. Advanced Oxidation Process for the removal of Antibiotics from Water. An Overview. Water 2020, 12, 102. [Google Scholar] [CrossRef]
- Lu, D.; Fang, P.; Ding, J.; Yang, M.; Cao, Y.; Zhou, Y.; Peng, K.; Kondamareddy, K.K.; Liu, M. Two-dimensional TiO2-based nanosheets co-modified by surface-enriched carbon dots and Gd2O3 nanoparticles for efficient visible-light-driven photocatalysis. Appl. Surf. Sci. 2017, 396, 185–201. [Google Scholar] [CrossRef]
- Surendra, T.V.; Roopan, S.M.; Khan, M.R. Biogenic approach to synthesize rod shaped Gd2O3 nanoparticles and its optimization using response surface methodology-Box–Behnken design model. Biotechnol. Prog. 2019, 35, 2823–2834. [Google Scholar] [CrossRef]
- Mekuria, S.L.; Debele, T.A.; Tsai, H.C. Encapsulation of gadolinium oxide nanoparticle (Gd2O3) contrasting agents in PAMAM dendrimer templates for enhanced magnetic resonance imaging in vivo. ACS Appl. Mater. Interfaces 2017, 9, 6782–6795. [Google Scholar] [CrossRef] [PubMed]
- Chávez, D.H.; Contreras, O.E.; Hirata, G.A. Synthesis and Upconversion Luminescence of Nanoparticles Y2O3 and Gd2O3 Co-doped with Yb3+ and Er3+. Nanomater. Nanotechnol. 2016, 6, 7–16. [Google Scholar] [CrossRef]
- Eprasatya, A.; Yulizar, Y.; Yunarti, R.T.; Apriandanu, D.O.B. Fabrication of Gd2O3 nanoparticles in hexane-water system using Myristica fragrans Houtt leaves extract and their photodegradation activity of malachite green. Mater. Sci. Eng. 2020, 902, 012004. [Google Scholar] [CrossRef]
- He, Y.W.; Wang, Q.; Yan, X.; He, L.Q.; Zhang, G.Q.; Li, X.L. Ultrafast degradation of common organic dyes in presence of gadolinium oxide/graphene oxide in water. Fuller. Nanotub. Carbon Nanostr. 2019, 27, 478–481. [Google Scholar] [CrossRef]
- Almeida, M.S.D.; Santos, M.A.B.D.; Gonçalves, R.D.F.; Santos, M.R.D.C.; Marques, A.P.D.A.; Longo, E.; La Porta, F.D.A.; Pinatti, I.M.; Silva, M.D.P.; Godinho, M.J. Novel Gd(OH)3, GdOOH and Gd2O3 Nanorods: Microwave-Assisted Hydrothermal Synthesis and Optical Properties. Mater. Res. 2016, 19, 1155–1161. [Google Scholar] [CrossRef]
- Majeed, S.; Shivashankar, S.A. Rapid, microwave-assisted synthesis of Gd2O3 and Eu: Gd2O3 nanocrystals: Characterization, magnetic, optical and biological studies. J. Mater. Chem. B 2014, 2, 5585–5593. [Google Scholar] [CrossRef]
- Dhanalakshmi, S.; Kumar, P.S.; Karuthapandian, S.; Muthuraj, V.; Prithivikumaran, N. Design of Gd2O3 nanorods: A challenging photocatalyst for the degradation of neurotoxicity chloramphenicol drug. J. Mater. Sci. Mater. Electron. 2019, 30, 3744–3752. [Google Scholar] [CrossRef]
- Freyria, F.S.; Compagnoni, M.; Ditaranto, N.; Rossetti, I.; Piumetti, M.; Ramis, G.; Bonelli, B. Pure and Fe-doped mesoporous titania catalyse the oxidation of acid orange 7 by H2O2 under different illumination conditions: Fe doping improves photocatalytic activity under simulated solar light. Catalysts 2017, 7, 213. [Google Scholar] [CrossRef]
- Zhang, Q.; Li, C.; Li, T. Rapid photocatalytic decolorization of methylene blue using high photon flux UV/TiO2/H2O2 process. Chem. Eng. J. 2013, 217, 407–413. [Google Scholar] [CrossRef]
- Wu, D.; Li, C.; Zhang, D.; Wang, L.; Zhang, X.; Shi, Z.; Lin, Q. Enhanced photocatalytic activity of Gd3+ doped TiO2 and Gd2O3 modified TiO2 prepared via ball milling method. J. Rare Earths 2019, 37, 845–852. [Google Scholar] [CrossRef]
- Jiang, X.; Yu, L.; Yao, C.; Zhang, F.; Zhang, J.; Li, C. Synthesis and characterization of Gd2O3 hollow microspheres using a template-directed method. Materials 2016, 9, 323. [Google Scholar] [CrossRef]
- Kang, J.G.; Min, B.K.; Sohn, Y. Synthesis and characterization of Gd(OH)3 and Gd2O3 nanorods. Ceram. Int. 2015, 41, 1243–1248. [Google Scholar] [CrossRef]
- Pablos, C.; Marugán, J.; Grieken, R.V.; Serrano, E. Emerging micropollutant oxidation during disinfection processes using UV-C, UV-C/H2O2, UV-A/TiO2 and UV-A/TiO2/H2O2. Water Res. 2013, 47, 1237–1245. [Google Scholar] [CrossRef]
- Hazarika, S.; Paul, N.; Mohanta, D. Rapid hydrothermal route to synthesize cubic-phase gadolinium oxide nanorods. Bull. Mater. Sci. 2014, 37, 789–796. [Google Scholar] [CrossRef]
- Chen, F.; Zhang, X.H.; Hu, X.D.; Zhang, W.; Zeng, R.; Liu, P.D.; Zhang, H.Q. Synthesis and characteristics of nanorods of gadolinium hydroxide and gadolinium oxide. J. Alloys Compd. 2016, 664, 311–316. [Google Scholar] [CrossRef]
- Sakthivel, S.; Neppolian, B.; Shankar, M.V.; Arabindoo, B.; Palanichamy, M.; Murugesan, V. Solar photocatalytic degradation of azo dye: Comparison of photocatalytic efficiency of ZnO and TiO2. Sol. Energy Mater. Sol. Cells 2003, 77, 65–82. [Google Scholar] [CrossRef]
- Ahmed, S.; Rasul, M.G.; Brown, R.; Hashib, M.A. Influence of parameters on the heterogeneous photocatalytic degradation of pesticides and phenolic contaminants in wastewater: A short review. J. Environ. Manag. 2011, 92, 311–330. [Google Scholar] [CrossRef] [PubMed]
- Alahiane, S.; Sennaoui, A.; Sakr, F.; Qourzal, S.; Dinne, M.; Assabbane, A. A study of the photocatalytic degradation of the textile dye Reactive Yellow 17 in aqueous solution by TiO2-coated non-woven fibres in a batch photoreactor. J. Mater. Environ. Sci. 2017, 8, 3556–3563. [Google Scholar]
- Soleymani, A.R.; Chahardoli, R.; Kaykhaii, M. Development of UV/H2O2/TiO2–LECA hybrid process based on operating cost: Application of an effective fixed bed photo-catalytic recycled reactor. J. Ind. Eng. Chem. 2016, 44, 90–98. [Google Scholar] [CrossRef]
- Romanias, M.N.; Zein, A.E.; Bedjanian, Y. Heterogeneous interaction of H2O2 with TiO2 surface under dark and UV light irradiation conditions. J. Phys. Chem. A 2012, 116, 8191–8200. [Google Scholar] [CrossRef] [PubMed]
- Singh, N.K.; Saha, S.; Pal, A. Methyl red degradation under UV illumination and catalytic action of commercial ZnO: A parametric study. Desalin. Water. Treat. 2015, 56, 1066–1076. [Google Scholar] [CrossRef]
- Gupta, V.K.; Saravanan, R.; Agarwal, S.; Gracia, F.; Khan, M.M.; Qin, J.; Mangalaraja, R.V. Degradation of azo dyes under different wavelengths of UV light with chitosan-SnO2 nanocomposites. J. Mol. Liq. 2017, 232, 423–430. [Google Scholar] [CrossRef]
- Akyol, A.; Bayramoğlu, M. The degradation of an azo dye in a batch slurry photocatalytic reactor. Chem. Eng. Process. 2008, 47, 2150–2156. [Google Scholar] [CrossRef]
- Yatmaz, H.C.; Dizge, N.; Kurt, M.S. Combination of photocatalytic and membrane distillation hybrid processes for reactive dyes treatment. Environ. Technol. 2017, 38, 2743–2751. [Google Scholar] [CrossRef] [PubMed]
- Ljubas, D.; Ćurković, L.; Dobrović, S. Photocatalytic Degradation of an azo dye by UV Irradiation at 254 and 365 nm. Trans. FAMENA 2010, 34, 19–28. [Google Scholar]
- Lee, K.M.; Lai, C.W.; Ngai, K.S.; Juan, J.C. Recent developments of zinc oxide based photocatalyst in water treatment technology: A review. Water Res. 2016, 88, 428–448. [Google Scholar] [CrossRef]
- Kumar, P.S.; Karuthapandian, S.; Umadevi, M.; Elangovan, A.; Muthuraj, V. Light induced synthesis and synergistic effects of Sr/CdSe nanocomposite on the photodegradation of methylene blue dye solution. Mater. Focus 2016, 5, 128–136. [Google Scholar] [CrossRef]
- Kumar, P.S.; Prabavathi, S.L.; Indurani, P.; Karuthapandian, S.; Muthuraj, V. Light assisted synthesis of hierarchically structured Cu/CdS nanorods with superior photocatalytic activity, stability and photocatalytic mechanism. Sep. Purif. Technol. 2017, 172, 192–201. [Google Scholar] [CrossRef]

















| Azo Dye | Dose of Catalyst (g/L) | Reaction Rate Constant k (min−1) | Photocatalytic Degradation Efficiency (%) |
|---|---|---|---|
| Methyl Orange | 0 | −0.00379 | 23.62 |
| 0.5 | −0.00821 | 55.03 | |
| 1 | −0.01615 | 79.68 | |
| 1.5 | −0.02855 | 93.14 | |
| Acid Orange 7 | 0 | −0.00060 | 6.11 |
| 0.5 | −0.00831 | 57.48 | |
| 1 | −0.01617 | 79.91 | |
| 1.5 | −0.02454 | 91.57 | |
| Acid Yellow 23 | 0 | −0.00030 | 3.81 |
| 0.5 | −0.00229 | 21.11 | |
| 1 | −0.00874 | 59.14 | |
| 1.5 | −0.03712 | 88.97 |
| Azo Dye | Initial Concentration (mM) | Reaction Rate Constant k (min−1) | Photocatalytic Degradation Efficiency (%) |
|---|---|---|---|
| Methyl Orange | 0.042 | −0.01615 | 79.68 |
| 0.084 | −0.01214 | 69.75 | |
| 0.126 | −0.00854 | 57.28 | |
| Acid Orange 7 | 0.042 | −0.01617 | 79.91 |
| 0.084 | −0.01379 | 74.14 | |
| 0.126 | −0.01089 | 65.56 | |
| Acid Yellow 23 | 0.042 | −0.00874 | 59.14 |
| 0.084 | −0.00176 | 16.67 | |
| 0.126 | −0.00090 | 8.92 |
| Azo Dye | Wavelength of UV Lamp (nm) | Reaction Rate Constant k (min−1) | Photocatalytic Degradation Efficiency (%) |
|---|---|---|---|
| Methyl Orange | 254 | −0.01615 | 79.68 |
| 365 | −0.02427 | 90.9 | |
| Acid Orange 7 | 254 | −0.01617 | 79.91 |
| 365 | −0.02389 | 81.05 | |
| Acid Yellow 23 | 254 | −0.00874 | 59.14 |
| 365 | −0.00986 | 63.49 |
Publisher’s Note: MDPI stays neutral with regard to jurisdictional claims in published maps and institutional affiliations. |
© 2021 by the authors. Licensee MDPI, Basel, Switzerland. This article is an open access article distributed under the terms and conditions of the Creative Commons Attribution (CC BY) license (https://creativecommons.org/licenses/by/4.0/).
Share and Cite
Jeon, S.; Ko, J.-W.; Ko, W.-B. Synthesis of Gd2O3 Nanoparticles and Their Photocatalytic Activity for Degradation of Azo Dyes. Catalysts 2021, 11, 742. https://doi.org/10.3390/catal11060742
Jeon S, Ko J-W, Ko W-B. Synthesis of Gd2O3 Nanoparticles and Their Photocatalytic Activity for Degradation of Azo Dyes. Catalysts. 2021; 11(6):742. https://doi.org/10.3390/catal11060742
Chicago/Turabian StyleJeon, Sugyeong, Jeong-Won Ko, and Weon-Bae Ko. 2021. "Synthesis of Gd2O3 Nanoparticles and Their Photocatalytic Activity for Degradation of Azo Dyes" Catalysts 11, no. 6: 742. https://doi.org/10.3390/catal11060742
APA StyleJeon, S., Ko, J.-W., & Ko, W.-B. (2021). Synthesis of Gd2O3 Nanoparticles and Their Photocatalytic Activity for Degradation of Azo Dyes. Catalysts, 11(6), 742. https://doi.org/10.3390/catal11060742

