Visible Light Driven Spherical CuBi2O4 with Surface Oxygen Vacancy Enhanced Photocatalytic Activity: Catalyst Fabrication, Performance, and Reaction Mechanism
Abstract
:1. Introduction
2. Results
2.1. Synthesis of Catalysts
2.2. Material Characterization
2.3. Photocatalytic Performance Experiments
3. Discussion
3.1. Characterization of Prepared Samples
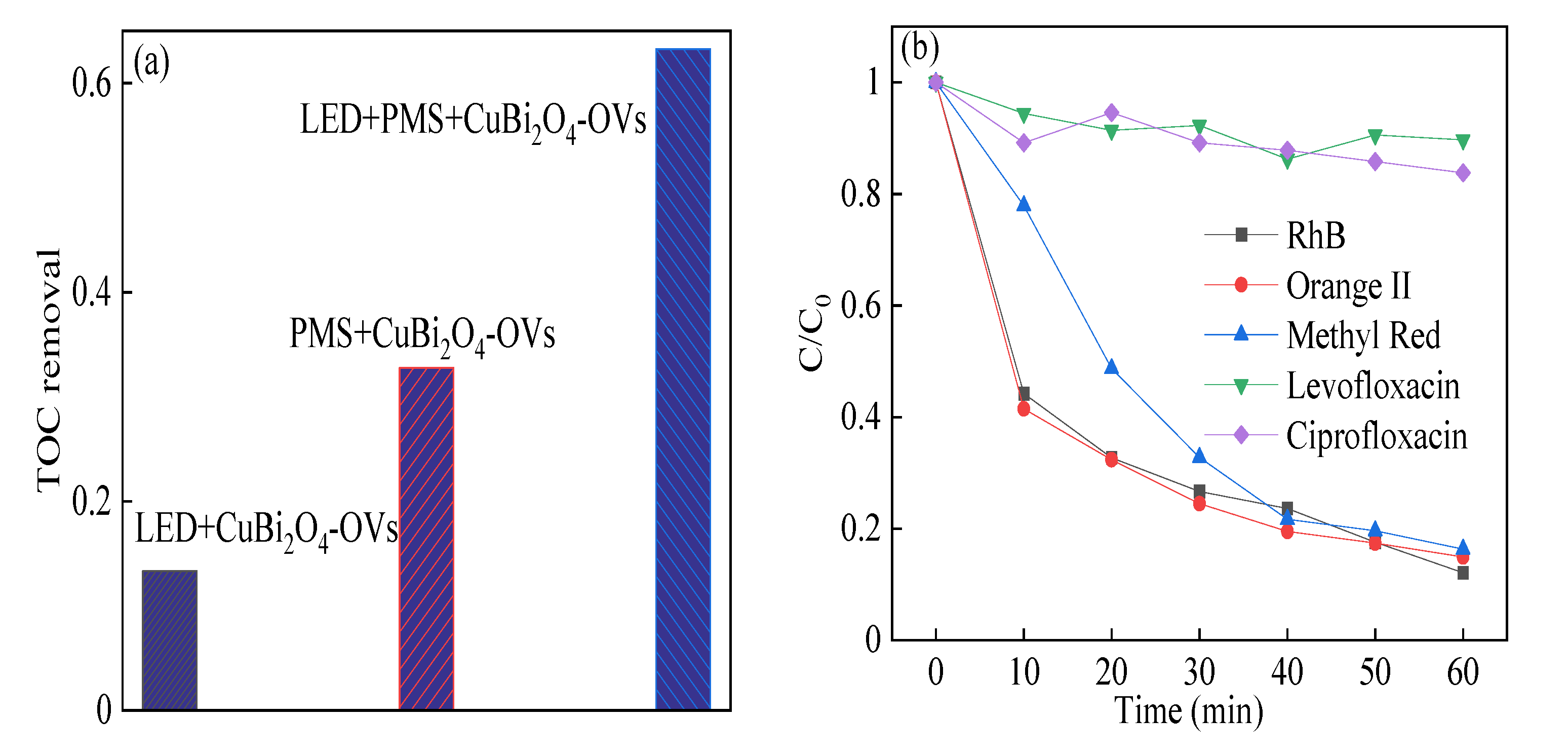
3.2. Heterogeneous SR-Photo Degradation of RhB
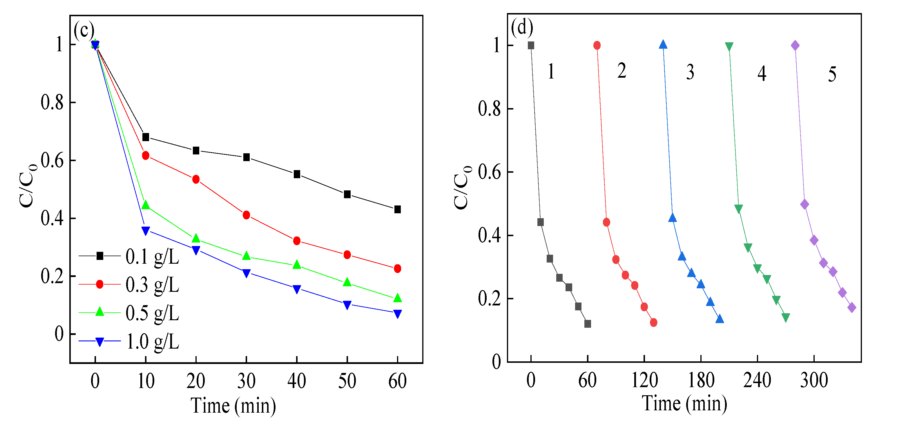
3.3. Effect of Reaction Conditions
3.4. Reaction Mechanism
3.5. Proposed Reaction Mechanism
4. Conclusions
Supplementary Materials
Author Contributions
Funding
Acknowledgments
Conflicts of Interest
References
- Frank, S.N.; Bard, A.J. Heterogeneous photocatalytic oxidation of cyanide and sulfite in aqueous solutions at semiconductor powders. J. Phys. Chem. 1977, 81, 1484–1488. [Google Scholar] [CrossRef]
- Li, R.; Li, T.; Zhou, Q. Impact of titanium Dioxide (TiO2) modification on its application to pollution treatment—A Review. Catalyst 2020, 10, 804. [Google Scholar] [CrossRef]
- Karthikeyan, C.; Arunachalam, P.; Ramachandran, K.; Al-Mayouf, A.M.; Karuppuchamy, S. Recent advances in semiconductor metal oxides with enhanced methods for solar photocatalytic applications. J. Alloy. Compd. 2020, 828, 15. [Google Scholar] [CrossRef]
- Gray, H.E.; Powell, T.; Choi, S.; Smith, D.S.; Parker, W.J. Organic phosphorus removal using an integrated advanced oxidation-ultrafiltration process. Water Res. 2020, 1821, 115968. [Google Scholar]
- Gonzalez, T.; Dominguez, J.R.; Correia, S. Neonicotinoids removal by associated binary, tertiary and quaternary advanced oxidation processes: Synergistic effects, kinetics and mineralization. J. Environ. Manag. 2020, 2611, 110156. [Google Scholar] [CrossRef]
- Wang, J.; Zhuan, R. Degradation of antibiotics by advanced oxidation processes: An overview. Sci. Total Environ. 2020, 701, 135023. [Google Scholar] [CrossRef]
- Zhao, Q.; Mao, Q.; Zhou, Y.; Wei, J.; Liu, X.; Yang, J.; Luo, L.; Zhang, J.; Chen, H.; Chen, H.; et al. Metal-free carbon materials-catalyzed sulfate radical-based advanced oxidation processes: A review on heterogeneous catalysts and applications. Chemosphere 2017, 189, 224–238. [Google Scholar] [CrossRef]
- Oh, W.D.; Dong, Z.; Lim, T.T. Generation of sulfate radical through heterogeneous catalysis for organic contaminants removal: Current development, challenges and prospects. Appl. Catal. B 2016, 1945, 169–201. [Google Scholar] [CrossRef]
- Hu, P.; Long, M. Cobalt-catalyzed sulfate radical-based advanced oxidation: A review on heterogeneous catalysts and applications. Appl. Catal. B 2016, 181, 103–117. [Google Scholar] [CrossRef]
- Shukla, P.; Sun, H.; Wang, S.; Ang, H.M.; Tade, M.O. Co-SBA-15 for heterogeneous oxidation of phenol with sulfate radical for wastewater treatment. Catal. Today 2011, 175, 380–385. [Google Scholar] [CrossRef]
- Wang, Y.; Indrawirawan, S.; Duan, X.; Sun, H.; Ang, H.M.; Tade, M.O.; Wang, S. New insights into heterogeneous generation and evolution processes of sulfate radicals for phenol degradation over one-dimensional α-MnO2 nanostructures. Chem. Eng. J. 2015, 266, 12–20. [Google Scholar] [CrossRef]
- Wu, C.H.; Yang, M.T.; Lin, K.Y.A. Magnetic Co/Fe nanohybrid supported on carbonaceous marcosphere as a heterogeneous catalyst for sulfate radical-based chemical oxidation. J. Environ. Chem. Eng. 2018, 6, 426–434. [Google Scholar] [CrossRef]
- Zhang, Y.; Zhou, J.; Chen, J.; Feng, X.; Cai, W. Rapid degradation of tetracycline hydrochloride by heterogeneous photocatalysis coupling persulfate oxidation with MIL-53(Fe) under visible light irradiation. J. Hazard. Mater. 2020, 392, 122315. [Google Scholar] [CrossRef] [PubMed]
- Wang, Y.; Liu, C.; Zhang, Y.; Meng, W.; Yu, B.; Pu, S.; Yuan, D.; Qi, F.; Xu, B.; Chu, W. Sulfate radical-based photo-Fenton reaction derived by CuBi2O4 and its composites with α-Bi2O3 under visible light irradiation: Catalyst fabrication, performance and reaction mechanism. Appl. Catal. B 2018, 235, 264–273. [Google Scholar] [CrossRef]
- Lv, C.; Liang, H.; Chen, H.; Wu, L. Hydroxyapatite supported Co3O4 catalyst for enhanced degradation of organic contaminants in aqueous solution: Synergistic visible-light photo-catalysis and sulfate radical oxidation process. Microchem. J. 2019, 149, 103959. [Google Scholar] [CrossRef]
- Soltani, T.; Lee, B.K. Enhanced formation of sulfate radicals by metal-doped BiFeO3 under visible light for improving photo-Fenton catalytic degradation of 2-chlorophenol. Chem. Eng. J. 2017, 313, 1258–1268. [Google Scholar] [CrossRef]
- Zhang, M.W.; Lin, K.Y.A.; Huang, C.F.; Tong, S. Enhanced degradation of toxic azo dye, amaranth, in water using Oxone catalyzed by MIL-101-NH2 under visible light irradiation. Sep. Purif. Tech. 2019, 227, 115632. [Google Scholar] [CrossRef]
- Karbasi, M.; Karimzadeh, F.; Raeissi, K.; Giannakis, S.; Pulgarin, C. Improving visible light photocatalytic inactivation of E. coli by inducing highly efficient radical pathways through peroxymonosulfate activation using 3-D, surface-enhanced, reduced graphene oxide (rGO) aerogels. Chem. Eng. J. 2020, 396, 125189. [Google Scholar] [CrossRef]
- Bi, W.; Wu, Y.; Dong, W. The degradation of oxytetracycline with low concentration of persulfate sodium motivated by copper sulphate under simulated solar light. Chem. Eng. J. 2020, 393, 122782. [Google Scholar] [CrossRef]
- Wang, A.; Chen, Z.; Zheng, Z.; Xu, H.; Yan, K. Remarkably enhanced sulfate radical-based photo-Fenton-like degradation of levofloxacin using the reduced mesoporous MnO@MnOx microspheres. Chem. Eng. J. 2020, 379, 122340. [Google Scholar] [CrossRef]
- Feng, Q.; Zhou, J.; Luo, W.; Ding, L.; Cai, W. Photo-Fenton removal of tetracycline hydrochloride using LaFeO3 as a persulfate activator under visible light. Ecotoxicol. Environ. Saf. 2020, 198, 110661. [Google Scholar] [CrossRef] [PubMed]
- Chen, Q.; Ji, F.; Guo, Q.; Fan, J.; Xu, X. Combination of heterogeneous Fenton-like reaction and photocatalysis using Co-TiO2 nanocatalyst for activation of KHSO5 with visible light irradiation at ambient conditions. J. Environ. Sci. 2014, 26, 2440–2450. [Google Scholar] [CrossRef] [PubMed]
- Zhu, B.; Cheng, H.; Ma, J.; Qin, Y.; Kong, Y.; Komarneni, S. Bi2MoO6 microspheres for the degradation of orange II by heterogeneous activation of persulfate under visible light. Mater. Lett. 2020, 261, 127099. [Google Scholar] [CrossRef]
- Li, M.; Tian, X.; Zou, X.; Han, X.; Du, C.; Shan, B. Promoting photoelectrochemical hydrogen evolution activity of CuBi2O4 photocathode through ramping rate control. Int. J. Hydrogen Energy 2020, 45, 15121–15128. [Google Scholar] [CrossRef]
- Ma, C.; Ma, D.K.; Yu, W.; Chen, W.; Huang, S. Ag and N-doped graphene quantum dots co-modified CuBi2O4 submicron rod photocathodes with enhanced photoelectrochemical activity. Appl. Surf. Sci. 2019, 481, 661–668. [Google Scholar] [CrossRef]
- Chen, X.; Dai, Y.; Guo, J. Hydrothermal synthesis of well-distributed spherical CuBi2O4 with enhanced photocatalytic activity under visible light irradiation. Mater. Lett. 2015, 161, 251–254. [Google Scholar] [CrossRef]
- Sabri, M.; Habibi-Yangjeh, A.; Ghosh, S. Novel ZnO/CuBi2O4 heterostructures for persulfate-assisted photocatalytic degradation of dye contaminants under visible light. J. Photoch. Photobiol. A 2020, 391, 112397. [Google Scholar] [CrossRef]
- Zhang, H.; Nengzi, L.; Li, X.; Wang, Z.; Cheng, X. Construction of CuBi2O4/MnO2 composite as Z-scheme photoactivator of peroxymonosulfate for degradation of antibiotics. Chem. Eng. J. 2020, 386, 124011. [Google Scholar] [CrossRef]
- Oh, W.D.; Dong, Z.; Lim, T.T. Hierarchically-structured Co-CuBi2O4 and Cu-CuBi2O4 for sulfanilamide removal via peroxymonosulfate activation. Catal. Today 2017, 280, 2–7. [Google Scholar] [CrossRef]
- Gao, H.; Wang, F.; Wang, S.; Wang, X.; Yi, Z.; Yang, H. Photocatalytic activity tuning in a novel Ag2S/CQDs/CuBi2O4 composite: Synthesis and photocatalytic mechanism. Mater. Res. Bull. 2019, 115, 140–149. [Google Scholar] [CrossRef]
- Shi, W.; Li, M.; Huang, X.; Ren, H.; Guo, F.; Tang, Y.; Lu, C. Construction of CuBi2O4/Bi2MoO6 p-n heterojunction with nanosheets-on-microrods structure for improved photocatalytic activity towards broad-spectrum antibiotics degradation. Chem. Eng. J. 2020, 394, 125009. [Google Scholar] [CrossRef]
- Chen, X.; Yu, C.; Zhu, R.; Li, N.; Chen, M.; Lin, Q.; Xu, S.; Chen, X.; Wang, H. Photocatalytic performance and mechanism of Z-Scheme CuBi2O4/Ag3PO4 in the degradation of diclofenac sodium under visible light irradiation: Effects of pH, H2O2, and S2O82−. Sci. Total Environ. 2020, 711, 134643. [Google Scholar] [CrossRef]
- Wang, L.; Huang, T.; Yang, G.; Lu, C.; Dong, F.; Li, Y.; Guan, W. The precursor-guided hydrothermal synthesis of CuBi2O4/WO3 heterostructure with enhanced photoactivity under simulated solar light irradiation and mechanism insight. J. Hazard. Mater. 2020, 381, 120956. [Google Scholar] [CrossRef]
- Fu, F.; Shen, H.; Sun, X.; Xue, W.; Shoneye, A.; Ma, J.; Luo, L.; Wang, D.; Wang, J.; Tang, J. Synergistic effect of surface oxygen vacancies and interfacial charge transfer on Fe(III)/Bi2MoO6 for efficient photocatalysis. Appl. Catal. B 2019, 247, 150–162. [Google Scholar] [CrossRef]
- Lyu, J.; Hu, Z.; Li, Z.; Ge, M. Removal of tetracycline by BiOBr microspheres with oxygen vacancies: Combination of adsorption and photocatalysis. J. Phys. Chem. Solids 2019, 129, 61–70. [Google Scholar] [CrossRef]
- Li, D.; Haneda, H.; Labhsetwar, N.K.; Hishita, S.; Ohashi, N. Visible-light-driven photocatalysis on fluorine-doped TiO2 powders by the creation of surface oxygen vacancies. Chem. Phys. Lett. 2005, 401, 579–584. [Google Scholar] [CrossRef]
- Xie, Y.; Zhang, Y.; Yang, G.; Liu, C.; Wang, J. Hydrothermal synthesis of CuBi2O4 nanosheets and their photocatalytic behavior under visible light irradiation. Mater. Lett. 2013, 107, 291–294. [Google Scholar] [CrossRef]
- Shan, W.; Hu, Y.; Bai, Z.; Zheng, M.; Wei, C. In situ preparation of g-C3N4/bismuth-based oxide nanocomposites with enhanced photocatalytic activity. Appl. Catal. B 2016, 188, 1–12. [Google Scholar] [CrossRef]
- Hossain, M.K.; Samu, G.F.; Gandha, K.; Santhanagopalan, S.; Liu, J.P.; Janaky, C.; Rajeshwar, K. Solution combustion synthesis, characterization, and photocatalytic activity of CuBi2O4 and its nanocomposites with CuO and α-Bi2O3. J. Phys. Chem. C 2017, 121, 8252–8261. [Google Scholar] [CrossRef]
- Brezesinski, K.; Ostermann, R.; Hartmann, P.; Perlich, J.; Brezesinski, T. Exceptional Photocatalytic Activity of Ordered Mesoporous β-Bi2O3 Thin Films and Electrospun Nanofiber Mats. Chem. Mater. 2010, 22, 3079–3085. [Google Scholar] [CrossRef]
- Zhang, L.; Lyu, L.; Nie, Y.; Hu, C. Cu-doped Bi2O3/Bi0 composite as an efficient Fenton-like catalyst for degradation of 2-chlorophenol. Sep. Purif. Tech. 2016, 157, 203–208. [Google Scholar] [CrossRef]
- Zhang, Y.; Liu, C.; Xu, B.; Qi, F.; Chu, W. Degradation of benzotriazole by a novel Fenton-like reaction with mesoporous Cu/MnO2: Combination of adsorption and catalysis oxidation. Appl. Catal. B 2016, 199, 447–457. [Google Scholar] [CrossRef]
- Zhang, X.; Wang, X.; Chai, J.; Xue, S.; Wang, R.; Jiang, L.; Wang, J.; Zhang, Z.; Dionysiou, D.D. Construction of novel symmetric double Z-scheme BiFeO3/CuBi2O4/BaTiO3 photocatalyst with enhanced solar-light-driven photocatalytic performance for degradation of norfloxacin. Appl. Catal. B 2020, 272, 119017. [Google Scholar] [CrossRef]
- Sun, Q.; Wu, S.; Li, K.; Han, B.; Chen, Y.; Pang, B.; Yu, L.; Dong, L. The favourable synergistic operation of photocatalysis and catalytic oxygen reduction reaction by a novel heterogeneous CoFe2O4-TiO2 nanocomposite. Appl. Surf. Sci. 2020, 516, 146142. [Google Scholar] [CrossRef]
- Hu, J.; Li, J.; Cui, J.; An, W.; Liu, L.; Liang, Y.; Cui, W. Surface oxygen vacancies enriched FeOOH/Bi2MoO6 photocatalysis-fenton synergy degradation of organic pollutants. J. Hazard. Mater. 2020, 384, 121399. [Google Scholar] [CrossRef] [PubMed]
- Chen, X.; Zhou, J.; Zhang, T.; Ding, L. Enhanced degradation of tetracycline hydrochloride using photocatalysis and sulfate radical-based oxidation processes by Co/BiVO4 composites. J. Water Process. Eng. 2019, 32, 100918. [Google Scholar] [CrossRef]
- Huang, J.; Zhang, H. Mn-based catalysts for sulfate radical-based advanced oxidation processes: A review. Environ. Int. 2019, 133, 105141. [Google Scholar] [CrossRef]
- Chen, Z.; Bi, S.; Zhao, G.; Chen, Y.; Hu, Y. Enhanced degradation of triclosan by cobalt manganese spinel-type oxide activated peroxymonosulfate oxidation process via sulfate radicals and singlet oxygen: Mechanisms and intermediates identification. Sci. Total Environ. 2020, 711, 134715. [Google Scholar] [CrossRef]
- Hao, S.M.; Yu, M.Y.; Zhang, Y.J.; Abdelkrim, Y.; Qu, J. Hierarchical mesoporous cobalt silicate architectures as high-performance sulfate-radical-based advanced oxidization catalysts. J. Colloid. Interf. Sci. 2019, 545, 128–137. [Google Scholar] [CrossRef]
- Baran, N.Y.; Baran, T.; Menteş, A. Design of highly robust halloysite nanoclay supported palladium complex as a highly active heterogeneous catalyst for construction of biaryls. Appl. Clay Sci. 2019, 18115, 105225. [Google Scholar] [CrossRef]
- Hu, L.; Wang, P.; Shen, T.; Wang, Q.; Zhang, G. The application of microwaves in sulfate radical-based advanced oxidation processes for environmental remediation: A review. Sci. Total. Environ. 2020, 722, 137831. [Google Scholar] [CrossRef] [PubMed]
- You, J.; Sun, W.; Su, S.; Ao, Z.; Liu, C.; Yao, G.; Lai, B. Degradation of bisphenol A by peroxymonosulfate activated with oxygen vacancy modified nano-NiO-ZnO composite oxides: A typical surface-bound radical system. Chem. Eng. J. 2020, 400, 125915. [Google Scholar] [CrossRef]
- Huang, Z.; Wu, P.; Liu, J.; Yang, S.; Chen, M.; Li, Y.; Niu, W.; Ye, Q. Defect-rich carbon based bimetallic oxides with abundant oxygen vacancies as highly active catalysts for enhanced 4-aminobenzoic acid ethyl ester (ABEE) degradation toward peroxymonosulfate activation. Chem. Eng. J. 2020, 395, 124936. [Google Scholar] [CrossRef]











© 2020 by the authors. Licensee MDPI, Basel, Switzerland. This article is an open access article distributed under the terms and conditions of the Creative Commons Attribution (CC BY) license (http://creativecommons.org/licenses/by/4.0/).
Share and Cite
Zhong, X.; Cai, Y.; Bai, H.; Huang, W.; Zhou, B. Visible Light Driven Spherical CuBi2O4 with Surface Oxygen Vacancy Enhanced Photocatalytic Activity: Catalyst Fabrication, Performance, and Reaction Mechanism. Catalysts 2020, 10, 945. https://doi.org/10.3390/catal10080945
Zhong X, Cai Y, Bai H, Huang W, Zhou B. Visible Light Driven Spherical CuBi2O4 with Surface Oxygen Vacancy Enhanced Photocatalytic Activity: Catalyst Fabrication, Performance, and Reaction Mechanism. Catalysts. 2020; 10(8):945. https://doi.org/10.3390/catal10080945
Chicago/Turabian StyleZhong, Xin, Yihong Cai, Heping Bai, Wei Huang, and Binxue Zhou. 2020. "Visible Light Driven Spherical CuBi2O4 with Surface Oxygen Vacancy Enhanced Photocatalytic Activity: Catalyst Fabrication, Performance, and Reaction Mechanism" Catalysts 10, no. 8: 945. https://doi.org/10.3390/catal10080945
APA StyleZhong, X., Cai, Y., Bai, H., Huang, W., & Zhou, B. (2020). Visible Light Driven Spherical CuBi2O4 with Surface Oxygen Vacancy Enhanced Photocatalytic Activity: Catalyst Fabrication, Performance, and Reaction Mechanism. Catalysts, 10(8), 945. https://doi.org/10.3390/catal10080945
