Cost Effective Solvothermal Method to Synthesize Zn-Doped TiO2 Nanomaterials for Photovoltaic and Photocatalytic Degradation Applications
Abstract
1. Introduction
2. Results and Discussion
2.1. X-ray Diffraction (XRD) Spectroscopy
2.2. Energy Dispersive X-ray (EDX) Spectroscopy
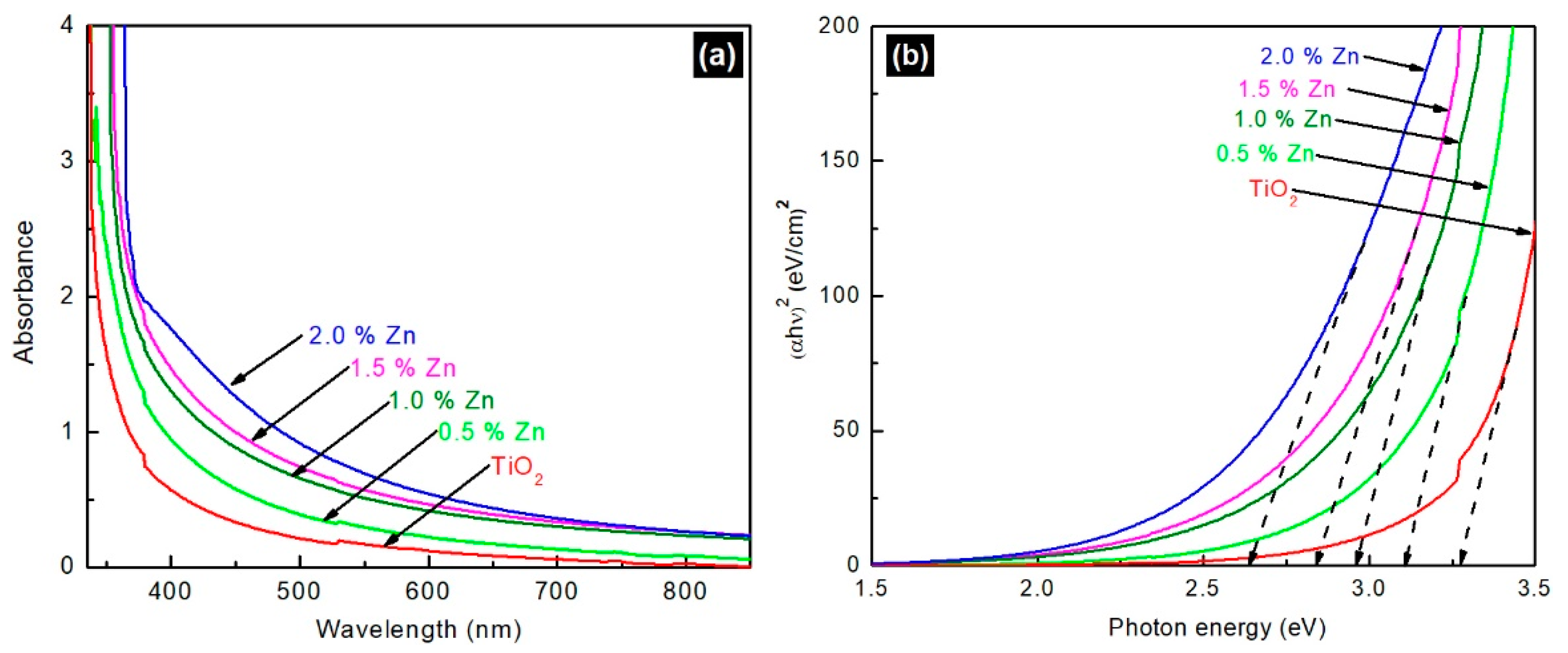
2.3. UV-Visible Spectroscopy
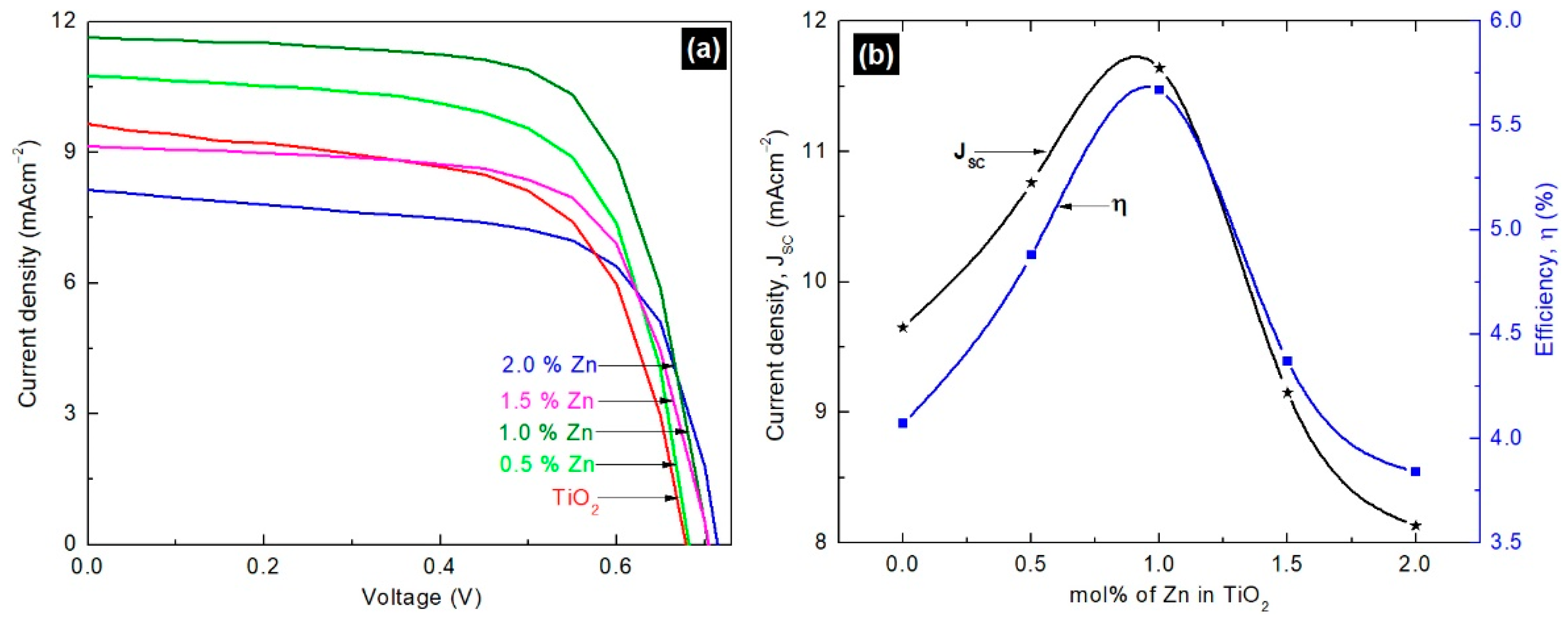
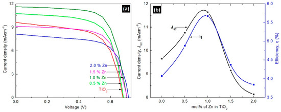
2.4. Photovoltaic Measurement
2.4.1. J-V Measurement
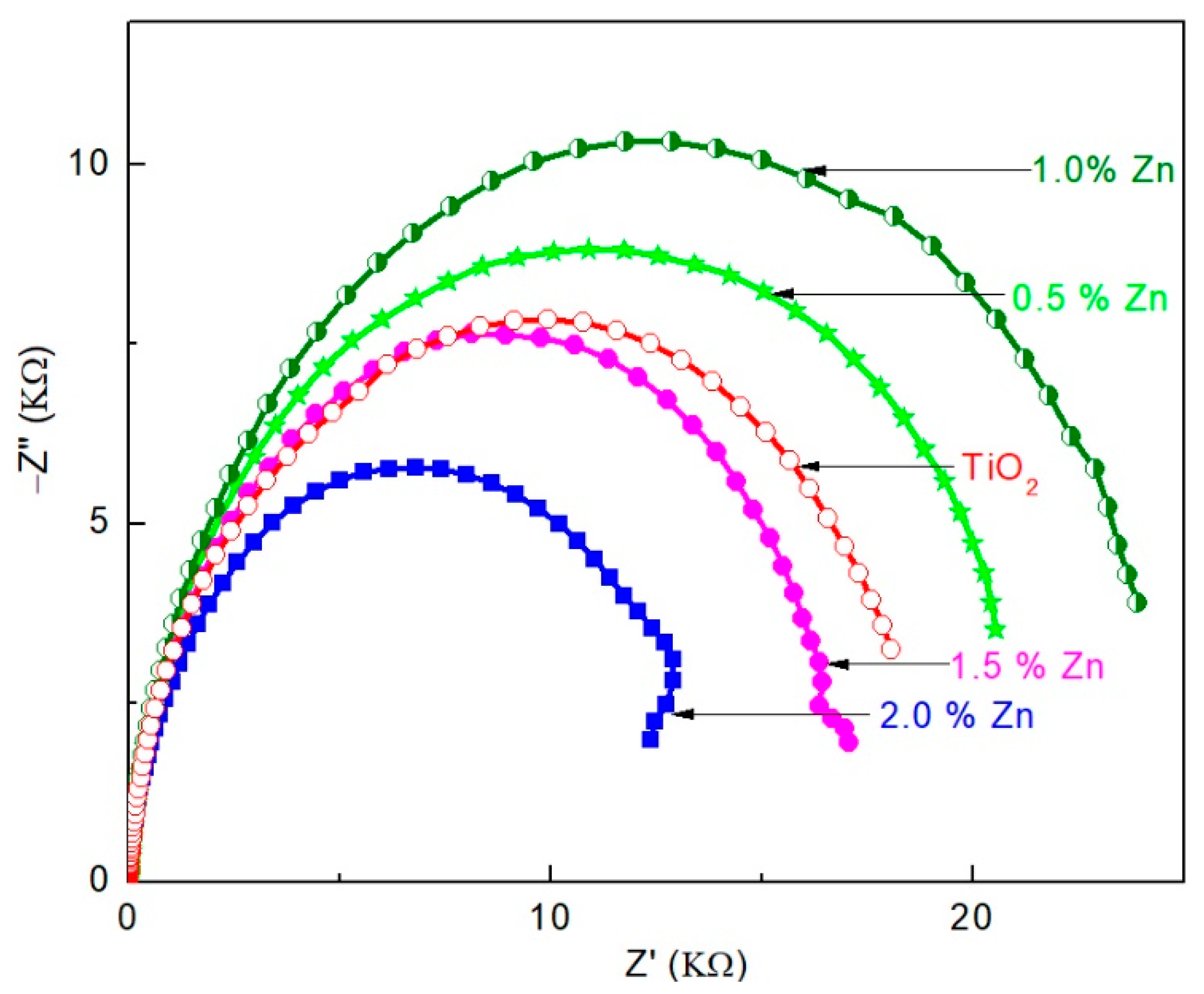
2.4.2. Electrochemical Impedance Spectroscopy (EIS)
2.5. Photocatalytic Degradation Measurement
3. Materials and Methods
3.1. Materials
3.2. Methodology
3.2.1. Synthesis of Zn-Doped and Undoped TiO2 Nanomaterials
3.2.2. Device Fabrication
3.2.3. Photocatalytic Degradation
3.3. Characterization
4. Conclusions
Supplementary Materials
Author Contributions
Funding
Data Availability Statement
Conflicts of Interest
References
- Perera, F. Pollution from fossil-fuel combustion is the leading environmental threat to global pediatric health and equity: Solutions exist. Int. J. Environ. Res. Public Health 2018, 15, 16. [Google Scholar] [CrossRef]
- Owusu, P.A.; Asumadu-Sarkodie, S. A review of renewable energy sources, sustainability issues and climate change mitigation. Cogent Eng. 2016, 3, 1–14. [Google Scholar] [CrossRef]
- Nyankson, E.; Agyei-Tuffour, B.; Asare, J.; Annan, E.; Rwenyagila, E.R.; Konadu, D.S.; Yaya, A.; Dodoo-Arhin, D. Nanostructured TiO2 and their energy applications—A review. ARPN J. Eng. Appl. Sci. 2013, 8, 871–886. [Google Scholar]
- Chen, S.; Li, L.; Sun, H.; Sun, J.; Lu, B. Nanomaterials for renewable energy. J. Nanomater. 2015, 2015, 2–4. [Google Scholar] [CrossRef]
- Shaban, M.; Ahmed, A.M.; Shehata, N.; Betiha, M.A.; Rabie, A.M. Ni-doped and Ni/Cr co-doped TiO2 nanotubes for enhancement of photocatalytic degradation of methylene blue. J. Colloid Interface Sci. 2019, 555, 31–41. [Google Scholar] [CrossRef]
- Lü, X.; Xia, B.; Liu, C.; Yang, Y.; Tang, H. TiO2-Based Nanomaterials for Advanced Environmental and Energy-Related Applications. J. Nanomater. 2016, 2016. [Google Scholar] [CrossRef][Green Version]
- Moma, J.; Baloyi, J. Modified titanium dioxide for photocatalytic applications. In Photocatalysts—Applications and Attributes; Intechopen: London, UK, 2019; Volume 18. [Google Scholar]
- Aduda, B.O.; Ravirajan, P.; Choy, K.L.; Nelson, J. Effect of morphology on electron drift mobility in porous TiO2. Int. J. Photoenergy 2004, 6, 141–147. [Google Scholar] [CrossRef]
- Kajana, T.; Velauthapillai, D.; Shivatharsiny, Y.; Ravirajan, P.; Yuvapragasam, A.; Senthilnanthanan, M. Structural and photoelectrochemical characterization of heterostructured carbon sheet/Ag2MoO4-SnS/Pt photocapacitor. J. Photochem. Photobiol. A Chem. 2020, 401, 112784. [Google Scholar] [CrossRef]
- Shanmugaratnam, S.; Velauthapillai, D.; Ravirajan, P.; Christy, A.A.; Shivatharsiny, Y. CoS2/TiO2 Nanocomposites for Hydrogen Production under UV Irradiation. Materials 2019, 12, 3882. [Google Scholar] [CrossRef] [PubMed]
- Zhang, L.; Qin, M.; Yu, W.; Zhang, Q.; Xie, H.; Sun, Z.; Shao, Q.; Guo, X.; Hao, L.; Zheng, Y. Heterostructured TiO2/WO3 nanocomposites for photocatalytic degradation of toluene under visible light. J. Electrochem. Soc. 2017, 164, H1086. [Google Scholar] [CrossRef]
- Muduli, S.; Game, O.; Dhas, V.; Vijayamohanan, K.; Bogle, K.A.; Valanoor, N.; Ogale, S.B. TiO2–Au plasmonic nanocomposite for enhanced dye-sensitized solar cell (DSSC) performance. Sol. Energy 2012, 86, 1428–1434. [Google Scholar] [CrossRef]
- Rajaramanan, T.; Natarajan, M.; Ravirajan, P.; Senthilnanthanan, M.; Velauthapillai, D. Ruthenium (Ru) Doped Titanium Dioxide (P25) electrode for dye sensitized solar cells. Energies 2020, 13, 1532. [Google Scholar] [CrossRef]
- Tanyi, A.R.; Rafieh, A.I.; Ekaneyaka, P.; Tan, A.L.; Young, D.J.; Zheng, Z.; Chellappan, V.; Subramanian, G.S.; Chandrakanthi, R.L.N. Enhanced efficiency of dye-sensitized solar cells based on Mg and la co-doped TiO2 photoanodes. Electrochim. Acta 2015, 178, 240–248. [Google Scholar] [CrossRef]
- Madurai Ramakrishnan, V.; Natarajan, M.; Pitchaiya, S.; Santhanam, A.; Velauthapillai, D.; Pugazhendhi, A. Microwave assisted solvothermal synthesis of quasi cubic F doped TiO2 nanostructures and its performance as dye sensitized solar cell photoanode. Int. J. Energy Res. 2020, 1–10. [Google Scholar] [CrossRef]
- Feng, T.; Feng, G.S.; Yan, L.; Pan, J.H. One-dimensional nanostructured TiO2 for photocatalytic degradation of organic pollutants in wastewater. Int. J. Photoenergy 2014, 2014, 563879. [Google Scholar] [CrossRef]
- Roose, B.; Pathak, S.; Steiner, U. Doping of TiO2 for sensitized solar cells. Chem. Soc. Rev. 2015. [Google Scholar] [CrossRef]
- Huang, F.; Li, Q.; Thorogood, G.J.; Cheng, Y.-B.; Caruso, R.A. Zn-doped TiO2 electrodes in dye-sensitized solar cells for enhanced photocurrent. J. Mater. Chem. 2012, 22, 17128–17132. [Google Scholar] [CrossRef]
- Singla, P.; Sharma, M.; Pandey, O.P.; Singh, K. Photocatalytic degradation of azo dyes using Zn-doped and undoped TiO2 nanoparticles. Appl. Phys. A 2013. [Google Scholar] [CrossRef]
- Zhao, Y.; Li, C.; Liu, X.; Gu, F.; Du, H.L.; Shi, L. Zn-doped TiO2 nanoparticles with high photocatalytic activity synthesized by hydrogen–oxygen diffusion flame. Appl. Catal. B Environ. 2008, 79, 208–215. [Google Scholar] [CrossRef]
- Tariq, M.K.; Riaz, A.; Khan, R.; Wajid, A.; Haq, H.-U.; Javed, S.; Akram, M.A.; Islam, M. Comparative study of Ag, Sn or Zn doped TiO2 thin films for photocatalytic degradation of methylene blue and methyl orange. Mater. Res. Express 2019, 6, 106435. [Google Scholar] [CrossRef]
- Zhu, F.; Zhang, P.; Wu, X.; Fu, L.; Zhang, J.; Xu, D. The Origin of Higher Open-Circuit Voltage in Zn-Doped TiO2 Nanoparticle-Based Dye-Sensitized Solar Cells. ChemPhysChem 2012, 13, 3731–3737. [Google Scholar] [CrossRef]
- Chen, C.; Wang, Z.; Ruan, S.; Zou, B.; Zhao, M.; Wu, F. Photocatalytic degradation of CI Acid Orange 52 in the presence of Zn-doped TiO2 prepared by a stearic acid gel method. Dye. Pigment. 2008, 77, 204–209. [Google Scholar] [CrossRef]
- Yang, G.; Jiang, Z.; Shi, H.; Jones, M.O.; Xiao, T.; Edwards, P.P.; Yan, Z. Study on the photocatalysis of F-S co-doped TiO2 prepared using solvothermal method. Appl. Catal. B Environ. 2010, 96, 458–465. [Google Scholar] [CrossRef]
- Okuya, M.; Nakade, K.; Kaneko, S. Porous TiO2 thin films synthesized by a spray pyrolysis deposition (SPD) technique and their application to dye-sensitized solar cells. Sol. Energy Mater. Sol. Cells 2002, 70, 425–435. [Google Scholar] [CrossRef]
- Ding, K.; Miao, Z.; Liu, Z.; Zhang, Z.; Han, B.; An, G.; Miao, S.; Xie, Y. Facile Synthesis of High Quality TiO2 Nanocrystals in Ionic Liquid via a Microwave-Assisted Process. J. Am. Chem. Soc. 2007, 129, 6362–6363. [Google Scholar] [CrossRef]
- Elfanaoui, A.; Elhamri, E.; Boulkaddat, L.; Ihlal, A.; Bouabid, K.; Laanab, L.; Taleb, A.; Portier, X. Optical and structural properties of TiO2 thin films prepared by sol-gel spin coating. Int. J. Hydrogen Energy 2011, 36, 4130–4133. [Google Scholar] [CrossRef]
- Shahid, M.; McDonagh, A.; Salim, A.P.; Kim, J.H.; Shon, H.K. Magnetised Titanium Dioxide (TiO2) for Water Purification: Preparation, Characterisation, and Application. Desalination Water Treat. 2015, 54, 979–1002. [Google Scholar] [CrossRef]
- Loan, T.T.; Huong, V.H.; Tham, V.T.; Long, N.N. Effect of zinc doping on the bandgap and photoluminescence of Zn2+-doped TiO2 nanowires. Phys. B Condens. Matter 2018, 532, 210–215. [Google Scholar] [CrossRef]
- Kumar, S.; Das, B. Effect of lattice strain on X-ray Diffraction, Raman Spectroscopy and Optical Properties of as Synthesis Nanocomposite ZnO-SnO2—TiO2 Thin Film by Spray Pyrolysis Method. Semant. Sch. 2017, 2017, 5204639. [Google Scholar]
- Alikhanov, N.M.-R.; Rabadanov, M.K.; Orudzhev, F.F.; Gadzhimagomedov, S.K.; Emirov, R.M.; Sadykov, S.A.; Kallaev, S.N.; Ramazanov, S.M.; Abdulvakhidov, K.G.; Sobola, D. Size-dependent structural parameters, optical, and magnetic properties of facile synthesized pure-phase BiFeO3. J. Mater. Sci. Mater. Electron. 2021, 1–13. [Google Scholar] [CrossRef]
- Prabu, K.M.; Perumal, S. Micro Strain and Morphological Studies of Anatase and Rutile Phase TiO2 Nanocrystals Prepared via Sol-Gel and Solvothermal Method—A Comparative Study. IJSRSET 2015, 1, 299–304. [Google Scholar]
- Moghaddam, H.M.; Nasirian, S. Dependence of activation energy and lattice strain on TiO2 nanoparticles? Nanosci. Methods 2012, 1, 201–212. [Google Scholar] [CrossRef]
- Lv, Y.; Tong, H.; Cai, W.; Zhang, Z.; Chen, H.; Zhou, X. Boosting the efficiency of commercial available carbon-based perovskite solar cells using Zinc-doped TiO2 nanorod arrays as electron transport layer. J. Alloy. Compd. 2021, 851, 156785. [Google Scholar] [CrossRef]
- Wang, Y.; Zhang, R.; Li, J.; Li, L.; Lin, S. First-principles study on transition metal-doped anatase TiO2. Nanoscale Res. Lett. 2014, 9, 46. [Google Scholar] [CrossRef]
- Arunachalam, A.; Dhanapandian, S.; Manoharan, C.; Sivakumar, G. Physical properties of Zn doped TiO2 thin films with spray pyrolysis technique and its effects in antibacterial activity. Spectrochim. Acta-Part A Mol. Biomol. Spectrosc. 2015, 138, 105–112. [Google Scholar] [CrossRef] [PubMed]
- Aware, D.V.; Jadhav, S.S. Synthesis, characterization and photocatalytic applications of Zn-doped TiO2 nanoparticles by sol–gel method. Appl. Nanosci. 2016, 6, 965–972. [Google Scholar] [CrossRef]
- Deng, J.; Wang, M.; Fang, J.; Song, X.; Yang, Z.; Yuan, Z. Synthesis of Zn-doped TiO2 nano-particles using metal Ti and Zn as raw materials and application in quantum dot sensitized solar cells. J. Alloy. Compd. 2019, 791, 371–379. [Google Scholar] [CrossRef]
- Mehnane, H.F.; Wang, C.; Kondamareddy, K.K.; Yu, W.; Sun, W.; Liu, H.; Bai, S.; Liu, W.; Guo, S.; Zhao, X. Hydrothermal synthesis of TiO2 nanoparticles doped with trace amounts of strontium, and their solar cells: Tunable electrical properties & enhanced photo-conversion performance. RSC Adv. 2017, 2358–2364. [Google Scholar] [CrossRef]
- Madurai Ramakrishnan, V.; Muthukumarasamy, N.; Balraju, P.; Pitchaiya, S.; Velauthapillai, D.; Pugazhendhi, A. Transformation of TiO2 nanoparticles to nanotubes by simple solvothermal route and its performance as dye-sensitized solar cell (DSSC) photoanode. Int. J. Hydrogen Energy 2020, 45, 15441–15452. [Google Scholar] [CrossRef]
- Nguyen, C.H.; Fu, C.C.; Juang, R.S. Degradation of methylene blue and methyl orange by palladium-doped TiO2 photocatalysis for water reuse: Efficiency and degradation pathways. J. Clean. Prod. 2018, 202, 413–427. [Google Scholar] [CrossRef]
- Bhosale, R.R.; Pujari, S.R.; Muley, G.G.; Patil, S.H.; Patil, K.R.; Shaikh, M.F.; Gambhire, A.B. Solar photocatalytic degradation of methylene blue using doped TiO2 nanoparticles. Sol. Energy 2014, 103, 473–479. [Google Scholar] [CrossRef]
- Pirbazari, A.E.; Monazzam, P.; Kisomi, B.F. Co/TiO2 nanoparticles: Preparation, characterization and its application for photocatalytic degradation of methylene blue. Desalin. Water Treat. 2017, 63, 283–292. [Google Scholar] [CrossRef]
- Shahmoradi, B.; Negahdary, M.; Maleki, A. Hydrothermal synthesis of surface-modified, manganese-doped TiO2 nanoparticles for photodegradation of methylene blue. Environ. Eng. Sci. 2012, 29, 1032–1037. [Google Scholar] [CrossRef]
- Li, Z.; Shen, W.; He, W.; Zu, X. Effect of Fe-doped TiO2 nanoparticle derived from modified hydrothermal process on the photocatalytic degradation performance on methylene blue. J. Hazard. Mater. 2008, 155, 590–594. [Google Scholar] [CrossRef]
- Madurai Ramakrishnan, V.; Pitchaiya, S.; Muthukumarasamy, N.; Kvamme, K.; Rajesh, G.; Agilan, S.; Pugazhendhi, A.; Velauthapillai, D. Performance of TiO2 nanoparticles synthesized by microwave and solvothermal methods as photoanode in dye-sensitized solar cells (DSSC). Int. J. Hydrogen Energy 2020, 45, 27036–27046. [Google Scholar] [CrossRef]
- Pirashanthan, A.; Murugathas, T.; Robertson, N.; Ravirajan, P.; Velauthapillai, D. A Quarterthiophene-Based Dye as an Efficient Interface Modifier for Hybrid Titanium Dioxide/Poly(3-hexylthiophene)(P3HT) Solar Cells. Polymers 2019, 11, 1752. [Google Scholar] [CrossRef]
- Wijayarathna, T.R.C.K.; Aponsu, G.M.L.P.; Ariyasinghe, Y.P.Y.P.; Premalal, E.V.A.; Kumara, G.K.R.; Tennakone, K. A high efficiency indoline-sensitized solar cell based on a nanocrystalline TiO2surface doped with copper. Nanotechnology 2008, 19, 485703. [Google Scholar] [CrossRef] [PubMed]
- Shanmugaratnam, S.; Selvaratnam, B.; Baride, A.; Koodali, R. SnS2/TiO2 Nanocomposites for Hydrogen Production and Photodegradation Under Extended Solar Irradiation. Catalysts 2021, 11, 589. [Google Scholar] [CrossRef]







| Sample | mol% of Zn Dopant (from EDX Results) |
|---|---|
| Undoped TiO2 (a) | - |
| 0.5 mol% Zn-doped TiO2 (b) | 0.5 |
| 1.0 mol% Zn-doped TiO2 (c) | 0.8 |
| 1.5 mol% Zn-doped TiO2 (d) | 1.3 |
| 2.0 mol% Zn-doped TiO2 (e) | 1.7 |
| Zn (mol%) | JSC (mAcm−2) | VOC (V) | FF | η |
|---|---|---|---|---|
| 0.0 | 9.65 | 0.67 | 0.62 | 4.07 |
| 0.5 | 10.76 | 0.68 | 0.66 | 4.88 |
| 1.0 | 11.64 | 0.70 | 0.69 | 5.67 |
| 1.5 | 9.15 | 0.70 | 0.68 | 4.37 |
| 2.0 | 8.13 | 0.71 | 0.66 | 3.84 |
| Zn (mol%) | R-Square Value | Overall Rate Constant (K) |
|---|---|---|
| 0.0 | 0.9035 | |
| 0.5 | 0.9207 | |
| 1.0 | 0.9812 | |
| 1.5 | 0.8764 | |
| 2.0 | 0.9749 |
| Material | C0 (mg L−1) | Irradiation Time (min) | Catalyst Dose (g L−1) | Light Source | Degradation Efficiency (%) | Synthesis Method | Ref. |
|---|---|---|---|---|---|---|---|
| Pd/TiO2 | 20 | 120 | 1.0 | UV, 100W | 99.40 | Sol-gel method | [41] |
| Ni/Cr co doped TiO2 | 5 | 90 | 2.0 | Sunlight | 95.60 | Hydrothermal method | [5] |
| Doped TiO2 C-TiO2 Fe-TiO2 N-TiO2 Zn-TiO2 Sb-TiO2 Sr-TiO2 Ce-TiO2 S-TiO2 P-TiO2 B-TiO2 | 30 | 60 | 0.4 | Sunlight | - 93.00–95.00 90.00 90.00 75.00–80.00 75.00–80.00 75.00–80.00 75.00–80.00 75.00–80.00 75.00–80.00 75.00–80.00 | Sol-gel method | [42] |
| Co/TiO2 | 10 | 150 | 0.1 | UV Visible | 80.00 62.00 | Sol-gel method | [43] |
| Mn/TiO2 | 180 | 1.0 | Sunlight UV | 96.90 76.35 | Hydrothermal method | [44] | |
| Fe/TiO2 | 100 | 65 | 0.5 | 300 W mercury vapor lamp (365 nm) | 72.20 | Hydrothermal method | [45] |
| Zn/TiO2 | 10 | 180 | 0.5 | Sunlight | 99.15 | Solvothermal method | This work |
Publisher’s Note: MDPI stays neutral with regard to jurisdictional claims in published maps and institutional affiliations. |
© 2021 by the authors. Licensee MDPI, Basel, Switzerland. This article is an open access article distributed under the terms and conditions of the Creative Commons Attribution (CC BY) license (https://creativecommons.org/licenses/by/4.0/).
Share and Cite
Rajaramanan, T.; Shanmugaratnam, S.; Gurunanthanan, V.; Yohi, S.; Velauthapillai, D.; Ravirajan, P.; Senthilnanthanan, M. Cost Effective Solvothermal Method to Synthesize Zn-Doped TiO2 Nanomaterials for Photovoltaic and Photocatalytic Degradation Applications. Catalysts 2021, 11, 690. https://doi.org/10.3390/catal11060690
Rajaramanan T, Shanmugaratnam S, Gurunanthanan V, Yohi S, Velauthapillai D, Ravirajan P, Senthilnanthanan M. Cost Effective Solvothermal Method to Synthesize Zn-Doped TiO2 Nanomaterials for Photovoltaic and Photocatalytic Degradation Applications. Catalysts. 2021; 11(6):690. https://doi.org/10.3390/catal11060690
Chicago/Turabian StyleRajaramanan, Tharmakularasa, Sivagowri Shanmugaratnam, Vijayakumar Gurunanthanan, Shivatharsiny Yohi, Dhayalan Velauthapillai, Punniamoorthy Ravirajan, and Meena Senthilnanthanan. 2021. "Cost Effective Solvothermal Method to Synthesize Zn-Doped TiO2 Nanomaterials for Photovoltaic and Photocatalytic Degradation Applications" Catalysts 11, no. 6: 690. https://doi.org/10.3390/catal11060690
APA StyleRajaramanan, T., Shanmugaratnam, S., Gurunanthanan, V., Yohi, S., Velauthapillai, D., Ravirajan, P., & Senthilnanthanan, M. (2021). Cost Effective Solvothermal Method to Synthesize Zn-Doped TiO2 Nanomaterials for Photovoltaic and Photocatalytic Degradation Applications. Catalysts, 11(6), 690. https://doi.org/10.3390/catal11060690

