Atmospheric Pressure Plasma for Diesel Particulate Matter Treatment: A Review
Abstract
1. Introduction
2. Methods for Filtration and Destruction of DPM
2.1. Conventional Technologies for Controlling Diesel Particulates
2.2. Fundamentals of DPM Treatment by Nonthermal Plasma Technology
3. Mechanism Atmospheric Pressure Plasma for DPM Treatment
4. Literature Survey on DPM Treatment with Atmospheric Pressure Plasma
4.1. DPM Removal with Simulated PM Sources
4.1.1. Diesel Particulate Filter Self-Regenerating
4.1.2. Removal of Simulated DPM
4.1.3. Simultaneous Removal of DPM and NOx in Simulated DEG
4.2. DPM Removal from Diesel Engines
4.2.1. Regeneration of Diesel Particulate Filter
4.2.2. DPM Removal
4.2.3. Simultaneous Removal of DPM and NOx
5. Limitation of Energy Consumption in Practical Plasma Applications
6. Conclusion and Future of DPM Treatment by Atmospheric Pressure Plasma
Funding
Acknowledgments
Conflicts of Interest
Abbreviations
| CDPF | Catalytic diesel particulate filter |
| CRT | Continuous regeneration trap |
| DBD | Dielectric barrier discharge |
| DEG | Diesel exhaust gas |
| DPM | Diesel particulate matter |
| DPF | Diesel particulate filters |
| DOC | Diesel oxidation catalyst |
| ED | Energy density |
| ER | Efficiency of PM removal |
| EE | Energy efficiency |
| NOx | Nitrogen oxides |
| NTP | Non-thermal plasma |
| PM | Particulate matter |
| POC | Particle oxidation catalysts |
| PACs | Polycyclic aromatic compounds |
| SOF | Solube organic fraction |
| SF | Sulfur fraction |
| SCR | Selective catalytic reduction |
Appendix A
| Authors | Treatment | Plasma | PM Source | Catalyst | Remarks | Ref. |
|---|---|---|---|---|---|---|
| Kim et al., 2002 | DPF regeneration | DBD | C3H6, Carbon black | N/A | Soot oxidation at 230 °C ∆P = 14.2 mbar, CO = 952 ppm and CO2 = 314 ppm after 50 min at 350 °C | [67] |
| Okubo et al., 2004 | Corona discharge | Automobile diesel engine, medium load mode for 2 h | ER = 75% at 250 °C and ED of 40 J/L | [82] | ||
| Okubo et al., 2004 | Needle-to-plate barrier | Carbon soot loaded on DPF | ER= 97% at 300 °C with regeneration time of 4.6 h. | [68] | ||
| Shi et al., 2014 | DBD/O3 injection | PM loaded on DPF from diesel engine | ER = 100 % at 80 °C after 2 h injection of O2 plasma | [80] | ||
| Yao et al., 2001 | Direct DPM removal | DBD | Methane /active carbon | EE: 3–7.5 g(C)/kWh and 3–30 g(C)/kWh for methane and active carbon, respectively. Selectivity of (CO and CO2) ≥ 90% | [65] | |
| Suzuki et al., 2008 | DBD | Carbon black | ER ≥ 80% with any ratio N2:O2 (8:2, 9:1 and 10:0) CO2 generated under plasma conditions from 0–12 W | [84] | ||
| Okubo et al., 2010 | Simultaneous removal of DPM and NOx | Packed-bed DBD | Carbon PM load from diesel engine | BaTiO3 | EE: 1.31 g(N)/kWh and 2.2 g(PM)/kWh | [71] |
| Okubo et al., 2017 | Packed-bed DBD | Carbon PM load from diesel engine | Ag/γ-Al2O3 | EE: 4.32 g(N)/kWh and 0.92 g(C)/kWh | [45] | |
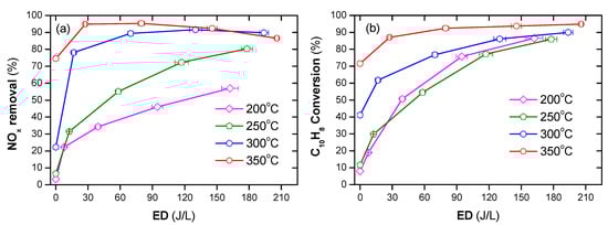
| Nguyen et al., 2019 | Packed-bed DBD | Naphthalene (C10H8) | Ag/α-Al2O3 | ER: 90% for soot and NOx at 350 °C and ED 90 J/L EE: 6.18 g(N)/kWh and 8.48 g(C)/kWh (only C in naphthalene) | [2] |
| Authors | Treatment | Plasma | PM PM Source | Catalyst | Remarks | Ref. |
|---|---|---|---|---|---|---|
| Okubo et al., 2008 | DPF regeneration | Two NTP reactors | J106-STD, 4 cycles, two-cylinders | Zeolite pellets/Glass pellets | EE: 6.6 g (PM)/kWh and 4.9 g(N)/kWh | [59] |
| Okubo et al., 2009 | Corona discharge | Small diesel engine (displacement volume 219 mL, power 1 kW) | N/A | EE = 6.74 g (PM)/kWh ER = 62.2% with a process time of 79 min | [77] | |
| Pu et al., 2018 | DBD/O3 injection | 4-cylinder diesel engine; 75% load (2500 r/min, 69 N.m) for 3 h | PM loading: 12.5 g C ER: 90 % at 100 °C | [87] | ||
| Pu et al., 2018 | DBD/O3 injection | A one-cylinder diesel engine; 3 h loading | EE: 14.93 g(PM)/kWh | [81] | ||
| Thomas et al., 2000 | Direct DPM removal | DBD | Nissan 2.7 L IDI | With/out Ceramic pellets | ER: 90% EE = 2.94 g(PM)/kWh at ED of 18 J/L | [88] |
| Dan et al., 2005 | DBD | Gasoline engine | Cu/ZSM-5 | ER: ~57% for PM and HC at ED of 36 J/L | [89] | |
| Yao et al., 2006 | Uneven DBD | Toyota, 4-cylinder, 2 L diesel engine | N/A | ER = 67% EE: 3–10.6 g(PM)/kWh | [69] | |
| Yao et al., 2007 | Uneven DBD reactor | Toyota, 4-cylinder, 2 L diesel engine | N/A | ER: 75–100% along with EE: 16–0.34 g/kWh | [91] | |
| Fushimi et al., 2006 | Uneven DBD reactor with 20/50-pair electrodes | Toyota, 2 L, 4-cycle, direct injection | N/A | ER = 47–84% and EE = 2.9–0.85 g(PM)/kWh (for 20 pairs) ER = 87–94% and EE = 13.7–3.6 g(PM)/kWh (for 50 pairs) | [92] | |
| Fushimi et al., 2008 | Uneven DBD reactor | Toyota, 2 L, 4-cycle, direct injection | N/A | ER = 50–76% EE = 3.9–11.6 g(PM)/kWh | [70] | |
| Gu et al., 2017 | DBD/O3 injection | 4 cylinders, Diesel engine 4 strokes | N/A | ER = 98% | [94] | |
| Fanick et al., 1994 | Simultaneous removal of DPM and NOx | Bed reactor | Toyota truck and Dodge truck | Barium titanate ceramic | ER for PM and NOx were 60% and 40%, respectively | [66] |
| Thomas et al., 2001 | Packed-bed DBD | Diesel generator (Lombardini 5kVA) | γ-Al2O3, Ag/Al2O3, In/ZSM-5, Na-Y/Zeolite, Ag-Ferrierite | ER for NO: ≥50% over Ag/Al2O3 at temperature 250–350 °C, and ED = 30 J/L Plasma coupled with Ag/Al2O3 is suitable simultaneous removal of PM and NOx | [95] | |
| Mok & Huh 2005 | Hybrid of DBD and catalyst | Diesel engine | V2O5/TiO2 | (PM) ER = 50–80% corresponding to EE: 0.054–0.043 g(PM)/kWh (ED: 20–40 J/L (NOx) ER = 80% and EE = 11.9 g(N)/kWh at ED of 25 J/L and 150 °C | [96] | |
| Song et al., 2009 | DBD | Diesel engine | N/A | ER: PM, NOx and HC were 80%, 65%, and 75%, respectively. EE: 0.18 to 0.99 g(PM)/kWh | [97] | |
| Babaie et al., 2016 | DBD | 0.4 L, 2-cylinder, 4-stroke diesel engine | N/A | ER for soot, NOx and SOF was 73%, 18% and 37%, respectively, at ED 27 J/L | [98] | |
| Yoshioka et al., 2006 | Absorbed PM | DC corona discharge | Diesel engine 2.4 kVA | Oil trays/water trays | ER = 85% | [93] |
References
- Talebizadeh, P.; Babaie, M.; Brown, R.; Rahimzadeh, H.; Ristovski, Z.; Arai, M. The role of non-thermal plasma technique in NOx treatment: A review. Renew. Sustain. Energy Rev. 2014, 40, 886–901. [Google Scholar] [CrossRef]
- Nguyen, V.T.; Nguyen, D.B.; Heo, I.; Mok, Y.S. Plasma-Assisted Selective Catalytic Reduction for Low-Temperature Removal of NOx and Soot Simulant. Catalysts 2019, 9, 853. [Google Scholar] [CrossRef]
- Gao, J.B.; Ma, C.C.; Xing, S.K.; Sun, L.W.; Huang, L.Y. A review of fundamental factors affecting diesel PM oxidation behaviors. Sci. China Ser. E Technol. Sci. 2017, 61, 330–345. [Google Scholar] [CrossRef]
- Shangguan, W.; Zou, G.; Jiang, Z. Simultaneous Catalytic Removal of Diesel Soot and NOx; Springer: Singapore, 2019. [Google Scholar]
- De Lucas, A.; Durán, A.; Carmona, M.; Lapuerta, M. Characterization of Soluble Organic Fraction in DPM: Optimization of the Extraction Method. SAE Tech. Pap. 1999. [Google Scholar] [CrossRef]
- Farrar-Khan, J.R.; Andrews, G.E.; Williams, P.T.; Bartle, K.D. The Influence of Nozzle Sac Volume on the Composition of Diesel Particulate Fuel Derived SOF. SAE Tech. Pap. 1992. [Google Scholar] [CrossRef]
- Kittelson, D.B. Engines and nanoparticles: A review. J. Aerosol Sci. 1998, 29, 575–588. [Google Scholar] [CrossRef]
- Khair, M.K. A Review of Diesel Particulate Filter Technologies. SAE Tech. Pap. 2003. [Google Scholar] [CrossRef]
- Guo, X.R.; Du, D.; Wang, F.; Ma, Y.; Yang, C.; Zhang, H.-Z. Study on test instrument and filtration theory of the carbonized micron wood fiber DPF. Microporous Mesoporous Mater. 2011, 142, 655–660. [Google Scholar] [CrossRef]
- Yao, S. Plasma reactors for diesel particulate matter removal. Recent Patents Chem. Eng. 2009, 2, 67–75. [Google Scholar] [CrossRef]
- Zheng, Y.; Luss, D.; Harold, M.P. Optimization of LNT-SCR Dual-Layer Catalysts for Diesel NOx Emission Control. SAE Int. J. Engines 2014, 7, 1280–1289. [Google Scholar] [CrossRef]
- Zheng, Y.; Liu, Y.; Harold, M.P.; Luss, D. LNT–SCR dual-layer catalysts optimized for lean NOx reduction by H2 and CO. Appl. Catal. B Environ. 2014, 148–149, 311–321. [Google Scholar] [CrossRef]
- Zelenka, P.; Cartellieri, W.; Herzog, P. Worldwide diesel emission standards, current experiences and future needs. Appl. Catal. B Environ. 1996, 10, 3–28. [Google Scholar] [CrossRef]
- Du, D.; Guo, X.; Xu, Y.; Yang, X. Performance study about a new kind wood fiber filter element utilized in capturing diesel particulate material. J. Wood Sci. 2019, 65, 12. [Google Scholar] [CrossRef]
- Wade, J.; Farrauto, R.J. Controlling emissions of pollutants in urban areas. In Metropolitan Sustainability: Understanding and Improving the Urban Environment; Zeman, F., Ed.; Woodhead Publishing: Cambridge, UK; Philadelphia, PA, USA, 2012; pp. 260–291. [Google Scholar] [CrossRef]
- Prasad, R.; Bella, V.R. A Review on Diesel Soot Emission, its Effect and Control. Bull. Chem. React. Eng. Catal. 2010, 5, 69–86. [Google Scholar] [CrossRef]
- Jung, H.; Kittelson, D.B.; Zachariah, M.R. The influence of a cerium additive on ultrafine diesel particle emissions and kinetics of oxidation. Combust. Flame 2005, 142, 276–288. [Google Scholar] [CrossRef]
- Vaaraslahti, K.; Ristimäki, J.; Virtanen, A.; Keskinen, J.; Giechaskiel, B.; Solla, A. Effect of Oxidation Catalysts on Diesel Soot Particles. Environ. Sci. Technol. 2006, 40, 4776–4781. [Google Scholar] [CrossRef]
- Liu, Z.; Ge, Y.; Tan, J.; He, C.; Shah, A.N.; Ding, Y.; Yu, L.; Zhao, W. Impacts of continuously regenerating trap and particle oxidation catalyst on the NO2 and particulate matter emissions emitted from diesel engine. J. Environ. Sci. 2012, 24, 624–631. [Google Scholar] [CrossRef]
- Guan, C.; Li, X.; Liao, B.; Huang, Z. Effects of fuel injection strategies on emissions characteristics of a diesel engine equipped with a particle oxidation catalyst (POC). J. Environ. Chem. Eng. 2016, 4, 4822–4829. [Google Scholar] [CrossRef]
- Gholami, F.; Tomas, M.; Gholami, Z.; Vakili, M. Technologies for the nitrogen oxides reduction from flue gas: A review. Sci. Total Environ. 2020, 714, 136712. [Google Scholar] [CrossRef]
- Lin, F.W.; Wang, Z.H.; Zhang, Z.M.; He, Y.; Zhu, Y.Q.; Shao, J.M.; Yuan, D.K.; Chen, G.Y.; Cen, K. Flue gas treatment with ozone oxidation: An overview on NOx, organic pollutants, and mercury. Chem. Eng. J. 2020, 382, 123030. [Google Scholar] [CrossRef]
- Li, S.; Dang, X.; Yu, X.; Abbas, G.; Zhang, Q.; Cao, L. The application of dielectric barrier discharge non-thermal plasma in VOCs abatement: A review. Chem. Eng. J. 2020, 388, 124275. [Google Scholar] [CrossRef]
- Mohankumar, S.; Senthilkumar, P. Particulate matter formation and its control methodologies for diesel engine: A comprehensive review. Renew. Sustain. Energy Rev. 2017, 80, 1227–1238. [Google Scholar] [CrossRef]
- Hiranuma, S.; Takeda, Y.; Kawatani, T.; Doumeki, R.; Nagasaki, K.; Ikeda, T. Development of DPF System for Commercial Vehicle—Basic Characteristic and Active Regenerating Performance. SAE Trans. 2003, 112, 2381–2387. [Google Scholar] [CrossRef]
- Palma, V.; Ciambelli, P.; Meloni, E. Optimising the catalyst load for microwave susceptible catalysed DPF. Chem. Eng. Trans. 2012, 29, 637–642. [Google Scholar]
- Meloni, E.; Palma, V.; Vaiano, V. Optimized microwave susceptible catalytic diesel soot trap. Fuel 2017, 205, 142–152. [Google Scholar] [CrossRef]
- Shangguan, W.F.; Teraoka, Y.; Kagawa, S. Promotion effect of potassium on the catalytic property of CuFe2O4 for the simultaneous removal of NOx and diesel soot particulate. Appl. Catal. B Environ. 1998, 16, 149–154. [Google Scholar] [CrossRef]
- Wang, Z.; Jiang, Z.; Shangguan, W. Simultaneous catalytic removal of NOx and soot particulate over Co-Al mixed oxide catalysts derived from hydrotalcites. Catal. Commun. 2007, 8, 1659–1664. [Google Scholar] [CrossRef]
- Wang, Z.; Shangguan, W.; Su, J.; Jiang, Z. Catalytic oxidation of diesel soot on mixed oxides derived from hydrotalcites. Catal. Lett. 2006, 112, 149–154. [Google Scholar] [CrossRef]
- Makshina, E.V.; Sirotin, S.V.; Yushchenko, V.V.; Mazo, G.N.; Berg, M.W.E.V.D.; Klementsev, K.V.; Grünert, W.; Romanovskii, B.V. Nanocomposites based on LaCoO3 and mesoporous molecular sieves: Preparation and physicochemical and catalytic properties. Kinet. Catal. 2006, 47, 49–53. [Google Scholar] [CrossRef]
- Zou, G.; Chen, M.; Shangguan, W. Promotion effects of LaCoO3 formation on the catalytic performance of Co–La oxides for soot combustion in air. Catal. Commun. 2014, 51, 68–71. [Google Scholar] [CrossRef]
- Kirienko, P.I.; Solovev, S.A.; Orlik, S.N. Magnetic properties of Co3O4 nanoparticles. Theor. Exp. Chem. 2010, 46, 39–44. [Google Scholar] [CrossRef]
- Tendero, C.; Tixier, C.; Tristant, P.; Desmaison, J.; Leprince, P. Atmospheric pressure plasmas: A review. Spectrochim. Acta Part B At. Spectrosc. 2006, 61, 2–30. [Google Scholar] [CrossRef]
- Rutscher, A. Characteristics of Low-Temperature Plasmas Under Nonthermal Conditions—A Short Summary. In Low Temperature Plasmas: Fundamentals, Technologies and Techniques, 2nd ed.; Wiley-VCH: Weinheim, Germany, 2008; pp. 1–14. [Google Scholar]
- Bruggeman, P.J.; Iza, F.; Brandenburg, R. Foundations of atmospheric pressure non-equilibrium plasmas. Plasma Sources Sci. Technol. 2017, 26, 123002. [Google Scholar] [CrossRef]
- Cools, P.; De Geyter, N.; Morent, R. Plasma-Catalytic Removal of VOCs; Springe: Singapore, 2019; pp. 145–180. [Google Scholar]
- Adamovich, I.; Baalrud, S.D.; Bogaerts, A.; Bruggeman, P.; Cappelli, M.; Colombo, V.; Czarnetzki, U.; Ebert, U.; Eden, J.G.; Favia, P.; et al. The 2017 Plasma Roadmap: Low temperature plasma science and technology. J. Phys. D Appl. Phys. 2017, 50, 323001. [Google Scholar] [CrossRef]
- Shi, Y.; Cai, Y.; Li, X.; Ji, L.; Chen, Y.; Wang, W. Evolution of diesel particulate physicochemical properties using nonthermal plasma. Fuel 2019, 253, 1292–1299. [Google Scholar] [CrossRef]
- Raju, B.R.; Reddy, E.L.; Karuppiah, J.; Reddy, P.M.K.; Subrahmanyam, C. Catalytic non-thermal plasma reactor for the decomposition of a mixture of volatile organic compounds. J. Chem. Sci. 2013, 125, 673–678. [Google Scholar] [CrossRef]
- Ondarts, M.; Hajji, W.; Outin, J.; Bejat, T.; Gonze, E. Non-Thermal Plasma for indoor air treatment: Toluene degradation in a corona discharge at ppbv levels. Chem. Eng. Res. Des. 2017, 118, 194–205. [Google Scholar] [CrossRef]
- Chmielewski, A.G.; Iller, E.; Tyminski, B.; Zimek, Z.; Licki, J. Flue gas treatment by electron beam technology. Mod. Power Syst. 2001, 53–54. [Google Scholar]
- Licki, J.; Pawelec, A.; Zimek, Z.; Witman-Zając, S. Electron beam treatment of simulated marine diesel exhaust gases. Nukleonika 2015, 60, 689–695. [Google Scholar] [CrossRef]
- Yoshida, K. Aftertreatment of Carbon Particles Emitted by Diesel Engine Using a Combination of Corona and Dielectric Barrier Discharge. IEEE Trans. Ind. Appl. 2019, 55, 5261–5268. [Google Scholar] [CrossRef]
- Okubo, M.; Yamada, H.; Yoshida, K.; Kuroki, T. Simultaneous Reduction of Diesel Particulate and NOx Using a Catalysis-Combined Nonthermal Plasma Reactor. IEEE Trans. Ind. Appl. 2017, 53, 5875–5882. [Google Scholar] [CrossRef]
- Wang, T.; Sun, B.-M.; Xiao, H.-P.; Zeng, J.-Y.; Duan, E.-P.; Xin, J.; Li, C. Effect of Reactor Structure in DBD for Nonthermal Plasma Processing of NO in N2 at Ambient Temperature. Plasma Chem. Plasma Process. 2012, 32, 1189–1201. [Google Scholar] [CrossRef]
- Homola, T.; Pongrác, B.; Zemánek, M.; Šimek, M. Efficiency of Ozone Production in Coplanar Dielectric Barrier Discharge. Plasma Chem. Plasma Process. 2019, 39, 1227–1242. [Google Scholar] [CrossRef]
- Jolibois, J.; Takashima, K.; Mizuno, A. Application of a non-thermal surface plasma discharge in wet condition for gas exhaust treatment: NOx removal. J. Electrost. 2012, 70, 300–308. [Google Scholar] [CrossRef]
- Jolibois, J.; Takashima, K.; Mizuno, A. NOx removal using a wet type plasma reactor based on a three-electrode device. J. Phys. Conf. Ser. 2011, 301, 012011. [Google Scholar] [CrossRef]
- Masuda, S.; Hosokawa, S.; Tu, X.-L.; Sakakibara, K.; Kitoh, S.; Sakai, S. Destruction of gaseous pollutants by surface-induced plasma chemical process (SPCS). IEEE Trans. Ind. Appl. 1993, 29, 781–786. [Google Scholar] [CrossRef]
- Lu, W.; Abbas, Y.; Mustafa, M.F.; Pan, C.; Wang, H. A review on application of dielectric barrier discharge plasma technology on the abatement of volatile organic compounds. Front. Environ. Sci. Eng. 2019, 13. [Google Scholar] [CrossRef]
- Vandenbroucke, A.M.; Morent, R.; De Geyter, N.; Leys, C. Non-thermal plasmas for non-catalytic and catalytic VOC abatement. J. Hazard. Mater. 2011, 195, 30–54. [Google Scholar] [CrossRef]
- Otto, K.; Sieg, M.; Zinbo, M.; Bartosiewicz, L. The Oxidation of Soot Deposits from Diesel Engines. SAE Trans. 1980, 89, 1399–1411. [Google Scholar] [CrossRef]
- Stanmore, B.R.; Brilhac, J.F.; Gilot, P. The oxidation of soot: A review of experiments, mechanisms and models. Carbon 2001, 39, 2247–2268. [Google Scholar] [CrossRef]
- Shi, Y.; Cai, Y.; Li, X.; Xu, H.; Li, W.; Pu, X. Low Temperature Diesel Particulate Filter Regeneration by Atmospheric Air Non-thermal Plasma Injection System. Plasma Chem. Plasma Process. 2016, 36, 783–797. [Google Scholar] [CrossRef]
- Wang, P.; Gu, W.; Lei, L.; Cai, Y.; Li, Z. Micro-structural and components evolution mechanism of particular matter from diesel engines with non-thermal plasma technology. Appl. Therm. Eng. 2015, 91, 1–10. [Google Scholar] [CrossRef]
- Fino, D.; Specchia, V. Open issues in oxidative catalysis for diesel particulate abatement. Powder Technol. 2008, 180, 64–73. [Google Scholar] [CrossRef]
- Levendis, Y.A.; Larsen, C.A. Use of Ozone-Enriched Air for Diesel Particulate Trap Regeneration. SAE Tech. Pap. 1999. [Google Scholar] [CrossRef]
- Okubo, M.; Arita, N.; Kuroki, T.; Yoshida, K.; Yamamoto, T. Total Diesel Emission Control Technology Using Ozone Injection and Plasma Desorption. Plasma Chem. Plasma Process. 2008, 28, 173–187. [Google Scholar] [CrossRef]
- Vinh, T.Q.; Watanabe, S.; Furuhata, T.; Arai, M. Effects of particulate matter on NOx removal in dielectric barrier discharges. J. Energy Inst. 2012, 85, 163–169. [Google Scholar] [CrossRef]
- Neri, G.; Bonaccorsi, L.; Donato, A.; Milone, C.; Musolino, M.G.; Visco, A.M. Catalytic combustion of diesel soot over metal oxide catalysts. Appl. Catal. B Environ. 1997, 11, 217–231. [Google Scholar] [CrossRef]
- Aubin, D.G.; Abbatt, J.P.D. Interaction of NO2 with Hydrocarbon Soot: Focus on HONO Yield, Surface Modification, and Mechanism. J. Phys. Chem. A 2007, 111, 6263–6273. [Google Scholar] [CrossRef]
- Messerer, A.; Niessner, R.; Pöschl, U. Comprehensive kinetic characterization of the oxidation and gasification of model and real diesel soot by nitrogen oxides and oxygen under engine exhaust conditions: Measurement, Langmuir–Hinshelwood, and Arrhenius parameters. Carbon 2006, 44, 307–324. [Google Scholar] [CrossRef]
- Takaki, K.; Hatanaka, Y.; Arima, K.; Mukaigawa, S.; Fujiwara, T. Influence of electrode configuration on ozone synthesis and microdischarge property in dielectric barrier discharge reactor. Vacuum 2008, 83, 128–132. [Google Scholar] [CrossRef]
- Yao, S.; Suzuki, E.; Nakayama, A. Oxidation of activated carbon and methane using a high-frequency pulsed plasma. J. Hazard. Mater. 2001, 83, 237–242. [Google Scholar] [CrossRef]
- Fanick, E.R.; Bykowski, B.B. Simultaneous Reduction of Diesel Particulate and NOx Using a Plasma. SAE Tech. Pap. 1994. [Google Scholar] [CrossRef]
- Kim, D.; Lee, H.-S.; Chun, K.M.; Hwang, J.; Lee, K.S.; Chun, B.-H. Comparison of Soot Oxidation by NO2 Only and Plasma-Treated Gas Containing NO2, O2, and Hydrocarbons. SAE Tech. Pap. 2002. [Google Scholar] [CrossRef]
- Okubo, M.; Kuroki, T.; Miyairi, Y.; Yamamoto, T. Low-Temperature Soot Incineration of Diesel Particulate Filter Using Remote Nonthermal Plasma Induced by a Pulsed Barrier Discharge. IEEE Trans. Ind. Appl. 2004, 40, 1504–1512. [Google Scholar] [CrossRef]
- Yao, S.; Fushimi, C.; Madokoro, K.; Yamada, K. Uneven Dielectric Barrier Discharge Reactors for Diesel Particulate Matter Removal. Plasma Chem. Plasma Process. 2006, 26, 481–493. [Google Scholar] [CrossRef]
- Fushimi, C.; Madokoro, K.; Yao, S.; Fujioka, Y.; Yamada, K. Influence of Polarity and Rise Time of Pulse Voltage Waveforms on Diesel Particulate Matter Removal Using an Uneven Dielectric Barrier Discharge Reactor. Plasma Chem. Plasma Process. 2008, 28, 511–522. [Google Scholar] [CrossRef]
- Okubo, M.; Kuroki, T.; Yoshida, K.; Yamamoto, T. Single-Stage Simultaneous Reduction of Diesel Particulate and NOx Using Oxygen-Lean Nonthermal Plasma Application. IEEE Trans. Ind. Appl. 2010, 46, 2143–2150. [Google Scholar] [CrossRef]
- Kojetin, P.; Janezich, F.; Sura, L.; Tuma, D. Production Experience of a Ceramic Wall Flow Electric Regeneration Diesel Particulate Trap. SAE Trans. 1993, 102, 198–210. [Google Scholar] [CrossRef]
- Ichikawa, Y.; Yamada, S.-I.; Yamada, T. Development of Wall-Flow Type Diesel Particulate Filter System with Efficient Reverse Pulse Air Regeneration. SAE Tech. Pap. 1995. [Google Scholar] [CrossRef]
- Suzuki, J.; Matsumoto, S. Development of Catalysts for Diesel Particulate NOx Reduction. Top. Catal. 2004, 28, 171–176. [Google Scholar] [CrossRef]
- Fino, D. Diesel emission control: Catalytic filters for particulate removal. Sci. Technol. Adv. Mater. 2007, 8, 93–100. [Google Scholar] [CrossRef]
- Kong, Y.; Kozakiewicz, T.; Johnson, R.; Huffmeyer, C.; Huckaby, J.; Abel, J.; Baurley, J.; Duffield, K. Active DPF Regeneration for 2007 Diesel Engines. SAE Tech. Pap. 2005. [Google Scholar] [CrossRef]
- Okubo, M.; Kuroki, T.; Kawasaki, S.; Yoshida, K.; Yamamoto, T. Continuous Regeneration of Ceramic Particulate Filter in Stationary Diesel Engine by Nonthermal-Plasma-Induced Ozone Injection. IEEE Trans. Ind. Appl. 2009, 45, 1568–1574. [Google Scholar] [CrossRef]
- Okubo, M.; Kuwahara, T.; Yoshida, K.; Kannaka, Y.; Kuroki, T. Improvement of NOx Reduction Efficiency in Diesel Emission Using Nonthermal Plasma—Exhaust Gas Recirculation Combined Aftertreatment. In Proceedings of the 2010 IEEE Industry Applications Society Annual Meeting, Houston, TX, USA, 3–7 October 2010. [Google Scholar] [CrossRef]
- Shi, Y.; Cai, Y.; Wang, J.; Pu, X.; Linbo, G. Influence of PM Size Distribution and Ingredients on DPF Regeneration by Non-thermal Plasma Technology. Plasma Chem. Plasma Process. 2017, 37, 451–464. [Google Scholar] [CrossRef]
- Shi, Y.X.; Cai, Y.X.; Li, X.H.; Chen, Y.Y.; Ding, D.W.; Tang, W. Meachanism and method of DPF regeneration by oxygen radical generated by NTP technology. Int. J. Automot. Technol. 2014, 15, 871–876. [Google Scholar] [CrossRef]
- Pu, X.; Cai, Y.; Shi, Y.; Wang, J.; Gu, L.; Tian, J.; Li, W. Diesel particulate filter (DPF) regeneration using non-thermal plasma induced by dielectric barrier discharge. J. Energy Inst. 2018, 91, 655–667. [Google Scholar] [CrossRef]
- Okubo, M.; Miyashita, T.; Kuroki, T.; Miwa, S.; Yamamoto, T. Regeneration of Diesel Particulate Filter Using Nonthermal Plasma Without Catalyst. IEEE Trans. Ind. Appl. 2004, 40, 1451–1458. [Google Scholar] [CrossRef]
- Hoard, J.; Laing, P.; Balmer, M.L.; Tonkyn, R. Comparison of Plasma-Catalyst and Lean NOx Catalyst for Diesel NOx Reduction. SAE Trans. 2000, 109, 2729–2736. [Google Scholar] [CrossRef]
- Suzuki, K.-I.; Takeuchi, N.; Madokoro, K.; Fushimi, C.; Yao, S.; Fujioka, Y.; Nihei, Y. Removal Properties of Diesel Exhaust Particles by a Dielectric Barrier Discharge Reactor. Anal. Sci. 2008, 24, 253–256. [Google Scholar] [CrossRef][Green Version]
- Tran, Q.-V.; Arai, M. A New After-treatment Concept of Diesel Exhaust Gas Using Barrier Discharge Reactor Combined with Diesel Particulate Filter. SAE Tech. Pap. 2013. [Google Scholar] [CrossRef]
- Vinh, T.Q.; Watanabe, S.; Furuhata, T.; Arai, M. Fundamental study of NOx removal from diesel exhaust gas by dielectric barrier discharge reactor. J. Mech. Sci. Technol. 2012, 26, 1921–1928. [Google Scholar] [CrossRef]
- Pu, X.; Cai, Y.; Shi, Y.; Wang, J.; Gu, L.; Tian, J.; Fan, R. Carbon Deposit Incineration During Engine Flameout Using Non-Thermal Plasma Injection. Int. J. Automot. Technol. 2018, 19, 421–432. [Google Scholar] [CrossRef]
- Thomas, S.E.; Martin, A.R.; Raybone, D.; Shawcross, J.T.; Ng, K.L.; Beech, P.; Whitehead, J. Non Thermal Plasma Aftertreatment of Particulates—Theoretical Limits and Impact on Reactor Design. SAE Trans. 2000, 109, 1594–1606. [Google Scholar] [CrossRef]
- Ye, D.; Gao, D.; Yu, G.; Shen, X.; Gu, F. An investigation of the treatment of particulate matter from gasoline engine exhaust using non-thermal plasma. J. Hazard. Mater. 2005, 127, 149–155. [Google Scholar] [CrossRef] [PubMed]
- Russ, H.; Neiger, M.; Lang, J.E. Simulation of micro discharges for the optimization of energy requirements for removal of NO/sub x/ from exhaust gases. IEEE Trans. Plasma Sci. 1999, 27, 38–39. [Google Scholar] [CrossRef]
- Yao, S.; Madokoro, K.; Fushimi, C.; Fujioka, Y. Experimental investigation on diesel PM removal using uneven DBD reactors. AIChE J. 2007, 53, 1891–1897. [Google Scholar] [CrossRef]
- Fushimi, C.; Madokoro, K.; Yao, S.; Fujioka, Y. Effect of the number of pairs of dielectric barrier discharge reactor on diesel particulate matter removal and pressure drop. In Proceedings of the AIChE Annual Meeting, Atlanta, GA, USA, 16–21 November 2014. [Google Scholar]
- Yoshioka, Y.; Tashiro, Y.; Ueda, T.; Ota, Y.; Nakano, K. Particulate Matter Removal from Diesel Exhaust Gases by a Combination of Corona Discharge and Water or Oil Bath. Plasma Process. Polym. 2006, 3, 713–720. [Google Scholar] [CrossRef]
- Gu, L.; Cai, Y.; Shi, Y.; Wang, J.; Pu, X.; Xu, H.; Cui, Y. Experimental Study on Purification of Diesel Particulate Matter by Non-thermal Plasma Technology. Plasma Chem. Plasma Process. 2017, 37, 1193–1209. [Google Scholar] [CrossRef]
- Thomas, S.E.; Shawcross, J.T.; Gillespie, R.; Raybone, D.; Martin, A.R. The role of NO Selective Catalysts in the Plasma Enhanced Removal of NOx and PM from Diesel Exhausts. SAE Tech. Pap. 2001. [Google Scholar] [CrossRef]
- Mok, Y.S.; Huh, Y.J. Simultaneous Removal of Nitrogen Oxides and Particulate Matters from Diesel Engine Exhaust using Dielectric Barrier Discharge and Catalysis Hybrid System. Plasma Chem. Plasma Process. 2005, 25, 625–639. [Google Scholar] [CrossRef]
- Song, C.L.; Bin, F.; Tao, Z.-M.; Li, F.-C.; Huang, Q.-F. Simultaneous removals of NOx, HC and PM from diesel exhaust emissions by dielectric barrier discharges. J. Hazard. Mater. 2009, 166, 523–530. [Google Scholar] [CrossRef] [PubMed]
- Babaie, M.; Kishi, T.; Arai, M.; Zama, Y.; Furuhata, T.; Ristovski, Z.; Rahimzadeh, H.; Brown, R.J. Influence of non-thermal plasma after-treatment technology on diesel engine particulate matter composition and NOx concentration. Int. J. Environ. Sci. Technol. 2016, 13, 221–230. [Google Scholar] [CrossRef]
- Zhang, Z.-S.; Crocker, M.; Yu, L.-M.; Wang, X.-K.; Bai, Z.-F.; Shi, C. Non-thermal plasma assisted NOx storage and reduction over a cobalt-containing Pd catalyst using H2 and/or CO as reductants. Catal. Today 2015, 258, 175–182. [Google Scholar] [CrossRef]
- Saud, S.; Nguyen, D.B.; Kim, S.-G.; Lee, H.W.; Kim, S.B.; Mok, Y.S. Improvement of Ethylene Removal Performance by Adsorption/Oxidation in a Pin-Type Corona Discharge Coupled with Pd/ZSM-5 Catalyst. Catalysts 2020, 10, 133. [Google Scholar] [CrossRef]
- Perry, R.H.; Green, D.W. Perry’s Chemical Engineers’ Handbook; McGraw-Hill: New York, NY, USA, 2007. [Google Scholar]
- Nguyen, D.B.; Heo, I.J.; Mok, Y.S. Enhanced performance at an early state of hydrocarbon selective catalyst reduction of NOx by atmospheric pressure plasma. J. Ind. Eng. Chem. 2018, 68, 372–379. [Google Scholar] [CrossRef]















| Category | Components | Concentration |
|---|---|---|
| Air components | N2 | 70–75 vol% |
| O2 | 5–15 vol% | |
| CO2 | 2–12 vol% | |
| H2O | 2–10 vol% | |
| Regulated hazardous components | NOx | 30–1000 ppm |
| Soot | 20–200 mg/m3 | |
| Hydrocarbons (HCs) | 50–500 ppm | |
| CO | 100–1000 ppm | |
| SOx | Proportional to fuel S content | |
| Unregulated hazardous components | Benzene | 6 mg/mile |
| Toluene | 2 mg/mile | |
| Ammonia | 2 mg/mile | |
| Cyanides | 1 mg/mile | |
| Formaldehydes (PAHs) | 0.3 mg/mile | |
| Aldehydes | 0 mg/mile |
Publisher’s Note: MDPI stays neutral with regard to jurisdictional claims in published maps and institutional affiliations. |
© 2020 by the authors. Licensee MDPI, Basel, Switzerland. This article is an open access article distributed under the terms and conditions of the Creative Commons Attribution (CC BY) license (http://creativecommons.org/licenses/by/4.0/).
Share and Cite
Guo, X.; Ha, K.H.; Du, D. Atmospheric Pressure Plasma for Diesel Particulate Matter Treatment: A Review. Catalysts 2021, 11, 29. https://doi.org/10.3390/catal11010029
Guo X, Ha KH, Du D. Atmospheric Pressure Plasma for Diesel Particulate Matter Treatment: A Review. Catalysts. 2021; 11(1):29. https://doi.org/10.3390/catal11010029
Chicago/Turabian StyleGuo, Xiurong, Khanh Hop Ha, and Danfeng Du. 2021. "Atmospheric Pressure Plasma for Diesel Particulate Matter Treatment: A Review" Catalysts 11, no. 1: 29. https://doi.org/10.3390/catal11010029
APA StyleGuo, X., Ha, K. H., & Du, D. (2021). Atmospheric Pressure Plasma for Diesel Particulate Matter Treatment: A Review. Catalysts, 11(1), 29. https://doi.org/10.3390/catal11010029
