Modification of the Acyl Chloride Quench-Labeling Method for Counting Active Sites in Catalytic Olefin Polymerization
Abstract
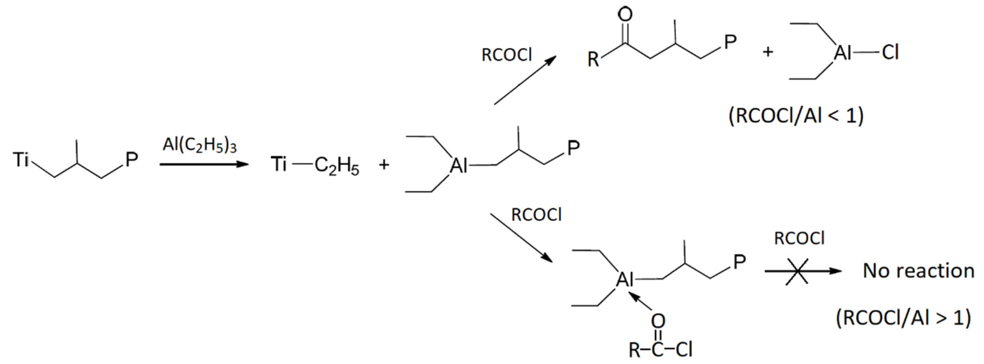
1. Introduction
2. Results and Discussion
3. Materials and Methods
4. Conclusions
Author Contributions
Funding
Conflicts of Interest
References
- Tuttle, R.R.; Folkman, S.J.; Rubin, H.N.; Finke, R.G.; Reynolds, M.M. Copper metal-organic framework surface catalysis: Catalyst poisoning, IR spectroscopic, and kinetic evidence addressing the nature and number of the catalytically active sites en route to improved applications. ACS Appl. Mater. Inter. 2020, 12, 39043–39055. [Google Scholar] [CrossRef] [PubMed]
- Razdan, N.K.; Bhan, A. Carbidic Mo is the sole kinetically-relevant active site for catalytic methane dehydroaromatization on Mo/H-ZSM-5. J. Catal. 2020, 389, 667–676. [Google Scholar] [CrossRef]
- Kondrat, S.A.; van Bokhoven, J.A. A perspective on counting catalytic active sites and rates of reaction using X-Ray spectroscopy. Top. Catal. 2019, 62, 1218–1227. [Google Scholar] [CrossRef]
- Desert, X.; Carpentier, J.-F.; Kirillov, E. Quantification of active sites in single-site group 4 metal olefin polymerization catalysis. Coord. Chem. Rev. 2019, 386, 50–68. [Google Scholar] [CrossRef]
- Damaskinos, C.M.; Vasiliades, M.A.; Stathopoulos, V.N.; Efstathiou, A.M. The effect of CeO2 preparation method on the carbon pathways in the dry reforming of methane on Ni/CeO2 studied by transient techniques. Catalysts 2019, 9, 621. [Google Scholar] [CrossRef]
- Egbert, J.D.; Lopez-Ruiz, J.A.; Prodinger, S.; Holladay, J.D.; Mans, D.M.; Wade, C.E.; Weber, R.S. Counting surface redox sites in carbon-supported electrocatalysts by cathodic stripping of O deposited from N2O. J. Catal. 2018, 365, 405–410. [Google Scholar] [CrossRef]
- Cipullo, R.; Mellino, S.; Busico, V. Identification and count of the active sites in olefin polymerization catalysis by oxygen quench. Macromol. Chem. Phys. 2014, 215, 1728–1734. [Google Scholar] [CrossRef]
- Natta, G.; Pasquon, I. The kinetics of the stereospecific polymerization of alpha-olefins. Adv. Catal. 1959, 11, 1–66. [Google Scholar]
- Chumaevskii, N.B.; Zakharov, V.A.; Bukatov, G.D.; Kuznetzova, G.I.; Yermakov, Y.I. Study of mechanism of propagation and transfer-reactions in polymerization of olefins by Ziegler-Natta catalysts, 1 Determination of number of propagation centers and rate constant. Makromol. Chem. Macromol. Chem. Phys. 1976, 177, 747–761. [Google Scholar] [CrossRef]
- Chien, J.C.W. Kinetics of ethylene polymerization catalyzed by bis-(cyclopentadienyl)-titanium dichloride dimethylaluminum chloride. J. Am. Chem. Soc. 1959, 81, 86–92. [Google Scholar] [CrossRef]
- Chien, J.C.W.; Tsai, W.M. Zirconocenium cation catalysis of propene polymerization. Makromol. Chem. Macromol. Symp. 1993, 66, 141–156. [Google Scholar] [CrossRef]
- Feldman, C.F.; Perry, E. Active centers in the polymerization of ethylene using titanium tetrachloride-alkylaluminum catalysts. J. Polym. Sci. 1960, 46, 217–231. [Google Scholar] [CrossRef]
- Mejzlik, J.; Lesna, M.; Kratochvila, J. Determination of the number of active centers in Ziegler-Natta polymerizations of olefins. Adv. Polym. Sci. 1987, 81, 83–120. [Google Scholar]
- Vozka, P.; Mejzlík, J. Determination of the number of active-centers in Ziegler-Natta polymerization of propene using sulfur-containing terminating agents, 1 Application of carbon-disulfide. Makromol. Chem. 1989, 190, 1489–1499. [Google Scholar] [CrossRef]
- Marques, M.M.; Tait, P.J.T.; Mejzlik, J.; Dias, A.R. Polymerization of ethylene using high-activity Ziegler-type catalysts: Active center determination. J. Polym. Sci. Part A Polym. Chem. 1998, 36, 573–585. [Google Scholar] [CrossRef]
- Liu, Z.X.; Somsook, E.; Landis, C.R. A 2H-labeling scheme for active-site counts in metallocene-catalyzed alkene polymerization. J. Am. Chem. Soc. 2001, 123, 2915–2916. [Google Scholar] [CrossRef]
- Nelsen, D.L.; Anding, B.J.; Sawicki, J.L.; Christianson, M.D.; Arriola, D.J.; Landis, C.R. Chromophore quench-labeling: An approach to quantifying catalyst speciation as demonstrated for (EBI)ZrMe2/B(C6F5)3-catalyzed polymerization of 1-hexene. ACS Catal. 2016, 6, 7398–7408. [Google Scholar] [CrossRef]
- Cueny, E.S.; Johnson, H.C.; Anding, B.J.; Landis, C.R. Mechanistic studies of hafnium-pyridyl amido-catalyzed 1-octene polymerization and chain transfer using quench-labeling methods. J. Am. Chem. Soc. 2017, 139, 11903–11912. [Google Scholar] [CrossRef]
- Fan, Z.Q.; Feng, L.X.; Yang, S.L. Study on the mechanism of 1-octene Ziegler-Natta polymerization based on the number of active centers. Chin. J. Polym. Sci. 1991, 9, 113–119. [Google Scholar]
- Fan, Z.Q.; Feng, L.X.; Yang, S.L. Distribution of active centers on TiCl4/MgCl2 catalyst for olefin polymerization. J. Polym. Sci. Part A Polym. Chem. 1996, 34, 3329–3335. [Google Scholar] [CrossRef]
- Zhang, L.T.; Fu, Z.S.; Fan, Z.Q. A new method of active center determination for olefin polymerization with supported Ziegler-Natta catalysts. Macromol. Res. 2010, 18, 695–700. [Google Scholar] [CrossRef]
- Shen, X.R.; Hu, J.; Fu, Z.S.; Lou, J.Q.; Fan, Z.Q. Counting the number of active centers in MgCl2-supported Ziegler-Natta catalysts by quenching with 2-thiophenecarbonyl chloride and study on the initial kinetics of propylene polymerization. Catal. Commun. 2013, 30, 66–69. [Google Scholar] [CrossRef]
- Yu, Y.; Cipullo, R.; Boisson, C. Alkynyl ether labeling: A selective and efficient approach to count active sites of olefin polymerization catalysts. ACS Catal. 2019, 9, 3098–3103. [Google Scholar] [CrossRef]
- Yang, P.J.; Zhong, W.T.; Jiang, B.Y.; Zhang, B.; Fu, Z.S.; Fan, Z.Q. Determination and tracing of active and dormant propagation chains in 1-hexene polymerization with supported Ziegler-Natta catalyst. Appl. Catal. A Gen. 2020, 595, 117469. [Google Scholar] [CrossRef]
- Adkins’, H.; Scanle, C. Ketones from acyl chlorides and alkyl aluminum chlorides: A selective keto-ester synthesis. J. Am. Chem. Soc. 1951, 73, 2854–2856. [Google Scholar] [CrossRef]
- Spielmann, W.; Schaeffer, G. Process for the Manufacture of Ketones. U.S. Patent US4,266,066A, 5 May 1985. [Google Scholar]
- Shen, X.R.; Fu, Z.S.; Hu, J.; Wang, Q.; Fan, Z.Q. Mechanism of propylene polymerization with MgCl2-supported Ziegler–Natta catalysts based on counting of active centers: The role of external electron donor. J. Phys. Chem. C 2013, 117, 15174–15182. [Google Scholar] [CrossRef]
- Guo, Y.T.; Zhang, Z.; Guo, W.Q.; Khan, A.; Fu, Z.S.; Xu, J.T.; Fan, Z.Q. Kinetics and mechanism of metallocene catalyzed olefin polymerization: Comparison of ethylene, propylene homopolymerizations and their copolymerization. J. Polym. Sci. Part A Polym. Chem. 2017, 55, 867–875. [Google Scholar] [CrossRef]
- Jiang, B.Y.; Liu, X.Y.; Weng, Y.H.; Fu, Z.S.; He, A.H.; Fan, Z.Q. Mechanistic study on comonomer effect in ethylene/1-hexene copolymerization with TiCl4/MgCl2 model Ziegler-Natta catalysts. J. Catal. 2019, 369, 324–334. [Google Scholar] [CrossRef]
- Zhang, B.; Qian, Q.Y.; Yang, P.J.; Jiang, B.Y.; Fu, Z.S.; Fan, Z.Q. Responses of supported Ziegler-Natta catalyst to comonomer feed ratio in ethylene-propylene copolymerization: Differentiation of active centers with different catalytic features. Ind. Eng. Chem. Res. 2021, 60, 4575–4588. [Google Scholar] [CrossRef]
- Vittoria, A.; Meppelder, A.; Friederichs, N.; Busico, V.; Cipullo, R. Demystifying Ziegler–Natta catalysts: The origin of stereoselectivity. ACS Catal. 2017, 7, 4509–4518. [Google Scholar] [CrossRef]






| Run | Yield (g/g Catalyst) | Activity (kg/g Ti·h) | THF/TEA (a) (mol/mol) | TPCC/TEA (a) (mol/mol) | [S]/[Ti] (mol%) |
|---|---|---|---|---|---|
| M-1 | 7.31 | 8.13 | 0 | 1.2 | 3.22 |
| M-2 | 7.13 | 7.92 | 0 | 1.6 | 2.98 |
| M-3 | 7.68 | 8.53 | 0 | 3.0 | 3.20 |
| M-4 | 7.06 | 7.85 | 0 | 4.0 | 3.18 |
| M-5 | 7.58 | 8.43 | 1 | 0.1 | 2.79 |
| M-6 | 7.65 | 8.50 | 1 | 0.4 | 2.41 |
| M-7 | 7.33 | 8.14 | 1 | 0.7 | 3.20 |
| M-8 | 7.52 | 8.35 | 1 | 1.0 | 3.19 |
| M-9 | 7.40 | 8.22 | 3 | 0.1 | 1.88 |
| M-10 | 7.80 | 8.67 | 3 | 0.4 | 1.95 |
| M-11 | 7.68 | 8.53 | 3 | 0.7 | 2.05 |
| M-12 | 7.73 | 8.59 | 3 | 1.0 | 2.32 |
| M-13 | 8.42 | 9.36 | 5 | 0.1 | 1.81 |
| M-14 | 8.60 | 9.55 | 5 | 0.4 | 1.47 |
| M-15 | 8.53 | 9.48 | 5 | 0.7 | 1.83 |
| M-16 | 8.34 | 9.26 | 5 | 1.0 | 2.10 |
| Run | Yield (g/g Catalyst) | Activity (kg/gTi·h) | THF/TEA (a) (mol/mol) | TPCC/TEA (mol/mol) | [S]/[Ti] (mol%) |
|---|---|---|---|---|---|
| S-1 | 8.37 | 9.30 | 1 | 0.1 | 0.60 |
| S-2 | 8.11 | 9.02 | 1 | 0.4 | 0.63 |
| S-3 | 8.19 | 9.10 | 1 | 0.7 | 1.08 |
| S-4 | 7.14 | 7.94 | 1 | 1.0 | 1.08 |
| S-5 | 7.25 | 8.06 | 3 | 0.1 | 0.46 |
| S-6 | 7.79 | 8.65 | 3 | 0.4 | 0.61 |
| S-7 | 7.89 | 8.76 | 3 | 0.7 | 0.95 |
| S-8 | 7.76 | 8.62 | 3 | 1.0 | 1.47 |
| Sample | Activity (kg/gTi·h) | THF/TEA (mol/mol) | TPCC/TEA (mol/mol) | C7-ins (a) (wt%) | ([S]/[Ti]) (b) (mol%) | ([S]/[Ti])ins (c) (mol%) | [S]ins/[S] (mol/mol) |
|---|---|---|---|---|---|---|---|
| M-3 | 8.53 | 0 | 0 | 87.1 | 3.20 | 1.73 | 0.54 |
| M-5 | 8.43 | 1 | 0.1 | 88.7 | 2.79 | 1.72 | 0.62 |
| M-7 | 8.14 | 1 | 0.7 | 86.5 | 3.20 | 2.06 | 0.64 |
| M-11 | 8.53 | 3 | 0.7 | 89.2 | 2.05 | 0.88 | 0.43 |
| S-6 | 8.65 | 3 (d) | 0.4 | 90.2 | 0.61 | 0.19 | 0.31 |
Publisher’s Note: MDPI stays neutral with regard to jurisdictional claims in published maps and institutional affiliations. |
© 2021 by the authors. Licensee MDPI, Basel, Switzerland. This article is an open access article distributed under the terms and conditions of the Creative Commons Attribution (CC BY) license (https://creativecommons.org/licenses/by/4.0/).
Share and Cite
Yang, H.; Zhang, B.; Zhong, W.; Fu, Z.; Fan, Z. Modification of the Acyl Chloride Quench-Labeling Method for Counting Active Sites in Catalytic Olefin Polymerization. Catalysts 2021, 11, 683. https://doi.org/10.3390/catal11060683
Yang H, Zhang B, Zhong W, Fu Z, Fan Z. Modification of the Acyl Chloride Quench-Labeling Method for Counting Active Sites in Catalytic Olefin Polymerization. Catalysts. 2021; 11(6):683. https://doi.org/10.3390/catal11060683
Chicago/Turabian StyleYang, Haoyang, Biao Zhang, Wentao Zhong, Zhisheng Fu, and Zhiqiang Fan. 2021. "Modification of the Acyl Chloride Quench-Labeling Method for Counting Active Sites in Catalytic Olefin Polymerization" Catalysts 11, no. 6: 683. https://doi.org/10.3390/catal11060683
APA StyleYang, H., Zhang, B., Zhong, W., Fu, Z., & Fan, Z. (2021). Modification of the Acyl Chloride Quench-Labeling Method for Counting Active Sites in Catalytic Olefin Polymerization. Catalysts, 11(6), 683. https://doi.org/10.3390/catal11060683

