Enriched (Z)-lycopene in Tomato Extract via Co-Extraction of Tomatoes and Foodstuffs Containing Z-isomerization-accelerating Compounds
Abstract
1. Introduction
2. Results and Discussion
2.1. Typical Profile of Lycopene Isomers in Tomato Pulp and Extracts
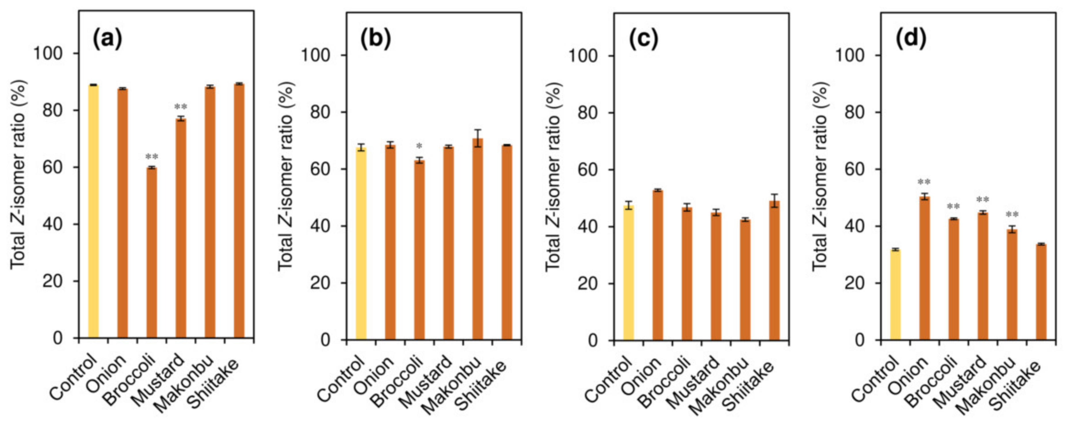
2.2. Effects of Temperature and Added Foodstuffs on Lycopene Extraction
2.3. Effects of Solvents and Added Foodstuffs on Lycopene Extraction
2.4. Effects of Extraction Time and Added Foodstuffs on Lycopene Extraction
3. Materials and Methods
3.1. Materials
3.2. Lycopene Extraction
3.3. HPLC Analysis
3.4. Data Expression and Statistical Analysis
4. Conclusions
Author Contributions
Funding
Informed Consent Statement
Data Availability Statement
Acknowledgments
Conflicts of Interest
References
- Alda, L.M.; Gogoasa, I.; Bordean, D.M.; Gergen, I.; Alda, S.; Moldovan, C.; Nita, L. Lycopene content of tomatoes and tomato products. J. Agroaliment. Process. Technol. 2009, 15, 540–542. [Google Scholar]
- Honda, M.; Murakami, K.; Watanabe, Y.; Higashiura, T.; Fukaya, T.; Wahyudiono; Kanda, H.; Goto, M. The E/Z isomer ratio of lycopene in foods and effect of heating with edible oils and fats on isomerization of (all-E)-lycopene. Eur. J. Lipid Sci. Technol. 2017, 119, 1600389. [Google Scholar] [CrossRef]
- Story, E.N.; Kopec, R.E.; Schwartz, S.J.; Harris, G.K. An update on the health effects of tomato lycopene. Annu. Rev. Food Sci. Technol. 2010, 1, 189–210. [Google Scholar] [CrossRef]
- Li, N.; Wu, X.; Zhuang, W.; Xia, L.; Chen, Y.; Wu, C.; Rao, Z.; Du, L.; Zhao, R.; Yi, M.; et al. Tomato and lycopene and multiple health outcomes: Umbrella review. Food Chem. 2020, 343, 128396. [Google Scholar]
- Xavier, A.A.O.; Mercadante, A.Z. The bioaccessibility of carotenoids impacts the design of functional foods. Curr. Opin. Food Sci. 2019, 26, 1–8. [Google Scholar] [CrossRef]
- Boileau, A.C.; Merchen, N.R.; Wasson, K.; Atkinson, C.A.; Erdman, J.W., Jr. cis-Lycopene is more bioavailable than trans-lycopene in vitro and in vivo in lymph-cannulated ferrets. J. Nutr. 1999, 129, 1176–1181. [Google Scholar] [CrossRef] [PubMed]
- Honda, M.; Nakayama, Y.; Nishikawa, S.; Tsuda, T. Z-Isomers of lycopene exhibit greater liver accumulation than the all-E-isomer in mice. Biosci. Biotechnol. Biochem. 2020, 84, 428–431. [Google Scholar] [CrossRef] [PubMed]
- Failla, M.L.; Chitchumroonchokchai, C.; Ishida, B.K. In vitro micellarization and intestinal cell uptake of cis isomers of lycopene exceed those of all-trans lycopene. J. Nutr. 2008, 138, 482–486. [Google Scholar] [CrossRef] [PubMed]
- Cooperstone, J.L.; Ralston, R.A.; Riedl, K.M.; Haufe, T.C.; Schweiggert, R.M.; King, S.A.; Timmers, C.D.; Francis, D.M.; Lesinski, G.B.; Clinton, S.K.; et al. Enhanced bioavailability of lycopene when consumed as cis-isomers from tangerine compared to red tomato juice, a randomized, cross-over clinical trial. Mol. Nutr. Food Res. 2015, 59, 658–669. [Google Scholar] [CrossRef] [PubMed]
- Fenni, S.; Astier, J.; Bonnet, L.; Karkeni, E.; Gouranton, E.; Mounien, L.; Couturier, C.; Tourniaire, F.; Böhm, V.; Hammou, H.; et al. (all-E)-and (5Z)-Lycopene display similar biological effects on adipocytes. Mol. Nutr. Food Res. 2019, 63, 1800788. [Google Scholar] [CrossRef]
- Honda, M.; Kageyama, H.; Hibino, T.; Zhang, Y.; Diono, W.; Kanda, H.; Yamaguchi, R.; Takemura, R.; Fukaya, T.; Goto, M. Improved carotenoid processing with sustainable solvents utilizing Z-isomerization-induced alteration in physicochemical properties: A review and future directions. Molecules 2019, 24, 2149. [Google Scholar] [CrossRef]
- Watanabe, Y.; Honda, M.; Higashiura, T.; Fukaya, T.; Machmudah, S.; Kanda, H.; Goto, M. Rapid and selective concentration of lycopene Z-isomers from tomato pulp by supercritical CO2 with co-solvents. Solvent Extr. Res. Dev. Jpn. 2018, 25, 47–57. [Google Scholar] [CrossRef]
- Honda, M.; Kageyama, H.; Hibino, T.; Sowa, T.; Kawashima, Y. Efficient and environmentally friendly method for carotenoid extraction from Paracoccus carotinifaciens utilizing naturally occurring Z-isomerization-accelerating catalysts. Process Biochem. 2020, 89, 146–154. [Google Scholar] [CrossRef]
- Honda, M.; Kageyama, H.; Hibino, T.; Takemura, R.; Goto, M.; Fukaya, T. Enhanced Z-isomerization of tomato lycopene through the optimal combination of food ingredients. Sci. Rep. 2019, 9, 7979. [Google Scholar] [CrossRef] [PubMed]
- Honda, M.; Kageyama, H.; Hibino, T.; Ichihashi, K.; Takada, W.; Goto, M. Synergistic effects of food ingredients and vegetable oils on thermal isomerization of lycopene. J. Oleo Sci. 2020, 69, 1529–1540. [Google Scholar] [CrossRef]
- Boelens, M.; De Valois, P.J.; Wobben, H.J.; Van der Gen, A. Volatile flavor compounds from onion. J. Agric. Food Chem. 1971, 19, 984–991. [Google Scholar] [CrossRef]
- Cecchi, L.; Ieri, F.; Vignolini, P.; Mulinacci, N.; Romani, A. Characterization of volatile and flavonoid composition of different cuts of dried onion (Allium cepa L.) by HS-SPME-GC-MS, HS-SPME-GC× GC-TOF and HPLC-DAD. Molecules 2020, 25, 408. [Google Scholar] [CrossRef]
- Dai, R.; Lim, L.T. Release of allyl isothiocyanate from mustard seed meal powder. J. Food Sci. 2014, 79, E47–E53. [Google Scholar] [CrossRef]
- Honda, M.; Kageyama, H.; Hibino, T.; Ichihashi, K.; Takada, W.; Goto, M. Isomerization of commercially important carotenoids (lycopene, β-carotene, and astaxanthin) by natural catalysts: Isothiocyanates and polysulfides. J. Agric. Food Chem. 2020, 68, 3228–3237. [Google Scholar] [CrossRef]
- Honda, M.; Sato, H.; Takehara, M.; Inoue, Y.; Kitamura, C.; Takemura, R.; Fukaya, T.; Wahyudiono; Kanda, H.; Goto, M. Microwave-accelerated Z-isomerization of (all-E)-lycopene in tomato oleoresin and enhancement of the conversion by vegetable oils containing disulfide compounds. Eur. J. Lipid Sci. Technol. 2018, 120, 1800060. [Google Scholar] [CrossRef]
- Ferreri, C.; Samadi, A.; Sassatelli, F.; Landi, L.; Chatgilialoglu, C. Regioselective cis-trans isomerization of arachidonic double bonds by thiyl radicals: The influence of phospholipid supramolecular organization. J. Am. Chem. Soc. 2004, 126, 1063–1072. [Google Scholar] [CrossRef] [PubMed]
- Honda, M.; Takahashi, N.; Kuwa, T.; Takehara, M.; Inoue, Y.; Kumagai, T. Spectral characterisation of Z-isomers of lycopene formed during heat treatment and solvent effects on the E/Z isomerisation process. Food Chem. 2015, 171, 323–329. [Google Scholar] [CrossRef] [PubMed]
- Hengartner, U.; Bernhard, K.; Meyer, K.; Englert, G.; Glinz, E. Synthesis, isolation, and NMR-spectroscopic characterization of fourteen (Z)-isomers of lycopene and of some acetylenic didehydro- and tetradehydrolycopenes. Helv. Chim. Acta 1992, 75, 1848–1865. [Google Scholar] [CrossRef]
- Honda, M.; Kudo, T.; Kuwa, T.; Higashiura, T.; Fukaya, T.; Inoue, Y.; Kitamura, C.; Takehara, M. Isolation and spectral characterization of thermally generated multi-Z-isomers of lycopene and the theoretically preferred pathway to di-Z-isomers. Biosci. Biotechnol. Biochem. 2017, 81, 365–371. [Google Scholar] [CrossRef] [PubMed]
- Ashraf, W.; Latif, A.; Lianfu, Z.; Jian, Z.; Chenqiang, W.; Rehman, A.; Hussain, A.; Siddiquy, M.; Karim, A. Technological advancement in the processing of lycopene: A review. Food Rev. Int. 2020. [Google Scholar] [CrossRef]
- Yu, J.; Gleize, B.; Zhang, L.; Caris-Veyrat, C.; Renard, C.M. Heating tomato puree in the presence of lipids and onion: The impact of onion on lycopene isomerization. Food Chem. 2019, 296, 9–16. [Google Scholar] [CrossRef]
- Müller, L.; Goupy, P.; Fröhlich, K.; Dangles, O.; Caris-Veyrat, C.; Böhm, V. Comparative study on antioxidant activity of lycopene (Z)-isomers in different assays. J. Agric. Food Chem. 2011, 59, 4504–4511. [Google Scholar] [CrossRef]
- Murakami, K.; Honda, M.; Takemura, R.; Fukaya, T.; Kubota, M.; Kanda, H.; Goto, M. The thermal Z-isomerization-induced change in solubility and physical properties of (all-E)-lycopene. Biochem. Biophys. Res. Commun. 2017, 491, 317–322. [Google Scholar] [CrossRef]
- Strati, I.F.; Oreopoulou, V. Recovery and isomerization of carotenoids from tomato processing by-products. Waste Biomass Valorization 2016, 7, 843–850. [Google Scholar] [CrossRef]
- Calvo, M.M.; Dado, D.; Santa-María, G. Influence of extraction with ethanol or ethyl acetate on the yield of lycopene, β-carotene, phytoene and phytofluene from tomato peel powder. Eur. Food Res. Technol. 2007, 224, 567–571. [Google Scholar] [CrossRef]
- Honda, M.; Kodama, T.; Kageyama, H.; Hibino, T.; Kanda, H.; Goto, M. Enhanced solubility and reduced crystallinity of carotenoids, β-carotene and astaxanthin, by Z-isomerization. Eur. J. Lipid Sci. Technol. 2018, 120, 1800191. [Google Scholar] [CrossRef]
- Honda, M.; Kageyama, H.; Hibino, T.; Waditee-Sirisattha, R.; Fukaya, T.; Hayashi, Y.; Goto, M. Chemical-free approach for Z-isomerization of lycopene in tomato powder: Hot air and superheated steam heating above the melting point of lycopene. Eur. J. Lipid Sci. Technol. 2020, 122, 1900327. [Google Scholar] [CrossRef]
- Nakamura, Y.; Miyoshi, N. Electrophiles in foods: The current status of isothiocyanates and their chemical biology. Biosci. Biotechnol. Biochem. 2010, 74, 242–255. [Google Scholar] [CrossRef] [PubMed]
- Takehara, M.; Nishimura, M.; Kuwa, T.; Inoue, Y.; Kitamura, C.; Kumagai, T.; Honda, M. Characterization and thermal isomerization of (all-E)-lycopene. J. Agric. Food Chem. 2014, 62, 264–269. [Google Scholar] [CrossRef]
- Guo, W.H.; Tu, C.Y.; Hu, C.H. Cis-trans isomerizations of β-carotene and lycopene: A theoretical study. J. Phys. Chem. B 2008, 112, 12158–12167. [Google Scholar] [CrossRef]







| Foodstuff | Temperature | Amount 2 | Recovery 3 | Isomer Ratio (%) | ||||
|---|---|---|---|---|---|---|---|---|
| (°C) | (g) | (%) | all-E | 5Z | 9Z | 13Z | Other Z 4 | |
| Control 5 | 50 | – | 65.5 ± 3.9 | 80.8 ± 0.9 | 3.2 ± 0.0 | 2.1 ± 0.2 | 9.6 ± 0.2 | 4.3 ± 0.7 |
| 60 | – | 82.0 ± 0.8 | 68.2 ± 0.4 | 3.2 ± 0.1 | 2.4 ± 0.1 | 20.1 ± 0.2 | 6.1 ± 0.2 | |
| 70 | – | 93.4 ± 1.6 | 61.6 ± 0.5 | 2.7 ± 0.1 | 3.4 ± 0.1 | 25.2 ± 0.3 | 7.1 ± 0.3 | |
| Onion | 50 | 0.5 | 69.7 ± 2.7 | 72.2 ± 0.8 | 4.5 ± 0.3 | 3.9 ± 0.2 | 12.7 ± 0.1 | 6.7 ± 0.6 |
| ″ | ″ | 1 | 72.7 ± 1.7 | 66.3 ± 0.2 | 5.3 ± 0.1 | 5.0 ± 0.0 | 14.0 ± 0.1 | 9.4 ± 0.2 |
| ″ | 60 | 0.5 | 80.2 ± 2.5 | 54.5 ± 0.2 | 5.2 ± 0.1 | 6.5 ± 0.2 | 20.6 ± 0.2 | 13.2 ± 0.3 |
| ″ | ″ | 1 | 83.9 ± 2.2 | 49.6 ± 1.1 | 5.9 ± 0.3 | 7.8 ± 0.3 | 19.7 ± 0.2 | 17.0 ± 1.5 |
| ″ | 70 | 0.5 | 92.7 ± 1.6 | 46.4 ± 0.4 | 5.7 ± 0.1 | 9.2 ± 0.1 | 21.9 ± 0.6 | 16.8 ± 0.7 |
| ″ | ″ | 1 | 93.4 ± 5.9 | 38.9 ± 1.1 | 7.5 ± 0.2 | 11.5 ± 0.0 | 19.3 ± 0.0 | 22.8 ± 1.3 |
| Broccoli | 50 | 0.5 | 62.7 ± 4.9 | 74.0 ± 0.2 | 3.9 ± 0.0 | 3.2 ± 0.1 | 12.4 ± 0.3 | 6.5 ± 0.2 |
| ″ | ″ | 1 | 56.6 ± 2.6 | 66.9 ± 0.4 | 4.5 ± 0.1 | 4.6 ± 0.2 | 14.9 ± 0.3 | 9.1 ± 0.1 |
| ″ | 60 | 0.5 | 74.8 ± 3.1 | 64.0 ± 0.4 | 4.2 ± 0.1 | 4.4 ± 0.1 | 20.9 ± 1.7 | 6.5 ± 2.1 |
| ″ | ″ | 1 | 68.2 ± 1.5 | 57.4 ± 0.3 | 5.1 ± 0.1 | 6.5 ± 0.4 | 18.8 ± 0.5 | 12.2 ± 0.4 |
| ″ | 70 | 0.5 | 83.2 ± 4.5 | 52.1 ± 0.3 | 4.0 ± 0.0 | 5.4 ± 0.2 | 25.2 ± 0.1 | 13.3 ± 0.3 |
| ″ | ″ | 1 | 76.5 ± 2.2 | 48.1 ± 0.5 | 4.9 ± 0.1 | 8.0 ± 0.9 | 23.9 ± 0.6 | 15.1 ± 0.7 |
| Mustard | 50 | 0.5 | 67.0 ± 4.3 | 68.3 ± 1.4 | 5.8 ± 0.2 | 5.0 ± 0.1 | 12.6 ± 0.4 | 8.3 ± 0.8 |
| ″ | ″ | 1 | 63.7 ± 0.7 | 63.3 ± 0.2 | 6.6 ± 0.3 | 5.8 ± 0.2 | 13.8 ± 0.1 | 10.5 ± 0.4 |
| ″ | 60 | 0.5 | 81.7 ± 4.6 | 60.3 ± 0.8 | 5.1 ± 0.1 | 4.3 ± 0.1 | 20.4 ± 0.2 | 9.9 ± 0.8 |
| ″ | ″ | 1 | 75.8 ± 3.2 | 55.2 ± 0.6 | 6.8 ± 0.2 | 6.1 ± 0.1 | 19.4 ± 0.1 | 12.5 ± 0.6 |
| ″ | 70 | 0.5 | 90.3 ± 2.0 | 51.8 ± 0.1 | 5.2 ± 0.0 | 5.6 ± 0.2 | 23.6 ± 0.4 | 13.8 ± 0.2 |
| ″ | ″ | 1 | 87.8 ± 0.6 | 47.2 ± 0.8 | 7.0 ± 0.5 | 6.9 ± 0.2 | 22.5 ± 0.2 | 16.4 ± 1.0 |
| Makonbu | 50 | 0.5 | 67.1 ± 1.0 | 78.5 ± 0.5 | 4.2 ± 0.2 | 3.0 ± 0.1 | 9.7 ± 0.2 | 4.6 ± 0.3 |
| ″ | ″ | 1 | 65.7 ± 2.0 | 76.4 ± 0.6 | 4.6 ± 0.1 | 3.0 ± 0.1 | 10.0 ± 0.3 | 6.0 ± 0.4 |
| ″ | 60 | 0.5 | 81.6 ± 5.0 | 65.2 ± 1.0 | 4.4 ± 0.3 | 3.3 ± 0.3 | 17.7 ± 0.4 | 9.4 ± 1.3 |
| ″ | ″ | 1 | 72.7 ± 1.8 | 61.1 ± 1.2 | 4.8 ± 0.1 | 4.0 ± 0.2 | 19.4 ± 0.5 | 10.7 ± 1.0 |
| ″ | 70 | 0.5 | 94.8 ± 0.1 | 58.5 ± 0.9 | 5.5 ± 0.1 | 5.1 ± 0.2 | 20.4 ± 0.8 | 10.5 ± 0.1 |
| ″ | ″ | 1 | 92.6 ± 2.2 | 61.5 ± 0.5 | 6.4 ± 0.2 | 5.8 ± 0.1 | 16.4 ± 0.8 | 9.9 ± 0.9 |
| Shiitake | 50 | 0.5 | 65.9 ± 1.9 | 79.6 ± 0.5 | 3.5 ± 0.1 | 2.2 ± 0.1 | 10.3 ± 0.2 | 4.4 ± 0.2 |
| ″ | ″ | 1 | 64.4 ± 2.7 | 76.9 ± 0.4 | 3.7 ± 0.1 | 2.7 ± 0.1 | 11.5 ± 0.3 | 5.2 ± 0.2 |
| ″ | 60 | 0.5 | 82.8 ± 3.0 | 67.8 ± 0.4 | 3.0 ± 0.1 | 2.5 ± 0.1 | 20.7 ± 0.2 | 6.0 ± 0.3 |
| ″ | ″ | 1 | 79.0 ± 4.0 | 66.3 ± 0.3 | 3.4 ± 0.1 | 2.8 ± 0.2 | 20.7 ± 0.1 | 6.8 ± 0.2 |
| ″ | 70 | 0.5 | 90.5 ± 0.5 | 58.0 ± 1.2 | 2.7 ± 0.1 | 3.4 ± 0.1 | 25.7 ± 1.7 | 10.2 ± 0.4 |
| ″ | ″ | 1 | 91.5 ± 2.1 | 56.8 ± 0.3 | 2.8 ± 0.1 | 3.7 ± 0.2 | 26.6 ± 0.2 | 10.1 ± 0.1 |
| Foodstuff | Solvent | Recovery 2 | Isomer Ratio (%) | ||||
|---|---|---|---|---|---|---|---|
| (%) | all-E | 5Z | 9Z | 13Z | Other Z 3 | ||
| Control 4 | Ethanol | 5.0 ± 0.3 | 11.1 ± 0.2 | 10.6 ± 0.2 | 20.0 ± 0.7 | 13.8 ± 0.1 | 44.5 ± 1.3 |
| 2-Propanol | 8.9 ± 0.3 | 32.4 ± 1.2 | 10.6 ± 0.3 | 13.7 ± 0.6 | 16.0 ± 0.8 | 27.3 ± 0.4 | |
| Acetone | 51.8 ± 0.8 | 52.5 ± 1.4 | 7.3 ± 0.3 | 6.8 ± 0.1 | 18.3 ± 0.3 | 15.1 ± 1.2 | |
| Ethyl acetate | 82.0 ± 0.8 | 68.2 ± 0.4 | 3.2 ± 0.1 | 2.4 ± 0.1 | 20.1 ± 0.2 | 6.1 ± 0.2 | |
| Onion | Ethanol | 5.4 ± 0.6 | 12.4 ± 0.3 | 13.4 ± 0.2 | 13.9 ± 0.3 | 14.3 ± 0.1 | 46.0 ± 0.5 |
| ″ | 2-Propanol | 9.6 ± 0.2 | 31.5 ± 1.1 | 11.8 ± 0.2 | 12.1 ± 0.3 | 14.8 ± 0.2 | 29.8 ± 0.7 |
| ″ | Acetone | 70.6 ± 1.1 | 47.2 ± 0.4 | 8.0 ± 0.1 | 9.3 ± 0.1 | 16.2 ± 0.2 | 19.3 ± 0.6 |
| ″ | Ethyl acetate | 83.9 ± 2.2 | 49.6 ± 1.1 | 5.9 ± 0.3 | 7.8 ± 0.3 | 19.7 ± 0.2 | 17.0 ± 1.5 |
| Broccoli | Ethanol | 2.6 ± 0.1 | 40.1 ± 0.4 | 15.5 ± 0.3 | 11.3 ± 0.3 | 12.0 ± 0.3 | 21.1 ± 0.5 |
| ″ | 2-Propanol | 6.2 ± 0.1 | 36.9 ± 1.0 | 12.1 ± 0.1 | 12.4 ± 0.1 | 13.3 ± 0.1 | 25.3 ± 1.0 |
| ″ | Acetone | 55.7 ± 1.6 | 53.2 ± 1.3 | 7.5 ± 0.2 | 8.3 ± 0.2 | 15.6 ± 0.3 | 15.4 ± 0.9 |
| ″ | Ethyl acetate | 68.2 ± 1.5 | 57.4 ± 0.3 | 5.1 ± 0.1 | 6.5 ± 0.4 | 18.8 ± 0.5 | 12.2 ± 0.4 |
| Mustard | Ethanol | 3.4 ± 0.1 | 22.9 ± 0.8 | 16.0 ± 0.2 | 13.1 ± 0.3 | 14.7 ± 0.4 | 33.3 ± 0.7 |
| ″ | 2-Propanol | 9.0 ± 0.0 | 32.1 ± 0.5 | 10.3 ± 0.1 | 12.3 ± 0.2 | 17.2 ± 0.2 | 28.1 ± 0.4 |
| ″ | Acetone | 52.1 ± 1.8 | 55.0 ± 1.8 | 6.5 ± 0.2 | 5.9 ± 0.1 | 18.8 ± 0.4 | 13.8 ± 0.5 |
| ″ | Ethyl acetate | 75.8 ± 3.2 | 55.2 ± 0.6 | 6.8 ± 0.2 | 6.1 ± 0.1 | 19.4v 0.1 | 12.5 ± 0.6 |
| Makonbu | Ethanol | 5.0 ± 0.1 | 11.7 ± 0.5 | 15.1 ± 0.6 | 19.9 ± 0.2 | 13.3 ± 0.1 | 40.0 ± 1.1 |
| ″ | 2-Propanol | 8.8 ± 0.1 | 29.2 ± 3.0 | 14.2 ± 0.7 | 13.8 ± 0.5 | 12.6 ± 0.1 | 30.2 ± 2.7 |
| ″ | Acetone | 58.3 ± 4.0 | 57.5 ± 0.6 | 8.5 ± 0.2 | 7.0 ± 0.3 | 13.4 ± 0.5 | 13.6 ± 0.7 |
| ″ | Ethyl acetate | 72.7 ± 1.8 | 61.1 ± 1.2 | 4.8 ± 0.1 | 4.0 ± 0.2 | 19.4 ± 0.5 | 10.7 ± 1.0 |
| Shiitake | Ethanol | 5.0 ± 0.0 | 10.7 ± 0.3 | 12.9 ± 0.1 | 18.8 ± 0.1 | 13.4 ± 0.2 | 44.2 ± 0.0 |
| ″ | 2-Propanol | 8.6 ± 0.2 | 31.6 ± 0.2 | 9.9 ± 0.1 | 12.8 ± 0.3 | 17.5 ± 0.0 | 28.2 ± 0.3 |
| ″ | Acetone | 53.6 ± 6.2 | 50.9 ± 2.3 | 7.1 ± 0.3 | 7.0 ± 0.5 | 19.2 ± 0.8 | 15.8 ± 0.8 |
| ″ | Ethyl acetate | 79.0 ± 4.0 | 66.3 ± 0.3 | 3.4 ± 0.1 | 2.8 ± 0.2 | 20.7 ± 0.1 | 6.8 ± 0.2 |
Publisher’s Note: MDPI stays neutral with regard to jurisdictional claims in published maps and institutional affiliations. |
© 2021 by the authors. Licensee MDPI, Basel, Switzerland. This article is an open access article distributed under the terms and conditions of the Creative Commons Attribution (CC BY) license (https://creativecommons.org/licenses/by/4.0/).
Share and Cite
Honda, M.; Murakami, K.; Ichihashi, K.; Takada, W.; Goto, M. Enriched (Z)-lycopene in Tomato Extract via Co-Extraction of Tomatoes and Foodstuffs Containing Z-isomerization-accelerating Compounds. Catalysts 2021, 11, 462. https://doi.org/10.3390/catal11040462
Honda M, Murakami K, Ichihashi K, Takada W, Goto M. Enriched (Z)-lycopene in Tomato Extract via Co-Extraction of Tomatoes and Foodstuffs Containing Z-isomerization-accelerating Compounds. Catalysts. 2021; 11(4):462. https://doi.org/10.3390/catal11040462
Chicago/Turabian StyleHonda, Masaki, Kazuya Murakami, Kohei Ichihashi, Wataru Takada, and Motonobu Goto. 2021. "Enriched (Z)-lycopene in Tomato Extract via Co-Extraction of Tomatoes and Foodstuffs Containing Z-isomerization-accelerating Compounds" Catalysts 11, no. 4: 462. https://doi.org/10.3390/catal11040462
APA StyleHonda, M., Murakami, K., Ichihashi, K., Takada, W., & Goto, M. (2021). Enriched (Z)-lycopene in Tomato Extract via Co-Extraction of Tomatoes and Foodstuffs Containing Z-isomerization-accelerating Compounds. Catalysts, 11(4), 462. https://doi.org/10.3390/catal11040462

