rGO Functionalized ZnO–TiO2 Core-Shell Flower-Like Architectures for Visible Light Photocatalysis
Abstract
1. Introduction
2. Results and Discussion
2.1. Graphene Oxide
2.2. ZnO Flower-Like Structures and ZnO–TiO2 Core-Shell Heterostructures
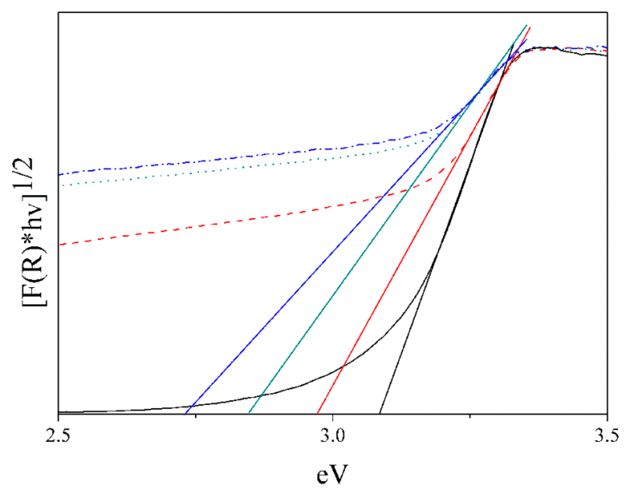
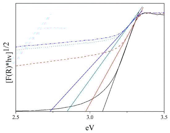
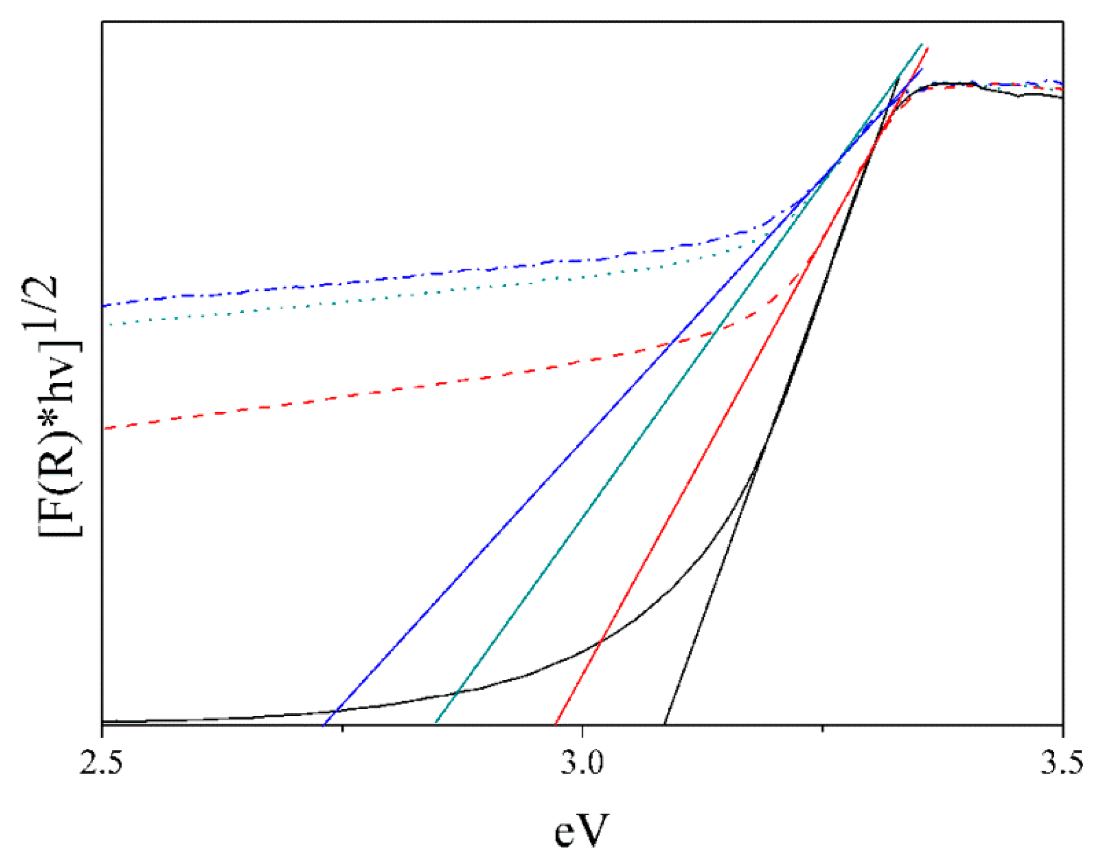
2.3. rGO-Modified ZnO–TiO2 Core-Shell Heterostructures
3. Materials and Methods
3.1. Synthesis of GO
3.2. Synthesis of ZnO Flower-Like Structures and ZnO–TiO2 Core-shell Heterostructures
3.3. Synthesis of ZnO–TiO2 Core-Shell Structures Wrapped with rGO
3.4. Characterization
3.5. Photocatalytic Study
4. Conclusions
Supplementary Materials
Author Contributions
Funding
Data Availability Statement
Acknowledgments
Conflicts of Interest
References
- Kwiatkowski, M.; Bezverkhyy, I.; Skompska, M. ZnO nanorods covered with a TiO2 layer: Simple sol–gel preparation, and optical, photocatalytic and photoelectrochemical properties. J. Mater. Chem. A 2015, 3, 12748–12760. [Google Scholar] [CrossRef]
- Vasilaki, E.; Vamvakaki, M.; Katsarakis, N. Complex ZnO-TiO2 Core–Shell Flower-Like Architectures with Enhanced Photocatalytic Performance and Superhydrophilicity without UV Irradiation. Langmuir 2018, 34, 9122–9132. [Google Scholar] [CrossRef] [PubMed]
- Boyadjiev, S.I.; Kéri, O.; Bárdos, P.; Firkala, T.; Gáber, F.; Nagy, Z.K.; Baji, Z.; Takács, M.; Szilágyi, I.M. TiO2/ZnO and ZnO/TiO2 core/shell nanofibers prepared by electrospinning and atomic layer deposition for photocatalysis and gas sensing. Appl. Surf. Sci. 2017, 424, 190–197. [Google Scholar] [CrossRef]
- Pan, L.; Shen, G.-Q.; Zhang, J.-W.; Wei, X.-C.; Wang, L.; Zou, J.-J.; Zhang, X. TiO2–ZnO Composite Sphere Decorated with ZnO Clusters for Effective Charge Isolation in Photocatalysis. Ind. Eng. Chem. Res. 2015, 54, 7226–7232. [Google Scholar] [CrossRef]
- Chu, Y.-M.; Javed, H.M.; Awais, M.; Khan, M.I.; Shafqat, S.; Khan, F.S.; Mustafa, M.S.; Ahmed, D.; Khan, S.U.; Khalil, R.M. Photocatalytic Pretreatment of Commercial Lignin Using TiO2-ZnO Nanocomposite-Derived Advanced Oxidation Processes for Methane Production Synergy in Lab Scale Continuous Reactors. Catalysts 2021, 11, 54. [Google Scholar] [CrossRef]
- Vasilaki, E.; Georgaki, I.; Vernardou, D.; Vamvakaki, M.; Katsarakis, N. Ag-loaded TiO2/reduced graphene oxide nanocomposites for enhanced visible-light photocatalytic activity. Appl. Surf. Sci. 2015, 353, 865–872. [Google Scholar] [CrossRef]
- Lv, W.; Wei, B.; Xu, L.; Zhao, Y.; Gao, H.; Liu, J. Photocatalytic properties of hierarchical ZnO flowers synthesized by a sucrose-assisted hydrothermal method. Appl. Surf. Sci. 2012, 259, 557–561. [Google Scholar] [CrossRef]
- Qin, J.; Zhang, X.; Yang, C.; Cao, M.; Ma, M.; Liu, R. ZnO microspheres-reduced graphene oxide nanocomposite for photocatalytic degradation of methylene blue dye. Appl. Surf. Sci. 2017, 392, 196–203. [Google Scholar] [CrossRef]
- Zhang, B.; Yang, F.; Liu, H.; Yan, L.; Yang, W.; Xu, C.; Huang, S.; Li, Q.; Bao, W.; Liu, B.; et al. Assembling Graphene-Encapsulated Pd/TiO2 Nanosphere with Hierarchical Architecture for High-Performance Visible-Light-Assisted Methanol Electro-Oxidation Material. Ind. Eng. Chem. Res. 2019, 58, 19486–19494. [Google Scholar] [CrossRef]
- Sookhakian, M.; Amin, Y.M.; Zakaria, R.; Baradaran, S.; Mahmoudian, M.R.; Rezayi, M.; Tajabadi, M.T.; Basirun, W.J. Enhanced Photovoltaic Performance of Polymer Hybrid Nanostructure Heterojunction Solar Cells Based on Poly(3-hexylthiophene)/ZnS/ZnO/Reduced Graphene Oxide Shell–Core Nanorod Arrays. Ind. Eng. Chem. Res. 2014, 53, 14301–14309. [Google Scholar] [CrossRef]
- Ong, W.-J.; Voon, S.-Y.; Tan, L.-L.; Goh, B.T.; Yong, S.-T.; Chai, S.-P. Enhanced Daylight-Induced Photocatalytic Activity of Solvent Exfoliated Graphene (SEG)/ZnO Hybrid Nanocomposites toward Degradation of Reactive Black 5. Ind. Eng. Chem. Res. 2014, 53, 17333–17344. [Google Scholar] [CrossRef]
- Johra, F.T.; Jung, W.-G. RGO–TiO2–ZnO composites: Synthesis, characterization, and application to photocatalysis. Appl. Catal. A Gen. 2015, 491, 52–57. [Google Scholar] [CrossRef]
- Potle, V.D.; Shirsath, S.R.; Bhanvase, B.A.; Saharan, V.K. Sonochemical preparation of ternary rGO-ZnO-TiO2 nanocomposite photocatalyst for efficient degradation of crystal violet dye. Optik 2020, 208, 164555. [Google Scholar] [CrossRef]
- Liu, X.; Pan, L.; Lv, T.; Sun, Z. Investigation of photocatalytic activities over ZnO–TiO2–reduced graphene oxide composites synthesized via microwave-assisted reaction. J. Colloid Interface Sci. 2013, 394, 441–444. [Google Scholar] [CrossRef]
- Raghavan, N.; Thangavel, S.; Venugopal, G. Enhanced photocatalytic degradation of methylene blue by reduced graphene-oxide/titanium dioxide/zinc oxide ternary nanocomposites. Mater. Sci. Semicond. Process. 2015, 30, 321–329. [Google Scholar] [CrossRef]
- Divya, K.S.; Xavier, M.M.; Vandana, P.V.; Reethu, V.N.; Mathew, S. A quaternary TiO2/ZnO/RGO/Ag nanocomposite with enhanced visible light photocatalytic performance. New J. Chem. 2017, 41, 6445–6454. [Google Scholar] [CrossRef]
- Malekshoar, G.; Pal, K.; He, Q.; Yu, A.; Ray, A.K. Enhanced Solar Photocatalytic Degradation of Phenol with Coupled Graphene-Based Titanium Dioxide and Zinc Oxide. Ind. Eng. Chem. Res. 2014, 53, 18824–18832. [Google Scholar] [CrossRef]
- Van Bao, H.; Dat, N.M.; Giang, N.T.H.; Thinh, D.B.; Tai, L.T.; Trinh, D.N.; Hai, N.D.; Khoa, N.A.D.; Huong, L.M.; Nam, H.M.; et al. Behavior of ZnO-doped TiO2/rGO nanocomposite for water treatment enhancement. Surf. Interfaces 2021, 23, 100950. [Google Scholar] [CrossRef]
- Nguyen, C.H.; Tran, M.L.; Van Tran, T.T.; Juang, R.-S. Enhanced removal of various dyes from aqueous solutions by UV and simulated solar photocatalysis over TiO2/ZnO/rGO composites. Sep. Purif. Technol. 2020, 232, 115962. [Google Scholar] [CrossRef]
- Pan, X.; Yang, P.; Nan, H.; Yang, L.; Chen, H.; Zhao, X. Preparation and enhanced visible-light photoelectrocatalytic activity of ternary TiO2ZnO/RGO nanocomposites. Electrochim. Acta 2018, 261, 284–288. [Google Scholar] [CrossRef]
- Li, Q.; Li, X.; Swelm, W.; Al-Ghamdi, A.A.; Yu, J. CdS/Graphene Nanocomposite Photocatalysts. Adv. Energy Mater. 2015, 5, 1500010. [Google Scholar] [CrossRef]
- Liang, Y.; Wang, H.; Casalongue, H.S.; Chen, Z.; Dai, H. TiO2 nanocrystals grown on graphene as advanced photocatalytic hybrid materials. Nano Res. 2010, 3, 701–705. [Google Scholar] [CrossRef]
- Pei, F.; Xu, S.; Zuo, W.; Zhang, Z.; Liu, Y.; Cao, S. Effective improvement of photocatalytic hydrogen evolution via a facile in-situ solvothermal N-doping strategy in N-TiO2/N-graphene nanocomposite. Int. J. Hydrogen Energy 2014, 39, 6845–6852. [Google Scholar] [CrossRef]
- Cao, X.; Tian, G.; Chen, Y.; Zhou, J.; Zhou, W.; Tian, C.; Fu, H. Hierarchical composites of TiO2 nanowire arrays on reduced graphene oxide nanosheets with enhanced photocatalytic hydrogen evolution performance. J. Mater. Chem. A 2014, 2, 4366–4374. [Google Scholar] [CrossRef]
- Shen, J.; Shi, M.; Yan, B.; Ma, H.; Li, N.; Ye, M. Ionic liquid-assisted one-step hydrothermal synthesis of TiO2-reduced graphene oxide composites. Nano Res. 2011, 4, 795–806. [Google Scholar] [CrossRef]
- Poh, H.L.; Šaněk, F.; Ambrosi, A.; Zhao, G.; Sofer, Z.; Pumera, M. Graphenes prepared by Staudenmaier, Hofmann and Hummers methods with consequent thermal exfoliation exhibit very different electrochemical properties. Nanoscale 2012, 4, 3515–3522. [Google Scholar] [CrossRef]
- Johra, F.T.; Lee, J.-W.; Jung, W.-G. Facile and safe graphene preparation on solution based platform. J. Ind. Eng. Chem. 2014, 20, 2883–2887. [Google Scholar] [CrossRef]
- Stobinski, L.; Lesiak, B.; Malolepszy, A.; Mazurkiewicz, M.; Mierzwa, B.; Zemek, J.; Jiricek, P.; Bieloshapka, I. Graphene oxide and reduced graphene oxide studied by the XRD, TEM and electron spectroscopy methods. J. Electron. Spectrosc. Relat. Phenom. 2014, 195, 145–154. [Google Scholar] [CrossRef]
- Zhang, K.; Zhang, Y.; Wang, S. Enhancing thermoelectric properties of organic composites through hierarchical nanostructures. Sci. Rep. 2013, 3, 3448. [Google Scholar] [CrossRef] [PubMed]
- Kudin, K.N.; Ozbas, B.; Schniepp, H.C.; Prud’Homme, R.K.; Aksay, I.A.; Car, R. Raman Spectra of Graphite Oxide and Functionalized Graphene Sheets. Nano Lett. 2008, 8, 36–41. [Google Scholar] [CrossRef]
- Kim, H.J.; Lee, S.-M.; Oh, Y.-S.; Yang, Y.-H.; Lim, Y.S.; Yoon, D.H.; Lee, C.; Kim, J.-Y.; Ruoff, R.S. Unoxidized Graphene/Alumina Nanocomposite: Fracture- and Wear-Resistance Effects of Graphene on Alumina Matrix. Sci. Rep. 2015, 4, 5176. [Google Scholar] [CrossRef] [PubMed]
- Wang, Y.; Li, Y.; Tang, L.; Lu, J.; Li, J. Application of graphene-modified electrode for selective detection of dopamine. Electrochem. Commun. 2009, 11, 889–892. [Google Scholar] [CrossRef]
- Shen, J.; Yan, B.; Shi, M.; Ma, H.; Li, N.; Ye, M. One step hydrothermal synthesis of TiO2-reduced graphene oxide sheets. J. Mater. Chem. 2011, 21, 3415–3421. [Google Scholar] [CrossRef]
- Tan, L.-L.; Ong, W.-J.; Chai, S.-P.; Mohamed, A.R. Reduced graphene oxide-TiO2 nanocomposite as a promising visible-light-active photocatalyst for the conversion of carbon dioxide. Nanoscale Res. Lett. 2013, 8, 465. [Google Scholar] [CrossRef] [PubMed]
- Zhang, J.; Xiao, F.-X.; Xiao, G.; Liu, B. Self-assembly of a Ag nanoparticle-modified and graphene-wrapped TiO2 nanobelt ternary heterostructure: Surface charge tuning toward efficient photocatalysis. Nanoscale 2014, 6, 11293–11302. [Google Scholar] [CrossRef] [PubMed]
- Yang, X.; Chen, W.; Huang, J.; Zhou, Y.; Zhu, Y.; Li, C. Rapid degradation of methylene blue in a novel heterogeneous Fe3O4 @rGO@TiO2-catalyzed photo-Fenton system. Sci. Rep. 2015, 5, 10632. [Google Scholar] [CrossRef]
- Zheng, P.; Liu, T.; Su, Y.; Zhang, L.; Guo, S. TiO2 nanotubes wrapped with reduced graphene oxide as a high-performance anode material for lithium-ion batteries. Sci. Rep. 2016, 6, 36580. [Google Scholar] [CrossRef]
- Lee, J.S.; You, K.H.; Park, C.B. Highly Photoactive, Low Bandgap TiO2 Nanoparticles Wrapped by Graphene. Adv. Mater. 2012, 24, 1084–1088. [Google Scholar] [CrossRef] [PubMed]
- Lui, G.; Liao, J.-Y.; Duan, A.; Zhang, Z.; Fowler, M.; Yu, A. Graphene-wrapped hierarchical TiO2 nanoflower composites with enhanced photocatalytic performance. J. Mater. Chem. A 2013, 1, 12255–12262. [Google Scholar] [CrossRef]
- Liu, C.; Hao, F.; Zhao, X.; Zhao, Q.; Luo, S.; Lin, H. Low temperature reduction of free-standing graphene oxide papers with metal iodides for ultrahigh bulk conductivity. Sci. Rep. 2015, 4, 1–6. [Google Scholar] [CrossRef] [PubMed]
- Shu, W.; Liu, Y.; Peng, Z.; Chen, K.; Zhang, C.; Chen, W. Synthesis and photovoltaic performance of reduced graphene oxide–TiO2 nanoparticles composites by solvothermal method. J. Alloys Compd. 2013, 563, 229–233. [Google Scholar] [CrossRef]
- Ngo-Duc, T.; Singh, K.; Meyyappan, M.; Oye, M.M. Vertical ZnO nanowire growth on metal substrates. Nanotechnology 2012, 23, 194015. [Google Scholar] [CrossRef] [PubMed]
- Zhang, R.; Yin, P.-G.; Wang, N.; Guo, L. Photoluminescence and Raman scattering of ZnO nanorods. Solid State Sci. 2009, 11, 865–869. [Google Scholar] [CrossRef]
- Singh, A.K.; Thool, G.S.; Bangal, P.R.; Madhavendra, S.S.; Singh, S.P. Low Temperature Mn Doped ZnO Nanorod Array: Synthesis and Its Photoluminescence Behavior. Ind. Eng. Chem. Res. 2014, 53, 9383–9390. [Google Scholar] [CrossRef]
- Min, Y.; Zhang, K.; Zhao, W.; Zheng, F.; Chen, Y.; Zhang, Y. Enhanced chemical interaction between TiO2 and graphene oxide for photocatalytic decolorization of methylene blue. Chem. Eng. J. 2012, 193–194, 203–210. [Google Scholar] [CrossRef]
- Zhang, H.; Lv, X.; Li, Y.; Wang, Y.; Li, J. P25-Graphene Composite as a High Performance Photocatalyst. ACS Nano 2009, 4, 380–386. [Google Scholar] [CrossRef]
- Sakthivel, S.; Kisch, H. Daylight Photocatalysis by Carbon-Modified Titanium Dioxide. Angew. Chem. Int. Ed. 2003, 42, 4908–4911. [Google Scholar] [CrossRef] [PubMed]
- Kwiatkowski, M.; Chassagnon, R.; Heintz, O.; Geoffroy, N.; Skompska, M.; Bezverkhyy, I. Improvement of photocatalytic and photoelectrochemical activity of ZnO/TiO2 core/shell system through additional calcination: Insight into the mechanism. Appl. Catal. B Environ. 2017, 204, 200–208. [Google Scholar] [CrossRef]
- Nguyen-Phan, T.-D.; Pham, V.H.; Shin, E.W.; Pham, H.-D.; Kim, S.; Chung, J.S.; Kim, E.J.; Hur, S.H. The role of graphene oxide content on the adsorption-enhanced photocatalysis of titanium dioxide/graphene oxide composites. Chem. Eng. J. 2011, 170, 226–232. [Google Scholar] [CrossRef]
- Chen, C.; Cai, W.; Long, M.; Zhou, B.; Wu, Y.; Wu, D.; Feng, Y. Synthesis of Visible-Light Responsive Graphene Oxide/TiO2 Composites with p/n Heterojunction. ACS Nano 2010, 4, 6425–6432. [Google Scholar] [CrossRef] [PubMed]
- Scanlon, D.O.; Dunnill, C.W.; Buckeridge, J.; Shevlin, S.A.; Logsdail, A.J.; Woodley, S.M.; Catlow, C.R.A.; Powell, M.J.; Palgrave, R.G.; Parkin, I.P.; et al. Band alignment of rutile and anatase TiO2. Nat. Mater. 2013, 12, 798–801. [Google Scholar] [CrossRef]
- Lei, Y.; Zhao, G.; Liu, M.; Zhang, Z.; Tong, X.; Cao, T. Fabrication, Characterization, and Photoelectrocatalytic Application of ZnO Nanorods Grafted on Vertically Aligned TiO2 Nanotubes. J. Phys. Chem. C 2009, 113, 19067–19076. [Google Scholar] [CrossRef]
- Zhang, J.; Xiong, Z.; Zhao, X.S. Graphene–metal–oxide composites for the degradation of dyes under visible light irradiation. J. Mater. Chem. 2011, 21, 3634–3640. [Google Scholar] [CrossRef]
- Liu, L.; Bai, H.; Liu, J.; Sun, D.D. Multifunctional graphene oxide-TiO2-Ag nanocomposites for high performance water disinfection and decontamination under solar irradiation. J. Hazard. Mater. 2013, 261, 214–223. [Google Scholar] [CrossRef] [PubMed]
- Wang, P.; Wang, J.; Ming, T.; Wang, X.; Yu, H.; Yu, J.; Wang, Y.; Lei, M. Dye-Sensitization-Induced Visible-Light Reduction of Graphene Oxide for the Enhanced TiO2 Photocatalytic Performance. ACS Appl. Mater. Interfaces 2013, 5, 2924–2929. [Google Scholar] [CrossRef]
- Wei, L.; Chen, S.; Yang, Y.; Dong, Y.; Song, W.; Fan, R. Reduced graphene oxide modified TiO2 semiconductor materials for dye-sensitized solar cells. RSC Adv. 2016, 6, 100866–100875. [Google Scholar] [CrossRef]
- Shang, Q.; Huang, X.; Tan, X.; Yu, T. High Activity Ti3+-Modified Brookite TiO2/Graphene Nanocomposites with Specific Facets Exposed for Water Splitting. Ind. Eng. Chem. Res. 2017, 56, 9098–9106. [Google Scholar] [CrossRef]
- Huang, Y.; Li, R.; Chen, D.; Hu, X.; Chen, P.; Chen, Z.; Li, D. Synthesis and Characterization of CNT/TiO2/ZnO Composites with High Photocatalytic Performance. Catalysts 2018, 8, 151. [Google Scholar] [CrossRef]
- Zhang, Y.; Tang, Z.-R.; Fu, X.; Xu, Y.-J. TiO2−Graphene Nanocomposites for Gas-Phase Photocatalytic Degradation of Volatile Aromatic Pollutant: Is TiO2−Graphene Truly Different from Other TiO2−Carbon Composite Materials? ACS Nano 2010, 4, 7303–7314. [Google Scholar] [CrossRef] [PubMed]
- Zhou, K.; Zhu, Y.; Yang, X.; Jiang, X.; Li, C. Preparation of graphene–TiO2 composites with enhanced photocatalytic activity. New J. Chem. 2011, 35, 353–359. [Google Scholar] [CrossRef]
- Simsek, E.B.; Kilic, B.; Asgin, M.; Akan, A. Graphene oxide based heterojunction TiO2 –ZnO catalysts with outstanding photocatalytic performance for bisphenol-A, ibuprofen and flurbiprofen. J. Ind. Eng. Chem. 2018, 59, 115–126. [Google Scholar] [CrossRef]









| Sample | Eg (eV) |
|---|---|
| ZnO–TiO2 | 3.08 |
| ZT-rGO 0.5 wt % | 2.97 |
| ZT-rGO 2 wt % | 2.84 |
| ZT-rGO 5 wt % | 2.72 |
Publisher’s Note: MDPI stays neutral with regard to jurisdictional claims in published maps and institutional affiliations. |
© 2021 by the authors. Licensee MDPI, Basel, Switzerland. This article is an open access article distributed under the terms and conditions of the Creative Commons Attribution (CC BY) license (http://creativecommons.org/licenses/by/4.0/).
Share and Cite
Vasilaki, E.; Katsarakis, N.; Dokianakis, S.; Vamvakaki, M. rGO Functionalized ZnO–TiO2 Core-Shell Flower-Like Architectures for Visible Light Photocatalysis. Catalysts 2021, 11, 332. https://doi.org/10.3390/catal11030332
Vasilaki E, Katsarakis N, Dokianakis S, Vamvakaki M. rGO Functionalized ZnO–TiO2 Core-Shell Flower-Like Architectures for Visible Light Photocatalysis. Catalysts. 2021; 11(3):332. https://doi.org/10.3390/catal11030332
Chicago/Turabian StyleVasilaki, Evangelia, Nikos Katsarakis, Spyros Dokianakis, and Maria Vamvakaki. 2021. "rGO Functionalized ZnO–TiO2 Core-Shell Flower-Like Architectures for Visible Light Photocatalysis" Catalysts 11, no. 3: 332. https://doi.org/10.3390/catal11030332
APA StyleVasilaki, E., Katsarakis, N., Dokianakis, S., & Vamvakaki, M. (2021). rGO Functionalized ZnO–TiO2 Core-Shell Flower-Like Architectures for Visible Light Photocatalysis. Catalysts, 11(3), 332. https://doi.org/10.3390/catal11030332

