The Impact of Lanthanum and Zeolite Structure on Hydrocarbon Storage
Abstract
1. Introduction
2. Results and Discussion
2.1. Catalyst Characterization
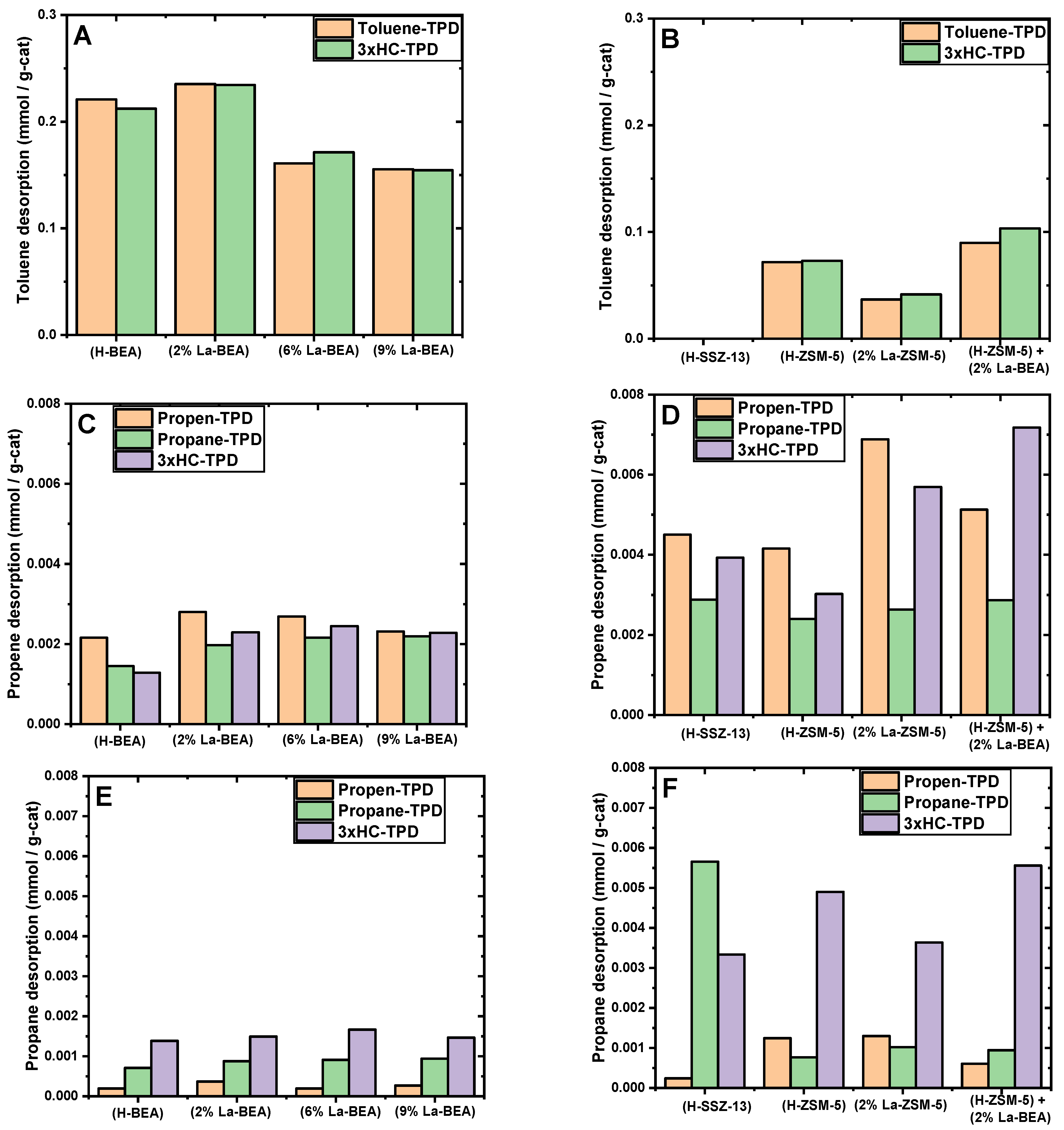
2.2. HC Storage for La-Promoted Zeolites
3. Materials and Methods
3.1. Sample Preparation
3.2. Material Characterization
3.3. Adsorption and Desorption of Hydrocarbons
3.4. In-Situ DRIFTS (Diffuse Reflectance in Frared Fourier Transform Spectroscopy)
4. Conclusions
Author Contributions
Funding
Acknowledgments
Conflicts of Interest
Appendix A






References
- Park, J.-H.; Park, S.J.; Nam, I.-S.; Yeo, G.K.; Kil, J.K.; Youn, Y.K. A fast and quantitative assay for developing zeolite-type hydrocarbon trap catalyst. Microporous Mesoporous Mater. 2007, 101, 264–270. [Google Scholar] [CrossRef]
- Kim, M.-Y.; Kyriakidou, E.A.; Choi, J.-S.; Toops, T.J.; Binder, A.J.; Thomas, C.; Parks, J.E.; Schwartz, V.; Chen, J.; Hensley, D.K. Enhancing low-temperature activity and durability of Pd-based diesel oxidation catalysts using ZrO2 supports. Appl. Catal. B Environ. 2016, 187, 181–194. [Google Scholar] [CrossRef]
- Du, S.; Tang, W.; Guo, Y.; Binder, A.; Kyriakidou, E.A.; Toops, T.J.; Wang, S.; Ren, Z.; Hoang, S.; Gao, P.-X. Understanding low temperature oxidation activity of nanoarray-based monolithic catalysts: From performance observation to structural and chemical insights. Emiss. Control Sci. Technol. 2017, 3, 18–36. [Google Scholar] [CrossRef]
- Hazlett, M.J.; Epling, W.S. Spatially resolving CO and C3H6 oxidation reactions in a Pt/Al2O3 model oxidation catalyst. Catal. Today 2016, 267, 157–166. [Google Scholar] [CrossRef]
- Lee, J.; Theis, J.R.; Kyriakidou, E.A. Vehicle emissions trapping materials: Successes, challenges, and the path forward. Appl. Catal. B Environ. 2019, 243, 397–414. [Google Scholar] [CrossRef]
- Toops, T.J.; Binder, A.J.; Kunal, P.; Kyriakidou, E.A.; Choi, J.-S. Analysis of ion-exchanged ZSM-5, BEA, and SSZ-13 zeolite trapping materials under realistic exhaust conditions. Catalysts 2021, 11, 449. [Google Scholar] [CrossRef]
- Han, D.; Jiaqiang, E.; Deng, Y.; Chen, J.; Leng, E.; Liao, G.; Zhao, X.; Feng, C.; Zhang, F. A review of studies using hydrocarbon adsorption material for reducing hydrocarbon emissions from cold start of gasoline engine. Renew. Sustain. Energy Rev. 2021, 135, 110079. [Google Scholar] [CrossRef]
- Wesson, P.J.; Snurr, R.Q. Modified temperature programmed desorption evaluation of hydrocarbon trapping by CsMOR zeolite under cold start conditions. Microporous Mesoporous Mater. 2009, 125, 35–38. [Google Scholar] [CrossRef]
- Yoshimoto, R.; Hara, K.; Okumura, K.; Katada, N.; Niwa, M. Analysis of toluene adsorption on Na-form zeolite with a temperature-programmed desorption method. J. Phys. Chem. C 2007, 111, 1474–1479. [Google Scholar] [CrossRef]
- Kanazawa, T. Development of hydrocarbon adsorbents, oxygen storage materials for three-way catalysts and NOx storage-reduction catalyst. Catal. Today 2004, 96, 171–177. [Google Scholar] [CrossRef]
- Westermann, A.; Azambre, B.; Finqueneisel, G.; Costa, P.D.; Can, F. Evolution of unburnt hydrocarbons under “cold-start” conditions from adsorption/desorption to conversion: On the screening of zeolitic materials. Appl. Catal. B Environ. 2014, 158–159, 48–59. [Google Scholar] [CrossRef]
- Moor, B.A.D.; Reyniers, M.-F.; Gobin, O.C.; Lercher, J.A.; Marin, G.B. Adsorption of C2−C8 n-alkanes in zeolites. J. Phys. Chem. C 2011, 115, 1204–1219. [Google Scholar] [CrossRef]
- Rao, K.N.; Kim, M.-Y.; Song, J.; Na, S.; Han, H.S. Cold-Start Hydrocarbon Speciation and Trap Materials for Gasoline Engines; SAE Technical Paper, No. 2018-01-0940; SAE: Warrendale, PA, USA, 2018. [Google Scholar] [CrossRef]
- Nakagawa, S.; Minowa, T.; Katogi, K.; Higashiyama, K.; Nagano, M.; Hamada, I. A New Catalyzed Hydrocarbon Trap Control System for ULEV/SULEV Standard; SAE Technical Paper, No. 2003-01-0567; SAE: Warrendale, PA, USA, 2003. [Google Scholar] [CrossRef]
- Puértolas, B.; García-Andújar, L.; García, T.; Navarro, M.V.; Mitchell, S.; Pérez-Ramírez, J. Bifunctional Cu/H-ZSM-5 zeolite with hierarchical porosity for hydrocarbon abatement under cold-start conditions. Appl. Catal. B Environ. 2014, 154–155, 161–170. [Google Scholar] [CrossRef]
- López, J.M.; Navarro, M.V.; García, T.; Murillo, R.; Mastral, A.M.; Varela-Gandía, F.J.; Lozano-Castelló, D.; Bueno-López, A.; Cazorla-Amorós, D. Screening of different zeolites and silicoaluminophosphates for the retention of propene under cold start conditions. Microporous Mesoporous Mater. 2010, 130, 239–247. [Google Scholar] [CrossRef]
- Spoto, G.; Bordiga, S.; Ricchiardi, G.; Scarano, D.; Zecchina, A.; Borello, E. IR study of ethene and propene oligomerization on H-ZSM-5: Hydrogen-bonded precursor formation, initiation and propagation mechanisms and structure of the entrapped oligomers. J. Chem. Soc. Faraday Trans. 1994, 90, 2827–2835. [Google Scholar] [CrossRef]
- Sarshar, Z.; Zahedi-Niaki, M.H.; Huang, Q.; Eić, M.; Kaliaguine, S. MTW zeolites for reducing cold-start emissions of automotive exhaust. Appl. Catal. B Environ. 2009, 87, 37–45. [Google Scholar] [CrossRef]
- Azambre, B.; Westermann, A.; Finqueneisel, G.; Can, F.; Comparot, J.D. Adsorption and desorption of a model hydrocarbon mixture over HY zeolite under dry and wet conditions. J. Phys. Chem. C 2015, 119, 315–331. [Google Scholar] [CrossRef]
- Westermann, A.; Azambre, B.; Chebbi, M.; Koch, A. Modification of Y faujasite zeolites for the trapping and elimination of a propene-toluene-decane mixture in the context of cold-start. Microporous Mesoporous Mater. 2016, 230, 76–88. [Google Scholar] [CrossRef]
- Dorner, R.W.; Deifallah, M.; Catlow, C.R.A.; Corà, F.; Elangovan, S.P.; Okubo, T.; Sankar, G. Heteroatom-substituted microporous AFI and ATS structured materials for hydrocarbon trap: An insight into the aluminophosphate framework—Toluene interaction. J. Phys. Chem. C 2008, 112, 4187–4194. [Google Scholar] [CrossRef]
- Daldoul, I.; Auger, S.; Picard, P.; Nohair, B.; Kaliaguine, S. Effect of temperature ramp on hydrocarbon desorption profiles from zeolite ZSM-12. Can. J. Chem. Eng. 2016, 94, 931–937. [Google Scholar] [CrossRef]
- Park, J.-H.; Park, S.J.; Ahn, H.A.; Nam, I.-S.; Yeo, G.K.; Kil, J.K.; Youn, Y.K. Promising zeolite-type hydrocarbon trap catalyst by a knowledge-based combinatorial approach. Microporous Mesoporous Mater. 2009, 117, 178–184. [Google Scholar] [CrossRef]
- Liu, X.; Lampert, J.K.; Arendarskiia, D.A.; Farrauto, R.J. FT-IR spectroscopic studies of hydrocarbon trapping in Ag+-ZSM-5 for gasoline engines under cold-start conditions. Appl. Catal. B Environ. 2001, 35, 125–136. [Google Scholar] [CrossRef]
- Ivanov, A.V.; Graham, G.W.; Shelef, M. Adsorption of hydrocarbons by ZSM-5 zeolites with different SiO2/Al2O3 ratios: A combined FTIR and gravimetric study. Appl. Catal. B Environ. 1999, 21, 243–258. [Google Scholar] [CrossRef]
- Burke, N.R.; Trimm, D.L.; Howe, R.F. The effect of silica:alumina ratio and hydrothermal ageing on the adsorption characteristics of BEA zeolites for cold start emission control. Appl. Catal. B Environ. 2003, 46, 97–104. [Google Scholar] [CrossRef]
- Kang, S.B.; Kalamaras, C.; Balakotaiah, V.; Epling, W. Hydrocarbon trapping over Ag-beta zeolite for cold-start emission control. Catal. Lett. 2017, 147, 1355–1362. [Google Scholar] [CrossRef]
- Kyriakidou, E.A.; Lee, J.; Choi, J.-S.; Lance, M.; Toops, T.J. A comparative study of silver- and palladium-exchanged zeolites in propylene and nitrogen oxide adsorption and desorption for cold-start applications. Catal. Today 2021, 360, 220–233. [Google Scholar] [CrossRef]
- Takamitsu, Y.; Ariga, K.; Yoshida, S.; Ogawa, H.; Sano, T. Adsorption of toluene on alkali metal ion-exchanged ZSM-5 and β-zeolites under humid conditions. Bull. Chem. Soc. Jpn. 2012, 85, 869–876. [Google Scholar] [CrossRef]
- Xu, L.; Lupescu, J.; Cavataio, G.; Guo, K.; Jen, H. The impacts of Pd in BEA zeolite on decreasing cold-start NMOG emission of an E85 fuel vehicle. SAE Int. J. Fuels Lubr. 2018, 11, 239–246. [Google Scholar] [CrossRef]
- Lupescu, J.; Xu, L.; Jen, H.-W.; Harwell, A.; Nunan, J.; Alltizer, C.; Denison, G. A new catalyzed HC trap technology that enhances the conversion of gasoline fuel cold-start emissions. SAE Int. J. Fuels Lubr. 2018, 11, 411–442. [Google Scholar] [CrossRef]
- Zelinsky, R.; Epling, W. Effects of multicomponent hydrocarbon feed on hydrocarbon adsorption–desorption and oxidation light-off behavior on a Pd/BEA hydrocarbon trap. Catal. Lett. 2019, 149, 3194–3202. [Google Scholar] [CrossRef]
- Jonsson, R.; Woo, J.; Skoglundh, M.; Olsson, L. Zeolite beta doped with La, Fe, and Pd as a hydrocarbon trap. Catalysts 2020, 10, 173. [Google Scholar] [CrossRef]
- Thommes, M.; Kaneko, K.; Neimark, A.V.; Olivier, J.P.; Rodriguez-Reinoso, F.; Rouquerol, J.; Sing, K.S.W. Physisorption of gases, with special reference to the evaluation of surface area and pore size distribution (IUPAC Technical Report). Pure Appl. Chem. 2015, 87, 1051–1069. [Google Scholar] [CrossRef]
- Mintova, S.; Valtchev, V.; Onfroy, T.; Marichal, C.; Knözinger, H.; Bein, T. Variation of the Si/Al ratio in nanosized zeolite Beta crystals. Microporous Mesoporous Mater. 2006, 90, 237–245. [Google Scholar] [CrossRef]
- Meng, F.; Wang, Y.; Wang, S. Methanol to gasoline over zeolite ZSM-5: Improved catalyst performance by treatment with HF. RSC Adv. 2016, 6, 58586–58593. [Google Scholar] [CrossRef]
- Wang, D.; Jangjou, Y.; Liu, Y.; Sharma, M.K.; Luo, J.; Li, J.; Kamasamudram, K.; Epling, W.S. A comparison of hydrothermal aging effects on NH3-SCR of NOx over Cu-SSZ-13 and Cu-SAPO-34 catalysts. Appl. Catal. B Environ. 2015, 165, 438–445. [Google Scholar] [CrossRef]
- Zhang, L.; Qin, Y.; Zhang, X.; Gao, X.; Song, L. Further findings on the stabilization mechanism among modified Y zeolite with different rare earth ions. Ind. Eng. Chem. Res. 2019, 58, 14016–14025. [Google Scholar] [CrossRef]
- He, D.; Zhao, Y.; Yang, S.; Mei, Y.; Yu, J.; Liu, J.; Chen, D.; He, S.; Luo, Y. Enhancement of catalytic performance and resistance to carbonaceous deposit of lanthanum (La) doped HZSM-5 catalysts for decomposition of methyl mercaptan. Chem. Eng. J. 2018, 336, 579–586. [Google Scholar] [CrossRef]
- Deng, C.; Zhang, J.; Dong, L.; Huang, M.; Bin, L.; Jin, G.; Gao, J.; Zhang, F.; Fan, M.; Zhang, L.; et al. The effect of positioning cations on acidity and stability of the framework structure of Y zeolite. Sci. Rep. 2016, 6, 23382. [Google Scholar] [CrossRef]
- Palomino, M.; Corma, A.; Jordá, J.L.; Rey, F.; Valencia, S. Zeolite rho: A highly selective adsorbent for CO2/CH4 separation induced by a structural phase modification. Chem. Commun. 2012, 48, 215–217. [Google Scholar] [CrossRef]
- Sorenson, S.G.; Smyth, J.R.; Noble, R.D.; Falconer, J.L. Correlation of crystal lattice expansion and membrane properties for MFI zeolites. Ind. Eng. Chem. Res. 2009, 48, 10021–10024. [Google Scholar] [CrossRef]
- Gor, G.Y.; Huber, P.; Bernstein, N. Adsorption-induced deformation of nanoporous materials—A review. Appl. Phys. Rev. 2017, 4, 011303. [Google Scholar] [CrossRef]
- Al-Dughaither, A.S.; Lasa, H.D. HZSM-5 zeolites with different SiO2/Al2O3 ratios. Characterization and NH3 desorption kinetics. Ind. Eng. Chem. Res. 2014, 53, 15303–15316. [Google Scholar] [CrossRef]
- Bok, T.O.; Andriako, E.P.; Knyazeva, E.E.; Ivanova, I.I. Engineering of zeolite BEA crystal size and morphology via seed-directed steam assisted conversion. RSC Adv. 2020, 10, 38505–38514. [Google Scholar] [CrossRef]
- Engtrakul, C.; Mukarakate, C.; Starace, A.K.; Magrini, K.A.; Rogers, A.K.; Yung, M.M. Effect of ZSM-5 acidity on aromatic product selectivity during upgrading of pine pyrolysis vapors. Catal. Today 2016, 269, 175–181. [Google Scholar] [CrossRef]
- Li, Z.; Navarro, M.T.; Martínez-Triguero, J.; Yu, J.; Corma, A. Synthesis of nano-SSZ-13 and its application in the reaction of methanol to olefins. Catal. Sci. Technol. 2016, 6, 5856–5863. [Google Scholar] [CrossRef]
- Serra, R.M.; Miró, E.E.; Bolcatto, P.; Boix, A.V. Experimental and theoretical studies about the adsorption of toluene on ZSM5 and mordenite zeolites modified with Cs. Microporous Mesoporous Mater. 2012, 147, 17–29. [Google Scholar] [CrossRef]
- Yue, Y.; Fu, J.; Wang, C.; Yuan, P.; Bao, X.; Xie, Z.; Basset, J.-M.; Zhu, H. Propane dehydrogenation catalyzed by single Lewis acid site in Sn-Beta zeolite. J. Catal. 2021, 395, 155–167. [Google Scholar] [CrossRef]
- Sharma, M.; Shane, M. Hydrocarbon-water adsorption and simulation of catalyzed hydrocarbon traps. Catal. Today 2016, 267, 82–92. [Google Scholar] [CrossRef]
- Czaplewski, K.F.; Reitz, T.L.; Kim, Y.J.; Snurr, R.Q. One-dimensional zeolites as hydrocarbon traps. Microporous Mesoporous Mater. 2002, 56, 55–64. [Google Scholar] [CrossRef]
- Li, X.; Zhu, Z.; Zhao, Q.; Wang, L. Photocatalytic degradation of gaseous toluene over ZnAl2O4 prepared by different methods: A comparative study. J. Hazard. Mater. 2011, 186, 2089–2096. [Google Scholar] [CrossRef]
- Sanati, M.; Andersson, A. DRIFT study of the oxidation and the ammoxidation of toluene over a TiO2(B)-supported vanadia catalyst. J. Mol. Catal. 1993, 81, 51–62. [Google Scholar] [CrossRef]
- Nagao, M.; Suda, Y. Adsorption of benzene, toluene, and chlorobenzene on titanium dioxide. Langmuir 1989, 5, 42–47. [Google Scholar] [CrossRef]
- Trombetta, M.; Busca, G.; Storaro, L.; Lenarda, M.; Casagrande, M.; Zambon, A. Surface acidity modifications induced by thermal treatments and acid leaching on microcrystalline H-BEA zeolite. A FTIR, XRD and MAS-NMR study. Phys. Chem. Chem. Phys. 2000, 2, 3529–3537. [Google Scholar] [CrossRef]
- Marques, J.P.; Gener, I.; Ayrault, P.; Bordado, J.C.; Lopes, J.M.; Ribeiro, F.R.; Guisnet, M. Dealumination of HBEA zeolite by steaming and acid leaching: Distribution of the various aluminic species and identification of the hydroxyl groups. Comptes Rendus Chim. 2005, 8, 399–410. [Google Scholar] [CrossRef]
- Su, B.-L.; Norberg, V. Characterization of the Brønsted acid properties of H(Na)-Beta zeolite by infrared spectroscopy and thermal analysis. Zeolites 1997, 19, 65–74. [Google Scholar] [CrossRef]
- Yang, C.; Xuaf, Q. States of aluminum in zeolite β and influence of acidic or basic medium. Zeolites 1997, 19, 404–410. [Google Scholar] [CrossRef]
- Du, J.; Qu, Z.; Dong, C.; Song, L.; Qin, Y.; Huang, N. Low-temperature abatement of toluene over Mn-Ce oxides catalysts synthesized by a modified hydrothermal approach. Appl. Surf. Sci. 2018, 433, 1025–1035. [Google Scholar] [CrossRef]
- Wang, M.; Zhang, F.; Zhu, X.; Qi, Z.; Hong, B.; Ding, J.; Bao, J.; Sun, S.; Gao, C. DRIFTS evidence for facet-dependent adsorption of gaseous toluene on TiO2 with relative photocatalytic properties. Langmuir 2015, 31, 1730–1736. [Google Scholar] [CrossRef]
- Olsson, L.; Wijayanti, K.; Leistner, K.; Kumar, A.; Joshi, S.Y.; Kamasamudram, K.; Currier, N.W.; Yezerets, A. A multi-site kinetic model for NH3-SCR over Cu/SSZ-13. Appl. Catal. B Environ. 2015, 174–175, 212–224. [Google Scholar] [CrossRef]











| BEA | 2% La-BEA | 6% La-BEA | 9% La-BEA | 2% La-ZSM-5 | ZSM-5 | SSZ-13 | |
|---|---|---|---|---|---|---|---|
| SiO2/Al2O3 a | 20.2 | 20.6 | 21.0 | 21.4 | 20.5 | 20.2 | 25.2 |
| La wt.% a | - | 2.2 | 6.4 | 8.6 | 2.0 | - | - |
| La/Al a | - | 0.14 | 0.43 | 0.62 | 0.12 | - | - |
| SBET (m2 g−1) | 569 | 467 | 433 | 420 | 330 | 356 | 638 |
| Smicropore (m2 g−1) b | 354 | 327 | 305 | 294 | 253 | 273 | 598 |
| Vp (cm3 g−1) c | 0.65 | 0.59 | 0.53 | 0.52 | 0.17 | 0.18 | 0.34 |
| Vmicropore (cm3 g−1) b | 0.17 | 0.16 | 0.15 | 0.14 | 0.12 | 0.13 | 0.29 |
| H-BEA | 2% La-BEA | 6% La-BEA | 9% La-BEA | 2% La-ZSM-5 | H-ZSM-5 | H-SSZ-13 | |
|---|---|---|---|---|---|---|---|
| Total acidity (µmol NH3/g) | 755 | 615 | 592 | 506 | 1093 | 1289 | 599 |
| Low-temperature peak (LTP) (°C) | 213 | 211 | 211 | 210 | 219 | 220 | 195 |
| High-temperature peak (HTP) (°C) | 420 | 380 | 370 | 348 | 445 | 450 | 458 |
| Percentage of LTP area (%) * | 21 | 19 | 20 | 22 | 43 | 43 | 31 |
| Percentage of HTP area (%) * | 79 | 81 | 80 | 78 | 57 | 57 | 69 |
Publisher’s Note: MDPI stays neutral with regard to jurisdictional claims in published maps and institutional affiliations. |
© 2021 by the authors. Licensee MDPI, Basel, Switzerland. This article is an open access article distributed under the terms and conditions of the Creative Commons Attribution (CC BY) license (https://creativecommons.org/licenses/by/4.0/).
Share and Cite
Jonsson, R.; Ho, P.H.; Wang, A.; Skoglundh, M.; Olsson, L. The Impact of Lanthanum and Zeolite Structure on Hydrocarbon Storage. Catalysts 2021, 11, 635. https://doi.org/10.3390/catal11050635
Jonsson R, Ho PH, Wang A, Skoglundh M, Olsson L. The Impact of Lanthanum and Zeolite Structure on Hydrocarbon Storage. Catalysts. 2021; 11(5):635. https://doi.org/10.3390/catal11050635
Chicago/Turabian StyleJonsson, Rasmus, Phuoc Hoang Ho, Aiyong Wang, Magnus Skoglundh, and Louise Olsson. 2021. "The Impact of Lanthanum and Zeolite Structure on Hydrocarbon Storage" Catalysts 11, no. 5: 635. https://doi.org/10.3390/catal11050635
APA StyleJonsson, R., Ho, P. H., Wang, A., Skoglundh, M., & Olsson, L. (2021). The Impact of Lanthanum and Zeolite Structure on Hydrocarbon Storage. Catalysts, 11(5), 635. https://doi.org/10.3390/catal11050635

