Abstract
Converting useless feedstock into biodiesel by utilizing the process of transesterification has been regarded as an alternative approach recently used to address the fuel and energy resources shortage issues. Nanobiocatalysts (NBCs), containing the biological component of lipase enzyme immobilized on nanomaterials (NMs), have also been presented as an advanced catalyst to effectively carry out the process of transesterification with appreciable yields. This study highlights the fundamentals associated with NBCs and the transesterification reaction catalyzed by NBCs for summarizing present academic literature reported in this research domain in recent years. Classification of the NBCs with respect to the nature of NMs and immobilization methods of lipase enzyme is also provided for organizing the recently documented case studies. This review is designed to act as a guideline for the researchers aiming to explore this domain of biodiesel production via NBCs as well as for the scholars looking to expand on this field.
1. Introduction
Due to ever-increasing world population and modernization, the total consump-tion of energy has increased tremendously in recent years. For any country, the availa-bility of energy resources is considered a crucial factor influencing the socioeconomic development of that country. The unplanned utilization of these resources particularly petroleum products in transportation and industrial processes is increasing the deple-tion problems in the case of energy resources. Consequently, the prices of these prod-ucts are becoming unaffordable for a common man. The burning of these fossil fuels is also responsible for introducing high levels of carbon dioxide in the atmosphere which directly affects the environment in terms of global warming and is causing sudden climate changes. Several health problems such as cancerous diseases and respiratory ailments are also found to be directly associated with the emissions of these fossil fuels [1,2,3].
Owing to the aforementioned issues, it is necessary to find alternative energy sources which not only provide similar results in terms of fuel efficacy but must also be eco-friendly and cost-effective. In this regard, the domain of biofuel has gained much attention from scientific communities during the last few decades as an alternative to these conventional fuels. The remarkable characteristics of biodiesel have made it a promising candidate to fulfill the upcoming world’s future power demands. The unique features of biodiesel include biodegradability, environment friendly, less tox-icity, high combustion efficacy, renewability, and reduced emissions of sulfur oxides (SOx) and nitrogen oxides (NOx) on burning [4].
To highlight the reasons for increasing demand of this alternate energy source, recent studies are reviewed comprehensively for organizing the literature in terms of the utilized feedstock, the nature of the nanomaterials (NMs) used in nanobiocatalysts (NBCs), and the immobilization method used for fabrication of lipase enzyme in NBCs. This review article will act as a guideline to thoroughly understand the NBCs used as the catalysts for the production of this cutting-edge energy source of biofuel.
2. Resources of Biodiesel Production
A wide variety of feedstock has been tested for the production of biodiesel including the potential sources of oilseeds, algae, and animal fats. The selection of feedstock for biodiesel production is a crucial parameter as some of the feedstock resources are of high cost and utilization of the high-cost raw materials will make production of biodiesel an uneconomical process. Here, we have represented the three major classes of feedstock, along with their characteristics and availability, which are usually utilized for the production of biodiesel.
2.1. First-Generation Feedstock Oils
The use of vegetable oil has drawn much attention in this regard as the manufacturing of biodiesel from this source is relatively easy to prepare and is environmentally safe. If a country is rich in agricultural resources and can cultivate numerous oily feedstock providing crops then the edible oils can be used for biodiesel production. These oils include safflower [4], rapeseed [5,6], cardoon [7], coconut, soybean, sunflower, olive, almond, and canola oil, etc. [8,9,10]. These oils are suitable for biodiesel production due to their unique physicochemical properties such as low sulfur content and presence of aromatic constituents as well as their abundance but the use of these edible oils as feedstock competes with their utilization as an essential food [11]. Due to the increase in the human population, the demand for these edible oils is increasing day by day and its consumption in biodiesel manufacturing may result in the high cost of these edible oils in markets [1]. Therefore, using edible oil for biodiesel production is not considered a good practice. These issues have motivated the researchers to search for alternative ways for the feedstock which may not create a shortage in the human nourishment resources.
2.2. Second-Generation Feedstock Oils
Despite using edible oil for biodiesel production, the non-edible oils can be used for feedstock as well. These oils are classified as second-generation feedstock oils. Examples of these oils include waste frying oils, jatropha, palm, and linseed oils [12,13]. To overcome the issue of food/fuel debate associated with the first-generation feedstock, this second-generation feedstock is very helpful as it is non-edible and does not compete with the essentiality of food. However, there appeared to be a big issue of consumption of fertile land for the cultivation of these non-edible crops in comparison to the utilization of land and water for food production. Owing to these problems, the non-edible feedstock could not get much fame even when it was observed that these were much more efficient and eco-friendly as compared to the first generation feedstock oils [14].
The essentials such as animal fats including lard, chicken fat [15], fish fat, beef, and duck tallow are usually considered as kitchen waste [16,17]. The problem associated with the use of animal fat as feedstock is the presence of high levels of saturation which make it unsuitable to use in colder regions where the annual temperature is quite low. Besides this, this kind of feedstock is more prone to oxidation due to the lesser amount of natural anti-oxidants present in these oils [18].
Similarly, frying waste oil as source material is also included in this feedstock class [19,20]. The price of this feedstock is much lower than others because in many restaurants and hotels, this oil is disposed of after successive frying. The disposal of this oil may cause severe problems such as a blockage in drain pipes and also a threat to aquatic life. Owing to the high levels of impurities and free fatty acids, these gutter oils need ultrafiltration and purification for further use in the manufacturing of high purity biodiesel.
2.3. Third-Generation Feedstock Oils
Third-generation feedstock includes algae, microbes, and yeast for oil production. This kind of source materials has successfully cleared the objections of competition with food and land as observed in the first and second-generation feedstock. The ex-traction of oil from these organisms yields a hundred times (up to 300) higher than the above-mentioned classes [21]. Moreover, the growth rate of these organisms is more than conventional oil crops. Some other remarkable properties of these sources are increased carbon dioxide fixation, no need for growth land, and production of biomass is higher [22].
All the above-mentioned generations of feedstock have their advantages and disadvantages along with some challenges, these are summarized in Table 1 [23].
Table 1.
Summary of advantages and disadvantages of different feedstock oils used for the synthesis of biodiesel.
The extracted oil from the source material needs to be converted into biodiesel for practical use in engines. The conversion of crude oil to biodiesel modifies its chemical properties along with the reduction in the oil kinematic viscosity which is ten times higher than that of petroleum diesel. The as-obtained biodiesel converted from the oil can be used with or without little modification in the engine.
3. Biodiesel Production Strategies
Conversion of oil into biodiesel can be acquired from different ways such as py-rolysis, microemulsion, and transesterification. Among the conventional methodolo-gies, transesterification is regarded as the most effective way for synthesizing biodiesel as the prepared biodiesel has comparable physicochemical properties with the petro-leum diesel. There is no need for any modification in the vehicle engines for the intro-duction and consumption of the biodiesel obtained from this method. The transesteri-fication process can be enhanced by utilizing different types of catalysts. With respect to the types of catalyst used, the transesterification can be classified into the following typical categories including acid catalyzed transesterification; alkaline catalyzed transesterification; lipase catalyzed transesterification, transition metal compound catalyzed transesterification, and silicates catalyzed transesterification [24,25].
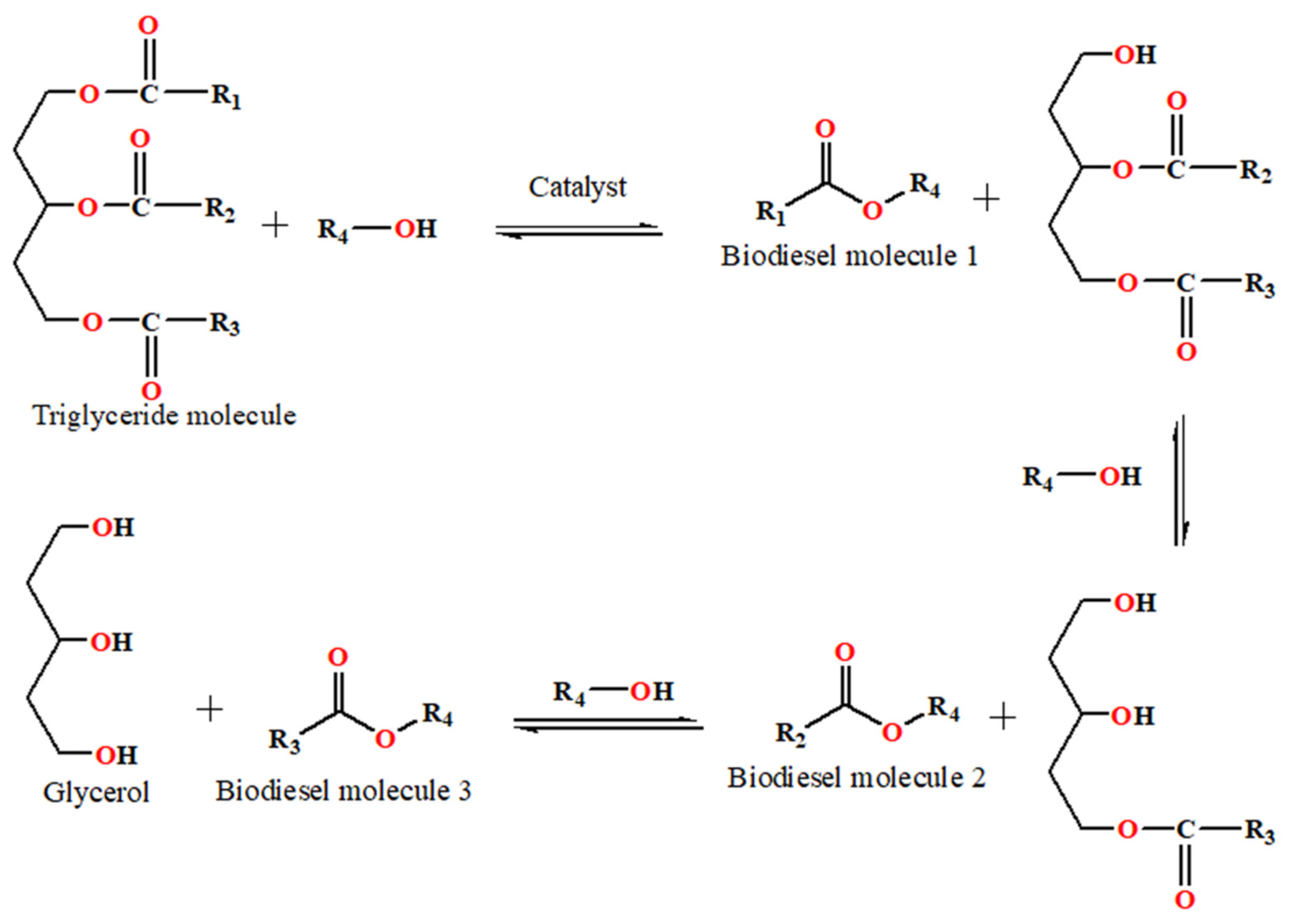
Transesterification is a three-step reaction that requires a temperature around sixty to seventy degrees centigrade as it relates to the activation/boiling point of the used alcohol. It is a reversible reaction and the reactants need a catalyst to enhance the efficacy of the reaction. Generally, the starting material of this reaction is triglycerides (oils and fats) and alcohol (Figure 1). As mentioned earlier, it is a multistep reaction so the first step proceeds with the reaction of methanol and triglycerides resulting in the formation of diglycerides. Then in the next step, these diglycerides react with the remaining methanol and form monoglycerides. In the final step of this reaction, the monoglycerides react with the methanol and glycerol is produced. The pictorial description of the transesterification process is represented in Figure 1. These reactants are heated in the presence of a catalyst. Mostly, the basic catalyst is used in this process [11,26]. In recent years, the academic literature has shifted to the use of NBCs instead of typical catalysts for carrying out the process of transesterification.
Figure 1.
Three-step transesterification process.
In order to reduce the drawbacks of uneconomical raw materials, lengthy mul-ti-steps and low conversion rates, the scientific community is always searching for new ideas to develop a process that could address these issues. In this regard, the enzymatic method has gained much attention due to its ubiquitous properties of recovery/purity of the synthesized products, absence of soap formation in the reaction chamber, and higher conversion rates. Besides this, the use of lipase as an enzyme for transesterifica-tion is of great interest as this enzyme can work with broader ranges of feedstock. While working with the used frying oil and animal fats, one has to overcome the issues of moisture and free fatty acids. However, lipase enzyme can even work efficiently in such troublesome situations as well [2].
On the conflicting side, there appeared some disadvantages regarding the use of lipase enzyme. Use of enzyme makes this process costly and time-taking. Furthermore, disadvantages including the low stability, low recovery rates, and the associated low efficacy of free enzymes at the elevated conditions (high temperatures and pH) are considered hurdles against choosing this process on an industrial scale [27,28].
To overcome the aforementioned problems associated with the use of enzymes as a catalyst, the use of lipase immobilization techniques on solid supports is considered a novel state of the art technique extensively used in the recent years for the production of biodiesel. However, owing to less conformational restrictions and greater Brownian movement, nanomoieties are considered to be better support for enzyme immobilization as compared to the macro-sized conventional supports. In this context, NBCs comprising of various shapes, compositions, and sizes of nanoparticles (Figure 2), have appeared as potent nanocatalysts for biodiesel production. This technique provides a very promising solution in terms of reducing the cost owing to the high reusability rates and for increasing the shelf life of the enzyme. A detailed overview of the conventional methodologies and recent advancements is presented in Figure 2.
Figure 2.
Fundamentals of biodiesel production through enzymatic transesterification.
4. Nanobiocatalysts (NBCs)
The NBCs utilized for the process of transesterification are primarily composed of two components i.e., the nanocatalyst component and the biological component. The peculiar characteristics of both components are essential in determining the efficacy of the NBCs for the process of biodiesel production. Typical steps involved in the trans-esterification reaction utilizing the NBCs are similar to as employed for simple nano-catalysts. It includes the addition of specified amount of NBCs (usually sonicated for dispersion formation), alcohol, water and the raw material/feedstock in the conical flask. The acquired reaction mixture is homogenized by placing in an incubating shak-er till the completion of the transesterification reaction. Formed glycerol is easily sep-arated from medium by using various physical methodologies including fractionating funnel or simple pouring based separation of the acquired layers. The obtained product is then purified by using the rotatory evaporator functioning under reduced condi-tions. The NBCs are separated from the residual mixture by the process of centrifuga-tion or magnetic field-based separation depending upon the nature of nanocatalytic component of NBCs [11,16,18]. Upon the basis of the nature of the nanocatalyst systems, the utilized NBCs are broadly classified into NBCs containing magnetic NMs, inorganic NMs, carbon scaffolds based NMs, and ordered mesoporous NMs. In the case of biological component, the NBCs are further classified with respect to the immobilization strategy utilized for the conjugation of the NMs with the biological component. Details of the case studies documenting various NBCs used for carrying out the process of transesterification are presented in the following subheadings.
4.1. Nanocatalytic Component of NBCs
The component of the assembly that lies within the nanometer range constitutes the nanocatalytic portion of the NBCs. Depending upon the nature of the utilized nanocatalytic system, the NBCs can be divided into the following categories.
4.1.1. NBCs Containing Magnetic NMs
Recent academic literature survey indicated that among all the NMs, magnetic NMs have been the most extensively utilized material as a nanocatalytic component of NBCs. Generally, the NMs having mean diameter in nanometer range have been documented as the lipase enzyme immobilization medium for the synthesis of NBCs. Dimensions in the range of nanometers scale for the magnetic NMs ensures the peculiar superparamagnetic properties, enhanced surface area values, larger number of the available active site, cheap preparative methodology and facile separation procedures (removal from the medium by using the influence of external magnetic field) to be present in the NBCs. Commonly, the two types of ferrite colloids including magnetite (Fe3O4) [29] and maghemite (γ-Fe2O3) [30] are utilized as the magnetic nanocatalytic component of the NBCs. As indicated by the literature survey performed in Table 2, the NBCs containing Fe3O4 NMs are most widely used as the main representative element for the magnetically active NBCs. Although the preparation methodology required for Fe3O4 NMs (i.e., co-precipitation procedure) is quite facile, additional functionalization steps are required for the immobilization of the lipase enzyme on these NMs. This additional requirements of modification are attributed to the facts that bare/pure Fe3O4 NMs are susceptible to air oxidative reactions, unstable under acidic conditions, and unable to develop interactions with the biological molecules owing to their hydrophobic inorganic nature [31]. Keeping in mind the above-stated shortcomings of Fe3O4 NMs, numerous surface engineering techniques (most widely used grafting strategy) are utilized for making these NMs appropriate to be utilized for biological/enzymatic applications. Modification of the surface of the NMs by functionalizing it with specific functional groups (such as amines or carboxylic groups) further facilitates the attachment of the lipase enzyme (a biological component of NBCs) with the NMs by developing covalent bonds at the specific sites of the immobilizing enzyme [32].
Table 2.
Case studies representing the summary of the Nanobiocatalysts utilized.
For the amino functionalization of Fe3O4 NMs, the amino silanes (particularly 3-aminopropyl triethoxysilane (AP)) are utilized as the most commonly used functionalizing reagent for NMs. The hydrophobic nature of the silanes, owing to the presence of strong silicon-oxygen (inorganic) backbone and flexible hydrophobic carbon tail, makes the grafting of the silanes over NMs quite easy as the nature of both the grafting medium and grafting agent complements each other. The presence of an amino group is further utilized for converting the hydrophobic surface of the AP coated NMs into the more hydrophobic surface by using the functionalizing reagent of glutaraldehyde (GA). This functionalization is essential for immobilizing the enzyme on the surface of NMs. The interaction between AP and GA is facile as the natural affinity of the amino group with the carboxylic group to form amide bonds is involved during this bifunctional surface engineering of NMs. Costa et al. [33] engineered Fe3O4 NPs by utilizing the co-precipitation method and functionalized it with AP and GA, respectively. The functionalized NMs were used to covalently immobilize the Candida antarctica lipase B to synthesize the NBCs. Touqeer et al. [20] synthesized PDA stabilized Fe3O4 NPs by utilizing the solvothermal method. The lipase from the Aspergillus terreus AH-F2 was covalently immobilized over the synthesized NPs and the prepared NBCs were used for catalyzing the transesterification of the waste cooking oil to produce biodiesel. Case studies reporting these magnetic NBCs are summarized in the Table 2.
4.1.2. NBCs Containing Inorganic Nanoscaffolds
Inorganic nanoscafolds, including graphene oxide (GO), carbon nanotubes (CNTs), silica (SiO2), and alumina (Al2O3), etc. are also one of the most extensively utilized nanocarriers for the synthesis of the NBCs. These inorganic rigid nanoscaffolds provide numerous advantages over other NMs for the immobilization of the lipase enzyme. GO is an exceptional material known for its extremely large surface area, extremely high thermal stability, high mechanical strength, and availability of two-dimensional surfaces for the grafting or functionalization procedures [34]. The presence of various functional moieties including carboxylic groups, hydroxyl groups, and epoxy groups facilitates the successful immobilization of the lipase without using peculiar cross-linking and functionalizing agents. In terms of immobilization of the lipase on GO to form NBCs, the use of immobilization methods including covalent, physical, and entrapment methodology has been documented in the academic literature [34]. Li et al. [35] utilized carboxylic groups of GO for immobilizing the lipase enzyme to synthesize NBCs. The NBCs exhibited 80% hydrolytic efficacy which was found to be far greater than the activity shown by the free lipase enzyme indicating that GO is an exceptional material for the immobilization of the lipase enzyme. Rather than using GO as a nanocatalytic component of the NBCs, the GO is often utilized in the nanocomposite form where certain other NMs are embedded in the single atomic honey-comb carbon sheet to acquire the supporting matrix of the NBCs. The extensive utilization of this approach is attributed to the fact that the two-dimensional sheet-like morphology of GO makes it susceptible to the reaction medium surroundings. Incorporating rigid NMs into the GO sheets ensures that the synthesized NBCs retains the characteristics of its nanocatalytic component even when some of the potentials is lost owing to the modifications in the functional moieties of GO due to medium conditions. Xie et al. [36] incorporated Fe3O4 NPs into the GO matrix and utilize it to covalently immobilize the Candida rugosa lipase on its surface. The synthesized NBCs carried out the transesterification reaction for soybean oil with a maximum yield of 92.8% under optimum conditions.
CNTs are also another widely used inorganic nanoscaffold that is utilized for the synthesis of NBCs. The peculiar characteristics of the CNTs include low diffusion capabilities, high surface area, high mechanical stability, and high enzyme loading capabilities, etc. Enzymes have been documented to be immobilized on the multi-walled CNTs (MWCNTs) by utilizing the covalent and physical adsorption as an immobilization methodology. Fan et al. [37] documented the formation of NBCs by covalently immobilizing the lipase acquired from Rhizomucor miehei on the Fe3O4-MWCNTs. The synthesized NBCs exhibited the transesterification reaction for wasted vegetable oil with a yield of 94% under optimal conditions. Mohamad and co-workers [38] utilized a simple adsorption procedure for immobilizing the lipase enzyme onto the surface of acid-functionalized MWCNTs for engineering NBCs. The functionalization is achieved by mixing the MWCNTs in the acid dispersion of sulfuric acid (H2SO4) and nitric acid (HNO3). The presence of charged carboxylic group actively interacted with the other polar moieties (NH2 and OH) of the enzyme to develop the NBCs. The comparison of free lipase with the immobilized enzymes in terms of hydrolytic activity and thermal/mechanical stability revealed that the activity was found to be two-fold in the case of immobilized lipase.
Other inorganic nanoscaffolds include Al2O3 and SiO2 NMs that are also utilized for the synthesis of NBCs. Gardy et al. [39] engineered SO4/Fe3O4-Al2O3-TiO2 NMs as a nanocatalytic assembly and utilized the synthesized assembly for the transesterification of the waste cooking oil. Literature survey indicates that the case studies reporting the use of Al2O3 for the nanocatalytic assembly are available in the academic literature [40]. However, the utilization of this inorganic nanoscaffold for the formation of nanobiocatalyst for biodiesel production is quite scarce and further research is required in this domain. In comparison, SiO2 is explored quite extensively in the academic literature for the synthesis of biodiesel by using NBCs. Fathi et al. [41] synthesized NBCs by utilizing the AP functionalized SiO2 NPs. The AP functionalized silica NPs were further modified by modifying with the zwitter ions. A non-covalent attachment was achieved by immobilizing lipase (acquired from Yarrowia lipolytica) onto the NPs without the addition of any cross-linker or precipitating agent. Ashjari et al. [42] synthesized NBCs by utilizing a novel methodology involving the simultaneous immobilization of the lipase enzyme acquired from two different sources (i.e., Rhizomucor miehei and Thermomyces lanuginose) on the functionalized Fe3O4@SiO2 NMs via chemical grafting method. The synthesized NBCs were used for the transesterification of the waste cooking oil. Case studies documenting the inorganic nanoscaffolds as the nanocatalytic component of NBCs are summarized in the Table 2.
4.1.3. NBCs Containing Metal Oxide NMs
Although literature documenting the formation of NBCs containing metal oxides as a nanocatalytic component are quite abundant in academic literature [43,44,45] but these NBCs are not generally utilized for the process of transesterification. More work is needed to be done for the expansion of work in this domain. Fatima et al. [46] synthesized PDA stabilized CeO2 NMs and covalently immobilized the Aspergillus terreus lipase on the NMs by using the chemical grafting technique. The NBCs were utilized as the catalyst for the transesterification reaction of Eruca sativa oil. The reaction was optimized by using the techniques of response surface methodology (RSM) and gas chromatography-mass spectroscopy (GC-MS).
4.1.4. NBCs Containing Metal-Organic Frameworks (MOFs)
MOFs are one of the advanced classes that have recently emerged in the academic literature as the nanoscaffold utilized for the immobilization of the enzyme to synthesize NBCs [47]. These highly porous and crystalline materials (containing high surface area, opened pores, versatile composition, suitable pore volume, and unique topographical characters) have been documented to host diverse species particularly enzymes. Three different immobilization strategies have been used for the immobilization of the enzymes into the MOFs. These strategies include the surface immobilization method (grafting active species on the outer surface of the MOFs for developing the interaction between enzymes and MOFs), a ship-in-a-bottle methodology (Enzymes are diffused into the pores of pre-formed MOFs), and a bottle-around-a-ship strategy (the MOFs are assembled around the enzyme also termed as in-situ encapsulation) [48]. Among these strategies, the in-situ encapsulation is regarded as the most appropriate immobilization method for immobilization of enzymes in terms of resistance to degradation, minimization of the enzyme leaching problems, and reduction of the biodiesel cost owing to multiple recycling and reuse potential of these MOFs [48].
Hu et al. [49] synthesized typical Zirconium (Zr) based MOFs and utilize it to immobilize Aspergillus niger lipase enzyme via facile physical adsorption. Before immobilization, MOFs were coated with the polydimethylsiloxane (PDMS) by using chemical vapour deposition (CVD) which modifies the MOFs surface and impart it with the hydrophobic nature along with the retention of the intrinsic properties of the NBCs. For immobilization of the enzyme, hydrophobic interactions were used for carrying out the physical absorption. The synthesized NBCs were then utilized for the transesterification reaction of soybean oil to form biodiesel. Li et al. [50] engineered L@Zr-MOFs by utilizing the biomimetic mineralization strategy. The synthesized L@MOFs was used alongside the methanol for carrying out the transesterification of sunflower oil. No significant change in morphology of the NBCs was observed after three cycles of reuse. Case studies summarizing the NBCs containing MOFs are summarized in Table 2.
4.2. Biological Component of NBCs
NBCs containing enzymes as biological components have been frequently documented in recent years for various applications [68,69]. One of the main applications of these enzymes-based NBCs is to catalyze various industrially important reactions with high specificity, stereoselectivity, and efficacy. Owing to the presence of the biological component in the NBCs, the reactions must be carried out under mild reaction conditions. Otherwise, the biological component may suffer degradation or denaturing due to the extreme reaction conditions [69]. NBCs utilized for the production of biodiesel usually carries out the process of enzymatic transesterification with the help of the lipase enzyme (which is naturally capable of performing hydrolysis of the triglycerides into fatty acids and glycerol present at the interface of oil/water) [70]. Furthermore, the lipase enzyme catalyzes numerous esterification and transesterification processes [71]. Chemically, lipases are regarded as triacylglycerol acyl hydrolases that are naturally present in plants, animals, and microorganisms as indicated by Table 2. Extremely high conversion rates up to 90% in terms of synthesis of fatty acid alkyl esters (FAAE) have been documented in the case of using lipase as a component of NBCs [71]. Moreover, other disadvantages such as the occurrence of side reactions, low conversion rates, extreme reaction parameters, high working/maintenance cost, and requirement of difficult separation techniques can be avoided by utilizing the lipase enzyme-based NBCs. In addition, the utilization of renewable feedstock as raw materials is another advantage that is achieved by using these peculiar NBCs [72]. Numerous immobilization procedures, used for the fabrication of lipase enzyme on/inside the nanocatalytic component of the NBCs, are presented in Figure 3. The selection of the suitable immobilization technique is regarded as the most crucial step for acquiring the high efficacy of the NBCs for catalyzing any chemical reaction. Apart from the efficacy of the lipase based NBCs, the properties such as overall activity, stability, regeneration, inactivation potential, toxicity, and effectiveness of NBCs are influenced by the procedure opted for the immobilization of lipase enzyme. Generally, the immobilization methods for lipase can be divided into following categories.
Figure 3.
Enzyme immobilization methods used for the production of NBCs.
4.2.1. Physical Adsorption
Immobilization via physical adsorption is carried out by developing weak monovalent interactions (i.e., hydrophobic interactions, van der Waals interactions, ionic bonding, and hydrogen bonding) between lipase and the NMs of the NBCs. It is a reversible immobilization strategy and is regarded as the more advantageous mode of immobilization in terms of activity as no significant configurational changes in the enzyme is observed during the physical adsorption of the enzyme on the NMs. The presence of the hydrophobic surface (NMs) is essential for physically adsorbing the enzyme on the NMs [73]. However, the certain disadvantage of leaching of the enzyme has been observed in case of using this immobilization method. The weak nature of these physical bonds makes the immobilized lipase susceptible in extreme conditions (temperature, pH values, and ionic strength, etc.) and numerous researchers have documented that the retention capabilities of the lipase enzymes physically adsorbed on the NMs in NBCs is challenged during varying reaction conditions resulting in the process of leaching and thus, reduced lipase activities was observed during reruns experiments [60].
4.2.2. Entrapment
Immobilization via entrapment also does not involve the formation of covalent bonds. Instead, the lipase enzymes are entrapped within the constraints of the support medium via inclusion procedures. This inclusion is an irreversible process and the synthesized NBCs permits for the reacting molecules and products to interact with the enzyme but the entrapped enzyme itself does not leach out of the assembly. Entrapment utilizes the proper balancing of mechanical forces of the entrapping medium and enzymes to reduce the problems of enzyme inactivation and enzyme leaching by not allowing the enzyme to develop any chemical interaction between the lipase and medium. Entrapment is the most recent and advanced immobilization technique which is frequently utilized in the case of MOFs based NBCs. Some researchers assume that entrapping the lipase with the framework of the supporting matrix should cause problems during the catalysis as entrapping the enzyme would create the diffusional barrier between reactant and enzyme. The reactant molecule would not be able to easily reach the enzyme owing to the surrounding framework [73]. However, this barrier was not significantly observed in the case of the enzymatic transesterification reaction used for the production of biodiesel. In fact, some of the highest conversion rates for biodiesel production were observed in case of these NBCs at optimum conditions [48,66,67].
4.2.3. Covalent Bonding
Immobilization via covalent bonding is the most commonly utilized irreversible immobilizing procedure for lipase enzyme. The structural and configurational characteristics of lipase are responsible for this type of immobilization. Particular functional groups present in the amino acids (lysine: α-amino group, cysteine: thiol group), aspartic acid/glutamic acids: carboxylic groups and other phenolic and imidazole groups) associated with the lipase enzymes which are not essential for the catalytic activity of the enzyme take part in this type of immobilization [37]. For covalent immobilization, the complementary bond-forming moieties must also be present on the surface of the NMs. The GA and AP are usually used as the surface functionalization agent in the case of the NMs. However, the surface functionalization is not necessary for developing the covalent bond in the case of the inorganic scaffolds that already contain such functional groups as the respective functional moieties [74]. In any of the cases, the nucleophilic sites of the lipase molecules interact with the electrophilic functional moieties of the NMs by forming covalent bonds. The advantages of this type of immobilization included high reusability potential of the NBCs owing to the extremely high stability because of the formation of covalent bonds. Thermal stability as well as the half-life period of the lipase was also found to be highly effective in case of this type of immobilization [75].
4.2.4. Cross-Linking
Immobilization via cross-linking is also one of the recent immobilization methods which are documented for carrying out irreversible immobilization of the lipase enzyme. This procedure for immobilization can be utilized with and without the usage of the NMs in NBCs. If this crosslinking is performed without the use of any stabilization medium/NMs, it is called carrier-free immobilization. If the lipase is cross-linked separately and then introduced into the NMs by covalent attachment it is regarded as co-immobilization. In the case of carrier-free immobilization, the lipase molecules are firstly purified and are then cross-linked by the development of the intermolecular cross-linkages between lipase molecules by using the cross-linking agents. GA was utilized as the enzyme linker for the preparation of the cross-linked Burkholderia cepacia lipase [76]. GA works by the reaction of free amino groups (lysine) and GA oligomers by utilizing inter and intra-molecular aldol condensation. In the case of co-immobilization, the cross-linked aggregates of lipase are firstly prepared by using the cross-linking agents. These aggregates, in the second step, are then immobilized on NMs to synthesize co-immobilized NBCs [57].
5. Fundamentals Associated with the Biodiesel Production via NBCs
5.1. Characterization of NBCs
Numerous analytical techniques can be utilized for the characterization of the NBCs utilized for the process of the transesterification process (Table 3).
Table 3.
Various analytical techniques utilized for characterization of NBCs.
5.2. Monitoring/Optimization of the Biodiesel Process
The monitoring of biodiesel production is carried out by utilizing a number of techniques. GC (Gas chromatography) is the most widely adopted analytical technique utilized for this purpose. Gao et al. [81] utilized the GC technique for the monitoring and optimization of the transesterification reaction carried out in the case of Jatropha curcas L. oil in the presence of NBCs. The amount of the acquired biodiesel produced in the reaction mixture was determined by investigating and comparing the retention times and peak areas of standardized ester peaks. For optimizing the transesterification reactions, several experiments were run and the yields were calculated. The parameters were optimized one by one for the transesterification reaction. The parameter that was under observation was varied in the particular elected range while all other parameters were kept constant during the optimization of that particular parameter. The effect of the variation of the under-study parameter was observed on the biodiesel yield and the peculiar value where maximum yield was acquired was termed as the optimized value for that particular parameter. In this particular study, the optimized values of 500 mg, 20% wt., 1:4, 40 °C, and 8 h were observed for the reaction parameters of content of oil, dosage of NBCs, oil/alcohol ratio, temperature, and reaction time respectively. Adnan et al. [66] also utilized the technique of GC for studying and optimizing the transesterification reaction of soybean oil catalyzed by the NBCs of Lipase immobilized on MOFs. Some other techniques are also utilized in conjugation with the GC for studying the synthesized biodiesel. Sarno et al. [82] utilized TGA as a quantitative technique, in combination with the Gas chromatography-Mass spectrometry (GC-MS) analysis, for investigating the amount of biodiesel produced by carrying out transesterification reaction of tomato seed oil catalyzed by NBCs. The comparison of the thermogravimetric profiles, including DTA profiles, of the synthesized biodiesel with the standard biodiesel was used for the validation of the formation of biodiesel. The tomato seed oil exhibited decomposition around 270 °C while the synthesized biodiesel loses 96% of its mass within the range of 50–210 °C. The appearance of these weight loss peaks within this range (well within the standard range of properties affiliated with the changes in the temperature values, such as cloud point, flash point, etc. of the biodiesel standards) validates the formation of the biodiesel in the medium.
Similarly, the technique of response surface methodology (RSM) is also utilized almost as frequently as GC for optimizing/monitoring of transesterification of oil carried out in the presence of NBCs. RSM is one of the main concepts which are utilized for the designing of the experiments. RSM is essentially useful for monitoring and optimizing the transesterification reaction, as during this reaction, more than one or more reaction variables (independent variable taken as a response) are influenced by many other variables during this reaction. This method is advantageous in comparison to other methodologies as the development of the mathematical relationships between the dependent and independent variables associated with biodiesel production significantly reduces the number of trials required for the optimization of the reaction. The effect of qualitative variables upon biodiesel production is also investigated by this method [83]. Touqeer et al. [20] optimized the parameters including dosagsilicae of the NBCs, oil to methanol ratio, reaction temperature, reaction time, and water content for transesterification reaction of the waste cooking oil to obtain the maximum yield of 92%. Rahimi et al. [84] also documented 99% of the transesterification of the Camelina sativa seed oil catalyzed by NBCs optimized by using the central composite design in the RSM.
The validation of the successful completion of the biodiesel can also be confirmed via Fourier transform infrared spectroscopy (FTIR), Proton nuclear magnetic resonance spectroscopy (1H NMR), and Carbon-13 nuclear magnetic spectroscopy (13C NMR). Rafiei et al. [48] utilized the technique of 1H NMR for investigating the yield of the crude biodiesel. Bencze et al. [85] carry out the monitoring of the transesterification reaction of sunflower via NBCs by using 1H NMR. Factors including effects of organic solvents, water content, substrate-solvent ratio, ethanol concentration, cross-linking type, cross-linking length, surfactant dosage and temperature were optimized by using 1H NMR in this study. Khan et al. [77] utilized the techniques of FTIR, 1H NMR and 13C NMR for the characterization of synthesized biodiesel produced by using NBCs for the transesterification of waste cooking oil. The appearance of particular FTIR peaks associated with the methyl esters, including stretching frequency of C=O groups (methoxy ester), asymmetric bending of CH3 (methyl esters), stretching vibration of OCH3 (methoxy esters), and stretching vibrations of CH (terminal methyl groups in methyl esters), synthesized as a result of the transesterification process was used for characterization. Similarly, the presence of characteristics carbon peaks associated with the produced biodiesel including carbonyl carbon, methoxy carbon (ester), unsaturated carbon (methyl esters), and methylene carbon (FAME) was used for characterizing the synthesized biodiesel.
Several other uncommon methodologies are also documented for the monitoring of the transesterification reactions carried out by using the NBCs. In the case of CLEAs based NBCs, effects of different reaction conditions and substances (particularly concentration of alcohols/methanols) over the size and aggregate morphology of NBCs can further be evaluated by Dynamic light scattering (DLS) methodology. Pico et al. [57] also utilized the technology of thin-layer chromatography (TLC) and High-performance liquid chromatography (HPLC) to semi-quantitatively assess the bioconversion rates observed in the case of CLEAs-GA-Fe3O4 NBCs owing to the highly viscous nature of extracted crude oils. Kalantari et al. [86] also utilized the HPLC technique for studying the conversion rates of transesterification reaction of corn oil into biodiesel. However, these methodologies are rarely documented in the academic literature to be used as a monitoring tool in the case of biodiesel production. Mostly, the focus is kept on the use of the GC technique for carrying out the monitoring of production of biodiesel. Case studies documenting various reaction parameters/optimized conditions associated with the transesterification reactions are summarized in Table 4.
Table 4.
Case studies representing the summary of the transesterification process for the production of biodiesel.
In summary, the following key observations can be made by using the literature survey presented in Table 2 and Table 4. The utilization of magnetic NBCs is the most commonly exploited approach among all types of NBCs owing to its advantage of facile separation. Although comparing the efficacy of the NBCs with respect to biodiesel yield is a challenging task as the instruments and reaction conditions utilized for optimization/monitoring vary greatly in each study, few generalized trends were observed in the case of NBCs. For magnetic NBCs, the observed biodiesel yield values were found to be quite low in the case of whole cell transesterification (as low as 54.14%) whereas much higher yields were observed in the case of enzymatic transesterification process (Table 4). Covalent immobilization was found to be the most effective immobilization method for acquiring the best results in the case of all types of NBCs. In the case of MOFs, the physical adsorption and entrapment methodologies were found to be quite effective as well but the same can’t be said about the other types of NBCs. The preference of entrapment and physical adsorption methodologies in the case of MOFs over the covalent bonding is understandable owing to the commonly utilized biomimetic mineralization methodology opted for the formation of such assemblies. Similarly, the preference of covalent attachment for the NBCs containing magnetic NMs, inorganic nanoscaffolds, and metal oxide NMs also lies in the fact that the NBCs are prepared first (by different methodologies) and then the lipase enzyme is immobilized over it. Physical adsorption is a reversible process while covalent attachment is an irreversible process. Therefore, the covalent attachment is preferred for preparing such assemblies (Table 2). In terms of strength and long term stability, the CLEAs based assemblies exhibited the best results showing almost negligible differences in terms of efficacy with respect to reruns. However, these assemblies showed the least efficacy in terms of the biodiesel yield. This is attributed to the fact that although the cross-linked material imparts stability to the NBCs but this cross-linking reduces the surface area available for the catalytic transesterification resulting in lower yields in the case of biodiesel production (Table 2 and Table 4).
5.3. Reuse and Recovery Experiments
Recovery and reusability experiments are also an important experiment that must always be reported whenever novel NBCs are documented in the academic literature as these experiments provides useful insights into the commercial and economical suitability of the synthesized NBCs. In terms of the case studies surveyed for this review, the peculiar NBCs can be broadly divided into the two categories of the magnetic NBCs and non-magnetic NBCs concerning the procedure opted for recovery of the NBCs from the reaction medium. As indicated by the name i.e., magnetic NBCs, the NBCs containing magnetically active component are separated from the reaction medium by using the external magnetic field as the separation technique. Ngo et al. [88] engineered Lipase based aldehyde functionalized magnetic (Fe3O4) NBCs and utilize these NBCs for catalyzing the transesterification reaction of converting grease into biodiesel. Authors utilized the external magnetic field as a facile and fast way to completely recover the NBCs from the reaction medium. In case of non-magnetic NBCs, the process of centrifugation is usually utilized as the major recovery method for separating NBCs from the reaction medium. Rafiei et al. [48] synthesized lipase@ZIF-67 by utilizing an in-situ encapsulation method and used it for the transesterification reaction of soybean oil. The opted recovery method for separating NBCs from the reaction mixture used in this study was the process of centrifugation (6000 rpm) carried out for 5 min. After recovery, the recovered NBCs are then washed with the regents such as n-hexane and tertiary butanol. This washing is followed by the drying technique and the acquired NBCs are then again reused for catalyzing the transesterification reaction. The better the recycling potential of the NBCs, the better it is for the economic value of the NBCs. High reuse potentials lower the cost of the overall process. Reuse potential of the catalyst depends on the stability of the synthesized NBCs. The NBCs reported by Jiang et al. [67] exhibited the appreciable catalytic potential up to five cycles of reuse.
5.4. Physicochemical Parameter Study for the Synthesized Biodiesel
Another fundamental that must be taken into account for the transesterification study carried out via NBCs is the physicochemical characterization of the synthesized biodiesel. Comparative analysis of the synthesized biodiesel with the specified standard biodiesel is essential for investigating the practical applicability potential of the synthesized biodiesel. The synthesized biodiesel must exist with the specified range provided by the standards. The American Society for Testing and Material (ASTM) standard provided by ASTM International and European Standard (EN) values provided by the European Standardization Organizations (ESOs) can be utilized for the comparison purposes of the synthesized biodiesel to the standard biodiesel. The details affiliated with the utilized standards are summarized in the Table 5. Most of the academic studies reporting the NBCs do not document this feature of the studies. The documentation of the physicochemical parameters of the synthesized biodiesel is essential as these properties provide information regarding the possible working potential of the biodiesel.
Table 5.
Reference table for comparing synthesized biodiesel physicochemical characteristics with the international standards for biodiesel [90,91,92,93,94].
The property of cetane number acts as an indicator of the behavior of the biodiesel during the cold environment. The appreciable value of the cetane number validates that the engine will run smoothly and will exhibit good cold start potential. Low values of the cetane number lead to the increment in the exhaust emission owing to the incomplete combustion of the biodiesel. This property is a relative measure of biodiesel injection and auto-ignition of fuel. The cetane number documented by Jambulingam et al. [89] falls well within the described standard range indicating the high applicability potential of the acquired biodiesel. Similarly, the property of the viscosity influences the atomization quality, penetration, and size of the fuel droplets. Highly viscous fuels lower engine efficacy by hindering the combustion process. Poor atomization of fuel owing to viscosity also leads to the formation of large-sized droplets that require high propelling energy during fuel pumping and place strain on engine pumping elements and injectors. Density influences the air to fuel ratio in the engine and controls the amount of the fuel to be injected into the combustion chamber [58]. Similar to the aforementioned properties, each defined property (for standards) is somehow related to the applicability of the biodiesel in the engine. Therefore, it is extremely important to investigate the physicochemical properties of the synthesized biodiesel and researchers should always document this comparison between the synthesized biodiesel and the standards for providing insights regarding the quality and the commercialization potential of their synthesized NBCs. It should also be mentioned here that most academic studies have reported the FAME yield in case of biodiesel which is the physicochemical property in itself. With respect to the EN 14214 standard, a lower limit of standard biodiesel is 96.5%. Various academic studies have documented comparable results with this standard while synthesizing the biodiesel by using the NBCs [49,55,66,67]. However, attention must be focused on other physicochemical parameter as well for better understanding of this process.
6. Conclusions and Future Direction
This review highlights the fundamentals associated with the NBCs recently documented to be utilized for the synthesis of biodiesel by carrying a transesterification reaction. In terms of raw materials, it was observed that the third-generation feedstock has emerged as the most promising alternative of the edible feedstock. New species or biomass (including algae, fungi, yeast, and other microbes, etc.) can be utilized to expand the scope of the available raw materials in case of the transesterification reaction. Lipid content assays, as well as other metabolite profiling assays, can be done beforehand on the feedstock for acquiring the better efficacy for the production of biodiesel that will be done by utilizing these resources. Furthermore, it was observed that the researchers have focused mainly on the Fe3O4 NMs during the development of NBCs. Other novel magnetic materials such as ferrofluids can also be explored for acquiring similar desired results. Additionally, a variety of metal oxides utilized for the production of NBCs can also be increased for developing novel NBCs to be utilized for the process of transesterification.
In the case of the biological component, the immobilization method used for the fabrication of the lipase on NMs in NBCs was found to be the most critical aspect influencing the efficacy of the NBCs for the transesterification reaction. The use of the entrapment technique in MOFs requires further exploration as the peculiar mechanisms involved in the immobilization strategies are not completely understood as of yet. The kinetics, thermodynamics, and computational studies (docking studies) can be reconnoitered for exploring the essentials of the immobilization of lipase on the NMs. In the case of characterization/monitoring/optimization techniques, GC-MS and RSM were found to be the most effective techniques for studying the transesterification process. Further, less commonly used techniques such as TLC, FTIR, HPLC, 1H NMR, and 13C NMR, etc. have been documented in the academic literature but these techniques fall short in comparison to the essential information provided by GC-MS and RSM. It was observed that most of the documented case studies reported the reuse and recovery studies in the case of NBCs which is a welcome sight and must be appreciated as this can provide essential insights regarding the industrial applicability potential of the synthesized NBCs. However, a comparison of the synthesized biodiesel with the standard biodiesel was not provided in most case studies. The researchers should also focus on this aspect of their study as this feature is also essential for developing the understanding regarding the working potential of the prepared biodiesel. Overall, it is concluded that the use of NBCs has provided a facile alternative to conventional fuels in terms of synthesizing biodiesel via transesterification reaction carried out with exceptionally high yields, high recovery rates, and high stability.
Author Contributions
Conceptualization, S.A., M.W.M., and U.R.; methodology, J.N., S.A., M.W.M., and U.R.; data curation, J.N., T.T., and S.A.; validation, S.A., M.W.M., U.R., A.I., and M.D.; writing—original draft preparation, J.N., S.A., and T.T.; writing—review and editing, S.A.; M.W.M., U.R., W.A.W.A.K.G., T.S.Y.C. and M.D.; visualization, S.A., and U.R.; supervision, M.W.M. and S.A.; critical analysis of the academic literature, S.A., M.W.M., and U.R. All authors have read and agreed to the published version of the manuscript.
Funding
This research received no external funding. APC was funded by Research Management Center (RMC), Universiti Putra Malaysia (UPM), Malaysia.
Institutional Review Board Statement
Not applicable.
Informed Consent Statement
Not applicable.
Data Availability Statement
Not applicable.
Acknowledgments
A.I. has extended his obligation to the Deanship of Scientific Research at King Khalid University, Saudi Arabia through research group programs (R.G.P.2/91/41).
Conflicts of Interest
The authors declare no conflict of interest.
Abbreviations
| NBCs | Nanobiocatalysts |
| NMs | Nanomaterials |
| SOx | Sulfur oxides |
| NOx | Nitrogen oxides |
| Fe3O4 | Magnetite |
| γ-Fe2O3 | Maghemite |
| AP | 3-aminopropyl triethoxysilane |
| GA | Glutaraldehyde |
| GO | Graphene oxide |
| CNTs | Carbon nanotubes |
| SiO2 | Silica |
| Al2O3 | Alumina |
| MWCNTs | Multi-walled Carbon nanotubes |
| H2SO4 | Sulfuric acid |
| HNO3 | Nitric acid |
| SEM | Scanning Electron Microscopy |
| EDX | Energy dispersive X-ray analysis |
| BET | Brunauer-Emmett-Teller analysis |
| FTIR | Fourier Transform Infrared Spectroscopy |
| UV-Vis | Ultraviolet Visible Spectroscopy |
| XRD | X-ray diffraction |
| XPS | X-ray photoelectron spectroscopy |
| TEM | Transmission Electron Spectroscopy |
| NRs | Nanorods |
| NPs | Nanoparticles |
| PDA | Polydopamine |
| PAA | Polyacrylic acid |
| PEI | Polyethyleneamine |
| TEOS | Tetraethyl orthosilicate |
| FESEM | Field Emission Scanning Electron Microscope |
| VSM | Vibrating Sample Magnetometer |
| ZPM | Zeta potential Measurements |
| AFM | Atomic Force Microscopy |
| CLEAs | Cross-linked Lipase Enzyme Aggregates |
| [BMIN]BF4 | 1-Butyl-3-methylimidazolium tetrafluoroborate |
| SQUID | Superconducting Quantum Interference Device |
| MWCNTs | Multi-walled carbon nanotubes |
| PMAM | Polyamidoamine |
| CLSM | Confocal laser scanning microscopy |
| MP | 3-mercaptopropyltrimethoxysilane |
| P(GMA-co-MAA) | Poly(glycidyl methacrylate-co-methacrylic acid) |
| GMA | Glycidylmethahacrylate |
| DVB | Divinylbenezene |
| MAA | Methacrylic acid |
| AIBN | 2,2′-azodiisobutyronitrile |
| TGA | Thermogravimetric analysis |
| DTA | Differential thermal analysis |
| CD | Circular dichroism spectroscopy |
| ATR | Attenuated total reflection |
| DLS | Dynamic Light Scattering |
| AFM | Atomic force microscopy |
| MOFs | Metal organic frameworks |
| ZIF | Zeoliticimidazolate framework |
| NFs | Nanoflowers |
| PANI | Polyaniline |
| PPY | Polypyrrole |
| MA | Methyl anthranilate |
| UiO-66 | Universitetet i Oslo |
| PDMS | Polydimethylsiloxane |
| ZrCl4 | Zirconium chloride |
| BDC | 1,4-benzenedicarboxylic acid |
| CVD | Chemical vapour deposition |
| DMF | N,N’-dimethylformamide |
| TiO2 | Titanium dioxide |
| CeO2 | Cerium dioxide |
| L | Lipase |
| FAAE | Fatty acid alkyl esters |
| GC-MS | Gas chromatography-Mass Spectrometry |
| RSM | Response Surface Methodology |
| 1H NMR | Proton nuclear magnetic resonance spectroscopy |
| 13C NMR | Carbon-13 nuclear magnetic spectroscopy |
| TLC | Thin-layer chromatography |
| HPLC | High-performance liquid chromatography |
| NMR | Nuclear magnetic resonance spectroscopy |
| ASTM | American Society for Testing and Material |
| ES | European Standard |
| ESOs | European Standardization Organizations |
| NA | Not applicable |
| ICP-MS | Inductively coupled plasma- Mass spectrometry |
| WDXRF | Wavelength Dispersive X-Ray Fluorescence Spectroscopy |
| MG | Monoglycerides |
| DG | Diglycerides |
| TG | Triglycerides |
| GC | Gas Chromatography |
References
- Armah, P.; Archer, A.; Phillips, G.C. Drivers leading to higher food prices: Biofuels are not the main factor. In Biofuels; Springer: Berlin/Heidelberg, Germany, 2011; pp. 19–36. [Google Scholar]
- Christopher, L.P.; Kumar, H.; Zambare, V.P. Enzymatic biodiesel: Challenges and opportunities. Appl. Energy 2014, 119, 497–520. [Google Scholar] [CrossRef]
- Demirbas, A. Relationships derived from physical properties of vegetable oil and biodiesel fuels. Fuel 2008, 87, 1743–1748. [Google Scholar] [CrossRef]
- Nogales-Delgado, S.; Encinar, J.M.; González, J.F. Safflower biodiesel: Improvement of its oxidative stability by using BHA and TBHQ. Energies 2019, 12, 1940. [Google Scholar] [CrossRef]
- Encinar, J.M.; Pardal, A.; Sánchez, N.; Nogales, S. Biodiesel by transesterification of rapeseed oil using ultrasound: A kinetic study of base-catalysed reactions. Energies 2018, 11, 2229. [Google Scholar] [CrossRef]
- Rechnia-Gorący, P.; Malaika, A.; Kozłowski, M. Effective conversion of rapeseed oil to biodiesel fuel in the presence of basic activated carbon catalysts. Catal. Today 2020, 357, 102–112. [Google Scholar] [CrossRef]
- Nogales-Delgado, S.; Sánchez, N.; Encinar, J.M. Valorization of Cynara Cardunculus L. Oil as the Basis of a Biorefinery for Biodiesel and Biolubricant Production. Energies 2020, 13, 5085. [Google Scholar] [CrossRef]
- Barku, V.A.; Nyarko, H.; Dordunu, P. Studies on the physicochemical characteristics, microbial load and storage stability of oil from Indian almond nut (Terminalia catappa L.). Studies 2012, 8, 9–17. [Google Scholar]
- Ghani, N.A.A.; Channip, A.A.; Chok Hwee Hwa, P.; Ja’afar, F.; Yasin, H.M.; Usman, A. Physicochemical properties, antioxidant capacities, and metal contents of virgin coconut oil produced by wet and dry processes. Food Sci. Nutr. 2018, 6, 1298–1306. [Google Scholar] [CrossRef]
- Thirumarimurugan, M.; Sivakumar, V.; Xavier, A.M.; Prabhakaran, D.; Kannadasan, T. Preparation of biodiesel from sunflower oil by transesterification. Int. J. Biosci. Biochem. Bioinform. 2012, 2, 441. [Google Scholar] [CrossRef]
- Demirbas, A.; Bafail, A.; Ahmad, W.; Sheikh, M. Biodiesel production from non-edible plant oils. Energy Explor. Exploit. 2016, 34, 290–318. [Google Scholar] [CrossRef]
- Kassem, Y.; Çamur, H.; Alassi, E. Biodiesel production from four residential waste frying oils: Proposing blends for improving the physicochemical properties of methyl biodiesel. Energies 2020, 13, 4111. [Google Scholar] [CrossRef]
- Encinar, J.M.; Nogales, S.; González, J.F. Biodiesel and biolubricant production from different vegetable oils through transesterification. Eng. Rep. 2020, e12190. [Google Scholar] [CrossRef]
- Pinzi, S.; Garcia, I.; Lopez-Gimenez, F.; Luque de Castro, M.; Dorado, G.; Dorado, M. The ideal vegetable oil-based biodiesel composition: A review of social, economical and technical implications. Energy Fuels 2009, 23, 2325–2341. [Google Scholar] [CrossRef]
- Marulanda, V.F.; Anitescu, G.; Tavlarides, L.L. Investigations on supercritical transesterification of chicken fat for biodiesel production from low-cost lipid feedstocks. J. Supercrit. Fluids 2010, 54, 53–60. [Google Scholar] [CrossRef]
- Kwon, E.E.; Jeon, E.-C.; Yi, H.; Kim, S. Transforming duck tallow into biodiesel via noncatalytic transesterification. Appl. Energy 2014, 116, 20–25. [Google Scholar] [CrossRef]
- Teixeira, L.S.; Assis, J.C.; Mendonça, D.R.; Santos, I.T.; Guimarães, P.R.; Pontes, L.A.; Teixeira, J.S. Comparison between conventional and ultrasonic preparation of beef tallow biodiesel. Fuel Process. Technol. 2009, 90, 1164–1166. [Google Scholar] [CrossRef]
- Avhad, M.; Marchetti, J. A review on recent advancement in catalytic materials for biodiesel production. Renew. Sustain. Energy Rev. 2015, 50, 696–718. [Google Scholar] [CrossRef]
- Akram, S.; Mumtaz, M.W.; Danish, M.; Mukhtar, H.; Irfan, A.; Raza, S.A.; Wang, Z.; Arshad, M. Impact of cerium oxide and cerium composite oxide as nano additives on the gaseous exhaust emission profile of waste cooking oil based biodiesel at full engine load conditions. Renew. Energy 2019, 143, 898–905. [Google Scholar] [CrossRef]
- Touqeer, T.; Mumtaz, M.W.; Mukhtar, H.; Irfan, A.; Akram, S.; Shabbir, A.; Rashid, U.; Nehdi, I.A.; Choong, T.S.Y. Fe3O4-PDA-Lipase as surface functionalized nano biocatalyst for the production of biodiesel using waste cooking oil as feedstock: Characterization and process optimization. Energies 2020, 13, 177. [Google Scholar] [CrossRef]
- Hossain, N.; Zaini, J.; Mahlia, T.; Azad, A.K. Elemental, morphological and thermal analysis of mixed microalgae species from drain water. Renew. Energy 2019, 131, 617–624. [Google Scholar] [CrossRef]
- Muhammad, G.; Alam, M.A.; Mofijur, M.; Jahirul, M.; Lv, Y.; Xiong, W.; Ong, H.C.; Xu, J. Modern developmental aspects in the field of economical harvesting and biodiesel production from microalgae biomass. Renew. Sustain. Energy Rev. 2020, 135, 110209. [Google Scholar] [CrossRef]
- Leong, W.-H.; Lim, J.-W.; Lam, M.-K.; Uemura, Y.; Ho, Y.-C. Third generation biofuels: A nutritional perspective in enhancing microbial lipid production. Renew. Sustain. Energy Rev. 2018, 91, 950–961. [Google Scholar] [CrossRef]
- Akubude, V.; Nwaigwe, K.; Dintwa, E. Production of biodiesel from microalgae via nanocatalyzed transesterification process: A review. Mater. Sci. Energy Technol. 2019, 2, 216–225. [Google Scholar] [CrossRef]
- Nasreen, S.; Nafees, M.; Qureshi, L.A.; Asad, M.S.; Sadiq, A.; Ali, S.D. Review of catalytic transesterification methods for biodiesel production. Biofuels State Dev. 2018, 93–119. [Google Scholar]
- Mofijur, M.; Masjuki, H.; Kalam, M.; Atabani, A. Evaluation of biodiesel blending, engine performance and emissions characteristics of Jatropha curcas methyl ester: Malaysian perspective. Energy 2013, 55, 879–887. [Google Scholar] [CrossRef]
- Kumar, D.; Das, T.; Giri, B.S.; Verma, B. Preparation and characterization of novel hybrid bio-support material immobilized from Pseudomonas cepacia lipase and its application to enhance biodiesel production. Renew. Energy 2020, 147, 11–24. [Google Scholar] [CrossRef]
- Pollardo, A.A.; Lee, H.-s.; Lee, D.; Kim, S.; Kim, J. Solvent effect on the enzymatic production of biodiesel from waste animal fat. J. Clean. Prod. 2018, 185, 382–388. [Google Scholar] [CrossRef]
- Ferreira, L.F.P.; de Oliveira, T.M.; Toma, S.H.; Toyama, M.M.; Araki, K.; Avanzi, L.H. Superparamagnetic iron oxide nanoparticles (SPIONs) conjugated with lipase Candida antarctica A for biodiesel synthesis. Rsc Adv. 2020, 10, 38490–38496. [Google Scholar] [CrossRef]
- Banerjee, S.; Rout, S.; Banerjee, S.; Atta, A.; Das, D. Fe2O3 nanocatalyst aided transesterification for biodiesel production from lipid-intact wet microalgal biomass: A biorefinery approach. Energy Convers. Manag. 2019, 195, 844–853. [Google Scholar] [CrossRef]
- Fotiadou, R.; Patila, M.; Hammami, M.A.; Enotiadis, A.; Moschovas, D.; Tsirka, K.; Spyrou, K.; Giannelis, E.P.; Avgeropoulos, A.; Paipetis, A. Development of effective lipase-hybrid nanoflowers enriched with carbon and magnetic nanomaterials for biocatalytic transformations. Nanomaterials 2019, 9, 808. [Google Scholar] [CrossRef]
- Shaker, M.; Elhamifar, D. Sulfonic acid supported on magnetic methylene-based organosilica as an efficient and recyclable nanocatalyst for biodiesel production via esterification. Front. Energy Res. 2020, 8, 78. [Google Scholar] [CrossRef]
- Costa, V.; de Souza, M.; Fechine, P.; Macedo, A.; Gonçalves, L. Nanobiocatalytic systems based on lipase-Fe3O4 and conventional systems for isoniazid synthesis: A comparative study. Braz. J. Chem. Eng. 2016, 33, 661–673. [Google Scholar] [CrossRef]
- Badoei-dalfard, A.; Karami, Z.; Malekabadi, S. Construction of CLEAs-lipase on magnetic graphene oxide nanocomposite: An efficient nanobiocatalyst for biodiesel production. Bioresour. Technol. 2019, 278, 473–476. [Google Scholar] [CrossRef] [PubMed]
- Li, Q.; Fan, F.; Wang, Y.; Feng, W.; Ji, P. Enzyme immobilization on carboxyl-functionalized graphene oxide for catalysis in organic solvent. Ind. Eng. Chem. Res. 2013, 52, 6343–6348. [Google Scholar] [CrossRef]
- Xie, W.; Huang, M. Immobilization of Candida rugosa lipase onto graphene oxide Fe3O4 nanocomposite: Characterization and application for biodiesel production. Energy Convers. Manag. 2018, 159, 42–53. [Google Scholar] [CrossRef]
- Fan, Y.; Wu, G.; Su, F.; Li, K.; Xu, L.; Han, X.; Yan, Y. Lipase oriented-immobilized on dendrimer-coated magnetic multi-walled carbon nanotubes toward catalyzing biodiesel production from waste vegetable oil. Fuel 2016, 178, 172–178. [Google Scholar] [CrossRef]
- Mohamad, N.; Buang, N.A.; Mahat, N.A.; Jamalis, J.; Huyop, F.; Aboul-Enein, H.Y.; Wahab, R.A. Simple adsorption of Candida rugosa lipase onto multi-walled carbon nanotubes for sustainable production of the flavor ester geranyl propionate. J. Ind. Eng. Chem. 2015, 32, 99–108. [Google Scholar] [CrossRef]
- Gardy, J.; Osatiashtiani, A.; Céspedes, O.; Hassanpour, A.; Lai, X.; Lee, A.F.; Wilson, K.; Rehan, M. A magnetically separable SO4/Fe-Al-TiO2 solid acid catalyst for biodiesel production from waste cooking oil. Appl. Catal. B Environ. 2018, 234, 268–278. [Google Scholar] [CrossRef]
- Sun, Y.; Gao, X.; Yang, N.; Tantai, X.; Xiao, X.; Jiang, B.; Zhang, L. Morphology-controlled synthesis of three-dimensional hierarchical flowerlike Mg–Al layered double hydroxides with enhanced catalytic activity for transesterification. Ind. Eng. Chem. Res. 2019, 58, 7937–7947. [Google Scholar] [CrossRef]
- Fathi, Z.; Doustkhah, E.; Ebrahimipour, G.; Darvishi, F. Noncovalent immobilization of Yarrowia lipolytica lipase on dendritic-like amino acid-functionalized silica nanoparticles. Biomolecules 2019, 9, 502. [Google Scholar] [CrossRef]
- Ashjari, M.; Garmroodi, M.; Asl, F.A.; Emampour, M.; Yousefi, M.; Lish, M.P.; Habibi, Z.; Mohammadi, M. Application of multi-component reaction for covalent immobilization of two lipases on aldehyde-functionalized magnetic nanoparticles; production of biodiesel from waste cooking oil. Process Biochem. 2020, 90, 156–167. [Google Scholar] [CrossRef]
- Asmat, S.; Husain, Q. Exquisite stability and catalytic performance of immobilized lipase on novel fabricated nanocellulose fused polypyrrole/graphene oxide nanocomposite: Characterization and application. Int. J. Biol. Macromol. 2018, 117, 331–341. [Google Scholar] [CrossRef] [PubMed]
- Celik, C.; Tasdemir, D.; Demirbas, A.; Katı, A.; Gul, O.T.; Cimen, B.; Ocsoy, I. Formation of functional nanobiocatalysts with a novel and encouraging immobilization approach and their versatile bioanalytical applications. Rsc Adv. 2018, 8, 25298–25303. [Google Scholar] [CrossRef]
- Rathour, R.K.; Bhatia, R.K.; Rana, D.S.; Bhatt, A.K.; Thakur, N. Fabrication of thermostable and reusable nanobiocatalyst for dye decolourization by immobilization of lignin peroxidase on graphene oxide functionalized MnFe2O4 superparamagnetic nanoparticles. Bioresour. Technol. 2020, 317, 124020. [Google Scholar]
- Fatima, A.; Mumtaz, M.W.; Mukhtar, H.; Akram, S.; Touqeer, T.; Rashid, U.; Ul Mustafa, M.R.; Nehdi, I.A.; Saiman, M.I. Synthesis of lipase-immobilized CeO2 nanorods as heterogeneous nano-biocatalyst for optimized biodiesel production from Eruca sativa seed oil. Catalysts 2020, 10, 231. [Google Scholar] [CrossRef]
- Zhong, L.; Feng, Y.; Wang, G.; Wang, Z.; Bilal, M.; Lv, H.; Jia, S.; Cui, J. Production and use of immobilized lipases in/on nanomaterials: A review from the waste to biodiesel production. Int. J. Biol. Macromol. 2020, 152, 207–222. [Google Scholar] [CrossRef]
- Rafiei, S.; Tangestaninejad, S.; Horcajada, P.; Moghadam, M.; Mirkhani, V.; Mohammadpoor-Baltork, I.; Kardanpour, R.; Zadehahmadi, F. Efficient biodiesel production using a lipase@ ZIF-67 nanobioreactor. Chem. Eng. J. 2018, 334, 1233–1241. [Google Scholar] [CrossRef]
- Hu, Y.; Dai, L.; Liu, D.; Du, W. Rationally designing hydrophobic UiO-66 support for the enhanced enzymatic performance of immobilized lipase. Green Chem. 2018, 20, 4500–4506. [Google Scholar] [CrossRef]
- Li, Q.; Chen, Y.; Bai, S.; Shao, X.; Jiang, L.; Li, Q. Immobilized lipase in bio-based metal-organic frameworks constructed by biomimetic mineralization: A sustainable biocatalyst for biodiesel synthesis. Colloids Surf. B Biointerfaces 2020, 188, 110812. [Google Scholar] [CrossRef]
- Baskar, G.; Aiswarya, R. Lipase functionalized magnetic nanobiocatalyst for transesterification of waste cooking oil into biodiesel. Inter. J. Modern Sci. Technol. 2019, 4, 260–268. [Google Scholar]
- Nematian, T.; Salehi, Z.; Shakeri, A. Conversion of bio-oil extracted from Chlorella vulgaris micro algae to biodiesel via modified superparamagnetic nano-biocatalyst. Renew. Energy 2020, 146, 1796–1804. [Google Scholar] [CrossRef]
- Badoei-dalfard, A.; Malekabadi, S.; Karami, Z.; Sargazi, G. Magnetic cross-linked enzyme aggregates of Km12 lipase: A stable nanobiocatalyst for biodiesel synthesis from waste cooking oil. Renew. Energy 2019, 141, 874–882. [Google Scholar] [CrossRef]
- Miao, C.; Yang, L.; Wang, Z.; Luo, W.; Li, H.; Lv, P.; Yuan, Z. Lipase immobilization on amino-silane modified superparamagnetic Fe3O4 nanoparticles as biocatalyst for biodiesel production. Fuel 2018, 224, 774–782. [Google Scholar] [CrossRef]
- Xie, W.; Huang, M. Fabrication of immobilized Candida rugosa lipase on magnetic Fe3O4-poly (glycidyl methacrylate-co-methacrylic acid) composite as an efficient and recyclable biocatalyst for enzymatic production of biodiesel. Renew. Energy 2020, 158, 474–486. [Google Scholar] [CrossRef]
- Andrade, M.F.; Parussulo, A.L.; Netto, C.G.; Andrade, L.H.; Toma, H.E. Lipase immobilized on polydopamine-coated magnetite nanoparticles for biodiesel production from soybean oil. Biofuel Res. J. 2016, 3, 403. [Google Scholar] [CrossRef]
- Picó, E.A.; López, C.; Cruz-Izquierdo, Á.; Munarriz, M.; Iruretagoyena, F.J.; Serra, J.L.; Llama, M.J. Easy reuse of magnetic cross-linked enzyme aggregates of lipase B from Candida antarctica to obtain biodiesel from Chlorella vulgaris lipids. J. Biosci. Bioeng. 2018, 126, 451–457. [Google Scholar] [CrossRef]
- Asmat, S.; Husain, Q.; Khan, M.S. A polypyrrole–methyl anthranilate functionalized worm-like titanium dioxide nanocomposite as an innovative tool for immobilization of lipase: Preparation, activity, stability and molecular docking investigations. New J. Chem. 2018, 42, 91–102. [Google Scholar] [CrossRef]
- Esmaeilnejad Ahranjani, P.; Kazemeini, M.; Arpanaei, A. Green biodiesel production from various plant oils using nanobiocatalysts under different conditions. Bioenerg. Res. 2020, 13, 552–562. [Google Scholar] [CrossRef]
- Nematian, T.; Shakeri, A.; Salehi, Z.; Saboury, A.A. Lipase immobilized on functionalized superparamagnetic few-layer graphene oxide as an efficient nanobiocatalyst for biodiesel production from Chlorella vulgaris bio-oil. Biotechnol. Biofuels 2020, 13, 1–15. [Google Scholar] [CrossRef]
- Fan, Y.; Su, F.; Li, K.; Ke, C.; Yan, Y. Carbon nanotube filled with magnetic iron oxide and modified with polyamidoamine dendrimers for immobilizing lipase toward application in biodiesel production. Sci. Rep. 2017, 7, 45643. [Google Scholar] [CrossRef]
- Thangaraj, B.; Jia, Z.; Dai, L.; Liu, D.; Du, W. Lipase NS81006 immobilized on functionalized ferric-silica magnetic nanoparticles for biodiesel production. Biofuels 2020, 11, 811–819. [Google Scholar]
- Heidarizadeh, M.; Doustkhah, E.; Rostamnia, S.; Rezaei, P.F.; Harzevili, F.D.; Zeynizadeh, B. Dithiocarbamate to modify magnetic graphene oxide nanocomposite (Fe3O4-GO): A new strategy for covalent enzyme (lipase) immobilization to fabrication a new nanobiocatalyst for enzymatic hydrolysis of PNPD. Int. J. Biol. Macromol. 2017, 101, 696–702. [Google Scholar] [PubMed]
- Asmat, S.; Anwer, A.H.; Husain, Q. Immobilization of lipase onto novel constructed polydopamine grafted multiwalled carbon nanotube impregnated with magnetic cobalt and its application in synthesis of fruit flavours. Int. J. Biol. Macromol. 2019, 140, 484–495. [Google Scholar] [PubMed]
- Asmat, S.; Husain, Q.; Azam, A. Lipase immobilization on facile synthesized polyaniline-coated silver-functionalized graphene oxide nanocomposites as novel biocatalysts: Stability and activity insights. RSC Adv. 2017, 7, 5019–5029. [Google Scholar]
- Adnan, M.; Li, K.; Xu, L.; Yan, Y. X-shaped ZIF-8 for immobilization rhizomucor miehei lipase via encapsulation and its application toward biodiesel production. Catalysts 2018, 8, 96. [Google Scholar]
- Jiang, W.; Wang, X.; Yang, J.; Han, H.; Li, Q.; Tang, J. Lipase-inorganic hybrid nanoflower constructed through biomimetic mineralization: A new support for biodiesel synthesis. J. Colloid Interface Sci. 2018, 514, 102–107. [Google Scholar]
- Al-Qodah, Z.; Al-Shannag, M.; Al-Busoul, M.; Penchev, I.; Orfali, W. Immobilized enzymes bioreactors utilizing a magnetic field: A review. Biochem. Eng. J. 2017, 121, 94–106. [Google Scholar]
- Basso, A.; Serban, S. Industrial applications of immobilized enzymes—A review. Mol. Catal. 2019, 479, 110607. [Google Scholar]
- Tan, T.; Lu, J.; Nie, K.; Deng, L.; Wang, F. Biodiesel production with immobilized lipase: A review. Biotechnol. Adv. 2010, 28, 628–634. [Google Scholar]
- Shuai, W.; Das, R.K.; Naghdi, M.; Brar, S.K.; Verma, M. A review on the important aspects of lipase immobilization on nanomaterials. Biotechnol. Appl. Biochem. 2017, 64, 496–508. [Google Scholar]
- Bilal, M.; Asgher, M.; Cheng, H.; Yan, Y.; Iqbal, H.M. Multi-point enzyme immobilization, surface chemistry, and novel platforms: A paradigm shift in biocatalyst design. Crit. Rev. Biotechnol. 2019, 39, 202–219. [Google Scholar] [CrossRef] [PubMed]
- Ismail, A.R.; Baek, K.-H. Lipase immobilization with support materials, preparation techniques, and applications: Present and future aspects. Int. J. Biol. Macromol. 2020, 163, 1624–1639. [Google Scholar] [CrossRef] [PubMed]
- Kim, B.C.; Lee, I.; Kwon, S.-J.; Wee, Y.; Kwon, K.Y.; Jeon, C.; An, H.J.; Jung, H.-T.; Ha, S.; Dordick, J.S. Fabrication of enzyme-based coatings on intact multi-walled carbon nanotubes as highly effective electrodes in biofuel cells. Sci. Rep. 2017, 7, 40202. [Google Scholar] [CrossRef] [PubMed]
- Bourkaib, M.C.; Guiavarc’h, Y.; Chevalot, I.; Delaunay, S.; Gleize, J.; Ghanbaja, J.; Valsaque, F.; Berrada, N.; Desforges, A.; Vigolo, B. Non-covalent and covalent immobilization of Candida antarctica lipase B on chemically modified multiwalled carbon nanotubes for a green acylation process in supercritical CO2. Catal. Today 2020, 348, 26–36. [Google Scholar] [CrossRef]
- Piligaev, A.; Sorokina, K.; Samoylova, Y.; Parmon, V. Lipid production by microalga Micractinium sp. IC-76 in a flat panel photobioreactor and its transesterification with cross-linked enzyme aggregates of Burkholderia cepacia lipase. Energy Convers. Manag. 2018, 156, 1–9. [Google Scholar] [CrossRef]
- Khan, N.; Maseet, M.; Basir, S.F. Synthesis and characterization of biodiesel from waste cooking oil by lipase immobilized on genipin cross-linked chitosan beads: A green approach. Int. J. Green Energy 2020, 17, 84–93. [Google Scholar] [CrossRef]
- Wang, C.; Han, H.; Jiang, W.; Ding, X.; Li, Q.; Wang, Y. Immobilization of thermostable lipase QLM on core-shell structured polydopamine-coated Fe3O4 nanoparticles. Catalysts 2017, 7, 49. [Google Scholar] [CrossRef]
- Ren, Y.; Rivera, J.G.; He, L.; Kulkarni, H.; Lee, D.-K.; Messersmith, P.B. Facile, high efficiency immobilization of lipase enzyme on magnetic iron oxide nanoparticles via a biomimetic coating. BMC Biotechnol. 2011, 11, 63. [Google Scholar] [CrossRef]
- Wang, J.; Li, K.; He, Y.; Wang, Y.; Han, X.; Yan, Y. Enhanced performance of lipase immobilized onto Co2+-chelated magnetic nanoparticles and its application in biodiesel production. Fuel 2019, 255, 115794. [Google Scholar] [CrossRef]
- Gao, J.; Yin, L.; Feng, K.; Zhou, L.; Ma, L.; He, Y.; Wang, L.; Jiang, Y. Lipase immobilization through the combination of bioimprinting and cross-linked protein-coated microcrystal technology for biodiesel production. Ind. Eng. Chem. Res. 2016, 55, 11037–11043. [Google Scholar] [CrossRef]
- Sarno, M.; Iuliano, M. Highly active and stable Fe3O4/Au nanoparticles supporting lipase catalyst for biodiesel production from waste tomato. Appl. Surf. Sci. 2019, 474, 135–146. [Google Scholar] [CrossRef]
- Baskar, G.; Selvakumari, I.A.E.; Aiswarya, R. Biodiesel production from castor oil using heterogeneous Ni doped ZnO nanocatalyst. Bioresour. Technol. 2018, 250, 793–798. [Google Scholar] [CrossRef] [PubMed]
- Rahimi, T.; Kahrizi, D.; Feyzi, M.; Ahmadvandi, H.R.; Mostafaei, M. Catalytic performance of MgO/Fe2O3-SiO2 core-shell magnetic nanocatalyst for biodiesel production of Camelina sativa seed oil: Optimization by RSM-CCD method. Ind. Crop. Prod. 2021, 159, 113065. [Google Scholar] [CrossRef]
- Bencze, L.C.; Bartha-Vári, J.H.; Katona, G.; Toşa, M.I.; Paizs, C.; Irimie, F.-D. Nanobioconjugates of Candida antarctica lipase B and single-walled carbon nanotubes in biodiesel production. Bioresour. Technol. 2016, 200, 853–860. [Google Scholar] [CrossRef] [PubMed]
- Kalantari, M.; Yu, M.; Jambhrunkar, M.; Liu, Y.; Yang, Y.; Huang, X.; Yu, C. Designed synthesis of organosilica nanoparticles for enzymatic biodiesel production. Mater. Chem. Front. 2018, 2, 1334–1342. [Google Scholar] [CrossRef]
- Shafiq, F.; Mumtaz, M.W.; Mukhtar, H.; Touqeer, T.; Raza, S.A.; Rashid, U.; Nehdi, I.A.; Choong, T.S.Y. Response surface methodology approach for optimized biodiesel production from waste chicken fat oil. Catalysts 2020, 10, 633. [Google Scholar] [CrossRef]
- Ngo, T.P.; Li, A.; Tiew, K.W.; Li, Z. Efficient transformation of grease to biodiesel using highly active and easily recyclable magnetic nanobiocatalyst aggregates. Bioresour. Technol. 2013, 145, 233–239. [Google Scholar] [CrossRef]
- Jambulingam, R.; Shalma, M.; Shankar, V. Biodiesel production using lipase immobilised functionalized magnetic nanocatalyst from oleaginous fungal lipid. J. Clean. Prod. 2019, 215, 245–258. [Google Scholar] [CrossRef]
- Chandran, D. Compatibility of diesel engine materials with biodiesel fuel. Renew. Energy 2020, 147, 89–99. [Google Scholar] [CrossRef]
- Hoseini, S.; Najafi, G.; Ghobadian, B.; Ebadi, M.; Mamat, R.; Yusaf, T. Biodiesels from three feedstock: The effect of graphene oxide (GO) nanoparticles diesel engine parameters fuelled with biodiesel. Renew. Energy 2020, 145, 190–201. [Google Scholar] [CrossRef]
- Jeyalakshmi, P. Characterization of Simarouba glauca seed oil biodiesel. J. Therm. Anal. Calorim. 2019, 136, 267–280. [Google Scholar] [CrossRef]
- Islami, H.R.; Assareh, R. Enhancement effects of ferric ion concentrations on growth and lipid characteristics of freshwater microalga Chlorococcum oleofaciens KF584224. 1 for biodiesel production. Renew. Energy 2020, 149, 264–272. [Google Scholar] [CrossRef]
- Kaisan, M.; Anafi, F.; Nuszkowski, J.; Kulla, D.; Umaru, S. Calorific value, flash point and cetane number of biodiesel from cotton, jatropha and neem binary and multi-blends with diesel. Biofuels 2017, 8, 1–7. [Google Scholar] [CrossRef]
Publisher’s Note: MDPI stays neutral with regard to jurisdictional claims in published maps and institutional affiliations. |
© 2021 by the authors. Licensee MDPI, Basel, Switzerland. This article is an open access article distributed under the terms and conditions of the Creative Commons Attribution (CC BY) license (http://creativecommons.org/licenses/by/4.0/).


