Enantioselective Henry Reaction Catalyzed by Copper(II) Complex of Bis(trans-cyclohexane-1,2-diamine)-Based Ligand
Abstract
1. Introduction
2. Results
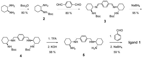
2.1. Synthesis of Ligand 1
2.2. Catalytic Studies of the Henry Reaction
3. Discussion
4. Materials and Methods
4.1. General Methods
4.2. Di-tert-butyl [(1S,1′S,2S,2′S)-{[1,4-phenylenebis(methaneylylidene)]bis(azaneylylidene)} bis(cyclohexane-2,1-diyl)]dicarbamate (3)
4.3. Di-tert-butyl [(1S,1′S,2S,2′S)-{[1,4-phenylenebis(methylene)]bis(azanediyl)}bis(cyclohexane-2,1-diyl)] dicarbamate (4)
4.4. (1S,1′S,2S,2′S)-N1,N1′-[1,4-Phenylenebis(methylene)]bis(cyclohexane-1,2-diamine) (5)
4.5. (1S,1′S,2S,2′S)-N1,N1′-[(1,4-Phenylenebis(methylene)]bis(N2-benzylcyclohexane-1,2-diamine) (1)
4.6. Typical Procedure for the Henry Reaction
Supplementary Materials
Author Contributions
Funding
Acknowledgments
Conflicts of Interest
References
- Seebach, D.C.; Ernest, W.; Leher, F.; Weller, T. Nitroaliphatic Compounds—Ideal Intermediates in Organic Synthesis? Chimia 1979, 33, 1–18. [Google Scholar]
- Rosini, G. Comprehensive Organic Synthesis; Trost, B.M., Ed.; Pergamon: Oxford, UK, 1991; Volume 2, p. 321. [Google Scholar]
- Luzzio, F.A. The Henry reaction: Recent examples. Tetrahedron 2001, 57, 915–945. [Google Scholar] [CrossRef]
- Henry, L. Formation synthétique d’alcools nitrés. C. R. 1895, 120, 1265–1268. [Google Scholar]
- Guo, Z.-L.; Deng, Y.-Q.; Zhong, S.; Lu, G. Enantioselective synthesis of (R)-salmeterol employing an asymmetric Henry reaction as the key step. Tetrahedron Asymmetry 2011, 22, 1395–1399. [Google Scholar] [CrossRef]
- Ginesta, X.; Pastó, M.; Pericàs, M.A.; Riera, A. New Stereodivergent Approach to 3-Amino-2,3,6-trideoxysugars. Enantioselective Synthesis of Daunosamine, Ristosamine, Acosamine, and Epi-daunosamine. Org. Lett. 2003, 5, 3001–3004. [Google Scholar] [CrossRef]
- Gogoi, N.; Boruwa, J.; Barua, N.C. A total synthesis of (−)-bestatin using Shibasaki’s asymmetric Henry reaction. Tetrahedron Lett. 2005, 46, 7581–7582. [Google Scholar] [CrossRef]
- Liu, L.; Zhang, S.; Xue, F.; Lou, G.; Zhang, H.; Ma, S.; Duan, W.; Wang, W. Catalytic Enantioselective Henry Reactions of Isatins: Application in the Concise Synthesis of (S)-(−)-Spirobrassinin. Chem. Eur. J. 2011, 17, 7791–7795. [Google Scholar] [CrossRef]
- Palomo, C.; Oiarbide, M.; Laso, A. Recent Advances in the Catalytic Asymmetric Nitroaldol (Henry) Reaction. Eur. J. Org. Chem. 2007, 2007, 2561–2574. [Google Scholar] [CrossRef]
- Sasai, H.; Suzuki, T.; Arai, S.; Arai, T.; Shibasaki, M. Basic character of rare earth metal alkoxides. Utilization in catalytic carbon-carbon bond-forming reactions and catalytic asymmetric nitroaldol reactions. J. Am. Chem. Soc. 1992, 114, 4418–4420. [Google Scholar] [CrossRef]
- Ananthi, N.; Velmathi, S. Asymmetric Henry reaction catalysed by transition metal complexes: A short review. Ind. J. Chem. 2013, 52B, 87–108. [Google Scholar]
- Alvarez-Casao, Y.; Marques-Lopez, E.; Herrera, R.P. Organocatalytic Enantioselective Henry Reactions. Symmetry 2011, 3, 220–245. [Google Scholar] [CrossRef]
- Evans, D.A.; Seidel, D.; Rueping, M.; Lam, H.W.; Shaw, J.T.; Downey, C.W. A New Copper Acetate-Bis(oxazoline)-Catalyzed, Enantioselective Henry Reaction. J. Am. Chem. Soc. 2003, 125, 12692–12693. [Google Scholar] [CrossRef] [PubMed]
- Sasai, H.; Suzuki, T.; Itoh, N.; Shibasaki, M. Catalytic asymmetric nitroaldol reactions. A new practical method for the preparation of the optically active lanthanum complex. Tetrahedron Lett. 1993, 34, 851–854. [Google Scholar] [CrossRef]
- Trost, B.M.; Yeh, V.S.C. A Dinuclear Zn Catalyst for the Asymmetric Nitroaldol (Henry) Reaction. Angew. Chem. Int. Ed. 2002, 41, 861–863. [Google Scholar] [CrossRef]
- Xiong, Y.; Wang, F.; Huang, X.; Wen, Y.; Feng, X. A New Copper(I)–Tetrahydrosalen-Catalyzed Asymmetric Henry Reaction and Its Extension to the Synthesis of (S)-Norphenylephrine. Chem. Eur. J. 2007, 13, 829–833. [Google Scholar] [CrossRef] [PubMed]
- Arai, T.; Watanabe, M.; Yanagisawa, A. Practical Asymmetric Henry Reaction Catalyzed by a Chiral Diamine-Cu(OAc)2 Complex. Org. Lett. 2007, 9, 3595–3597. [Google Scholar] [CrossRef]
- Chinchilla, R.; Nájera, C.; Sánchez-Agulló, P. Enantiomerically pure guanidine-catalysed asymmetric nitroaldol reaction. Tetrahedron Asymmetry 1994, 5, 1393–1402. [Google Scholar] [CrossRef]
- Liu, X.-G.; Jiang, J.-J.; Shi, M. Development of axially chiral bis(arylthiourea)-based organocatalysts and their application in the enantioselective Henry reaction. Tetrahedron Asymmetry 2007, 18, 2773–2781. [Google Scholar] [CrossRef]
- Otevrel, J.; Bobal, P. Biphenyl-Based Bis(thiourea) Organocatalyst for Asymmetric and syn-Selective Henry Reaction. Synthesis 2017, 49, 593–603. [Google Scholar]
- Li, H.; Wang, B.; Deng, L. Enantioselective Nitroaldol Reaction of α-Ketoesters Catalyzed by Cinchona Alkaloids. J. Am. Chem. Soc. 2006, 128, 732–733. [Google Scholar] [CrossRef]
- Bandini, M.; Piccinelli, F.; Tommasi, S.; Umani-Ronchi, A.; Ventrici, C. Highly enantioselective nitroaldol reaction catalyzed by new chiral copper complexes. Chem. Commun. 2007, 14, 616–618. [Google Scholar] [CrossRef] [PubMed]
- Nguyen, Q.T.; Jeong, J.H. Syntheses and X-ray structures of Cu(II) and Zn(II) complexes of N,N′-dibenzyl-(R,R)-1,2-diaminocyclohexane and application to nitroaldol reaction. Polyhedron 2008, 27, 3227–3230. [Google Scholar] [CrossRef]
- Tanaka, K.; Hachiken, S. Enantioselective Henry reaction catalyzed by trianglamine–Cu(OAc)2 complex under solvent-free conditions. Tetrahedron Lett. 2008, 49, 2533–2536. [Google Scholar] [CrossRef]
- Kowalczyk, R.; Sidorowicz, Ł.; Skarżewski, J. Asymmetric Henry reaction catalyzed by chiral secondary diamine-copper(II) complexes. Tetrahedron Asymmetry 2008, 19, 2310–2315. [Google Scholar] [CrossRef]
- Kowalczyk, R.; Skarżewski, J. Asymmetric nitroaldol reaction catalyzed by copper–diamine complexes: Selective construction of two contiguous stereogenic centers. Tetrahedron Asymmetry 2009, 20, 2467–2473. [Google Scholar] [CrossRef]
- Jin, W.; Li, X.; Wan, B. A Highly Diastereo- and Enantioselective Copper(I)-Catalyzed Henry Reaction Using a Bis(sulfonamide)−Diamine Ligand. J. Org. Chem. 2011, 76, 484–491. [Google Scholar] [CrossRef] [PubMed]
- Chunhong, Z.; Liu, F.; Gou, S. Application of chiral N,N′-dialkyl-1,2-cyclohexanediamine derivatives in asymmetric copper(II)-catalyzed Henry reactions. Tetrahedron Asymmetry 2014, 25, 278–283. [Google Scholar] [CrossRef]
- Cho, J.; Lee, G.H.; Nayab, S.; Jeong, J.H. Copper complexes bearing methylthiophenyl and methylfuranyl derivatives of (R,R)-1,2-diaminocyclohexane: X-ray structures and catalytic exploitation in Henry reaction. Polyhedron 2015, 99, 198–203. [Google Scholar] [CrossRef]
- Khlebnikova, T.B.; Konev, V.N.; Pai, Z.P. Levopimaric acid derived 1,2-diamines and their application in the copper-catalyzed asymmetric Henry reaction. Tetrahedron 2018, 74, 260–267. [Google Scholar] [CrossRef]
- Lu, G.; Zheng, F.; Wang, L.; Guo, Y.; Li, X.; Cao, X.; Wang, C.; Chi, H.; Dong, Y.; Zhang, Z. Asymmetric Henry reaction catalyzed by Cu(II)-based chiral amino alcohol complexes with C2-symmetry. Tetrahedron Asymmetry 2016, 27, 732–739. [Google Scholar] [CrossRef]
- Bissessar, D.; Achard, T.; Bellemin-Laponnaz, S. Robust and Recyclable Self-Supported Chiral Nickel Catalyst for the Enantioselective Michael Addition. Adv. Synth. Catal. 2016, 358, 1982–1988. [Google Scholar] [CrossRef]
- Lee, D.W.; Ha, H.J.; Lee, W.K. Selective Mono-BOC Protection of Diamines. Synth. Commun. 2007, 37, 737–742. [Google Scholar] [CrossRef]
- Tanaka, K.; Iwashita, T.; Yoshida, E.; Ishikawa, T.; Otuka, S.; Urbanczyk-Lipkowska, Z.; Takahashi, H. Solvent-dependent strong asymmetric amplification in the catalytic enantioselective Henry reaction using the trans-N,N′-bis-biphenyl-4-ylmethyl-cyclohexane-1,2-diamine-CuCl2 complex. Chem. Commun. 2015, 51, 7907–7910. [Google Scholar] [CrossRef] [PubMed]
- Ao, C.; Men, J.; Wang, Y.; Shao, T.; Huang, Y.; Huo, J.; Gao, G. The development of new amine–amide ligands for application in Cu(II)-catalyzed enantioselective Henry reactions. Tetrahedron Asymmetry 2016, 27, 589–595. [Google Scholar] [CrossRef]




| Entry | Ligand 1 [molar %] b | Cu(OAc)2·2H2O [molar %] b | Molar Ratio Ligand 1:Cu(II) | Yield c [%] | e.e. d [%] |
|---|---|---|---|---|---|
| 1 | 20 | - | - | - | - |
| 2 | - | 20 | - | - | - |
| 3 | 20 | 20 | 1:1 | 71 | 91 |
| 4 | 10 | 20 | 1:2 | 39 | 86 |
| 5 | 2 | 20 | 1:10 | 23 | 87 |
| 6 | 20 | 200 | 1:10 | 69 | 84 |
| 7 | 5 | 5 | 1:1 | 40 | 89 |
| 8 | 10 | 10 | 1:1 | 46 | 88 |

| Entry | Cu(II) Salt | Solvent | Temperature [°C] | Reaction Time [h] | Yield c [%] | e.e. d [%] |
|---|---|---|---|---|---|---|
| 1 | Cu(OAc)2·2H2O | EtOH | 0 | 48 | 71 | 91 |
| 2 | CuCl2 | EtOH | 0 | 48 | 38 | 93 |
| 3 b | Cu(ClO4)2·6H2O | EtOH | 0 | - | - | - |
| 4 | Cu(OAc)2·2H2O | THF | 0 | 72 | 60 | 92 |
| 5 | CuCl2 | THF | 0 | 72 | 0 | - |
| 6 | CuCl2 | THF | 25 | 336 | 38 | 75 |
| 7 | Cu(ClO4)2·6H2O | THF | 0 | 72 | 0 | - |
| 8 | Cu(ClO4)2·6H2O | THF | 25 | 336 | 4 | 20 |
| 9 | Cu(OAc)2·2H2O | EtOAc | 0 | 48 | 14 | 90 |
| 10 | CuCl2 | EtOAc | 0 | 72 | 7 | 91 |
| 11 b | Cu(ClO4)2·6H2O | EtOAc | 0 | - | - | - |

| Entry | Base | Molar Equiv. of Base b | Yield c [%] | e.e. d [%] |
|---|---|---|---|---|
| 1 | - | - | 74 | 88 |
| 2 | TEA | 0.1 | 75 | 83 |
| 3 | TEA | 1.0 | 66 | 78 |
| 4 | DIPEA | 0.1 | 83 | 85 |
| 5 | DIPEA | 1.0 | 89 | 60 |
| 6 | pyrrolidine | 0.1 | 45 | 83 |
| 7 | pyrrolidine | 1.0 | 36 | 74 |

| Entry | Aldehyde | Yield b [%] | e.e. c [%] |
|---|---|---|---|
| 1 | 4-bromobenzaldehyde | 82 | 75 |
| 2 | 4-methylbenzaldehyde | 68 | 85 |
| 3 | 4-nitrobenzaldehyde | 50 | 85 |
| 4 | 2-methylpropanal | 18 | 85 |
| 5 | hexanal | 12 | 85 |
| 6 | cyclohexanecarbaldehyde | 21 | 83 |
| 7 | 3-phenylpropanal | 25 | 88 |
Publisher’s Note: MDPI stays neutral with regard to jurisdictional claims in published maps and institutional affiliations. |
© 2020 by the authors. Licensee MDPI, Basel, Switzerland. This article is an open access article distributed under the terms and conditions of the Creative Commons Attribution (CC BY) license (http://creativecommons.org/licenses/by/4.0/).
Share and Cite
Tetour, D.; Novotná, M.; Hodačová, J. Enantioselective Henry Reaction Catalyzed by Copper(II) Complex of Bis(trans-cyclohexane-1,2-diamine)-Based Ligand. Catalysts 2021, 11, 41. https://doi.org/10.3390/catal11010041
Tetour D, Novotná M, Hodačová J. Enantioselective Henry Reaction Catalyzed by Copper(II) Complex of Bis(trans-cyclohexane-1,2-diamine)-Based Ligand. Catalysts. 2021; 11(1):41. https://doi.org/10.3390/catal11010041
Chicago/Turabian StyleTetour, David, Marika Novotná, and Jana Hodačová. 2021. "Enantioselective Henry Reaction Catalyzed by Copper(II) Complex of Bis(trans-cyclohexane-1,2-diamine)-Based Ligand" Catalysts 11, no. 1: 41. https://doi.org/10.3390/catal11010041
APA StyleTetour, D., Novotná, M., & Hodačová, J. (2021). Enantioselective Henry Reaction Catalyzed by Copper(II) Complex of Bis(trans-cyclohexane-1,2-diamine)-Based Ligand. Catalysts, 11(1), 41. https://doi.org/10.3390/catal11010041

