Modified Layered Silicas as Catalysts for Conversion of Nitrogen Pollutants in Flue Gases—A Review
Abstract
1. Introduction
1.1. Cationic Layered Clay Minerals and Their Modifications
1.2. Pillared Interlayered Clays (PILCs)
1.3. Porous Clay Heterostructures (PCHs)
2. Layered Zeolites and Their Modifications
3. Selective Catalytic Reduction of NOx with Ammonia (NH3-SCR)
3.1. Catalysts Based on Modified Layered Clay Minerals
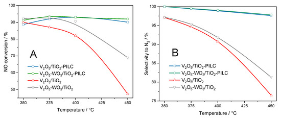
3.1.1. Pillared Interlayered Clays—PILCs
3.1.2. Porous Clay Heterostructures-PCHs
3.2. Catalysts Based on Layered Zeolites
4. Selective Catalytic Oxidation of Ammonia (NH3-SCO)
5. Conclusions and Predictions
Author Contributions
Funding
Conflicts of Interest
References
- Chmielarz, L.; Wojciechowska, M.; Rutkowska, M.; Adamski, A.; Węgrzyn, A.; Kowalczyk, A.; Dudek, B.; Boroń, P.; Michalik, M.; Matusiewicz, A. Acid-activated vermiculites as catalysts of the DeNOx process. Catal. Today 2012, 191, 25–31. [Google Scholar] [CrossRef]
- Chmielarz, L.; Rutkowska, M.; Kowalczyk, A. Advances in Functionalization of Inorganic Porous Materials for Environmental Catal. Adv. Inorg. Chem. 2018, 72, 323–383. [Google Scholar] [CrossRef]
- Huang, Q.; Zuo, S.; Zhou, R. Catalytic performance of pillared interlayered clays (PILCs) supported CrCe catalysts for deep oxidation of nitrogen-containing VOCs. Appl. Catal. B Environ. 2010, 95, 327–334. [Google Scholar] [CrossRef]
- Moma, J.; Baloyi, J.; Ntho, T. Synthesis and characterization of an efficient and stable Al/Fe pillared clay catalyst for the catalytic wet air oxidation of phenol. RSC Adv. 2018, 8, 30115–30124. [Google Scholar] [CrossRef]
- Roth, W.; Nachtigall, P.; Morris, R.E.; Čejka, J. Two-Dimensional Zeolites: Current Status and Perspectives. Chem. Rev. 2014, 114, 4807–4837. [Google Scholar] [CrossRef]
- Radko, M.; Rutkowska, M.; Kowalczyk, A.; Mikrut, P.; Święs, A.; Díaz, U.; Palomares, A.E.; Macyk, W.; Chmielarz, L. Catalytic oxidation of organic sulfides by H2O2 in the presence of titanosilicate zeolites. Microporous Mesoporous Mater. 2020, 302, 110219. [Google Scholar] [CrossRef]
- Święs, A.; Kowalczyk, A.; Rutkowska, M.; Díaz, U.; Palomares, A.E.; Chmielarz, L. Ferrierite and Its Delaminated and Silica-Intercalated Forms Modified with Copper as Effective Catalysts for NH3-SCR Process. Catalysts 2020, 10, 734. [Google Scholar] [CrossRef]
- Chmielarz, L.; Jabłońska, M. Advances in selective catalytic oxidation of ammonia to dinitrogen: A review. RSC Adv. 2015, 5, 43408–43431. [Google Scholar] [CrossRef]
- Święs, A.; Rutkowska, M.; Kowalczyk, A.; Díaz, U.; Palomares, A.E.; Chmielarz, L. Ferrierite and Its Delaminated Forms Modified with Copper as Effective Catalysts for NH3-SCO Process. Materials 2020, 13, 4885. [Google Scholar] [CrossRef]
- Korzeniowska, A.; Grzybek, J.; Roth, W.J.; Kowalczyk, A.; Michorczyk, P.; Čejka, J.; Přech, J.; Gil, B. Incorporation of Ti as a Pyramidal Framework Site in the Mono-Layered MCM-56 Zeolite and its Oxidation Activity. ChemCatChem 2019, 11, 520–527. [Google Scholar] [CrossRef]
- Chmielarz, L.; Kowalczyk, A. Synthesis and Characterization. In Comprehensive Guide for Mesoporous Materials; Aliofkhazraei, M., Ed.; Nova Science Publishers Inc.: New York, NY, USA, 2015; pp. 27–54. [Google Scholar]
- Chmielarz, L.; Kuśtrowski, P.; Zbroja, M.; Łasocha, W.; Dziembaj, R. Selective reduction of NO with NH3 over pillared clays modified with transition metals. Catal. Today 2004, 90, 43–49. [Google Scholar] [CrossRef]
- Chmielarz, L.; Gil, B.; Kuśtrowski, P.; Piwowarska, Z.; Dudek, B.; Michalik, M. Montmorillonite-based porous clay heterostructures (PCHs) intercalated with silica–titania pillars-synthesis and characterization. J. Solid State Chem. 2009, 182, 1094–1104. [Google Scholar] [CrossRef]
- Chmielarz, L.; Kowalczyk, A.; Wojciechowska, M.; Boroń, P.; Dudek, B.; Michalik, M. Montmorillonite Intercalated with SiO2, SiO2-Al2O3 or SiO2-TiO2 Pillars by Surfactant-Directed Method as Catalytic Supports for DeNOx Process. Chem. Pap. 2014, 68, 1219–1227. [Google Scholar] [CrossRef]
- Chmielarz, L.; Piwowarska, Z.; Kuśtrowski, P.; Gil, B.; Adamski, A.; Dudek, B.; Michalik, M. Porous clay heterostructures (PCHs) intercalated with silica-titania pillars and modified with transition metals as catalysts for the DeNOx process. Appl. Catal. B 2009, 91, 449–459. [Google Scholar] [CrossRef]
- Burch, R. Introduction. Catal. Today 1988, 2, 185–186. [Google Scholar] [CrossRef]
- Vaccari, A. Clays and catalysis: A promising future. Appl. Clay Sci. 1999, 14, 161–198. [Google Scholar] [CrossRef]
- Chmielarz, L.; Dziembaj, R.; Grzybek, T.; Klinik, J.; Łojewski, T.; Olszewska, D.; Papp, H. Pillared smectite modified with carbon and manganese as catalyst for SCR of NOx with NH3. Part I. General characterization and catalyst screening. Catal. Lett. 2000, 68, 95–100. [Google Scholar] [CrossRef]
- Chmielarz, L.; Dziembaj, R.; Grzybek, T.; Klinik, J.; Łojewski, T.; Olszewska, D.; Węgrzyn, A. Pillared smectite modified with carbon and manganese as catalyst for SCR of NOx with NH3. Part II. Temperature-programmed studies. Catal. Lett. 2000, 70, 51–56. [Google Scholar] [CrossRef]
- Chmielarz, L.; Kuśtrowski, P.; Zbroja, M.; Rafalska-Łasocha, A.; Dudek, B.; Dziembaj, R. SCR of NO by NH3 on alumina or titania-pillared montmorillonite various modified with Cu or Co: Part I. General characterization and catalysts screening. Appl. Catal. B 2003, 45, 103–116. [Google Scholar] [CrossRef]
- Chmielarz, L.; Kowalczyk, A.; Skoczek, M.; Rutkowska, M.; Gil, B.; Natkański, P.; Radko, M.; Motak, M.; Dębek, R.; Ryczkowski, J. Porous clay heterostructures intercalated with multicomponent pillars as catalysts for dehydration of alcohols. Appl. Clay. Sci. 2018, 160, 116–125. [Google Scholar] [CrossRef]
- Del Rey-Perez-Caballero, F.J.; Poncelet, G. Preparation and characterization of microporous 18 Å Al-pillared structures from natural phlogopite micas. Microporous Mesoporous Mater. 2000, 41, 169–181. [Google Scholar] [CrossRef]
- Del Rey-Perez-Caballero, F.J.; Poncelet, G. Microporous 18 Å Al-pillared vermiculites: Preparation and characterization. Microporous Mesoporous Mater. 2000, 37, 313–327. [Google Scholar] [CrossRef]
- Kresge, C.T.; Leonowicz, M.E.; Roth, W.J.; Vartuli, J.C.; Beck, J.S. Ordered mesoporous molecular sieves synthesized by a liquid-crystal template mechanism. Nature 1992, 359, 710–712. [Google Scholar] [CrossRef]
- Meynen, V.; Cool, P.; Vansant, E.F. Verified syntheses of mesoporous materials. Microporous Mesoporous Mater. 2009, 125, 170–223. [Google Scholar] [CrossRef]
- Linssen, T.; Cassiers, K.; Cool, P.; Vansant, E.F. Mesoporous template silicates: An overview of their synthesis, catalytic activation, and evaluation of their stability. Adv. Colloid Interface Sci. 2003, 103, 121–147. [Google Scholar] [CrossRef]
- Galarneau, A.; Barodawalla, A.; Pinnavaia, T.J. Porous clay heterostructures formed by gallery-templated synthesis. Nature 1995, 374, 529–531. [Google Scholar] [CrossRef]
- Chmielarz, L.; Piwowarska, Z.; Kuśtrowski, P.; Węgrzyn, A.; Gil, B.; Kowalczyk, A.; Dudek, B.; Dziembaj, R.; Michalik, M. Comparison Study of Titania Pillared Interlayered Clays and Porous Clay Heterostructures Modified with Copper and Iron as Catalysts of the DeNOx Process. Appl. Clay Sci. 2011, 53, 164–173. [Google Scholar] [CrossRef]
- Kooli, F.; Liu, Y.; Hbaieb, K.; Al-Fazea, R. Characterization and catalytic properties of porous clay heterostructures from zirconium intercalated clay and its pillared derivatives. Microporous Mesoporous Mater. 2016, 226, 482–492. [Google Scholar] [CrossRef]
- Chmielarz, L.; Kuśtrowski, P.; Piwowarska, Z.; Dudek, B.; Gil, B.; Michalik, M. Montmorillonite, vermiculite and saponite based porous clay heterostructures modified with transition metals as catalysts for the DeNOx process. Appl. Catal. B 2009, 88, 331–340. [Google Scholar] [CrossRef]
- McCusker, L.B.; Baerlocher, C. Zeolite Structures. Stud. Surf. Sci. Catal. 2005, 157, 41–64. [Google Scholar] [CrossRef]
- Bellussi, G.; Carati, A.; Rizzo, C.; Millini, R. New trends in the synthesis of crystalline microporous materials. Catal. Sci. Technol. 2013, 3, 833–857. [Google Scholar] [CrossRef]
- Boroń, P.; Rutkowska, M.; Gil, B.; Marszałek, B.; Chmielarz, L.; Dzwigaj, S. Experimental Evidence of the Mechanism of Selective Catalytic Reduction of NO with NH3 over Fe-Containing BEA Zeolites. ChemSusChem 2019, 12, 692–705. [Google Scholar] [CrossRef] [PubMed]
- Święs, A.; Kowalczyk, A.; Michalik, M.; Diaz, U.; Palomares, A.E.; Chmielarz, L. Titanium-silicon ferrierites and their delaminated forms modified with copper as effective catalysts for low-temperature NH3-SCR. RSC Adv. 2021, 11, 10847–10859. [Google Scholar] [CrossRef]
- Čejka, J.; Wichterlova, B. Acid-catalyzed synthesis of mono-and dialkyl benzenes over zeolites: Active sites, zeolite topology, and reaction mechanisms. Catal. Rev. 2002, 44, 375–421. [Google Scholar] [CrossRef]
- Perego, C.; Ingallina, P. Combining alkylation and transalkylation for alkylaromatic production. Green Chem. 2004, 6, 274–279. [Google Scholar] [CrossRef]
- Zones, S.I. Translating new materials discoveries in zeolite research to commercial manufacture. Microporous Mesoporous Mater. 2011, 144, 1–8. [Google Scholar] [CrossRef]
- Shi, J.; Wang, Y.; Yang, W.; Tang, Y.; Xie, Z. Recent advances of pore system construction in zeolite-catalyzed chemical industry processes. Chem. Soc. Rev. 2015, 44, 8877–8903. [Google Scholar] [CrossRef]
- Beale, A.M.; Gao, F.; Lezcano-Gonzalez, I.; Pedenc, C.H.F.; Szanyic, J. Recent advances in automotive catalysis for NOx emission control by small-pore microporous materials. Chem. Soc. Rev. 2015, 44, 7371–7405. [Google Scholar] [CrossRef]
- Perez-Ramirez, J.; Christensen, C.H.; Egeblad, K.; Christensen, C.H.; Groen, J.C. Hierarchical zeolites: Enhanced utilisation of microporous crystals in catalysis by advances in materials design. Chem. Soc. Rev. 2008, 37, 2530–2542. [Google Scholar] [CrossRef]
- Smith, J.V. Topochemistry of zeolites and related materials. 1. Topology and geometry. Chem. Rev. 1988, 88, 149–182. [Google Scholar] [CrossRef]
- Kim, S.-Y.; Jang, S.-Y.; Ahn, W.-S. Structural Evolution of B-MCM-36 and B-ITQ-2 from B-MCM-22. Bull. Korean Chem. Soc. 2006, 27, 1693–1696. [Google Scholar] [CrossRef][Green Version]
- Díaz, U.; Fornés, V.; Corma, A. On the mechanism of zeolite growing: Crystallization by seeding with delayered zeolites. Microporous Mesoporous Mater. 2006, 90, 73–80. [Google Scholar] [CrossRef]
- Ramos, F.S.O.; de Pietre, M.K.; Pastore, H.O. Lamellar zeolites: An oxymoron? RSC Adv. 2013, 3, 2084–2111. [Google Scholar] [CrossRef]
- Corma, A.; Fornes, V.; Martınez-Triguero, J.; Pergher, S.B. Delaminated Zeolites: Combining the Benefits of Zeolites and Mesoporous Materials for Catalytic Uses. J. Catal. 1999, 186, 57–63. [Google Scholar] [CrossRef]
- Cohn, J.G.E.; Steele, D.R.; Andersen, H.C. Method of Selectively Removing Oxides of Nitrogen from Oxygen-Containing Gases. U.S. Patent US2975025A, 14 March 1961. [Google Scholar]
- Surhone, L.M.; Timpledon, M.T.; Marseken, S.F. Selective Catalytic Reduction; Betascript Publishing: Beau Bassin, Mauritius, 2010. [Google Scholar]
- Vomiero, A.; Mea, G.D.; Ferroni, M.; Martinelli, G.; Roncarati, G.; Guidi, V.; Comini, E.; Sberveglieri, G. Preparation and microstructural characterization of nanosized Mo-TiO2 and Mo-W-O thin films by sputtering: Tailoring of composition and porosity by thermal treatment. Mater. Sci. Eng. B 2003, 101, 216–221. [Google Scholar] [CrossRef]
- Long, R.Q.; Yang, R.T. Selective catalytic reduction of NO with ammonia over V2O5 doped TiO2 pillared clay catalysts. Appl. Catal. B 2000, 24, 13–21. [Google Scholar] [CrossRef]
- Arfaoui, J.; Khalfallah Boudali, L.; Ghorbel, A.; Delahay, G. Influence of the nature of titanium source and of vanadia content on the properties of titanium-pillared montmorillonite. J. Phys. Chem. Solids 2008, 69, 1121–1124. [Google Scholar] [CrossRef]
- Khodayari, R.; Odenbrand, C.U.I. Regeneration of commercial TiO2-V2O5-WO3 SCR catalysts used in bio fuel plants. Appl. Catal. B 2001, 30, 87–99. [Google Scholar] [CrossRef]
- Khodayari, R.; Odenbrand, C.U.I. Regeneration of commercial SCR catalysts by washing and sulphation: Effect of sulphate groups on the activity. Appl. Catal. B 2001, 33, 277–291. [Google Scholar] [CrossRef]
- Khalfallah Boudali, L.; Ghorbel, A.; Grange, P. SCR of NO by NH3 over V2O5 supported sulfated Ti-pillared clay: Reactivity and reducibility of catalysts. Appl. Catal. A 2006, 305, 7–14. [Google Scholar] [CrossRef]
- Khalfallah Boudali, L.; Ghorbel, A.; Grange, P. Characterization and reactivity of WO3-V2O5 supported on sulphated titanium pillared clay catalysts for the SCR-NO reaction. C. R. Chim. 2009, 12, 779–786. [Google Scholar] [CrossRef]
- Khalfallah Boudali, L.; Ghorbel, A.; Grange, P.; Figueras, F. Selective catalytic reduction of NO with ammonia over V2O5 supported sulfated titanium-pillared clay catalysts: Influence of V2O5 content. Appl. Catal. B 2005, 59, 105–111. [Google Scholar] [CrossRef]
- Zhu, J.; Wen, K.; Wang, Y.; Ma, L.; Su, X.; Zhu, R.; Xi, Y.; He, H. Superior thermal stability of Keggin-Al30 pillared montmorillonite: A comparative study with Keggin-Al13 pillared montmorillonite. Microporous Mesoporous Mater. 2018, 265, 104–111. [Google Scholar] [CrossRef]
- Chae, H.J.; Nam, I.-S.; Ham, S.-W.; Hong, S.B. Characteristics of vanadia on the surface of V2O5/Ti-PILC catalyst for the reduction of NOx by NH3. Appl. Catal. B 2004, 53, 117–126. [Google Scholar] [CrossRef]
- Long, R.Q.; Yang, R.T. Selective Catalytic Reduction of Nitrogen Oxides by Ammonia over Fe3+-Exchanged TiO2-Pillared Clay Catalysts. J. Catal. 1999, 186, 254–268. [Google Scholar] [CrossRef]
- Long, R.Q.; Chang, M.T.; Yang, R.T. Enhancement of activities by sulfation on Fe-exchanged TiO2-pillared clay for selective catalytic reduction of NO by ammonia. Appl. Catal. B 2001, 33, 97–107. [Google Scholar] [CrossRef]
- Long, R.Q.; Yang, R.T. FTIR and Kinetic Studies of the Mechanism of Fe3+-Exchanged TiO2-Pillared Clay Catalyst for Selective Catalytic Reduction of NO with Ammonia. J. Catal. 2000, 190, 22–31. [Google Scholar] [CrossRef]
- Jankowska, A.; Kowalczyk, A.; Rutkowska, M.; Mozgawa, W.; Gil, B.; Chmielarz, L. Silica and silica–titania intercalated MCM-36 modified with iron as catalysts for selective reduction of nitrogen oxides—The role of associated reactions. Catal. Sci. Technol. 2020, 10, 7940–7954. [Google Scholar] [CrossRef]
- Gao, F. Fe-Exchanged Small-Pore Zeolites as Ammonia Selective Catalytic Reduction (NH3-SCR) Catalysts. Catalysts 2020, 10, 1324. [Google Scholar] [CrossRef]
- Cheng, L.S.; Yang, R.T.; Cheny, N. Iron Oxide and Chromia Supported on Titania-Pillared Clay for Selective Catalytic Reduction of Nitric Oxide with Ammonia. J. Catal. 1996, 164, 70–81. [Google Scholar] [CrossRef]
- Long, R.Q.; Yang, R.T. The promoting role of rare earth oxides on Fe-exchanged TiO2-pillared clay for selective catalytic reduction of nitric oxide by ammonia. Appl. Catal. 2000, 27, 87–95. [Google Scholar] [CrossRef]
- Chmielarz, L.; Kuśtrowski, P.; Michalik, M.; Dudek, B.; Czajka, M.; Dziembaj, R. Phlogophites intercalated with Al2O3 pillars and modified with transition metals as catalysts of the DeNOx process. React. Kinet. Catal. Lett. 2007, 91, 369–378. [Google Scholar] [CrossRef]
- Chmielarz, L.; Kuśtrowski, P.; Michalik, M.; Dudek, B.; Piwowarska, Z.; Dziembaj, R. Vermiculites intercalated with Al2O3 pillars and modified with transition metals as catalysts of DeNOx process. Catal. Today 2008, 137, 242–246. [Google Scholar] [CrossRef]
- Ziemiański, P.; Kałahurska, K.; Samojeden, B. Selective catalytic reduction of NO with NH3 on mixed alumina–iron (III) oxide pillared montmorillonite “Cheto” Arizona, modified with hexamminecobalt (III) chloride. Adsorpt. Sci. Technol. 2017, 35, 825–833. [Google Scholar] [CrossRef]
- Chmielarz, L.; Dziembaj, R.; Łojewski, T.; Wȩgrzyn, A.; Grzybek, T.; Klinik, J.; Olszewska, D. Efect of water vapour and SO2 addition on stability of zirconia-pillared montmorillonites in selective catalytic reduction of NO with ammonia. Solid State Ionics 2001, 141–142, 715–719. [Google Scholar] [CrossRef]
- Shen, B.; Yao, Y.; Chen, J.; Zhang, X. Alkali metal deactivation of Mn–CeOx/Zr-delaminated-clay for the low-temperature selective catalytic reduction of NOx with NH3. Microporous Mesoporous. Mater. 2013, 180, 262–269. [Google Scholar] [CrossRef]
- Boxiong, S.; Hongqing, M.; Chuan, H.; Xiaopeng, Z. Low temperature NH3-SCR over Zr and Ce pillared clay based catalysts. Fuel Process. Technol. 2014, 119, 121–129. [Google Scholar] [CrossRef]
- Chmielarz, L.; Kuśtrowski, P.; Drozdek, M.; Dziembaj, R.; Cool, P.; Vansant, E.F. Selective catalytic oxidation of ammonia into nitrogen over PCH modified with copper and iron species. Catal. Today 2006, 114, 319–325. [Google Scholar] [CrossRef]
- Chmielarz, L.; Kuśtrowski, P.; Dziembaj, R.; Cool, P.; Vansant, E.F. Selective catalytic reduction of NO with ammonia over porous clay heterostructures modified with copper and iron species. Catal. Today 2007, 119, 181–186. [Google Scholar] [CrossRef]
- Fan, B.; Zhang, Z.; Liu, Q.; Liu, Q. Investigation of Sulfated Iron-Based Catalysts with Different Sulfate Position for Selective Catalytic Reduction of NOx with NH3. Catalysts 2020, 10, 1035. [Google Scholar] [CrossRef]
- Rutkowska, M.; Díaz, U.; Palomares, A.E.; Chmielarz, L. Cu and Fe modified derivatives of 2D MWW-type zeolites (MCM-22, ITQ-2 and MCM-36) as new catalysts for DeNOx process. Appl. Catal. B 2015, 168–169, 531–539. [Google Scholar] [CrossRef]
- Chen, J.; Peng, G.; Zheng, W.; Zhang, W.; Guo, L.; Wu, X. Excellent performance of one-pot synthesized Fe-containing MCM-22 zeolites for the selective catalytic reduction of NOx with NH3. Catal. Sci. Technol. 2020, 10, 6583–6598. [Google Scholar] [CrossRef]
- Raj, A.; Le, T.H.N.; Kaliaguine, S.; Auroux, A. Involvement of nitrate species in the SCR of NO by NH3 at ambient conditions over TS-1 catalysts. Appl. Catal. B 1998, 15, 259–267. [Google Scholar] [CrossRef]
- Roberge, D.; Raj, A.; Kaliaguine, S.; On, D.T.; Iwamoto, S.; Inui, T. Selective catalytic reduction of NO under ambient conditions using ammonia as reducing agent and MFI zeolites as catalysts. Appl. Catal. B 1996, 10, L237–L243. [Google Scholar] [CrossRef]
- Liu, F.; He, H.; Zhang, C.; Feng, Z.; Zheng, L.; Xie, Y.; Hu, T. Selective catalytic reduction of NO with NH3 over iron titanate catalyst: Catalytic performance and characterization. Appl. Catal. B 2010, 96, 408–420. [Google Scholar] [CrossRef]
- Liu, F.; He, H.; Ding, Y.; Zhang, C. Effect of manganese substitution on the structure and activity of iron titanate catalyst for the selective catalytic reduction of NO with NH3. Appl. Catal. B 2009, 93, 194–204. [Google Scholar] [CrossRef]
- Chen, J.; Peng, G.; Liang, T.; Zhang, W.; Zheng, W.; Zhao, H.; Guo, L.; Wu, X. Catalytic Performances of Cu/MCM-22 Zeolites with Diefferent Cu Loadings in NH3-SCR. Nanomaterials 2020, 10, 2170. [Google Scholar] [CrossRef]
- Jankowska, A.; Chłopek, A.; Kowalczyk, A.; Rutkowska, M.; Mozgawa, W.; Michalik, M.; Liu, S.; Chmielarz, L. Enhanced catalytic performance in low-temperature NH3-SCR process of spherical MCM-41 modified with Cu by template ion-exchange and ammonia treatment. Microporous Mesoporous Mater. 2021, 315, 110920. [Google Scholar] [CrossRef]
- Jabłońska, M. Progress on Selective Catalytic Ammonia Oxidation (NH3-SCO) over Cu-Containing Zeolite-Based Catalysts. ChemCatChem 2020, 12, 4490–4500. [Google Scholar] [CrossRef]
- Wang, H.; Zhang, R.; Liu, Y.; Li, P.; Chen, H.; Wang, F.R.; Teoh, W.Y. Selective catalytic oxidation of ammonia over nano Cu/zeolites with different topologies. Environ. Sci. Nano 2020, 7, 1399–1414. [Google Scholar] [CrossRef]
- Zhang, T.; Chang, H.; You, Y.; Shi, C.; Li, J. Excellent activity and selectivity of one-pot synthesized Cu-SSZ-13 catalyst in the selective catalytic oxidation of ammonia to nitrogen. Environ. Sci. Technol. 2018, 52, 4802–4808. [Google Scholar] [CrossRef] [PubMed]








Publisher’s Note: MDPI stays neutral with regard to jurisdictional claims in published maps and institutional affiliations. |
© 2021 by the authors. Licensee MDPI, Basel, Switzerland. This article is an open access article distributed under the terms and conditions of the Creative Commons Attribution (CC BY) license (https://creativecommons.org/licenses/by/4.0/).
Share and Cite
Chmielarz, L.; Dziembaj, R. Modified Layered Silicas as Catalysts for Conversion of Nitrogen Pollutants in Flue Gases—A Review. Catalysts 2021, 11, 644. https://doi.org/10.3390/catal11050644
Chmielarz L, Dziembaj R. Modified Layered Silicas as Catalysts for Conversion of Nitrogen Pollutants in Flue Gases—A Review. Catalysts. 2021; 11(5):644. https://doi.org/10.3390/catal11050644
Chicago/Turabian StyleChmielarz, Lucjan, and Roman Dziembaj. 2021. "Modified Layered Silicas as Catalysts for Conversion of Nitrogen Pollutants in Flue Gases—A Review" Catalysts 11, no. 5: 644. https://doi.org/10.3390/catal11050644
APA StyleChmielarz, L., & Dziembaj, R. (2021). Modified Layered Silicas as Catalysts for Conversion of Nitrogen Pollutants in Flue Gases—A Review. Catalysts, 11(5), 644. https://doi.org/10.3390/catal11050644
