Research on Coal Tar Pitch Catalytic Oxidation and Its Effect on the Emission of PAHs during Co-Carbonation with Coal
Abstract
:1. Introduction
2. Results and Discussion
2.1. Physical Properties Analysis of CTP and Raw Coal
2.2. Analysis of the Effect of Catalytic Oxidation on Coal Tar Pitch
2.2.1. Analysis on Properties of Catalytic Oxidized Coal Tar Pitch
2.2.2. Elemental Analysis
2.2.3. Fourier Transformed Infrared Spectroscopy
2.2.4. X-ray Diffraction Analysis
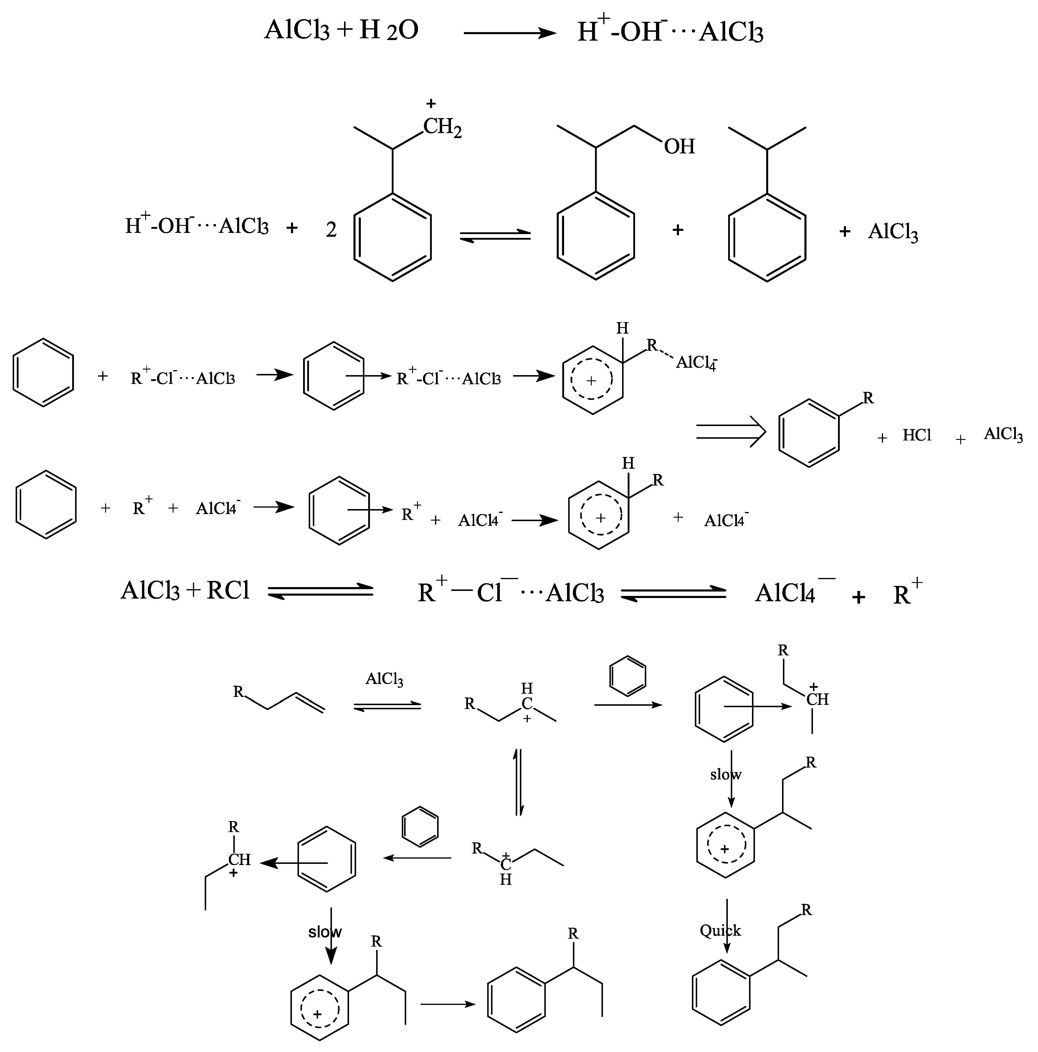
2.2.5. Catalytic Mechanism
2.3. Analysis of PAHs in CTP and Co-Carbonization Processes
3. Materials and Experiments
3.1. Raw Materials
3.2. Preparation of Air-Oxidation Modified Coal Tar Pitch
3.3. Analytical Testing
3.4. Polycyclic Aromatic Hydrocarbon Detection
3.4.1. Gas Chromatography Analysis
3.4.2. Collection of PAHs from CTP
3.4.3. Collection of PAHs in Pyrolysis Gas from CTP and Coal Co-Carbonization
4. Conclusions
Author Contributions
Funding
Data Availability Statement
Conflicts of Interest
References
- Hung, A.M.; Fini, E.H. Absorption spectroscopy to determine the extent and mechanisms of aging in bitumen and asphaltenes. Fuel 2019, 242, 408–415. [Google Scholar] [CrossRef]
- Chen, J.S.; Huang, L.S. Developing an aging model to evaluate engineering properties of asphalt paving binders. Mater. Struct. 2000, 33, 559–565. [Google Scholar] [CrossRef]
- Marsac, P.; Piérard, N.; Porot, L.; Van den Bergh, W.; Grenfell, J.; Mouillet, V.; Pouget, S.; Besamusca, J.; Farcas, F.; Gabet, T.; et al. Potential and limits of FTIR methods for reclaimed asphalt characterisation. Mater. Struct. 2014, 47, 1273–1286. [Google Scholar] [CrossRef]
- Yang, Z.; Zhang, X.; Zhang, Z.; Zou, B.; Zhu, Z.; Lu, G.; Xu, W.; Yu, J.; Yu, H. Effect of Aging on Chemical and Rheological Properties of Bitumen. Polymers 2018, 10, 1345. [Google Scholar] [CrossRef] [PubMed] [Green Version]
- Petrova, B.; Budinova, T.; Petrov, N.; Yardim, M.F.; Ekinci, E.; Razvigorova, M. Effect of different oxidation treatments on the chemical structure and properties of commercial coal tar pitch. Carbon 2005, 43, 261–267. [Google Scholar] [CrossRef]
- Quddus, M.A.; Sarwar, S.N.; Khan, F. The chemical composition of catalytic air blown asphalt. Fuel 1995, 74, 684–689. [Google Scholar] [CrossRef]
- Oldham, D.J.; Obando, C.J.; Mousavi, M.; Kaloush, K.E.; Fini, E.H. Introducing the critical aging point (CAP) of asphalt based on its restoration capacity. Constr. Build. Mater. 2021, 278, 122379. [Google Scholar] [CrossRef]
- Mousavi, M.; Pahlavan, F.; Oldham, D.; Hosseinnezhad, S.; Fini, E.H. Multiscale Investigation of Oxidative Aging in Biomodified Asphalt Binder. J. Phys. Chem. C 2016, 120, 17224–17233. [Google Scholar] [CrossRef]
- Benk, A. Utilisation of the binders prepared from coal tar pitch and phenolic resins for the production metallurgical quality briquettes from coke breeze and the study of their high temperature carbonization behaviour. Fuel Process. Technol. 2010, 91, 1152–1161. [Google Scholar] [CrossRef]
- Xu, G.Y.; Yan, Q.; Yu, H.F.; Zhang, J.; An, B.G.; Wang, T.J.; Qu, D.L.; Zhou, W.M. Tracking and analyzing the structures and morphologies of mesocarbon microbeads (MCMBs) in air oxidation process. Polym. Bull. 2016, 73, 3175–3182. [Google Scholar] [CrossRef]
- Yu, B.; Wang, C.; Chen, M.; Zheng, J.; Qi, J. Two-step chemical conversion of coal tar pitch to isotropic spinnable pitch. Fuel Process. Technol. 2012, 104, 155–159. [Google Scholar] [CrossRef]
- Sun, M.; Wang, L.; Zhong, J.; Yao, Q.; Chen, H.; Jiao, L.; Hao, Q.; Ma, X. Chemical modification with aldehydes on the reduction of toxic PAHs derived from low temperature coal tar pitch. J. Anal. Appl. Pyrolysis 2020, 148, 104822. [Google Scholar] [CrossRef]
- Russo, C.; Ciajolo, A.; Stanzione, F.; Tregrossi, A.; Oliano, M.M.; Carpentieri, A.; Apicella, B. Investigation on chemical and structural properties of coal- and petroleum-derived pitches and implications on physico-chemical properties (solubility, softening and coking). Fuel 2019, 245, 478–487. [Google Scholar] [CrossRef]
- Zhang, S.; Cui, Y.; Wei, W. Low-temperature characteristics and microstructure of asphalt under complex aging conditions. Constr. Build. Mater. 2021, 303, 124408. [Google Scholar] [CrossRef]
- Li, X.; Wang, Y.-M.; Wu, Y.-L.; Wang, H.-R.; Chen, M.; Sun, H.-D.; Fan, L. Properties and modification mechanism of asphalt with graphene as modifier. Constr. Build. Mater. 2020, 272, 121919. [Google Scholar] [CrossRef]
- Nie, Y.; Gao, W.; Zhou, C.; Yu, P.; Song, X. Evaluation of ageing behaviors of asphalt binders using FTIR tests. Int. J. Pavement Res. Technol. 2020, 14, 615–624. [Google Scholar] [CrossRef]
- Li, K.; Liu, Q.; Cheng, H.; Hu, M.; Zhang, S. Classification and carbon structural transformation from anthracite to natural coaly graphite by XRD, Raman spectroscopy, and HRTEM. Spectrochim. Acta Part A Mol. Biomol. Spectrosc. 2021, 249, 119286. [Google Scholar] [CrossRef] [PubMed]
- Siddiqui, M.N.; Ali, M.F.; Shirokoff, J. Use of X-ray diffraction in assessing the aging pattern of asphalt fractions. Fuel 2002, 81, 51–58. [Google Scholar] [CrossRef]
- Yaro, N.S.A.; Bin Napiah, M.; Sutanto, M.H.; Usman, A.; Saeed, S.M. Modeling and optimization of mixing parameters using response surface methodology and characterization of palm oil clinker fine modified bitumen. Constr. Build. Mater. 2021, 298, 123849. [Google Scholar] [CrossRef]
- Kargar-Shouroki, F.; Miri, M.; Sakhvidi, M.J.Z.; Sangchi, S.Z.H.; Madadizadeh, F. Genotoxic effect of exposure to polycyclic aromatic hydrocarbons (PAHs) in asphalt workers. EXCLI J. 2021, 20, 686–697. [Google Scholar] [CrossRef] [PubMed]
- Bal, C.; Ağış, E.R.; Büyükşekerci, M.; Gunduzoz, M.; Tutkun, L.; Yılmaz, H. Occupational exposure to asphalt fume can cause oxidative DNA damage among road paving workers. Am. J. Ind. Med. 2018, 61, 471–476. [Google Scholar] [CrossRef]
- Liu, X.; Zhao, D.; Peng, L.; Bai, H.; Zhang, D.; Mu, L. Gas–particle partition and spatial characteristics of polycyclic aromatic hydrocarbons in ambient air of a prototype coking plant. Atmos. Environ. 2019, 204, 32–42. [Google Scholar] [CrossRef]
- Lin, S.; Hung, W.; Leng, Z. Air pollutant emissions and acoustic performance of hot mix asphalts. Constr. Build. Mater. 2016, 129, 1–10. [Google Scholar] [CrossRef]
- Wang, Y.-G.; Jiang, W.-J.; Shen, J.; Wang, W.; Niu, Y.-X.; Zhao, W.; Wei, X.-Y. Detoxification modification of coal-tar pitch by ultraviolet & microwave radiation-enhanced chemical reaction and toxicity evaluation by chemical index and cytotoxicity assay in vitro. J. Hazard. Mater. 2021, 410, 124648. [Google Scholar] [CrossRef] [PubMed]
- Lei, M.; Wu, S.; Liu, G.; Amirkhanian, S. VOCs characteristics and their relation with rheological properties of base and modified bitumens at different temperatures. Constr. Build. Mater. 2018, 160, 794–801. [Google Scholar] [CrossRef]
- Law, B.F.; Stone, S.; Frazer, D.; Siegel, P.D. Characterization of Laboratory Simulated Road Paving-Like Asphalt by High-Performance Liquid Chromatography and Gas Chromatography-Mass Spectrometry. J. Occup. Environ. Hyg. 2006, 3, 343–350. [Google Scholar] [CrossRef] [PubMed]
- Buratti, M.; Campo, L.; Fustinoni, S.; Valla, C.; Martinotti, I.; Cirla, P.E.; Cavallo, D.; Foà, V. Application of Ultraviolet Spectrophotometry to Estimate Occupational Exposure to Airborne Polyaromatic Compounds in Asphalt Pavers. J. Occup. Environ. Hyg. 2007, 4, 412–419. [Google Scholar] [CrossRef]
- Nomura, S.; Arima, T. Influence of binder (coal tar and pitch) addition on coal caking property and coke strength. Fuel Process. Technol. 2017, 159, 369–375. [Google Scholar] [CrossRef]
- Zubkova, V.; Prezhdo, V. The formation of mesophase composites under influence of the coal-tar pitch during coal carbonization. Compos. Interfaces 2005, 12, 523–544. [Google Scholar] [CrossRef]
- Ehrburger, P.; Lahaye, J. Physico-chemical interactions of coal and pitch during co-carbonization. Fuel 1984, 63, 494–498. [Google Scholar] [CrossRef]
- Xu, R.; Deng, S.; Wang, W.; Zheng, H.; Chen, S.; Huang, X.; Wang, F. Effect of Binders on the Crushing Strength of Ferro-Coke. Materials 2021, 14, 850. [Google Scholar] [CrossRef] [PubMed]
- Zhang, Q.; Meng, J.; Su, G.; Liu, Z.; Shi, B.; Wang, T. Source apportionment and risk assessment for polycyclic aromatic hydrocarbons in soils at a typical coking plant. Ecotoxicol. Environ. Saf. 2021, 222, 112509. [Google Scholar] [CrossRef]
- Xiong, G.; Zhang, Y.; Duan, Y.; Cai, C.; Wang, X.; Li, J.; Tao, S.; Liu, W. Uptake of PAHs by cabbage root and leaf in vegetable plots near a large coking manufacturer and associations with PAHs in cabbage core. Environ. Sci. Pollut. Res. 2017, 24, 18953–18965. [Google Scholar] [CrossRef] [PubMed]
- Shi, Y.; Song, C.Y.; Gao, L. Generation Characteristics of Polycyclic Aromatic Hydrocarbons during Blending Coal Coking. Adv. Mater. Res. 2011, 418-420, 424–427. [Google Scholar] [CrossRef]
- Shi, Y.; Yue, Z.X. Generation and Emission Characteristics of Polycyclic Aromatic Hydrocarbons in Single Coal Coking Process. Adv. Mater. Res. 2011, 402, 442–445. [Google Scholar] [CrossRef]
- Cheng, X.-L.; Li, E.-K.; Cang, D.-Q.; Shi, Y.; Li, M.-J. Generation of polycyclic aromatic hydrocarbons during coking. J. Iron Steel Res. Int. 2010, 17, 6–10. [Google Scholar] [CrossRef]
- Duan, M.; Tian, Y.-M.; Li, S.-Z. The catalytic role of aluminium trichloride in the polymerization and carbonization of coal tar. New Carbon Mater. 2016, 31, 62–67. [Google Scholar] [CrossRef]
- Qizhi, P. Organic chemical reactions catalyzed by AlCl3. Chem. Enterp. Manag. 2014, 20, 73–75. (In Chinese) [Google Scholar]
- Cao, B.; Du, J.; Cao, Z.; Sun, H.; Sun, X.; Fu, H. Theoretical study on the alkylation of o-xylene with styrene in AlCl3-ionic liquid catalytic system. J. Mol. Graph. Model. 2017, 74, 8–15. [Google Scholar] [CrossRef]
- Vermeeren, P.; Hamlin, T.A.; Fernández, I.; Bickelhaupt, F.M. How Lewis Acids Catalyze Diels—Alder Reactions. Angew. Chem. Int. Ed. 2020, 59, 6201–6206. [Google Scholar] [CrossRef]
- Fernández, J.; Figueiras, A.; Granda, M.; Bermejo, J.; Menéndez, R. Modification of coal-tar pitch by air-blowing—I. Variation of pitch composition and properties. Carbon 1995, 33, 295–307. [Google Scholar] [CrossRef]
- Barr, J.B.; Lewis, I.C. Chemical changes during the mild air oxidation of pitch. Carbon 1978, 16, 439–444. [Google Scholar] [CrossRef]
- Xiong, J.M.; Ma, W.M.; Ge, M.L.; Li, W.H.; Chen, X. Preparation of high quality impregnating pitch by new route. Mater. Res. Innov. 2014, 18, S2-924–S2-927. [Google Scholar] [CrossRef]
- Ashworth, C. Asphalt a concern for air pollution. Nat. Rev. Earth Environ. 2020, 1, 497. [Google Scholar] [CrossRef]
- Ozaki, A.; Taylor, H.S.; Boudart, B. Kinetics and mechanism of the ammonia synthesis. Proc. R. Soc. Lond. Ser. A Math. Phys. Sci. 1960, 258, 47–62. [Google Scholar] [CrossRef]
- Hao, J.; Feng, W.; Qiao, Y.; Tian, Y.; Zhang, J.; Che, Y. Thermal cracking behaviors and products distribution of oil sand bitumen by TG-FTIR and Py-GC/TOF-MS. Energy Convers. Manag. 2017, 151, 227–239. [Google Scholar] [CrossRef]
- Liu, H.; Li, T.; Wang, X.; Zhang, W.; Zhao, T. Preparation and characterization of carbon foams with high mechanical strength using modified coal tar pitches. J. Anal. Appl. Pyrolysis 2014, 110, 442–447. [Google Scholar] [CrossRef]
- Niu, Z.-S.; Wang, Y.-G.; Shen, J.; Niu, Y.-X.; Liu, G.; Zhao, W.; Wei, X.-Y. Insight into aromatic structures of a middle-temperature coal tar pitch by direct characterization and ruthenium ion-catalyzed oxidation. Fuel 2019, 241, 1164–1171. [Google Scholar] [CrossRef]
- Khordehbinan, M.; Kaymanesh, M.R. Chemical analysis and middle-low temperature functional of waste polybutadiene rubber polymer modified bitumen. Pet. Sci. Technol. 2019, 38, 8–17. [Google Scholar] [CrossRef]
- Tong, J.; Han, X.; Wang, S.; Jiang, X. Evaluation of Structural Characteristics of Huadian Oil Shale Kerogen Using Direct Techniques (Solid-State 13C NMR, XPS, FT-IR, and XRD). Energy Fuels 2011, 25, 4006–4013. [Google Scholar] [CrossRef]
- Zhang, X.; Ma, Z.; Meng, Y.; Xiao, M.; Fan, B.; Song, H.; Yin, Y. Effects of the addition of conductive graphene on the preparation of mesophase from refined coal tar pitch. J. Anal. Appl. Pyrolysis 2019, 140, 274–280. [Google Scholar] [CrossRef]
- Duan, H.; Xu, X.; Leng, K.; Guo, G.; Yu, Q.; Li, X.; Han, Y.; Gao, J.; Wang, Z. AlCl3-catalyzed C-H p hosphination of benzene: A mechanistic study. Appl. Catal. A Gen. 2020, 611, 117943. [Google Scholar] [CrossRef]
- Zhengping, G.Z.F. In situ capacitance enhancement and catalytic degradation of Friedel-Crafts alkylation reaction in polymer blends. J. High. Educ. Chem. 2009, 30, 1898–1903. (In Chinese) [Google Scholar]
- Li, Y.; Peng, D.; Guan, C. Advances in catalytic mechanisms for the alkylation of aromatics and olefins. Adv. Chem. Eng. 2020, 39, 204–211. (In Chinese) [Google Scholar] [CrossRef]
- Wang, W.; Liu, G.; Shen, J.; Chang, H.; Li, R.; Du, J.; Yang, Z.; Xu, Q. Reducing polycyclic aromatic hydrocarbons content in coal tar pitch by potassium permanganate oxidation and solvent extraction. J. Environ. Chem. Eng. 2015, 3, 1513–1521. [Google Scholar] [CrossRef]
- Hayashizaki, H.; Kanehashi, K.; Uebo, K.; Nomura, S.; Saito, Y.; Matsushita, Y.; Aoki, H. Effects of Hydrocarbon Addition on Increase in Dilatation of Coal. ISIJ Int. 2019, 59, 1404–1412. [Google Scholar] [CrossRef] [Green Version]
- Standardization Administration of China. GB/T 2291-2016. Method for Preparation of Coal Tar Pitch Specimens. Available online: http://openstd.samr.gov.cn/bzgk/gb/newGbInfo?hcno=625BFF4DB191ADBB18D5511A13D5AA99 (accessed on 13 December 2016). (In Chinese)
- Standardization Administration of China. GB/T 2001-2013. Coke—Determination of Proximate Analysis. Available online: http://openstd.samr.gov.cn/bzgk/gb/newGbInfo?hcno=CB44EEDFCC1A86A2B82304382DD94760 (accessed on 17 December 2013). (In Chinese)
- Standardization Administration of China. GB/T 2292-2018. Determination of Toluene Insoluble Content for Coking Products. Available online: http://openstd.samr.gov.cn/bzgk/gb/newGbInfo?hcno=EA5BFD7C1E8CD5C70F1F02EF7AB754D8 (accessed on 14 May 2018). (In Chinese)
- Standardization Administration of China. GB/T 8727-2008. Method for Determination of Coking Value of Coal Pitch Products. Available online: http://openstd.samr.gov.cn/bzgk/gb/newGbInfo?hcno=707FCEA906B79320A1CB1878F347AE91 (accessed on 19 August 2008). (In Chinese)









| Sample | CTP | CTP-1 | CTP-3 | CTP-6 | CTP-10 |
|---|---|---|---|---|---|
| Vad (%) | 84.41 | 82.88 | 77.09 | 77.07 | 71.86 |
| CV (%) | 25.96 | 30.57 | 33.32 | 34.05 | 38.08 |
| Sample | CTP | CTP-A1 | CTP-A3 | CTP-A6 | CTP-A10 |
|---|---|---|---|---|---|
| Vad (%) | 84.41 | 80.89 | 76.74 | 70.99 | 70.05 |
| CV (%) | 25.96 | 29.59 | 28.64 | 39.65 | 34.73 |
| Sample | n (%) | C (%) | H (%) | O (%) | C/H Ratio |
|---|---|---|---|---|---|
| CTP | 0.87 | 83.48 | 6.678 | 7.794 | 12.5003 |
| CTP-10 | 0.83 | 83.51 | 6.619 | 8.482 | 12.6166 |
| CTP-A10 | 0.73 | 80.23 | 6.258 | 12.015 | 12.8196 |
| Sample | d002 (nm) | Lc (nm) | f002 |
|---|---|---|---|
| CTP | 0.3783 | 0.023 | 40.40 |
| CTP-10 | 0.3729 | 0.023 | 38.68 |
| CTP-A10 | 0.3697 | 0.026 | 38.44 |
| PAHs Species | Chemical Formula | RPF (Relative Potency Factor) | Molecular Weight (g/mol) | Abbreviation | Carcinogenic Activity |
|---|---|---|---|---|---|
| Naphthalene | C10H8 | 0.000 | 128 | NAP | - |
| Acenaphthylene | C12H8 | - | 152 | ACY | - |
| Acenaphthene | C12H10 | - | 154 | ACP | - |
| Fluorene | C13H8 | 0 | 166 | FLR | - |
| Phenanthrene | C14H10 | 0 | 178 | PHE | - |
| Anthracene | C14H10 | 0 | 178 | ANT | - |
| Fluoranthene | C16H10 | 0.034 | 202 | FLT | + |
| Pyrene | C16H10 | 0.026 | 202 | PYR | - |
| Benzo(a)anthracene | C18H12 | 0.0 | 228 | BaA | −/+ |
| Chrysene | C18H12 | 0.033 | 228 | CHR | + |
| Benzo(k)fluoranthene | C20H12 | 0.010 | 252 | BbF | ++ |
| Benzo(b)fluoranthene | C20H12 | 0.100 | 252 | BbF | ++ |
| Benzo(a)pyrene | C20H12 | 1.000 | 252 | BaP | ++++ |
| Dibenzo(a,h)anthracene | C22H14 | 1.400 | 278 | DhA | ++ |
| Indeno(1,2,3-ed)pyrene | C22H12 | 0.100 | 276 | IcP | * |
| Benzo(g,h,i)perylene | C22H12 | - | 276 | BgP | ++ |
| PAHs Species | Standard Curves | R2 | RT |
|---|---|---|---|
| NAP | y = 709.8602x2 + 46,407.3209x + 4839.9700 | 0.9998 | 6.794 |
| ACY | y = 1360.6296x2 + 22,697.9992x + 1940.4615 | 0.9999 | 13.078 |
| ACP | y = 687.4379x2 + 21,084.0115x + 2137.5146 | 0.9997 | 13.875 |
| FLR | y = 869.6043x2 + 21,037.1279x + 620.3718 | 0.9999 | 16.243 |
| PHE | y = 1116.1445x2 + 28,564.8776x − 4017.3521 | 0.9999 | 20.620 |
| ANT | y = 1779.7068x2 + 1824.3099x − 5537.7252 | 0.9999 | 20.863 |
| FLT | y = 1751.0246x2 + 20,353.0331x + 91.5603 | 0.9999 | 26.165 |
| PYR | y = 2114.6845x2 + 18,283.0958x + 1525.1952 | 0.9994 | 27.147 |
| BaA | y = 2005.2859x2 + 7874.1260x + 1248.1497 | 0.9998 | 32.853 |
| CHR | y = 1560.6749x2 + 22,440.6189x − 6165.9795 | 0.9998 | 33.003 |
| BbF | y = 1873.6234x2 + 15,103.7743x + 1076.7860 | 0.9999 | 37.658 |
| BbF | y = 1815.9737x2 + 8108.3877x + 1751.4327 | 0.9999 | 37.537 |
| BaP | y = 1639.6698x2 + 3911.6294x + 3196.6192 | 0.9998 | 38.790 |
| DhA | y = 1340.0057x2 + 5122.8383x + 2675.9679 | 0.9992 | 42.867 |
| IcP | y = 1269.8663x2 + 11,204.3713x + 2860.1553 | 0.9997 | 43.693 |
| BgP | y = 1217.2925x2 + 10,116.6695x − 98.7201 | 1.0000 | 43.041 |
| PAHs Species | Number of Aromatic Rings | Sample | |||
|---|---|---|---|---|---|
| CTP | CTP-A10 | C-G | C-G-A10 | ||
| Naphthalene | 2 | - | - | 3.40 | 5.16 |
| Acenaphthylene | 3 | - | - | 4.9 | 1.28 |
| Acenaphthene | 0.11 | - | 1.2 | 0.36 | |
| Fluorene | 0.11 | - | 31.0 | 1.92 | |
| Phenanthrene | 0.68 | 0.31 | 233.3 | 8.6 | |
| Anthracene | 0.64 | 0.19 | 82.4 | 2.72 | |
| Fluoranthene | 4 | 1.00 | 0.56 | 129.6 | 18.2 |
| Pyrene | 1.44 | 0.88 | 94.2 | 15.6 | |
| Benzo(a)anthracene | 2.95 | 2.38 | 78.6 | 15.4 | |
| Chrysene | 1.95 | 1.62 | 72.8 | 15.48 | |
| Benzo(k)fluoranthene | 5 | 1.30 | 1.10 | 22.9 | 4.84 |
| Benzo(b)fluoranthene | 5.43 | 5.12 | 86.1 | 19.52 | |
| Benzo(a)pyrene | 5.18 | 4.76 | 61.5 | 12.68 | |
| Dibenzo(a,h)anthracene | 3.57 | 3.53 | 17.1 | 2.88 | |
| Indeno(1,2,3-ed)pyrene | 6 | 3.75 | 3.41 | 39.8 | 6.44 |
| Benzo(g,h,i)perylene | 0.97 | 1.04 | 39.3 | 5.36 | |
| Total PAHs (mg/L) | 29.08 | 24.9 | 998.1 | 136.44 | |
| Equivalent Toxic | 11.24 | 10.66 | 107.52 | 20.89 | |
| Sample | Mad (%) | Aad (%) | Vad (%) | FCad (%) |
|---|---|---|---|---|
| JF | 19.76 | 10.69 | 3.48 | 66.07 |
| XY | 8.39 | 7.54 | 14.72 | 69.35 |
| XS | 1.12 | 6.23 | 15.42 | 77.23 |
| XJ | 4.88 | 7.43 | 14.46 | 73.23 |
Publisher’s Note: MDPI stays neutral with regard to jurisdictional claims in published maps and institutional affiliations. |
© 2021 by the authors. Licensee MDPI, Basel, Switzerland. This article is an open access article distributed under the terms and conditions of the Creative Commons Attribution (CC BY) license (https://creativecommons.org/licenses/by/4.0/).
Share and Cite
Chen, L.; Guo, F.; Wu, J.; Li, P.; Zhang, Y. Research on Coal Tar Pitch Catalytic Oxidation and Its Effect on the Emission of PAHs during Co-Carbonation with Coal. Catalysts 2021, 11, 1428. https://doi.org/10.3390/catal11121428
Chen L, Guo F, Wu J, Li P, Zhang Y. Research on Coal Tar Pitch Catalytic Oxidation and Its Effect on the Emission of PAHs during Co-Carbonation with Coal. Catalysts. 2021; 11(12):1428. https://doi.org/10.3390/catal11121428
Chicago/Turabian StyleChen, Liqing, Fanhui Guo, Jianjun Wu, Ping Li, and Yixin Zhang. 2021. "Research on Coal Tar Pitch Catalytic Oxidation and Its Effect on the Emission of PAHs during Co-Carbonation with Coal" Catalysts 11, no. 12: 1428. https://doi.org/10.3390/catal11121428
APA StyleChen, L., Guo, F., Wu, J., Li, P., & Zhang, Y. (2021). Research on Coal Tar Pitch Catalytic Oxidation and Its Effect on the Emission of PAHs during Co-Carbonation with Coal. Catalysts, 11(12), 1428. https://doi.org/10.3390/catal11121428

