Kinetics and Mechanism of Aniline and Chloroanilines Degradation Photocatalyzed by Halloysite-TiO2 and Halloysite-Fe2O3 Nanocomposites
Abstract
:1. Introduction
2. Results and Discussions
2.1. Kinetics
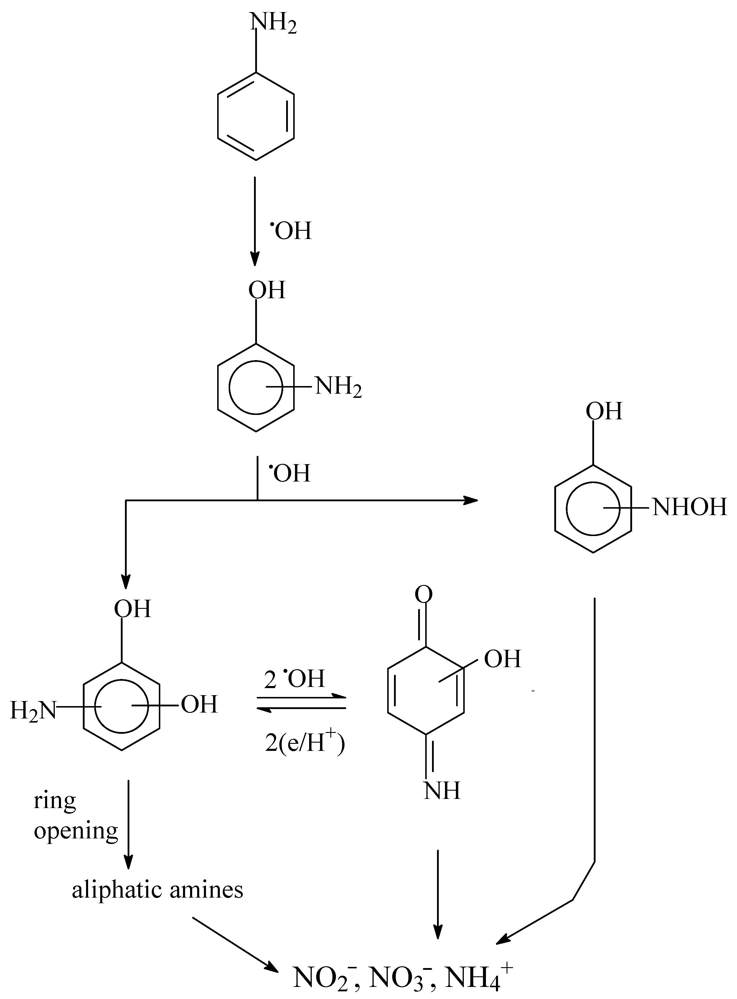
2.2. The Photodegradation Mechanism
3. Experimental Section
3.1. Chemicals
3.2. Preparation of Halloysite-TiO2 and Halloysite-Fe2O3 Nanocomposites
3.3. Adsorption Experiments
Adsorption Measurements by the PD ILC Method
3.4. Photoreactor and Irradiation Experiments
3.5. Product Analysis
4. Conclusions
Author Contributions
Funding
Conflicts of Interest
References
- Chu, W.; Choy, W.K.; So, T.Y. The effect of solution pH and peroxide in the TiO2-induced photocatalysis of chlorinated aniline. J. Hazard. Mater. 2007, 141, 86–91. [Google Scholar] [CrossRef]
- Gosetti, F.; Chiuminatto, U.; Zampieri, D.; Mazzucco, E.; Marengo, E.; Gennaro, M.C. A new on-line solid phase extraction high performance liquid chromatography tandem mass spectrometry method to study the sun light photodegradation of mono-chloroanilines in river water. J. Chromatogr. A 2010, 1217, 3427–3434. [Google Scholar] [CrossRef]
- Gosetti, F.; Bottaro, M.; Gianotti, V.; Mazzucco, E.; Frascarolo, P.; Zampieri, D.; Oliveri, C.; Viarenga, A.; Gennaro, M.C. Sun light degradation of 4-chloroaniline in waters and its effect on toxicity. A high performance liquid chromatography—Diode array—Tandem mass spectrometry study. Environ. Pollut. 2010, 158, 592–598. [Google Scholar] [CrossRef]
- Jen, J.F.; Chang, C.T.; Yang, C. On-line microdialysis–high-performance liquid chromatographic determination of aniline and 2-chloroaniline in polymer industrial wastewater. J. Chromatogr. A 2001, 930, 119–125. [Google Scholar] [CrossRef]
- Li, J.; Jin, Z. Effect of hypersaline aniline-containing pharmaceutical wastewater on the structure of activated sludge-derived bacterial community. J. Hazard. Mater. 2009, 172, 432–438. [Google Scholar] [CrossRef]
- Azbar, N.; Yonar, T.; Kestioglu, K. Comparison of various advanced oxidation processes and chemical treatment methods for COD and color removal from a polyester and acetate fiber dyeing effluent. Chemosphere 2004, 55, 35–43. [Google Scholar] [CrossRef] [PubMed]
- Oncescu, T.; Nitoi, I.; Oancea, P. Chlorobenzene degradation assisted by TiO2 under UV irradiation in aqueous solutions. J. Adv. Oxid. Technol. 2008, 11, 105–110. [Google Scholar] [CrossRef]
- Oncescu, T.; Stefan, M.; Oancea, P. Photocatalytic degradation of dichlorvos in aqueous TiO2 suspension. Environ. Sci. Pollut. Res. 2010, 17, 1158–1166. [Google Scholar] [CrossRef]
- Canle, M.; Santaballa, J.A.; Vuliet, E. On the mechanism of TiO2-photocatalyzed degradation of aniline derivatives. J. Photochem. Photobiol. A Chem. 2005, 175, 192–200. [Google Scholar] [CrossRef]
- Choy, W.K.; Chu, W. Photooxidation of o-chloroaniline in the presence of TiO2 and IO3−: A study of photo-intermediates and successive IO3− dose. Chem. Eng. J. 2008, 136, 180–187. [Google Scholar] [CrossRef]
- Brillas, E.; Mur, E.; Sauleda, R.; Sanchez, L.; Peral, J.; Domenech, X.; Casado, J. Aniline mineralization by AOP‘s: Anodic oxidation photocatalysis electro-Fenton and photoelectron-Fenton processes. Appl. Catal. B Environ. 1998, 16, 31–42. [Google Scholar] [CrossRef]
- Nitoi, I.; Oancea, P.; Cristea, I.; Constsntin, L.; Nechifor, G. Kinetics and mechanism of chlorinated aniline degradation by TiO2 photocatalysis. J. Photochem. Photobiol. A Chem. 2015, 298, 17–23. [Google Scholar] [CrossRef]
- Chawengkijwanich, C.; Hayata, Y. Development of TiO2 powder-coated food packaging film and its ability to inactivate Escherichia coli in vitro and in actual tests. Int. J. Food Microbiol. 2008, 123, 288–292. [Google Scholar] [CrossRef]
- Li, S.Q.; Zhu, R.R.; Zhu, H.; Xue, M.; Sun, X.Y.; Yao, S.D.; Wang, S.L. Nanotoxicity of TiO2 nanoparticles to erythrocyte in vitro. Food Chem. Toxicol. 2008, 46, 3626–3631. [Google Scholar] [CrossRef] [PubMed]
- Reijnders, L. The release of TiO2 and SiO2 nanoparticles from nanocomposites. Polym. Degrad. Stab. 2009, 94, 873–876. [Google Scholar] [CrossRef]
- Chorfi, H.; Zayani, G.; Saadoun, M.; Bousselmi, L.; Bessais, B. Understanding the solar photo-catalytic activity of TiO2–ITO nanocomposite deposited on low cost substrates. Appl. Surf. Sci. 2010, 256, 2170–2175. [Google Scholar] [CrossRef]
- Dong, Y.; Liu, Z.; Chen, L. Removal of Zn(II) from aqueous solution by natural halloysite nanotubes. J. Radioanal. Nucl. Chem. 2012, 292, 435–443. [Google Scholar] [CrossRef]
- Szczepanik, B. Photocatalytic degradation of organic contaminants over clay-TiO2 nanocomposites: A review. Appl. Clay Sci. 2017, 141, 227–239. [Google Scholar] [CrossRef]
- Machado, G.S.; Castro, K.A.D.d.F.; Wypych, F.; Nakagakia, S. Immobilization of metalloporphyrins into nanotubes of natural halloysite toward selective catalysts for oxidation reactions. J. Mol. Catal. A Chem. 2008, 283, 99–107. [Google Scholar] [CrossRef]
- Zhang, Y.; Tang, A.; Yang, H.; Ouyang, J. Applications and interfaces of halloysite nanocomposites. Appl. Clay Sci. 2016, 119, 8–17. [Google Scholar] [CrossRef]
- Szczepanik, B.; Rogala, P.; Słomkiewicz, P.M.; Banaś, D.; Aldona Kubala-Kukuś, A.; Stabrawa, I. Synthesis, characterization and photocatalytic activity of TiO2-halloysite and Fe2O3-halloysite nanocomposites for photodegradation of chloroanilines in water. Appl. Clay Sci. 2017, 149, 118–126. [Google Scholar] [CrossRef]
- Shahrezaei, F.; Mansouri, Y.; Zinatizadeh, A.A.L.; Akhbari, A. Photocatalytic Degradation of Aniline Using TiO2 Nanoparticles in a Vertical Circulating Photocatalytic Reactor. Int. J. Photoenergy 2012, 2012, 430638. [Google Scholar] [CrossRef] [Green Version]
- Augugliaro, V.; Prevot, A.B.; Loddo, V.; Marci, G. Photodegradation kinetics of aniline, 4-ethyloaniline and 4-chloroaniline in aquaeous susupension of poly-crystalline titanium dioxide. Res. Chem. Intermed. 2000, 26, 413–426. [Google Scholar] [CrossRef]
- Anonymous. Origin User’s Manual; Microcal Software Inc.: Northampton, MA, USA, 2021. [Google Scholar]
- Czaplicka, M.; Czaplicki, A. Photodegradation of 2,3,4,5-tetrachlorophenol in water/methanol mixture. J. Photochem. Photobiol. A 2006, 178, 90–97. [Google Scholar] [CrossRef]
- Szarawara, J.; Skrzypek, J. Podstawy Inżynierii Reaktorów Chemicznych; WNT: Warszawa, Poland, 1980. [Google Scholar]
- Słomkiewicz, P.M. Determination of the Langmuir—Hinshelwood kinetic equation of sythesis of ethers. Appl. Clay A Gen. 2004, 269, 33–42. [Google Scholar] [CrossRef]
- Słomkiewicz, P.M.; Szczepanik, B.; Garnuszek, M.; Rogala, P.; Witkiewicz, Z. Determination of Adsorption Equations for Chloro Derivatives of Aniline on Halloysite Adsorbents Using Inverse Liquid Chromatography. J. AOAC Int. 2017, 100, 1715–1726. [Google Scholar] [CrossRef]
- Szczepanik, B.; Słomkiewicz, P.M.; Garnuszek, M.; Czech, K. Adsorption of chloroanilines from aqueous solutions on the modified halloysite. Appl. Clay Sci. 2014, 101, 260–264. [Google Scholar] [CrossRef]
- Szczepanik, B.; Słomkiewicz, P. Photodegradation of aniline in water in the presence of chemically activated halloysite. Appl. Clay Sci. 2016, 124–125, 31–38. [Google Scholar] [CrossRef]
- Marquardt, D.W. An algorithm for least-squares estimation of nonlinear parameter. J. Soc. Indust. Appl. Math. 1963, 11, 431. [Google Scholar] [CrossRef]
- Carp, O.; Huisman, C.L.; Reller, A. Photoinduced reactivity of titanium dioxide. Prog. Solid State Chem. 2004, 32, 33–177. [Google Scholar] [CrossRef]
- San, N.; Hatipoglu, A.; Cinar, Z. Effect of molecular properties on the photocatalytic degradation rates of dichlorophenols and dichloroanilines in aqueous TiO2 suspensions. Toxicol. Environ. Chem. 2004, 86, 145–160. [Google Scholar] [CrossRef]
- Lindner, M.; Theurich, J.; Bahnemann, D.W. Photocatalytic degradation of organic compounds: Accelerating the process efficiency. Water Sci. Technol. 1997, 35, 79–86. [Google Scholar] [CrossRef]
- Karunakaran, C.; Senthilvelan, S. Fe2O3-photocatalysis with sunlight and UV-light: Oxidation of aniline. Electrochem. Commun. 2006, 8, 95–101. [Google Scholar] [CrossRef]
- Karunakaran, C.; Senthilvelan, S.; Karuthapandian, S. TiO2-photocatalyzed oxidation of aniline. J. Photochem. Photobiol. A Chem. 2005, 172, 207–213. [Google Scholar] [CrossRef]
- Choy, W.K.; Chu, W. Semiconductor-Catalyzed Photodegradation of o-chloroaniline: Products study and Iodate effect. Ind. Chem. Res. 2007, 46, 4740–4746. [Google Scholar] [CrossRef]
- Devi, L.G.; Krishnamurthy, G. TiO2- and BaTiO3-Assisted Photocatalytic Degradation of Selected Chloroorganic Compounds in Aqueous Medium: Correlation of Reactivity/Orientation Effects of Substituent Groups of the Pollutant Molecule on the Degradation Rate. J. Phys. Chem. A 2011, 115, 460–469. [Google Scholar] [CrossRef] [PubMed] [Green Version]
- Szczepanik, B.; Słomkiewicz, P.M.; Garnuszek, M. Determination of adsorption isotherms of aniline and 4-chloroaniline on halloysite adsorbent by inverse liquid chromatography. Appl. Clay Sci. 2015, 114, 221–228. [Google Scholar]
- Tang, H.; Li, J.; Bie, Y.; Zhu, L.; Zou, J. Photochemical removal of aniline in aqueous solutions: Switching from photocatalytic degradation to photo-enhanced polymerization recover. J. Hazard. Mater. 2010, 175, 977–984. [Google Scholar] [CrossRef]





| Parameter | P25 | Hal-TiO2 | Hal-Fe2O3 | Hal | TiO2 | Fe2O3 |
|---|---|---|---|---|---|---|
| Aniline | ||||||
| Rate constant of reaction k [min−1] | 2.12 × 10−3 | 1.14 × 10−2 | 1.28 × 10−2 | 3.75 × 10−3 | 5.78 × 10−3 | 4.81 × 10−3 |
| Error | 7.69 × 10−5 | 1.91 × 10−4 | 3.44 × 10−4 | 1.4 × 10−4 | 2.09 × 10−4 | 1.01 × 10−4 |
| Chi-Square Minimization (χ2) | 0.0012 | 0.0075 | 0.0244 | 0.0043 | 0.0090 | 0.0021 |
| Regression Coefficient (R2) | 0.7938 | 0.9657 | 0.8477 | 0.8778 | 0.9084 | 0.9540 |
| 2-chloroaniline | ||||||
| Rate constant of reaction k [min−1] | 4.63 × 10−3 | 1.61 × 10−2 | 1.88 × 10−2 | 1.10 × 10−2 | 5.71 × 10−3 | 5.27 × 10−3 |
| Error | 1.83 × 10−4 | 3.80 × 10−4 | 3.34 × 10−4 | 1.95 × 10−4 | 5.90 × 10−5 | 5.83 × 10−5 |
| Chi-Square Minimization (χ2) | 0.0069 | 0.0299 | 0.0230 | 0.0078 | 7.23 × 10−4 | 7.05 × 10−4 |
| Regression Coefficient (R2) | 0.74535 | 0.9281 | 0.93283 | 0.9626 | 0.9881 | 0.9868 |
| 2,6-dichloroaniline | ||||||
| Rate constant of reaction k [min−1] | 8.68 × 10−3 | 1.39 × 10−2 | 1.51 × 10−2 | 8.18 × 10−3 | 6.20 × 10−3 | 7.05 × 10−3 |
| Error | 4.37 × 10−4 | 2.78 × 10−4 | 2.47 × 10−4 | 2.17 × 10−4 | 4.14 × 10−4 | 6.70 × 10−5 |
| Chi-Square Minimization (χ2) | 0.0396 | 0.0160 | 0.0126 | 0.0097 | 0.0355 | 9.31 × 10−4 |
| Regression Coefficient (R2) | 0.8225 | 0.9479 | 0.9669 | 0.9008 | 0.84448 | 0.9901 |
| Temperature [K] | P25 | Hal-TiO2 | Hal-Fe2O3 | Hal | TiO2 | Fe2O3 |
|---|---|---|---|---|---|---|
| Aniline | ||||||
| Rate Constant of Reaction k [min−1] | ||||||
| 303 | 2.62 × 10−3 | 1.15 × 10−2 | 1.47 × 10−2 | 3.77 × 10−3 | 6.40 × 10−3 | 5.53 × 10−3 |
| 313 | 3.59 × 10−3 | 1.44 × 10−2 | 1.54 × 10−2 | 4.57 × 10−3 | 7.38 × 10−3 | 6.40 × 10−3 |
| 323 | 4.63 × 10−3 | 2.07 × 10−2 | 2.15 × 10−2 | 6.70 × 10−3 | 9.38 × 10−3 | 8.13 × 10−3 |
| Activation Energy [kJ/mol] | 24.7 | 19.5 | 15.1 | 18.7 | 15.0 | 16.1 |
| Temperature [K] | 2-chloroaniline | |||||
| Rate constant of reaction k [min−1] | ||||||
| 303 | 6.67 × 10−3 | 2.12 × 10−2 | 2.21 × 10−2 | 1.34 × 10−2 | 6.89 × 10−3 | 6.11 × 10−3 |
| 313 | 8.31 × 10−3 | 2.40 × 10−2 | 2.60 × 10−2 | 1.52 × 10−2 | 8.65 × 10−3 | 7.48 × 10−3 |
| 323 | 9.61 × 10−3 | 2.71 × 10−2 | 2.82 × 10−2 | 1.78 × 10−2 | 9.82 × 10−3 | 8.73 × 10−3 |
| Activation Energy [kJ/mol] | 21.7 | 15.1 | 12.6 | 14.4 | 19.3 | 15.9 |
| Temperature [K] | 2,6-dichloroaniline | |||||
| Rate constant of reaction k [min−1] | ||||||
| 303 | 1.08 × 10−2 | 1.61 × 10−2 | 1.88 × 10−2 | 9.79 × 10−3 | 7.24 × 10−3 | 8.85 × 10−3 |
| 313 | 1.41 × 10−2 | 1.95 × 10−2 | 2.36 × 10−2 | 1.43 × 10−2 | 1.07 × 10−2 | 1.17 × 10−2 |
| 323 | 1.77 × 10−2 | 2.72 × 10−2 | 3.11 × 10−2 | 1.88 × 10−2 | 1.35 × 10−2 | 1.50 × 10−2 |
| Activation Energy [kJ/mol] | 22.4 | 20.8 | 22.2 | 26.9 | 25.5 | 23.3 |
| Temperature [K] | P25 | Hal-TiO2 | Hal-Fe2O3 | Hal | TiO2 | Fe2O3 |
|---|---|---|---|---|---|---|
| Aniline | ||||||
| Adsorption Equilibrium Constant K [dm3/mol] | ||||||
| 298 | 7.00 × 10−3 | 1.20 × 10−2 | 3.01 × 10−2 | 1.60 × 10−2 | 6.00 × 10−3 | 2.78 × 10−2 |
| 303 | 6.35 × 10−3 | 1.06 × 10−2 | 2. 79 × 10−2 | 1.52 × 10−2 | 5.05 × 10−3 | 2.54 × 10−2 |
| 313 | 5.17 × 10−3 | 9.46 × 10−3 | 2.43 × 10−2 | 1.37 × 10−2 | 3.85 × 10−3 | 2.07 × 10−2 |
| 323 | 4.21 × 10−3 | 8.03 × 10−3 | 2.11 × 10−2 | 1.16 × 10−2 | 3.37 × 10−3 | 1.70 × 10−2 |
| n | 1.17 | 1.05 | 1.08 | 1.12 | 1.04 | 1.15 |
| Adsorption enthalpy ΔH [kJ/mol] | –16.2 | –12.3 | –11.3 | –10.2 | –18.5 | –15.8 |
| Temperature [K] | 2-chloroaniline | |||||
| Adsorption equilibrium constant K [dm3/ mol] | ||||||
| 298 | 3.00 × 10−3 | 7.34 × 10−3 | 2.77 × 10−2 | 2.10 × 10−2 | 1.25 × 10−2 | 2.66 × 10−2 |
| 303 | 2.52 × 10−3 | 6.38 × 10−3 | 2.32 × 10−2 | 1.90 × 10−2 | 9.52 × 10−3 | 2.19 × 10−2 |
| 313 | 1.84 × 10−3 | 4.85 × 10−3 | 1.83 × 10−2 | 1.49 × 10−2 | 7.62 × 10−3 | 1.71 × 10−2 |
| 323 | 1.48 × 10−3 | 3.68 × 10−3 | 1.46 × 10−2 | 1.24 × 10−2 | 5.74 × 10−3 | 1.36 × 10−2 |
| n | 1.6 | 1.55 | 1.86 | 1.42 | 1.05 | 1.17 |
| Adsorption enthalpy ΔH [kJ/mol] | –22.6 | –22.1 | –20.0 | –17.1 | –23.6 | –21.1 |
| Temperature [K] | 2,6-dichloroaniline | |||||
| Adsorption equilibrium constant K [dm3/ mol] | ||||||
| 298 | 2.00 × 10−3 | 3.00 × 10−3 | 9.00 × 10−3 | 1.10 × 10−2 | 9.72 × 10−3 | 9.86 × 10−3 |
| 303 | 1.52 × 10−3 | 2.43 × 10−3 | 6.87 × 10−3 | 9.19 × 10−3 | 7.67 × 10−3 | 8.06 × 10−3 |
| 313 | 1.11 × 10−3 | 1.82 × 10−3 | 4.89 × 10−3 | 6.47 × 10−3 | 5.20 × 10−3 | 5.39 × 10−3 |
| 323 | 7.31 × 10−4 | 1.23 × 10−3 | 4.01 × 10−3 | 5.25 × 10−3 | 3.52 × 10−3 | 4.09 × 10−3 |
| n | 1.21 | 1.14 | 1.20 | 1.33 | 1.24 | 1.28 |
| Adsorption enthalpy ΔH [kJ/mol] | –31.1 | –27.8 | –25.5 | –24.0 | –32.2 | –29.9 |
| Parameter | P25 | Hal-TiO2 | Hal-Fe2O3 | Hal | TiO2 | Fe2O3 |
|---|---|---|---|---|---|---|
| Aniline | ||||||
| Rate constant of reaction k [mol/dm3 min] | 0.84 | 1.20 | 3.06 | 1.14 | 2.30 | 1.94 |
| Error | 0.0120 | 0.0317 | 0.1044 | 0.0305 | 0.0405 | 0.0642 |
| Chi-Square Minimization (χ2) | 4.90 × 10−6 | 1.62 × 10−4 | 1.21 × 10−4 | 1.20 × 10−4 | 7.59 × 10−4 | 1.0 × 10−3 |
| Regression Coefficient (R2) | 0.9947 | 0.9816 | 0.9596 | 0.9787 | 0.9930 | 0.9569 |
| 2-chloroaniline | ||||||
| Rate constant of reaction k [mol/dm3 min] | 1.36 | 3.47 | 5.50 | 2.26 | 1.87 | 1.90 |
| Error | 0.0039 | 0.0425 | 0.0329 | 0.0427 | 0.0515 | 0.0629 |
| Chi-Square Minimization (χ2) | 2.95 × 10−8 | 4.49 × 10−5 | 1.10 × 10−5 | 1.47 × 10−4 | 3.37 × 10−4 | 9.59 × 10−4 |
| Regression Coefficient (R2) | 0.9996 | 0.99611 | 0.9981 | 0.9857 | 0.9796 | 0.9569 |
| 2,6-dichloroaniline | ||||||
| Rate constant of reaction k [mol/dm3 min] | 1.35 | 2.61 | 3.05 | 0.89 | 1.54 | 1.48 |
| Error | 0.0039 | 0.002 | 0.0484 | 0.0128 | 0.03194 | 0.03541 |
| Chi-Square Minimization (χ2) | 2.95 × 10−8 | 3.68 × 10−6 | 1.02 × 10−4 | 6.50 × 10−6 | 8.33 × 10−5 | 1.51 × 10−4 |
| Regression Coefficient (R2) | 0.9996 | 0.9986 | 0.9929 | 0.9933 | 0.9863 | 0.9789 |
| P25 | Hal-TiO2 | Hal-Fe2O3 | Hal | TiO2 | Fe2O3 | |
|---|---|---|---|---|---|---|
| Temperature [K] | Aniline | |||||
| Rate constant of reaction k [mol/dm3 min] | ||||||
| 303 | 1.03 | 1.40 | 3.61 | 1.30 | 2.54 | 2.19 |
| 313 | 1.31 | 1.74 | 4.10 | 1.67 | 2.94 | 2.58 |
| 323 | 1.79 | 2.15 | 4.61 | 2.01 | 3.39 | 3.02 |
| Activation Energy [kJ/mol] | 23.5 | 18.3 | 12.4 | 17.2 | 12.2 | 13.8 |
| Temperature [K] | 2-chloroaniline | |||||
| Rate constant of reaction k [mol/dm3 min] | ||||||
| 303 | 1.58 | 4.00 | 6.18 | 2.56 | 2.00 | 2.07 |
| 313 | 1.96 | 4.67 | 7.01 | 2.99 | 2.45 | 2.54 |
| 323 | 2.49 | 5.27 | 7.78 | 3.38 | 2.91 | 3.02 |
| Activation Energy [kJ/mol] | 19.0 | 13.1 | 10.7 | 12.6 | 14.5 | 15.0 |
| Temperature [K] | 2,6-dichloroaniline | |||||
| Rate constant of reaction k [mol/dm3 min] | ||||||
| 303 | 1.67 | 3.26 | 3.52 | 1.22 | 2.09 | 1.78 |
| 313 | 2.17 | 3.96 | 4.34 | 1.63 | 2.68 | 2.39 |
| 323 | 2.71 | 4.93 | 5.43 | 2.01 | 3.28 | 2.95 |
| Activation Energy [kJ/mol] | 21.6 | 19.4 | 18.1 | 25.0 | 23.0 | 22.0 |
| Nanocomposite | Crystallite Size | Chemicals | Condtions |
|---|---|---|---|
| Halloysite-TiO2 | <100 nm | support–acid treated halloysite, TiO2 precursor–titanium tetraisopropoxide, isopropanol, HNO3 | hydrothermal method, mixture stirred for 24 h at 65 °C |
| Halloysite-Fe2O3 | 5–10 nm | support–acid treated halloysite, Fe2O3 precursor–gelatinous ferric hydroxide, FeCl3, deionized water | sol-gel method, mixture stirred for 24 h at 65 °C, calcination at 180 °C for 2 h |
| Photocatalyst | Temperature (K) | Conditions |
|---|---|---|
| Halloysite-TiO2 | 298 303 313 323 | Photocatalyst concentration: 2.9 g/dm3 Initial concentration of amine: 40 mg/dm3 Initial pH: 6 Constant stirring, time of irradiation: 300 min. |
| Halloysite-Fe2O3 | ||
| P25 | ||
| TiO2(anatase) | ||
| Fe2O3 | ||
| Halloysite (Hal) |
Publisher’s Note: MDPI stays neutral with regard to jurisdictional claims in published maps and institutional affiliations. |
© 2021 by the authors. Licensee MDPI, Basel, Switzerland. This article is an open access article distributed under the terms and conditions of the Creative Commons Attribution (CC BY) license (https://creativecommons.org/licenses/by/4.0/).
Share and Cite
Szczepanik, B.; Słomkiewicz, P.; Wideł, D.; Czaplicka, M.; Frydel, L. Kinetics and Mechanism of Aniline and Chloroanilines Degradation Photocatalyzed by Halloysite-TiO2 and Halloysite-Fe2O3 Nanocomposites. Catalysts 2021, 11, 1548. https://doi.org/10.3390/catal11121548
Szczepanik B, Słomkiewicz P, Wideł D, Czaplicka M, Frydel L. Kinetics and Mechanism of Aniline and Chloroanilines Degradation Photocatalyzed by Halloysite-TiO2 and Halloysite-Fe2O3 Nanocomposites. Catalysts. 2021; 11(12):1548. https://doi.org/10.3390/catal11121548
Chicago/Turabian StyleSzczepanik, Beata, Piotr Słomkiewicz, Dariusz Wideł, Marianna Czaplicka, and Laura Frydel. 2021. "Kinetics and Mechanism of Aniline and Chloroanilines Degradation Photocatalyzed by Halloysite-TiO2 and Halloysite-Fe2O3 Nanocomposites" Catalysts 11, no. 12: 1548. https://doi.org/10.3390/catal11121548
APA StyleSzczepanik, B., Słomkiewicz, P., Wideł, D., Czaplicka, M., & Frydel, L. (2021). Kinetics and Mechanism of Aniline and Chloroanilines Degradation Photocatalyzed by Halloysite-TiO2 and Halloysite-Fe2O3 Nanocomposites. Catalysts, 11(12), 1548. https://doi.org/10.3390/catal11121548

