Photoelectrochemical Studies on Metal-Doped Graphitic Carbon Nitride Nanostructures under Visible-Light Illumination
Abstract
1. Introduction
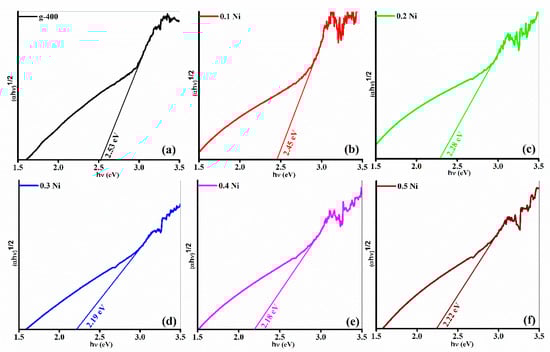
2. Results and Discussion
3. Experimental Section
3.1. Synthesis of g-C3N4 and Ni-Doped g-C3N4 Nanostructures
3.2. Preparation of Photoanodes
3.3. Characterizations
3.4. Photocurrent, Potentiodynamic, and Impedance Measurements
4. Conclusions
Author Contributions
Funding
Conflicts of Interest
References
- Hu, Y.P.; Yan, X.Q.; Gu, Y.S.; Chen, X.; Bai, Z.M.; Kang, Z.; Long, F.; Zhang, Y. Large-scale patterned ZnO nanorod arrays for efficient photo electrochemical water splitting. Appl. Surf. Sci. 2015, 339, 122–127. [Google Scholar] [CrossRef]
- Li, Z.S.; Luo, W.J.; Zhang, M.L.; Feng, J.Y.; Zou, Z.G. Photoelectrochemical cells for solar hydrogen production: Current state of promising photoelectrodes, methods to improve their properties, and outlook. Energy Environ. Sci. 2013, 6, 347–370. [Google Scholar] [CrossRef]
- Hu, C.L.; Zhang, L.; Gong, J.L. Recent progress made in the mechanism comprehension and design of electrocatalysts for alkaline water splitting. Energy Environ. Sci. 2019, 12, 2620–2645. [Google Scholar] [CrossRef]
- Kenney, M.J.; Gong, M.; Li, Y.G.; Wu, J.Z.; Feng, J.; Lanza, M.; Dai, H.J. High-performance silicon photoanodes passivated with ultrathin nickel films for water oxidation. Science 2013, 342, 836–840. [Google Scholar] [CrossRef]
- Jacobsson, T.J.; Fjällström, V.; Edoff, M.; Edvinsson, T. Sustainable solar hydrogen production: From photoelectrochemical cells to PV electrolyzers and back again. Energy Environ. Sci. 2014, 7, 2056–2070. [Google Scholar] [CrossRef]
- Zhang, J.; Zhang, G.G.; Chen, X.F.; Lin, S.; Dołega, L.; Mohlmann, G.; Lipner, G.; Antonietti, M.; Blechert, S.; Wang, X.C. Co-monomer control of carbon nitride semiconductors to optimize hydrogen evolution with visible light. Angew. Chem. Int. Ed. 2012, 51, 3183–3187. [Google Scholar] [CrossRef]
- Shalom, M.; Gimenez, S.; Schipper, F.; Herraiz-Cardona, I.; Bisquert, J.; Antonietti, M. Controlled carbon nitride growth on surfaces for hydrogen evolution electrodes. Angew. Chem. Int. Ed. 2014, 53, 3654–3658. [Google Scholar] [CrossRef]
- Nazarabad, M.K.; Goharshadi, E.K.; Mahdizadeh, S.J. Efficient photoelectrocatalytic water oxidation by palladium doped g-C3N4 electrodeposited thin film. J. Phys. Chem. 2019, 123, 26106–26115. [Google Scholar]
- Ai, G.; Sun, W.T.; Gao, X.F.; Zhang, Y.L.; Peng, L.M. Hybrid CdSe/TiO2 nanowire photoelectrodes: Fabrication and photoelectric performance. J. Mater. Chem. 2011, 21, 8749–8755. [Google Scholar] [CrossRef]
- Wilker, M.B.; Shinopoulos, K.E.; Brown, K.A.; Mulder, D.W.; King, P.W.; Dukovic, G. Electron Transfer Kinetics in CdS Nanorod–[FeFe]-Hydrogenase Complexes and Implications for Photochemical H2 Generation. J. Am. Chem. Soc. 2014, 136, 4316–4324. [Google Scholar] [CrossRef]
- Yu, J.; Jin, J.; Cheng, B.; Jaroniec, M. A noble metal-free reduced graphene oxide–CdS nanorod composite for the enhanced visible-light photocatalytic reduction of CO2 to solar fuel. J. Mater. Chem. A 2014, 2, 3407–3416. [Google Scholar] [CrossRef]
- Yang, X.; Cui, H.; Li, Y.; Qin, J.; Zhang, R.; Tang, H. Fabrication of Ag3PO4-graphene composites with highly efficient and stable visible light photocatalytic performance. ACS Catal. 2013, 3, 363–369. [Google Scholar] [CrossRef]
- Zhang, Y.H.; Pan, Q.W.; Chai, G.Q.; Liang, M.R.; Dong, G.P.; Zhang, Q.Y.; Qiu, J.R. Synthesis and luminescence mechanism of multicolor-emitting g-C3N4 nanopowders by low temperature thermal condensation of melamine. Sci. Rep. 2013, 3, 1943. [Google Scholar] [CrossRef] [PubMed]
- Tyborski, T.; Merschjann, C.; Orthmann, S.; Yang, F.; Lux-Steiner, M.-C.; Schedel-Niedrig, T. Tunable optical transition in polymeric carbon nitrides synthesized via bulk thermal condensation. J. Phys. Condens. Matter. 2012, 24, 162–201. [Google Scholar] [CrossRef]
- Zhang, J.S.; Chen, X.F.; Takanabe, K.; Maeda, K.; Domen, K.; Epping, J.D.; Fu, X.Z.; Antonietti, M.; Wang, X.C. Synthesis of a carbon nitride structure for visible-light catalysis by copolymerization. Angew. Chem. Int. Ed. 2010, 49, 441–444. [Google Scholar] [CrossRef]
- Su, F.Z.; Mathew, S.C.; Lipner, G.; Fu, X.Z.; Antonietti, M.; Blechert, S.; Wang, X. mpg-C3N4-Catalyzed selective oxidation of alcohols using O2 and visible light. J. Am. Chem. Soc. 2010, 132, 16299–16301. [Google Scholar] [CrossRef]
- Wang, X.C.; Maeda, K.; Thomas, A.; Takanabe, K.; Xin, G.; Carlsson, J.M.; Domen, K.; Antonietti, M. A metal-free polymeric photocatalyst for hydrogen production from water under visible light. Nat. Mater. 2009, 8, 76–80. [Google Scholar] [CrossRef]
- Zhang, G.; Zang, S.; Wang, X. Layered Co (OH)2 deposited polymeric carbon nitrides for photocatalytic water oxidation. ACS Catal. 2015, 5, 941–947. [Google Scholar] [CrossRef]
- Shamsabadi, T.M.; Goharshadi, E.K.; Nazarabad, M.K. Z-scheme design of Ag@g-C3N4/ZnS photoanode device for efficient solar water oxidation: An organic-inorganic electronic interface, international journal of hydrogen energy. J. Phys. Chem. 2019, 44, 13085–13097. [Google Scholar]
- Su, F.; Xu, C.; Yu, Y.; Zhang, W.D. Carbon self-doping induced activation of n–π* electronic transitions of g-C3N4 nanosheets for efficient photocatalytic H2 evolution. Chem. Cat. Chez. 2016, 8, 3527–3535. [Google Scholar]
- Wojtyła, S.; Śpiewak, K.; Baran, T. Doped graphitic carbon nitride: Insights from spectroscopy and electrochemistry. J. Inorg. Organomet. Polym. Mater. 2020, 30, 3418–3428. [Google Scholar] [CrossRef]
- Chai, B.; Yan, J.; Wang, C.; Ren, Z.; Zhu, Y. Enhanced visible light photocatalytic degradation of Rhodamine B over phosphorus doped graphitic carbon nitride. Appl. Surf. Sci. 2017, 391, 376–383. [Google Scholar] [CrossRef]
- Dong, J.F.; Wang, M.; Li, X.Q.; Chen, L.; He, Y.; Sun, L.C. Simple nickel based catalyst systems combined with graphitic carbon nitride for stable photocatalytic hydrogen production in water. ChemSusChem 2012, 5, 2133–2138. [Google Scholar] [CrossRef]
- Takanabe, K.; Kamata, K.; Wang, X.; Antonietti, M.; Kubota, J.; Domen, K. Photocatalytic hydrogen evolution on dye-sensitized mesoporous carbon nitride photocatalyst with magnesium phthalocyanin. Phys. Chem. Chem. Phys. 2010, 12, 13020–13025. [Google Scholar] [CrossRef] [PubMed]
- Graczyk, A.L.; Pieta, P.; Garbarino, G.; Busca, G.; Holdynski, M.; Kalisz, G.; Bartnicka, A.S.; Nowakowski, R.; Naushad, M.; Gawande, M.B.; et al. Graphitic carbon nitride–nickel catalyst: From material characterization to efficient ethanol electrooxidation. ACS Sustain. Chem. Eng. 2020, 18, 7244–7255. [Google Scholar] [CrossRef]
- Gong, W.; Zou, J.; Zhang, S.; Zhou, X.; Jiang, J. Nickel oxide and nickel co-doped graphitic carbon nitride nanocomposites and its octylphenol sensing application. Elctroanalysis 2016, 28, 227–234. [Google Scholar] [CrossRef]
- Deng, P.; Xiong, J.; Lei, S.; Wang, W.; Ou, X.; Xu, Y.; Xiao, Y.; Cheng, B. Nickel formate induced high-level in situ Ni-doping of g-C3N4 for a tunable band structure and enhanced photocatalytic performance. J. Mater. Chem. A 2019, 7, 22385–22397. [Google Scholar] [CrossRef]
- Wang, X.; Chen, X.; Thomas, A.; Fu, X.; Antonietti, M. Metal-containing carbon nitride compounds: A new functional organic–metal hybrid material. Adv. Mater. 2009, 21, 1609–1612. [Google Scholar] [CrossRef]
- Ma, T.; Shen, Q.; Zhao, B.; Xue, J.; Guan, R.; Liu, X.; Jia, H.; Xu, B. Facile synthesis of Fe-doped g-C3N4 for enhanced visible-light photocatalytic activity. Inorg. Chem. Commun. 2019, 107, 107451. [Google Scholar] [CrossRef]
- Das, D.; Banerjee, D.; Mondal, M.; Das, N.S.; Ghorai, U.K.; Chattopadhay, K.K. Nickel doped graphitic carbon nitride nanosheeets and its application for dye degradation by chemical catalysis. Mater. Res. Bull. 2018, 101, 291–304. [Google Scholar] [CrossRef]
- Xing, W.; Tu, W.; Han, Z.; Hu, Y.; Meng, Q.; Chen, G. Template-induced high-crystalline g-C3N4 nanosheets for enhanced photocatalytic H2 evolution. ACS Energy Lett. 2018, 3, 514–519. [Google Scholar] [CrossRef]
- Bao, N.; Hu, X.; Zhang, Q.; Miao, X.; Jie, X.; Zhou, S. Synthesis of porous carbon-doped g-C3N4 nanosheets with enhanced visible-light photocatalytic activity. Appl. Surf. Sci. 2017, 403, 682–690. [Google Scholar] [CrossRef]
- Liang, G.; Waqas, M.; Yang, B.; Xiao, K.; Li, J.; Zhu, C.; Zhang, J.; Duanb, H. Enhanced photocatalytic hydrogen evolution under visible light irradiation by p-type MoS2/n-type Ni2P doped g-C3N4. Appl. Surf. Sci. 2020, 504, 144–448. [Google Scholar] [CrossRef]
- Ho, W.; Zhang, Z.; Lin, W.; Huang, S.; Zhang, X.; Wang, X.; Huang, Y. Copolymerization with 2,4,6-Triaminopyrimidine for the rolling-up the layer structure, tunable electronic properties, and photocatalysis of g-C3N4. ACS Appl. Mater. Interfaces 2015, 7, 5497–5505. [Google Scholar] [CrossRef]
- Qin, J.; Wang, S.; Ren, H.; Hou, Y.; Wang, X. Photocatalytic reduction of CO2 by graphitic carbon nitride polymers derived from urea and barbituric acid. Appl. Catal. B Environ. 2015, 179, 1–8. [Google Scholar] [CrossRef]
- Feng, J.; Zhang, D.; Zhou, H.; Pi, M.; Wang, X.; Chen, S. Coupling P nanostructures with P-doped g-C3N4 as efficient visible light photocatalysts for H2 evolution and RhB degradation. ACS Sustain. Chem. Eng. 2018, 6, 6342–6349. [Google Scholar] [CrossRef]
- Guo, Q.; Zhang, Y.; Qiu, J.; Dong, G. Engineering the electronic structure and optical properties of g-C3N4 by non-metal ion doping. J. Mater. Chem. C 2016, 4, 6839–6847. [Google Scholar] [CrossRef]
- Xing, W.; Chen, G.; Li, C.; Han, Z.; Hu, Y.; Meng, Q. Doping effect of non-metal group in porous ultrathin g-C3N4 nanosheets towards synergistically improved photocatalytic hydrogen evolution. Nanoscale 2018, 10, 5239–5245. [Google Scholar] [CrossRef]
- Ge, L.; Han, C.; Liu, J. Novel visible-light-induced g-C3N4/Bi2WO6 composite photocatalysts for efficient degradation of methyl orange. Appl. Catal. B Environ. 2011, 108, 100–107. [Google Scholar] [CrossRef]
- Niu, P.; Zhang, L.; Liu, G.; Cheng, H.M. Graphene-like carbon nitride nanosheets for improved photocatalytic activities. Adv. Funct. Mater. 2012, 22, 4763–4770. [Google Scholar] [CrossRef]
- He, K.; Xie, J.; Liu, Z.-Q.; Li, N.; Chen, X.; Hu, J.; Li, X. Multi-functional Ni3C cocatalyst/g-C3N4 nano heterojunctions for robust photocatalytic H2 evolution under visible light. J. Mater. Chem. A 2018, 6, 13110–13122. [Google Scholar] [CrossRef]
- Chen, P.; Li, K.; Yu, Y.X.; Zhang, W. Cobalt-doped graphitic carbon nitride photocatalysts with high activity for hydrogen evolution. Appl. Surf. Sci. 2017, 392, 608–615. [Google Scholar] [CrossRef]
- Zhang, G.; Huang, C.; Wang, X. Dispersing molecular cobalt in graphitic carbon nitride frameworks for photocatalytic water oxidation. Small 2015, 11, 1215–1221. [Google Scholar] [CrossRef]
- Thomas, A.; Fischer, A.; Goettmann, F.; Antonietti, M.; Müller, J.O.; Schlögl, R.; Carlsson, J.M. Graphitic carbon nitride materials: Variation of structure and morphology and their use as metal-free catalysts. J. Mater. Chem. 2008, 18, 4893–4908. [Google Scholar] [CrossRef]
- Berrıos, C.; Cardenas-Jiron, G.I.; Marco, J.F.; Gutierrez, C.; Ureta-Zanartu, M.S. Theoretical and spectroscopic study of nickel(ii) porphyrin derivatives. J. Phys. Chem. 2007, 111, 2706–2714. [Google Scholar] [CrossRef] [PubMed]
- Bi, L.; Xu, D.; Zhang, L.; Lin, Y.; Wang, D.; Xie, T. Metal Ni-loaded g-C3N4 for enhanced photocatalytic H2 evolution activity: The change in surface band bending. Phys. Chem. Chem. Phys. 2015, 17, 29899–29905. [Google Scholar] [CrossRef]
- Huang, L.; Xu, H.; Li, Y.; Li, H.; Cheng, X.; Xia, J.; Xu, Y.; Cai, G. Visible-light-induced WO3/g-C3N4 composites with enhanced photocatalytic activity. Dalton Trans. 2013, 42, 8606–8616. [Google Scholar] [CrossRef]
- Liao, L.; Zhu, J.; Bian, X.; Zhu, L.; Scanlon, M.D.; Girault, H.H.; Liu, B. MoS2 formed on mesoporous graphene as a highly active catalyst for hydrogen evolution. Adv. Funct. Mater. 2013, 23, 5326–5333. [Google Scholar] [CrossRef]
- Wang, G.; Ling, Y.; Wheeler, D.A.; George, K.E.N.; Horsley, K.; Heske, C.; Zhang, J.Z.; Li, Y. Facile synthesis of highly photoactive α-Fe2O3-based films for water oxidation. Nano Lett. 2011, 11, 3503–3509. [Google Scholar] [CrossRef]













| Same Name | I–V (mAcm−2) | Tafel Slopes (mVdec−1) | |||
|---|---|---|---|---|---|
| Dark | Light | ΔJ | Dark | Light | |
| g-C3N4 | 1.078 | 1.107 | 0.029 | 92.1 | 91.2 |
| 0.1Ni | 0.746 | 0.787 | 0.041 | 90.3 | 87.6 |
| 0.2Ni | 1.283 | 1.352 | 0.069 | 85.7 | 81.2 |
| 0.3Ni | 0.268 | 0.400 | 0.132 | 83.5 | 80.2 |
| 0.4Ni | 1.630 | 1.797 | 0.175 | 79.3 | 76.0 |
| 0.5Ni | 1.080 | 1.174 | 0.094 | 83.1 | 76.5 |
| Sample Name | State | R1 (Ω) | R2 (kΩ) | R3 (Ω) | C1 (nF) | C3 (μF) |
|---|---|---|---|---|---|---|
| g-C3N4 | Dark | 1.01 | 28.28 | 564.1 | 3.86 | 11.34 |
| Light | 0.75 | 28.17 | 445.7 | 3.96 | 11.39 | |
| 0.1Ni | Dark | 0.86 | 33.69 | 236.8 | 1.76 | 9.41 |
| Light | 0.68 | 33.51 | 220.3 | 1.93 | 9.24 | |
| 0.2Ni | Dark | 0.62 | 30.71 | 234.0 | 3.60 | 9.83 |
| Light | 0.52 | 30.70 | 212.3 | 3.49 | 9.24 | |
| 0.3Ni | Dark | 0.75 | 35.69 | 134.7 | 1.75 | 7.56 |
| Light | 0.66 | 34.16 | 128.2 | 1.74 | 7.73 | |
| 0.4Ni | Dark | 0.28 | 33.42 | 95.9 | 3.49 | 7.83 |
| Light | 0.13 | 33.22 | 81.2 | 3.43 | 7.78 | |
| 0.5Ni | Dark | 0.67 | 31.10 | 130.5 | 3.48 | 6.62 |
| Light | 0.64 | 31.06 | 114.3 | 3.46 | 6.83 |
© 2020 by the authors. Licensee MDPI, Basel, Switzerland. This article is an open access article distributed under the terms and conditions of the Creative Commons Attribution (CC BY) license (http://creativecommons.org/licenses/by/4.0/).
Share and Cite
Reddy, I.N.; Jayashree, N.; Manjunath, V.; Kim, D.; Shim, J. Photoelectrochemical Studies on Metal-Doped Graphitic Carbon Nitride Nanostructures under Visible-Light Illumination. Catalysts 2020, 10, 983. https://doi.org/10.3390/catal10090983
Reddy IN, Jayashree N, Manjunath V, Kim D, Shim J. Photoelectrochemical Studies on Metal-Doped Graphitic Carbon Nitride Nanostructures under Visible-Light Illumination. Catalysts. 2020; 10(9):983. https://doi.org/10.3390/catal10090983
Chicago/Turabian StyleReddy, I. Neelakanta, N. Jayashree, V. Manjunath, Dongseob Kim, and Jaesool Shim. 2020. "Photoelectrochemical Studies on Metal-Doped Graphitic Carbon Nitride Nanostructures under Visible-Light Illumination" Catalysts 10, no. 9: 983. https://doi.org/10.3390/catal10090983
APA StyleReddy, I. N., Jayashree, N., Manjunath, V., Kim, D., & Shim, J. (2020). Photoelectrochemical Studies on Metal-Doped Graphitic Carbon Nitride Nanostructures under Visible-Light Illumination. Catalysts, 10(9), 983. https://doi.org/10.3390/catal10090983

