Synthesis of Biodegradable Polymers: A Review on the Use of Schiff-Base Metal Complexes as Catalysts for the Ring Opening Polymerization (ROP) of Cyclic Esters
Abstract
1. Introduction
2. Alkaline Metals
3. Alkaline-Earth Metals
3.1. Magnesium
3.2. Calcium
4. Early Transition Metals
4.1. Titanium
4.2. Zirconium
4.3. Hafnium
4.4. Vanadium
4.5. Chromium
4.6. Manganese
5. Late Transition Metals
5.1. Iron
5.2. Cobalt
5.3. Nickel
5.4. Copper
5.5. Zinc
5.6. Cadmium
6. Rare Earth Metals
7. Main Group Metals
7.1. Aluminum
7.2. Gallium
7.3. Indium
7.4. Tin
8. Conclusions
Author Contributions
Funding
Acknowledgments
Conflicts of Interest
References
- Gupta, A.P.; Kumar, V. New emerging trends in synthetic biodegradable polymers—Polylactide: A critique. Eur. Polym. J. 2007, 43, 4053–4074. [Google Scholar] [CrossRef]
- Mooney, D.J.; Organ, G.; Vacanti, J.P.; Langer, R. Design and Fabrication of Biodegradable Polymer Devices to Engineer Tubular Tissues. Cell Transpl. 1994, 2, 203–210. [Google Scholar] [CrossRef] [PubMed]
- Auras, R.; Harte, B.; Selke, S. An Overview of Polylactides as Packaging Materials. Macromol. Biosci. 2004, 4, 835–864. [Google Scholar] [CrossRef] [PubMed]
- Albertson, A.C.; Varma, I.K. Degradable Polymer Microspheres for Controlled Drug Delivery. Adv. Polym. Sci. 2002, 157, 67–112. [Google Scholar] [CrossRef]
- Bogaert, J.-C.; Coszach, P. Poly(lactic acids): A potential solution to plastic waste dilemma. Macromol. Symp. 2000, 153, 287–303. [Google Scholar] [CrossRef]
- Drumright, R.E.; Gruber, P.R.; Henton, D.E. Polylactic acid technology. Adv. Mater. 2000, 12, 1841–1846. [Google Scholar] [CrossRef]
- Woodruff, M.A.; Hutmacher, D.W. The return of a forgotten polymer—Polycaprolactone in the 21st century. Prog. Polym. Sci. 2010, 35, 1217–1256. [Google Scholar] [CrossRef]
- Sisson, A.L.; Ekinci, D.; Lendlein, A. The contemporary role of ε-caprolactone chemistry to create advanced polymer architectures. Polymer 2013, 54, 4333–4350. [Google Scholar] [CrossRef]
- Dechy-Cabaret, O.; Martin-Vaca, B.; Bourissou, D. Controlled Ring-Opening Polymerization of Lactide and Glycolide. Chem. Rev. 2004, 104, 6147–6176. [Google Scholar] [CrossRef]
- Mehta, R.; Kumar, V.; Bhunia, H.; Upadhyay, S.N. Synthesis of poly (lactic acid): A review. J. Macromol. Sci. C. 2005, 45, 325–349. [Google Scholar] [CrossRef]
- Corma, A.; Iborra, S.; Velty, A. Chemical routes for the transformation of biomass into chemicals. Chem. Rev. 2007, 107, 2411–2502. [Google Scholar] [CrossRef] [PubMed]
- Williams, C.K.; Hillmyer, M.A. Polymers from Renewable Resources: A Perspective for a Special Issue of Polymer Reviews. Polym. Rev. 2008, 48, 1–10. [Google Scholar] [CrossRef]
- Place, E.S.; George, J.H.; Williams, C.K.; Stevens, M.H. Synthetic polymer scaffolds for tissue engineering. Chem. Soc. Rev. 2009, 38, 1139–1151. [Google Scholar] [CrossRef] [PubMed]
- Labet, M.; Thielemans, W. Synthesis of polycaprolactone: A review. Chem. Soc. Rev. 2009, 38, 3484–3504. [Google Scholar] [CrossRef] [PubMed]
- Arbaoui, A.; Redshaw, C. Metal catalysts for ε-caprolactone polymerization. Polym. Chem. 2010, 1, 801–826. [Google Scholar] [CrossRef]
- Santoro, O.; Redshaw, C. Use of Titanium Complexes Bearing Diphenolate or Calix[n]arene Ligands in alpha-Olefin Polymerization and the ROP of Cyclic Esters. Catalysts 2020, 10, 210. [Google Scholar] [CrossRef]
- Redshaw, C.; Tang, Y. Tridentate ligands and beyond in group IV metal α-olefin homo-/co-polymerization catalysis. Chem. Soc. Rev. 2012, 41, 4484–4510. [Google Scholar] [CrossRef]
- Fujita, T.; Kawai, K. FI Catalysts for Olefin Oligomerization and Polymerization. Top Catal. 2014, 57, 852–877. [Google Scholar] [CrossRef]
- Ma, Z.; Yang, W.; Sun, W.-H. Recent Progress on Transition Metal (Fe, Co, Ni, Ti and V) Complex Catalysts in Olefin Polymerization with High Thermal Stability Production of Useful Olefin-Based Materials by Unique Catalysis. Chin. J. Chem. 2017, 35, 531–540. [Google Scholar] [CrossRef]
- Iwashita, A.; Chan, M.C.W.; Makio, H.; Fujita, T. Attractive interactions in olefin polymerization mediated by post-metallocene catalysts with fluorine-containing ancillary ligands. Catal. Sci. Technol. 2014, 4, 599–610. [Google Scholar] [CrossRef]
- Makio, H.; Terao, H.; Iwashita, A.; Fujita, T. FI Catalysts for Olefin Polymerization-A Comprehensive Treatment. Chem. Rev. 2011, 111, 2363–2449. [Google Scholar] [CrossRef] [PubMed]
- Lu, W.-Y.; Hsiao, M.-W.; Hsu, S.C.N.; Peng, W.-T.; Chang, Y.-J.; Tsou, Y.-C.; Wu, T.-Y.; Lai, Y.-C.; Chena, Y.; Chen, H.-Y. Synthesis, characterization and catalytic activity of lithium and sodium iminophenoxide complexes towards ring-opening polymerization of L-lactide. Dalton Trans. 2012, 41, 3659–3667. [Google Scholar] [CrossRef] [PubMed]
- Yao, L.; Wang, L.; Pan, X.; Tang, N.; Wu, J. Synthesis, characterization and catalytic activity of Salen–(sodium)2 and (Salen)2–lanthanum–sodium complexes. Inorg. Chim. Acta 2011, 373, 219–225. [Google Scholar] [CrossRef]
- García-Valle, F.M.; Estivill, R.; Gallegos, C.; Cuenca, T.; Mosquera, M.E.G.; Tabernero, V.; Cano, J. Metal and Ligand-Substituent Effects in the Immortal Polymerization of rac-Lactide with Li, Na, and K Phenoxo-imine. Complexes. Organometallics 2015, 34, 477–487. [Google Scholar] [CrossRef]
- Lu, W.-Y.; Ou, H.-W.; Lee, C.-N.; Vandavasi, J.K.; Chen, H.-Y.; Lin, C.-C. Synthesis, characterization, and catalytic activity of lithium complexes bearing NNO-tridentate Schiff base ligands toward ring-opening polymerization of L-lactide. Polymer 2018, 139, 1–10. [Google Scholar] [CrossRef]
- Ou, H.-W.; Lo, K.-H.; Du, W.-T.; Lu, W.-Y.; Chuang, W.-J.; Huang, B.-H.; Chen, H.-Y.; Lin, C.-C. Synthesis of Sodium Complexes Supported with NNO-Tridentate Schiff Base Ligands and Their Applications in the Ring-Opening Polymerization of l-Lactide. Inorg. Chem. 2016, 55, 1423–1432. [Google Scholar] [CrossRef]
- Cui, Y.; Jiang, J.; Mao, X.; Wu, J. Mononuclear Salen−Sodium Ion Pairs as Catalysts for Isoselective Polymerization of rac-Lactide. Inorg. Chem. 2019, 58, 218–227. [Google Scholar] [CrossRef]
- Gallegos, C.; Tabernero, V.; García-Valle, F.M.; Mosquera, M.E.G.; Cuenca, T.; Cano, J. Synthesis and Structure of Homo- and Heterometallic Lithium–Magnesium Complexes and Their Reactivity in the ROP of rac-Lactide. Organometallics 2013, 32, 6624–6627. [Google Scholar] [CrossRef]
- Gao, J.; Zhu, D.; Zhang, W.; Solan, G.; Ma, Y.; Sun, W.H. Recent progress in the application of group 1, 2 & 13 metal complexes as catalysts for the ring opening polymerization of cyclic esters. Inorg. Chem. Front. 2019, 6, 2619–2652. [Google Scholar] [CrossRef]
- Munzeiwa, W.A.; Nyamori, V.O.; Omondi, B. N,O-Amino-phenolate Mg(II) and Zn(II) Schiff base complexes: Synthesis and application in ring-opening polymerization of ε-caprolactone and lactides. Inorg. Chim. Acta 2019, 487, 264–274. [Google Scholar] [CrossRef]
- Chen, X.-L.; Wang, B.; Pan, L.; Li, Y.-S. Homoleptic, bis-ligated magnesium complexes for ring-opening polymerization of lactide and lactones: Synthesis, structure, polymerization behavior and mechanism studies. Appl. Organometal. Chem. 2019, 33, e4770. [Google Scholar] [CrossRef]
- D’Auria, I.; Tedesco, C.; Mazzeo, M.; Pellecchia, C. New homoleptic bis(pyrrolylpyridiylimino) Mg(II) and Zn(II) complexes as catalysts for the ring opening polymerization of cyclic esters via an “activated monomer” mechanism. Dalton Trans. 2017, 46, 12217–12225. [Google Scholar] [CrossRef] [PubMed]
- McKeown, P.; McCormick, S.N.; Mahona, M.F.; Jones, M.D. Highly active Mg(II) and Zn(II) complexes for the ring opening polymerisation of lactide. Polym. Chem. 2018, 9, 5339–5347. [Google Scholar] [CrossRef]
- Huang, M.; Pan, C.; Ma, H. Ring-opening polymerization of rac-lactide and α-methyltrimethylene carbonate catalyzed by magnesium and zinc complexes derived from binaphthyl-based iminophenolate ligands. Dalton Trans. 2015, 44, 12420–12431. [Google Scholar] [CrossRef]
- Slattery, R.M.; Stahl, A.E.; Brereton, K.R.; Rheingold, A.L.; Green, D.B.; Fritsch, J.M. Ring Opening Polymerization and Copolymerization of L-Lactide and ϵ-Caprolactone by bis-Ligated Magnesium Complexes. J. Polym. Sci. A Polym. Chem. 2019, 57, 48–59. [Google Scholar] [CrossRef]
- Darensbourg, D.J.; Choi, W.; Karroonnirun, O.; Bhuvanesh, N. Ring-Opening Polymerization of Cyclic Monomers by Complexes Derived from Biocompatible Metals. Production of Poly(lactide), Poly(trimethylene carbonate), and Their Copolymers. Macromolecules 2008, 41, 3493–3502. [Google Scholar] [CrossRef]
- Gallaway, J.B.L.; McRae, J.R.K.; Decken, A.; Shaver, M.P. Ring-opening polymerization of rac-lactide and ε-caprolactone using zinc and calcium salicylaldiminato complexes. Can. J. Chem. 2012, 90, 419–426. [Google Scholar] [CrossRef]
- Hsiao, M.-W.; Wu, G.-S.; Huang, B.-H.; Lin, C.-C. Synthesis and characterization of calcium complexes: Efficient catalyst for ring-opening polymerization of L-lactide”. Inorg. Chem. Commun. 2013, 36, 90–95. [Google Scholar] [CrossRef]
- Chmura, A.J.; Cousins, D.M.; Davidson, M.G.; Jones, M.D.; Lunn, M.D.; Mahon, M.F. Robust chiral zirconium alkoxide initiators for the room-temperature stereoselective ring-opening polymerisation of rac-lactide. Dalton Trans. 2008, 1437–1443. [Google Scholar] [CrossRef]
- Whitelaw, E.L.; Jones, M.D.; Mahon, M.F. Group 4 Salalen Complexes and Their Application for the Ring-Opening Polymerization of rac-Lactide. Inorg. Chem. 2010, 49, 7176–7181. [Google Scholar] [CrossRef]
- Saravanamoorthy, S.; Muneeswaran, M.; Giridharanb, N.V.; Velmathi, S. Solvent-free ring opening polymerization of ε-caprolactone and electrical properties of polycaprolactone blended BiFeO3 nanocomposites. RSC Adv. 2015, 5, 43897–43905. [Google Scholar] [CrossRef]
- Ou, H.-W.; Lu, W.-Y.; Vandavasi, J.K.; Lin, Y.-F.; Chen, H.-Y.; Lin, C.-C. Improvement in titanium complexes supported by Schiff bases in ring-opening polymerization of cyclic esters: ONO-tridentate Schiff bases. Polymer 2018, 140, 315–325. [Google Scholar] [CrossRef]
- Durr, C.B.; Williams, C.K. New Coordination Modes for Modified Schiff Base Ti(IV) Complexes and Their Control over Lactone Ring-Opening Polymerization Activity. Inorg. Chem. 2018, 57, 14240–14248. [Google Scholar] [CrossRef] [PubMed]
- Li, X.; Yang, B.; Zheng, H.; Wu, P.; Zeng, G. Synthesis and characterization of salen-Ti(IV) complex and application in the controllable polymerization of D, L-lactide. PLoS ONE 2018, 13, e0201054. [Google Scholar] [CrossRef] [PubMed]
- Mandal, D.; Chakraborty, R.V.; Chand, D.K. Group 4 Alkoxide Complexes containing [NNO]-type Scaffold: Synthesis, Structural Characterization and Polymerization Studies. RSC Adv. 2016, 6, 21706–21718. [Google Scholar] [CrossRef]
- Dai, R.; Diaconescu, P.L. Investigation of a zirconium compound for redox switchable ring opening polymerization. Dalton Trans. 2019, 48, 2996–3002. [Google Scholar] [CrossRef]
- Clowes, L.; Walton, M.; Redshaw, C.; Chao, Y.; Walton, A.; Elo, P.; umerinc, V.; Hughes, D.L. Vanadium(III) phenoxyimine complexes for ethylene or ε-caprolactone polymerization: Mononuclear versus binuclear pre-catalysts”. Catal. Sci. Technol. 2013, 3, 152–160. [Google Scholar] [CrossRef]
- Ma, J.; Zhao, K.-Q.; Walton, M.; Wright, J.A.; Frese, J.W.A.; Elsegood, M.R.J.; Xing, Q.; Sun, W.-H.; Redshaw, C. Vanadyl complexes bearing bi-dentate phenoxyimine ligands: Synthesis, structural studies and ethylene polymerization capability. Dalton Trans. 2014, 43, 8300–8310. [Google Scholar] [CrossRef]
- Ma, J.; Zhao, K.-Q.; Walton, M.J.; Wright, J.A.; Hughes, D.L.; Elsegood, M.R.J.; Michiue, K.; Sun, X.; Redshaw, C. Tri- and tetra-dentate imine vanadyl complexes: Synthesis, structure and ethylene polymerization/ring opening polymerization capability. Dalton Trans. 2014, 43, 16698–16706. [Google Scholar] [CrossRef]
- Vagin, I.; Reichardt, R.; Klaus, S.; Rieger, B. Conformationally Flexible Dimeric Salphen Complexes for Bifunctional Catalysis. J. Am. Chem. Soc. 2010, 132, 14367–14369. [Google Scholar] [CrossRef]
- Yang, W.; Zhao, K.Q.; Wang, B.; Elsegood, M.R.J.; Zhao, V.; Yamato, T.; Redshaw, C. Manganese coordination chemistry of bis(imino)phenoxide derived [2 + 2] Schiff-base macrocyclic ligands”. Dalton Trans. 2016, 45, 226–236. [Google Scholar] [CrossRef] [PubMed]
- Hege, C.S.; Schiller, S.M. Non-toxic catalysts for ring-opening polymerizations of biodegradable polymers at room temperature for biohybrid materials. Green Chem. 2014, 16, 1410–1416. [Google Scholar] [CrossRef]
- Fazekas, E.; Nichol, G.S.; Garden, J.A.; Shaver, M.P. IronIII Half Salen Catalysts for Atom Transfer Radical and Ring-Opening Polymerizations. ACS Omega 2018, 3, 16945–16953. [Google Scholar] [CrossRef] [PubMed]
- Driscoll, O.J.; Leung, C.K.C.; Mahon, M.F.; McKeown, P.; Jones, M.D. Iron(III) Salalen Complexes for the Polymerisation of Lactide. Eur. J. Inorg. Chem. 2018, 5129–5135. [Google Scholar] [CrossRef]
- Cozzolino, M.; Leo, V.; Tedesco, C.; Mazzeo, M.; Lamberti, M. Salen, salan and salalen iron(III) complexes as catalysts for CO2/epoxide reactions and ROP of cyclic esters. Dalton Trans. 2018, 47, 13229–13238. [Google Scholar] [CrossRef]
- Liang, Y.; Duan, R.-L.; Hu, C.-Y.; Li, L.-L.; Pang, X.; Zhang, W.-X.; Chen, X.-S. Salen-iron Complexes: Synthesis, Characterization and Their Reactivity with Lactide. Chin. J. Polym. Sci. 2018, 36, 185–189. [Google Scholar] [CrossRef]
- Pradhan, H.C.; Mantri, S.; Routaray, A.; Maharaba, T.; Sutar, A.K. Cobalt (II) complex catalyzed polymerization of lactide and coupling of CO2 and styrene oxide into cyclic styrene carbonate”. J. Chem. Sci. 2020, 132, 25–31. [Google Scholar] [CrossRef]
- Routaray, A.; Mantri, S.; Nath, N.; Sutar, A.K.; Maharana, T. Nickel(II) complex catalyzed ring-opening polymerization of lactide. Polyhedron 2016, 119, 335–341. [Google Scholar] [CrossRef]
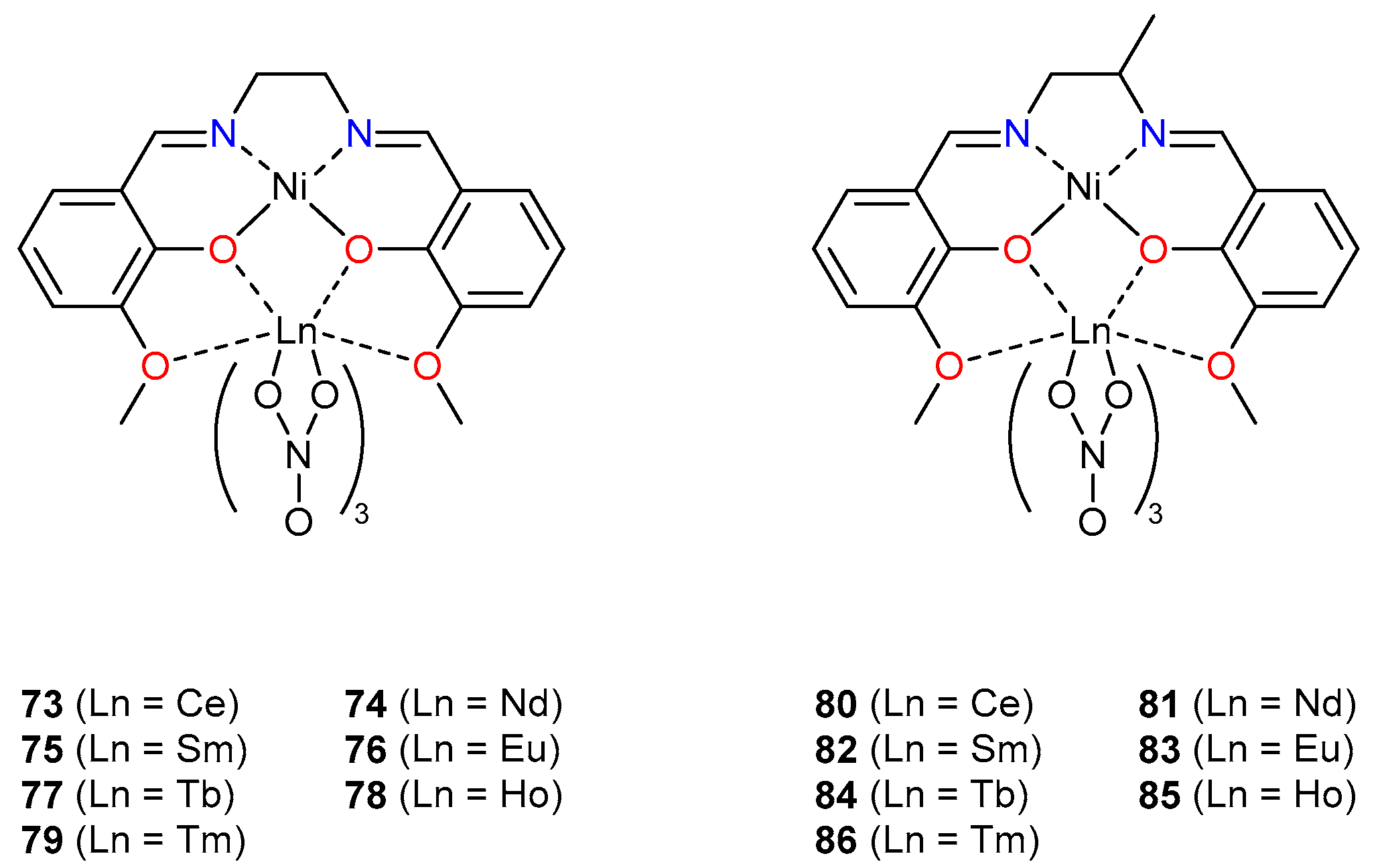
- Jin, W.-J.; Ding, L.-Q.; Chu, Z.; Chen, L.-L.; Lü, X.-Q.; Zheng, X.-Y.; Song, J.-R.; Fan, D.-D. Controllable bulk solvent-free melt ring-opening polymerization (ROP) of L-lactide catalyzed by Ni(II) and Ni(II)–Ln(III) complexes based on the Salen-type Schiff-base ligand. J. Mol. Cat. A Chem. 2011, 337, 25–32. [Google Scholar] [CrossRef]
- Ding, L.; Jin, W.; Chu, Z.; Chen, L.; Lü, X.; Yuan, G.; Song, J.; Fan, D.-D.; Bao, F. Bulk solvent-free melt ring-opening polymerization (ROP) of L-lactide catalyzed by Ni(II) and Ni(II)–Ln(III) complexes based on the acyclic Salen-type Schiff-base ligand. Inorg. Chem. Commun. 2011, 14, 1274–1278. [Google Scholar] [CrossRef]
- Xiao, G.; Yan, B.; Ma, R.; Jin, W.-J.; Qiang, X.; Ding, L.-Q.; Zeng, C.; Chen, L.-L.; Bao, F. Bulk ring-opening polymerization (ROP) of L-lactide catalyzed by Ni(II) and Ni(II)-Sm(III) complexes based on a salen-type Schiff-base ligand. Polym. Chem. 2011, 2, 659–664. [Google Scholar] [CrossRef]
- Bhunora, S.; Mugo, J.; Bhaw-Luximon, A.; Mapolie, S.; Van Wyk, J.; Darkwa, J.; Nordlander, E. The use of Cu and Zn salicylaldimine complexes as catalyst precursors in ring opening polymerization of lactides: Ligand effects on polymer characteristics. Appl. Organomet. Chem. 2011, 25, 133–145. [Google Scholar] [CrossRef]
- Chen, L.-L.; Ding, L.-Q.; Zeng, C.; Long, Y.; Lu, X.-Q.; Song, J.-R.; Fan, D.-D.; Jin, W.-J. Bulk solvent-free melt ring-opening polymerization of L-lactide catalyzed by Cu(II) and Cu(II)–Nd(III) complexes of the Salen-type Schiff-base ligand. Appl. Organomet. Chem. 2011, 25, 310–316. [Google Scholar] [CrossRef]
- Routaray, A.; Mantri, S.; Nath, N.; Sutar, A.K.; Maharana, T. Polymerization of lactide and synthesis of block copolymer catalyzed by copper (II) Schiff base complex. Chin. Chem. Lett. 2016, 27, 1763–1766. [Google Scholar] [CrossRef]
- Routaray, A.; Nath, N.; Mantri, S.; Maharana, T.; Sutar, A.K. Synthesis and structural studies of copper(II) complex supported by –ONNO– tetradentate ligand: Efficient catalyst for the ring-opening polymerization of lactide. Chin. J. Cat. 2015, 36, 764–770. [Google Scholar] [CrossRef]
- Routaray, A.; Nath, N.; Maharana, T.; Sutar, A.K. Synthesis and Immortal ROP of L-Lactide Using Copper Complex. J. Macromol. Sci. A 2015, 52, 444–453. [Google Scholar] [CrossRef]
- Lee, J.; Yoon, M.; Lee, H.; Nayab, S. Stereoselective polymerization of methyl methacrylate and rac-lactide mediated by iminomethylpyridine based Cu(II) complexes. RSC Adv. 2020, 10, 16209–16220. [Google Scholar] [CrossRef]
- Arbaoui, A.; Redshaw, C.; Sanchez-Ballester, N.M.; Elsegood, M.R.J.; Hughes, D.L. Bimetallic copper(II) and zinc(II) complexes of acyclic Schiff base ligands derived from amino acids. Inorg. Chim. Acta 2011, 365, 96–102. [Google Scholar] [CrossRef]
- Wang, X.; Zhao, K.-Q.; Elsegood, M.R.J.; Prior, T.J.; Liu, X.; Li, W.; Sanz, S.; Brechin, E.K.; Redshaw, C. Mono- and tetra-nuclear copper complexes bearing bis(imino)phenoxide derived ligands: Catalytic evaluation for benzene oxidation and ROP of ε-caprolactone. RSC Adv. 2015, 5, 57414–57424. [Google Scholar] [CrossRef]
- Redshaw, C.; Elsegood, M.R.J.; Frese, J.W.A.; Ashby, S.; Chao, Y.; Mueller, A. Cellular uptake studies of two hexanuclear, carboxylate bridged, zinc ring structures using fluorescence microscopy. Chem. Commun. 2012, 48, 6627–6629. [Google Scholar] [CrossRef]
- Schafer, P.M.; Herres-Pawlis, S. Robust Guanidine Metal Catalysts for the Ring-Opening Polymerization of Lactide under Industrially Relevant Conditions. Chempluschem 2020, 85, 1044–1052. [Google Scholar] [CrossRef] [PubMed]
- Börner, J.; Flörke, U.; Glöge, T.; Bannenberg, T.; Tamm, M.; Jones, M.D.; Döring, A.; Kuckling, D.; Herres-Pawlis, S. New insights into the lactide polymerisation with neutral N-donor stabilised zinc complexes: Comparison of imidazolin-2-imine vs. guanidine complexes. J. Mol. Cat. A Chem. 2010, 316, 139–145. [Google Scholar] [CrossRef]
- Metz, A.; McKeown, P.; Esser, B.; Gohlke, C.; Kröckert, K.; Laurini, L.; Scheckenbach, M.; McCormick, S.N.; Oswald, M.; Hoffmann, A.; et al. ZnII Chlorido Complexes with Aliphatic, Chiral Bisguanidine Ligands as Catalysts in the Ring-Opening Polymerisation of rac-Lactide Using FT-IR Spectroscopy in Bulk. Eur. J. Inorg. Chem. 2017, 5557–5570. [Google Scholar] [CrossRef]
- Jones, M.D.; Davidson, M.G.; Keir, C.G.; Hughes, L.M.; Mahon, M.F.; Apperley, D.C. Zinc(II) Homogeneous and Heterogeneous Species and Their Application for the Ring-Opening Polymerisation of rac-Lactide. Eur. J. Inorg. Chem. 2009, 635–642. [Google Scholar] [CrossRef]
- Di Iulio, C.; Jones, M.D.; Mahon, M.F.; Apperley, D.C. Zinc(II) Silsesquioxane Complexes and Their Application for the Ring-Opening Polymerization of rac-Lactide. Inorg. Chem. 2010, 49, 10232–10234. [Google Scholar] [CrossRef]
- Ksiazkiewicz, A.N.; Pich, A.; Kögerler, P.; Monakhov, K.Y.; Herres-Pawlis, S. Mononuclear zinc(II) Schiff base complexes as catalysts for the ring-opening polymerization of lactide. Eur. Polym. J. 2020, 122, 109302–109308. [Google Scholar] [CrossRef]
- Darensbourg, D.J.; Karroonnirun, O. Ring-Opening Polymerization of Lactides Catalyzed by Natural Amino-Acid Based Zinc Catalysts. Inorg. Chem. 2010, 49, 2360–2371. [Google Scholar] [CrossRef]
- Rezayee, N.M.; Gerling, K.A.; Rheingold, A.L.; Fritsch, J.M. Synthesis and structures of tridentate ketoiminate zinc complexes bearing trifluoromethyl substituents that act as L-lactide ring opening polymerization initiators. Dalton Trans. 2013, 42, 5573–5586. [Google Scholar] [CrossRef]
- Kirk, S.M.; McKeown, P.; Mahon, M.F.; Kociok-Köhn, G.; Woodman, T.J.; Jones, M.D. Synthesis of ZnII and AlIII Complexes of Diaminocyclohexane-Derived Ligands and Their Exploitation for the Ring Opening Polymerisation of rac-Lactide. Eur. J. Inorg. Chem. 2017, 5417–5426. [Google Scholar] [CrossRef]
- Zhu, D.; Li, Y.; Chen, J.; Song, X. L2Zn and LZnX complexes bearing half-salphen ligands and their catalysis of ring-opening polymerization of ε–caprolactone. J. Organomet. Chem. 2020, 920, 121317–121326. [Google Scholar] [CrossRef]
- González, D.M.; Cisterna, J.; Brito, I.; Roisnel, T.; Hamonc, J.-R.; Manzur, C. Binuclear Schiff-base zinc(II) complexes: Synthesis, crystal structures and reactivity toward ring opening polymerization of rac-lactide. Polyhedron 2019, 162, 91–99. [Google Scholar] [CrossRef]
- Mantri, S.; Routaray, A.; Nath, N.; Sutar, A.K.; Maharana, T. Synthesis, characterization and catalytic activity of zinc complex for ring-opening polymerization of lactide. Polym. Int. 2017, 66, 313–319. [Google Scholar] [CrossRef]
- Romain, C.; Bennington, M.S.; White, A.J.P.; Williams, C.K.; Brooker, S. Macrocyclic Dizinc(II) Alkyl and Alkoxide Complexes: Reversible CO2 Uptake and Polymerization Catalysis Testing. Inorg. Chem. 2015, 54, 11842–11851. [Google Scholar] [CrossRef] [PubMed]
- Thevenon, A.; Romain, C.; Bennington, M.S.; White, A.J.P.; Davidson, H.J.; Brooker, S.; Williams, C.K. Dizinc Lactide Polymerization Catalysts: Hyperactivity by Control of Ligand Conformation and Metallic Cooperativity. Angew. Chem. Int. Ed. 2016, 55, 8680–8685. [Google Scholar] [CrossRef]
- Wang, K.; Prior, T.J.; Redshaw, C. Turning on ROP activity in a bimetallic Co/Zn complex supported by a [2+2] Schiff-base macrocycle. Chem. Commun. 2019, 55, 11279–11282. [Google Scholar] [CrossRef]
- Lee, J.; Lee, H.; Nayab, S.; Yoon, K.B. Synthesis, characterization and polymerisation studies of cadmium(II) complexes containing N,N’,X-tridentate X-substituted (X = N, O) 2-iminomethylpyridines. Polyhedron 2019, 158, 432–440. [Google Scholar] [CrossRef]
- Ni, X.; Zhu, W.; Shen, Z. Controlled Ring-Opening Polymerization of ε-Caprolactone Catalyzed by a Rare Earth Schiff-Base Complex. Chin. J. Cat. 2010, 31, 965–971. [Google Scholar] [CrossRef]
- Although Scandium is a d-block element, it is historically considered a rare earth element.
- Cen, B.; Duan, Y.-X.; Deng, L.-Q.; Wang, Y.-L.; Tao, X.; Shen, Y.-Z. Synthesis and structure characterization of homoleptic lanthanide complexes stabilized by Schiff-base ligands and their application in the polymerization of ε-caprolactone. J. Organomet. Chem. 2018, 857, 191–199. [Google Scholar] [CrossRef]
- Lv, W.; Wang, Y.; Wu, B.; Yao, Y.; Shen, Q. Synthesis, Structure, and Reactivity of Homodinuclear Lanthanide Complexes Bearing Salen-type Schiff-base Ligand. Z. Anorg. Allg. Chem. 2012, 638, 1167–1172. [Google Scholar] [CrossRef]
- Broderick, E.M.; Guo, N.; Wu, T.; Vogel, C.S.; Xu, C.; Sutter, J.; Miller, J.T.; Meyer, K.; Cantat, T.; Diaconescu, P.L. Redox control of a polymerization catalyst by changing the oxidation state of the metal center. Chem. Commun. 2011, 47, 9897–9899. [Google Scholar] [CrossRef]
- Bakewell, C.; Cao, T.-P.-A.; Long, N.; Le Goff, X.F.; Auffrant, A.; Williams, C.K. Yttrium Phosphasalen Initiators for rac-Lactide Polymerization: Excellent Rates and High Iso-Selectivities. J. Am. Chem. Soc. 2012, 134, 20577–20580. [Google Scholar] [CrossRef] [PubMed]
- Bakewell, C.; White, A.J.P.; Long, N.J.; Williams, C.K. Scandium and Yttrium Phosphasalen Complexes as Initiators for Ring-Opening Polymerization of Cyclic Esters. Inorg. Chem. 2015, 54, 2204–2212. [Google Scholar] [CrossRef]
- Cui, Y.; Gu, W.; Wang, Y.; Zhao, B.; Yao, Y.; Shen, Q. Synthesis and characterization of rare-earth metal complexes supported by a new pentadentate Schiff base and their application in heteroselective polymerization of rac-lactide. Catal. Sci. Technol. 2015, 5, 3302–3312. [Google Scholar] [CrossRef]
- Alaaeddine, A.; Thomas, C.M.; Roisnel, T.; Carpentier, J.-F. Aluminum and Yttrium complexes of an unsymmetrical mixed fluorous alkoxy/phenoxy-diimino ligand: Synthesis, structure, and ring-opening polymerization catalysis. Organometallics 2009, 28, 1469–1475. [Google Scholar] [CrossRef]
- Wei, Y.; Wang, S.; Zhou, S. Aluminum alkyl complexes: Synthesis, structure, and application in ROP of cyclic esters”. Dalton Trans. 2016, 45, 4471–4485. [Google Scholar] [CrossRef] [PubMed]
- Fuoco, T.; Pappalardo, D. Aluminum Alkyl Complexes Bearing Salicylaldiminato Ligands: Versatile Initiators in the Ring-Opening Polymerization of Cyclic Esters. Catalysts 2017, 7, 64. [Google Scholar] [CrossRef]
- Spassky, N.; Wisniewski, M.; Pluta, C.; LeBorgne, A. Highly stereoelective polymerization of rac-(D, L)-lactide with a chiral schiff’s base/aluminium alkoxide initiator. Macromol. Chem. Phys. 1996, 197, 2627–2637. [Google Scholar] [CrossRef]
- Zhong, Z.Y.; Dijkstra, P.J.; Feijen, J. [(salen)Al]-Mediated, Controlled and Stereoselective Ring-Opening Polymerization of Lactide in Solution and without Solvent: Synthesis of Highly Isotactic Polylactide Stereocopolymers from Racemic D, L-Lactide. Angew. Chem. Int. Ed. 2002, 41, 4510–4513. [Google Scholar] [CrossRef]
- Zhong, Z.; Dijkstra, P.J.; Feijen, J. Controlled and Stereoselective Polymerization of Lactide: Kinetics, Selectivity, and Microstructures. J. Am. Chem. Soc. 2003, 125, 11291–11298. [Google Scholar] [CrossRef]
- Nomura, N.; Ishii, R.; Akakura, M.; Aoi, K. Stereoselective Ring-Opening Polymerization of Racemic Lactide Using Aluminum-Achiral Ligand Complexes: Exploration of a Chain-End Control Mechanism. J. Am. Chem. Soc. 2002, 124, 5938–5939. [Google Scholar] [CrossRef]
- Cross, E.D.; Allan, L.E.N.; Decken, A.; Shaver, M.P. Aluminum salen and salan complexes in the ring-opening polymerization of cyclic esters: Controlled immortal and copolymerization of rac-β-butyrolactone and rac-lactide. J. Polym. Sci. Part A Polym. Chem. 2013, 51, 1137–1146. [Google Scholar] [CrossRef]
- Nomura, N.; Ishii, R.; Yamamoto, Y.; Kondo, T. Stereoselective Ring-Opening Polymerization of a Racemic Lactide by Using Achiral Salen– and Homosalen–Aluminum Complexes. Chem. Eur. J. 2007, 13, 4433–4451. [Google Scholar] [CrossRef] [PubMed]
- Chen, H.-L.; Dutta, S.; Huang, P.-Y.; Lin, C.-C. Preparation and Characterization of Aluminum Alkoxides Coordinated on salen-Type Ligands: Highly Stereoselective Ring-Opening Polymerization of rac-Lactide. Organometallics 2012, 31, 2016–2025. [Google Scholar] [CrossRef]
- Pilone, A.; Press, K.; Goldberg, I.; Kol, M.; Mazzeo, M.; Lamberti, M. Gradient Isotactic Multiblock Polylactides from Aluminum Complexes of Chiral Salalen Ligands. J. Am. Chem. Soc. 2014, 136, 2940–2943. [Google Scholar] [CrossRef] [PubMed]
- McKeown, P.; Davidson, M.G.; Kociok-Köhn, G.; Jones, M.D. Aluminium salalens vs. salans: “Initiator Design” for the isoselective polymerisation of rac-lactide. Chem. Commun. 2016, 52, 10431–10434. [Google Scholar] [CrossRef]
- Wei, Y.; Song, L.; Jiang, L.; Huang, Z.; Wang, S.; Yuan, Q.; Mu, X.; Zhua, X.; Zhou, S. Aluminum complexes with Schiff base bridged bis(indolyl) ligands: Synthesis, structure, and catalytic activity for polymerization of rac-lactide. Dalton Trans. 2019, 48, 15290–15299. [Google Scholar] [CrossRef]
- Payne, J.; McKeown, P.; Kociok-Köhn, G.; Jones, M.D. Novel hybrid aluminium(III)–catalen complexes as highly active catalysts for lactide polymerisation: Towards industrial relevance. Chem. Commun. 2020, 56, 7163–7166. [Google Scholar] [CrossRef]
- Arbaoui, A.; Redshaw, C.; Hughes, D.L. Multinuclear alkylaluminium macrocyclic Schiff base complexes: Influence of procatalyst structure on the ring opening polymerization of ε-caprolactone. Chem. Commun. 2008, 4717–4719. [Google Scholar] [CrossRef]
- Wang, X.; Zhao, K.-Q.; Al-Khafaji Mo, S.; Prior, T.J.; Elsegood, M.R.J.; Redshaw, C. Organoaluminium Complexes Derived from Anilines or Schiff Bases for the Ring-Opening Polymerization of ε-Caprolactone, δ-Valerolactone and rac-Lactide. Eur. J. Inorg. Chem. 2017, 1951–1965. [Google Scholar] [CrossRef]
- Zhang, W.; Wang, Y.; Sun, W.-H.; Wang, L.; Redshaw, C. Dimethylaluminium aldiminophenolates: Synthesis, characterization and ring-opening polymerization behavior towards lactides. Dalton Trans. 2012, 41, 11587–11596. [Google Scholar] [CrossRef]
- Iwasa, N.; Fujiki, M.; Nomura, K. Ring-opening polymerization of various cyclic esters by Al complex catalysts containing a series of phenoxy-imine ligands: Effect of the imino substituents for the catalytic activity. J. Mol. Catal. A Chem. 2008, 292, 67–75. [Google Scholar] [CrossRef]
- Han, H.-L.; Liu, Y.; Liu, J.-Y.; Nomura, K.; Li, Y.-S. Synthesis of binuclear phenoxyimino organoaluminum complexes and their use as the catalyst precursors for efficient ring-opening polymerisation of ε-caprolactone. Dalton Trans. 2013, 42, 12346–12353. [Google Scholar] [CrossRef] [PubMed]
- Normand, M.; Dorcet, V.; Kirillov, E.; Carpentier, J.-F. {Phenoxy-imine}aluminum versus -indium Complexes for the Immortal ROP of Lactide: Different Stereocontrol, Different Mechanisms. Organometallics 2013, 32, 1694–1709. [Google Scholar] [CrossRef]
- Liu, Y.; Dong, W.-S.; Liu, J.-Y.; Li, Y.-S. Living ring-opening homo- and copolymerization of ε-caprolactone and L-lactide by cyclic β-ketiminato aluminium complexes. Dalton Trans. 2014, 43, 2244–2252. [Google Scholar] [CrossRef]
- Nie, K.; Wang, C.; Cheng, X.; Li, J.; Han, Y.; Yao, Y. Unbridged bidentate aluminum complexes supported by diaroylhydrazone ligands: Synthesis, structure and catalysis in polymerization of ε-caprolactone and lactides”. Appl. Organometal. Chem. 2020, 34, e5627. [Google Scholar] [CrossRef]
- Huang, T.-W.; Su, R.-R.; Lin, Y.-C.; Lai, H.-Y.; Yang, C.-Y.; Senadi, G.C.; Lai, Y.-C.; Chiang, M.Y.; Chen, H.-Y. Improvement in aluminum complexes bearing a Schiff base in ring-opening polymerization of ε-caprolactone: The synergy of the N,S-Schiff base in a five-membered ring aluminum system. Dalton Trans. 2018, 47, 15565–15573. [Google Scholar] [CrossRef]
- Yu, X.-F.; Wang, Z.-X. Dinuclear aluminum complexes supported by amino- or imino-phenolate ligands: Synthesis, structures, and ring-opening polymerization catalysis of rac-lactide. Dalton Trans. 2013, 42, 3860–3868. [Google Scholar] [CrossRef]
- Shi, T.; Zheng, Q.-D.; Zuo, W.-W.; Liu, S.-F.; Li, Z.-B. Bimetallic Aluminum Complexes Supported by Bis(salicylaldimine) Ligand: Synthesis, Characterization and Ring-opening Polymerization of Lactide. Chin. J. Polym. Sci. 2018, 36, 149–156. [Google Scholar] [CrossRef]
- Sun, W.-H.; Shen, M.; Zhang, W.; Huang, H.; Liu, S.; Redshaw, C. Methylaluminium 8-quinolinolates: Synthesis, characterization and use in ring-opening polymerization (ROP) of ε-caprolactone. Dalton Trans. 2011, 40, 2645–2653. [Google Scholar] [CrossRef]
- Pang, X.; Gao, B.; Li, D.; Li, X.; Duan, R.; Cui, Y.; Duan, Q.; Chen, X. Preparations of Biocompatible, Biodegradable and Sustainable Polylactides Catalysed by Aluminum Complexes Bearing Unsymmetrical Dinaphthalene-imine Derivatives via the Ring-Opening Polymerization of Lactides. Catal. Sci. Technol. 2015, 5, 4644–4652. [Google Scholar] [CrossRef]
- Zhao, W.; Wang, Q.; Cui, Y.; He, J.; Zhang, Y. Living/controlled ring-opening (co)polymerization of lactones by Al-based catalysts with different sidearms. Dalton Trans. 2019, 48, 7167–7178. [Google Scholar] [CrossRef] [PubMed]
- Darensbourg, D.J.; Karroonnirun, O. Stereoselective Ring-Opening Polymerization of rac-Lactides Catalyzed by Chiral and Achiral Aluminum Half-Salen Complexes. Organometallics 2010, 29, 5627–5634. [Google Scholar] [CrossRef]
- Maudoux, N.; Roisnel, T.; Dorcet, V.; Carpentier, J.-F.; Sarazin, Y. Chiral (1,2)-Diphenylethylene-Salen Complexes of Triel Metals: Coordination Patterns and Mechanistic Considerations in the Isoselective ROP of Lactide. Chem. Eur. J. 2014, 20, 6131–6147. [Google Scholar] [CrossRef]
- Whitelaw, E.L.; Loraine, G.; Mahon, M.F.; Jones, M.D. Salalen aluminium complexes and their exploitation for the ring opening polymerisation of rac-lactide. Dalton Trans. 2011, 40, 11469–11473. [Google Scholar] [CrossRef] [PubMed]
- Hancock, S.L.; Mahon, M.F.; Jones, M.D. Aluminium salalen complexes based on 1,2-diaminocyclohexane and their exploitation for the polymerisation of rac-lactide. Dalton Trans. 2013, 42, 9279–9285. [Google Scholar] [CrossRef] [PubMed][Green Version]
- McKeown, P.; Davidson, M.G.; Lowe, J.P.; Mahon, M.F.; Thomas, L.H.; Woodman, T.J.; Jones, M.D. Aminopiperidine based complexes for lactide polymerization. Dalton Trans. 2016, 45, 5374–5387. [Google Scholar] [CrossRef]
- Luo, W.; Shi, T.; Liu, S.; Zuo, W.; Li, Z. Well-Designed Unsymmetrical Salphen-Al Complexes: Synthesis, Characterization, and Ring-Opening Polymerization Catalysis. Organometallics 2017, 36, 1736–1742. [Google Scholar] [CrossRef]
- Pang, X.; Du, H.; Chen, X.; Wang, X.; Jing, X. Enolic Schiff Base Aluminum Complexes and Their Catalytic Stereoselective Polymerization of Racemic Lactide. Chem. Eur. J. 2008, 14, 3126–3136. [Google Scholar] [CrossRef]
- Huang, H.-C.; Wang, B.; Chen, X.-L.; Pan, L.; Li, Y.-S. Ring-Opening Polymerization of (Macro)Lactones by Highly Active Mononuclear Salen–Aluminum Complexes Bearing Cyclic β-Ketoiminato Ligand. J. Polym. Sci. Part A Polym. Chem. 2019, 57, 973–981. [Google Scholar] [CrossRef]
- Pang, X.; Duan, R.; Li, X.; Sun, Z.; Zhang, H.; Wang, X.; Chen, X. Highly stereoselective bimetallic complexes for lactide and ε-caprolactone polymerization. RSC Adv. 2014, 4, 57210–57217. [Google Scholar] [CrossRef]
- Isnard, F.; Lamberti, M.; Lettieri, L.; D’auria, I.; Press, K.; Troiano, R.; Mazzeo, M. Bimetallic salen aluminum complexes: Cooperation between reactive centers in the ring opening polymerization of lactides and epoxides. Dalton Trans. 2016, 45, 16001–16010. [Google Scholar] [CrossRef] [PubMed]
- Isnard, F.; Carratù, M.; Lamberti, M.; Venditto, V.; Mazzeo, M. Copolymerization of cyclic esters, epoxides and anhydrides: Evidence of the dual role of the monomers in the reaction mixture. Catal. Sci. Technol. 2018, 8, 5034–5043. [Google Scholar] [CrossRef]
- Santulli, F.; D’Auria, I.; Boggioni, L.; Losio, S.; Proverbio, M.; Costabile, C.; Mazzeo, M. Bimetallic Aluminum Complexes Bearing Binaphthyl-Based Iminophenolate Ligands as Catalysts for the Synthesis of Polyesters. Organometallics 2020, 39, 1213–1220. [Google Scholar] [CrossRef]
- Nottelet, B.; Coudane, J.; Vert, M. Synthesis of an X-ray opaque biodegradable copolyester by chemical modification of poly (epsilon-caprolactone). Biomaterials 2006, 27, 4948–4954. [Google Scholar] [CrossRef]
- Riva, R.; Schmeits, S.; Jérôme, C.; Jérôme, R.; Lecomte, P. Combination of Ring-Opening Polymerization and “Click Chemistry”: Toward Functionalization and Grafting of Poly(ε-caprolactone). Macromolecules 2007, 40, 796–803. [Google Scholar] [CrossRef]
- Yu, L.; Zhang, M.; Du, F.-S.; Li, Z.-C. ROS-responsive poly(ε-caprolactone) with pendent thioether and selenide motifs. Polym. Chem. 2018, 9, 3762–3773. [Google Scholar] [CrossRef]
- Cameron, D.J.A.; Shaver, M.P. Control of thermal properties and hydrolytic degradation in poly(lactic acid) polymer stars through control of isospecificity of polymer arms. J. Polym. Sci. Part A Polym. Chem. 2012, 50, 1477–1484. [Google Scholar] [CrossRef]
- Bolley, A.; Mameri, S.; Dagorne, S. Controlled and highly effective ring-opening polymerization of α-chloro-ε-caprolactone using Zn- and Al-based catalysts. J. Polym. Sci. Part A Polym. Chem. 2020, 58, 1197–1206. [Google Scholar] [CrossRef]
- Yang, W.; Zhao, K.-Q.; Prior, T.J.; Hughes, D.L.; Arbaoui, A.; Elsegood, M.R.J.; Redshaw, C. Structural studies of Schiff-base [2 + 2] macrocycles derived from 2,2’-oxydianiline and the ROP capability of their organoaluminium complexes. Dalton Trans. 2016, 45, 11990–12005. [Google Scholar] [CrossRef]
- Specklin, D.; Fliedel, C.; Hild, F.; Mameri, S.; Karmazin, L.; Bailly, C.; Dagorne, S. Mononuclear salen-gallium complexes for iso-selective ring-opening polymerization (ROP) of rac-lactide. Dalton Trans. 2017, 46, 12824–12834. [Google Scholar] [CrossRef]
- Kremer, A.B.; Andrews, R.J.; Milner, M.J.; Zhang, X.R.; Ebrahimi, T.; Patrick, B.O.; Diaconescu, P.L.; Mehrkhodavandi, P. A Comparison of Gallium and Indium Alkoxide Complexes as Catalysts for Ring-Opening Polymerization of Lactide. Inorg. Chem. 2017, 56, 1375–1385. [Google Scholar] [CrossRef]
- Ghosh, S.; Gowda, R.R.; Jagana, R.; Chakraborty, D. Gallium and indium complexes containing the bis(imino)phenoxide ligand: Synthesis, structural characterization and polymerization studies. Dalton Trans. 2015, 44, 10410–10422. [Google Scholar] [CrossRef] [PubMed]
- Osten, K.M.; Mehrkhodavandi, P. Indium Catalysts for Ring Opening Polymerization: Exploring the Importance of Catalyst Aggregation. Acc. Chem. Res. 2017, 50, 2861–2869. [Google Scholar] [CrossRef] [PubMed]
- Aluthge, D.C.; Patrick, B.O.; Mehrkhodavandi, P. A highly active and site selective indium catalyst for lactide polymerization. Chem. Commun. 2013, 49, 4295–4297. [Google Scholar] [CrossRef] [PubMed]
- Aluthge, D.C.; Ahn, J.M.; Mehrkhodavandi, P. Overcoming aggregation in indium salen catalysts for isoselective lactide polymerization. Chem. Sci. 2015, 6, 5284–5292. [Google Scholar] [CrossRef]
- Goonesinghe, C.; Roshandel, H.; Diaz, C.; Jung, H.-J.; Nyamayaro, K.; Ezhova, M.; Mehrkhodavandi, P. Cationic indium catalysts for ring opening polymerization: Tuning reactivity with hemilabile ligands. Chem. Sci. 2020, 11, 6485–6491. [Google Scholar] [CrossRef]
- Piromjitpong, P.; Ratanapanee, P.; Thumrongpatanaraks, W.; Kongsaeree, P.; Phomphrai, K. Synthesis of cyclic polylactide catalysed by bis(salicylaldiminato)tin(II) complexes. Dalton Trans. 2012, 41, 12704–12710. [Google Scholar] [CrossRef]
- Wongmahasirikun, P.; Prom-on, P.; Sangtrirutnugul, P.; Kongsaeree, P.; Phomphrai, K. Synthesis of cyclic polyesters: Effects of alkoxy side chains in salicylaldiminato tin(II) complexes. Dalton Trans. 2015, 44, 12357–12364. [Google Scholar] [CrossRef]
- He, M.; Cheng, Y.; Liang, Y.; Xia, M.; Leng, X.; Wang, Y.; Wei, Z.; Zhang, W.; Li, Y. Amino acid complexes with tin as a new class of catalysts with high reactivity and low toxicity towards biocompatible aliphatic polyesters. Polym. J. 2020, 52, 567–574. [Google Scholar] [CrossRef]











































| Run | Catalyst | Time (Min) | Conv. (%)a | Mn(calc.) (Da)b | Mn(GPC) (Da)c | Mw/Mnc |
|---|---|---|---|---|---|---|
| 1d | 1-Li | 90 | 52 | 7600 | 4700 | 1.16 |
| 2d | 2-Li | 90 | 45 | 3300 | 6400 | 1.29 |
| 3d | 3-Li | 40 | 88 | 6500 | 16,200 | 1.46 |
| 4d | 4-Li | 90 | 10 | 830 | 2100 | 1.14 |
| 5d | 5-Li | 90 | 76 | 5600 | 10,000 | 1.33 |
| 6d | 6-Li | 36 | 90 | 6600 | 15,200 | 1.31 |
| 7e | 1-Na | 1 | 95 | 13,700 | 14,200 | 1.44 |
| 8e | 2-Na | 1 | 91 | 13,200 | 9000 | 1.82 |
| 9e | 3-Na | 0.5 | 99 | 14,400 | 13,400 | 1.68 |
| 10e | 4-Na | 40 | 93 | 13,500 | 9000 | 1.21 |
| 11e | 5-Na | 2 | 94 | 13,700 | 12,000 | 1.48 |
| 12e | 6-Na | 1 | 99 | 14,400 | 13,100 | 1.58 |
| 13f | 1-Na | 15 | 92 | 26,500 | 16,000 | 1.50 |
| 14f | 2-Na | 130 | 86 | 25,000 | 13,400 | 1.37 |
| 15f | 3-Na | 2 | 99 | 28,600 | 23,200 | 1.36 |
| 16f | 4-Na | 27.5 h | 70 | 20,300 | 11,800 | 1.18 |
| 17f | 5-Na | 90 | 82 | 23,900 | 14,400 | 1.38 |
| 18f | 6-Na | 15 | 88 | 25,400 | 15,500 | 1.51 |
| Run | Monomer | Catalyst | Time (Min) | Conv. (%) | Mn (Da) | Mn(calc.)a (Da) | Mw/Mn |
|---|---|---|---|---|---|---|---|
| 1 | ε-CL | 7 | 15 | 68 | 32,841 | 7922 | 1.73 |
| 2 | 9 | 15 | 81 | 21,544 | 9406 | 1.80 | |
| 3 | 10 | 15 | 72 | 32,583 | 8218 | 1.72 | |
| 4 | r-LA | 7 | 240 | 54 | 8321 | 7943 | 1.20 |
| 5 | 9 | 240 | 47 | 5987 | 6934 | 1.20 | |
| 6 | 10 | 240 | 58 | 8986 | 8520 | 1.12 |
| Run | [M]:[C]a | Temperature (°C) | Time (h) | 103 (Da)b | 103 (Da)c | Yield (%)d | Mw/Mn |
|---|---|---|---|---|---|---|---|
| 1 | - | 150 | 24 | - | - | - | - |
| 2 | 653:1 | 150 | 24 | 31.66 | 42.12 | 96 | 1.33 |
| 3 | 653:1 | 125 | 24 | 22.96 | 34.55 | 94 | 1.52 |
| 4 | 1308:1 | 150 | 24 | 27.38 | 36.00 | 95 | 1.31 |
| 5 | 2612:1 | 150 | 24 | 14.11 | 22.71 | 92 | 1.60 |
| 6 | 3265:1 | 150 | 24 | 9.4 | 15.15 | 93 | 1.61 |
| 7 | 366:1a* | 150 | 24 | 1.46 | 1.77 | 74 | 1.20 |
| 8 | 517:1a** | 150 | 24 | 6.31 | 9.83 | 84 | 1.55 |
| Entry | Catalyst | Monomera | Time (Min) | Conv. (%)b | Mn (kDa)c | Mn(calc.) (kDa)d | Mw/Mnc | Pre |
|---|---|---|---|---|---|---|---|---|
| 1 | 27 | ε-CL | 10 | 93 | 20.45 | 22.90 | 1.19 | - |
| 2 | 28 | 9 | 96 | 20.98 | 22.90 | 1.15 | ||
| 3 | 29 | 4 | 97 | 21.18 | 22.90 | 1.12 | ||
| 4 | 27 | r-LA | 21 | 92 | 25.42 | 28.90 | 1.17 | 0.62 |
| 5 | 28 | 15 | 96 | 25.07 | 28.90 | 1.15 | 0.69 | |
| 6 | 29 | 8 | 98 | 28.15 | 28.90 | 1.14 | 0.68 |
| Runa | Catalyst | Conv. (%)b | Mn(calc.) (Da) | Mn(GPC) (Da)c | Mw/Mn |
|---|---|---|---|---|---|
| 1 | 39 | 57 | 26,024 | 10,751 | 1.4 |
| 2 | 40 | 47 | 21,458 | 8640 | 1.4 |
| 3 | 41 | 24 | 10,960 | 7977 | 1.2 |
| 4 | 42 | 33 | 15,070 | 9249 | 1.2 |
| 5 | 43 | 48 | 21,900 | 10,080 | 1.4 |
| 6 | 44 | 70 | 31,960 | 11,010 | 2.3 |
| 7 | 45 | 72 | 32,870 | 4973 | 1.2 |
| 8 | 46 | 100 | 45,660 | 4060 | 1.1 |
| 9 | 47 | 87 | 39,720 | 13,670 | 1.3 |
| 10 | 48 | 93 | 42,460 | 14,260 | 1.1 |
| 11 | 49 | 97 | 44,290 | 21,340 | 1.1 |
| 12 | 50 | 19 | 8670 | - | - |
| 13 | 51 | 93 | 42,460 | 13,290 | 1.2 |
| 14 | 52 | 94 | 42,920 | 4790 | 1.1 |
| 15 | 53 | 3 | 1370 | 4560 | 1.4 |
| Run | Catalyst | Temperature (°C) | Time (h) | Yield (%)a | TOF (h−1)b | Mw (kDa) | Mw/Mn |
|---|---|---|---|---|---|---|---|
| 1 | 55 | 150 | 5 | 6 | 12 | 20 | 2.0 |
| 2 | 55 | 150 | 24 | 30 | 12 | 25 | 2.6 |
| 3 | 56 | 125 | 5 | 35 | 70 | 71 | 1.9 |
| 4 | 56 | 150 | 15 | 86 | 57 | 107 | 1.9 |
| 5 | 56 | 150 | 24 | >99 | 41 | 108 | 1.9 |
| 6 | 57 | 150 | 5 | 28 | 56 | 68 | 2.2 |
| 7 | 58 | 150 | 5 | 31 | 62 | 70 | 2.1 |
| Runa | Catalyst | Lactide/Zn | Time (h) | Conv. (%)b | Mn(calc.) (kDa)c | Mn(obs) (kDa)d | Mw/Mn |
|---|---|---|---|---|---|---|---|
| 1 | 125 | 500 | 3 | 100 | 72.0 | 71.7 | 1.22 |
| 2 | 126 | 500 | 3 | 100 | 72.0 | 55.8 | 1.54 |
| 3 | 127 | 500 | 6 | 60 | 43.2 | 58.7 | 1.27 |
| 4 | 128 | 500 | 6 | 12 | 8.6 | 99.9 | 1.15 |
| 5 | 129 | 500 | 3 | 100 | 72 | 73.4 | 1.08 |
| 6 | 130 | 500 | 3 | 100 | 72 | 105.8 | 1.14 |
| 7 | 131 | 500 | 24 | 5 | 3.6 | 191.4 | 1.08 |
| Run | Catalyst | Al:BnOH:Cl/a | Time (Min) | Conv. (%) | 10−4 | 10−4 | Mw/Mnc |
|---|---|---|---|---|---|---|---|
| 1 | 218 | 1:1:250 | 30 | Trace | - | - | - |
| 2 | 219 | 1:1:250 | 10 | 100 | 2.86 | 3.06 | 1.16 |
| 6d | 219 | 1:1:250 | 10 + 10 | 100 | 5.91 | 1.24 | |
| 7 | 220 | 1:1:250 | 10 | 70 | 2.01 | 2.37 | 1.25 |
| 8 | 220 | 1:1:250 | 20 | 100 | 2.86 | 3.42 | 1.28 |
| 9 | 221 | 1:1:250 | 30 | 75 | 2.15 | 2.72 | 1.67 |
| 10 | 222 | 1:1:250 | 30 | 100 | 2.86 | 3.74 | 1.80 |
| Entry | Catalyst | Time (Min) | Conv. (%)a | Mn(calc.) (Da)b | Mn(NMR) (Da)a | Mn(gpc) (Da)c | Mw/Mnc | kobs(error) (min−1) d | Induction Period (Min) |
|---|---|---|---|---|---|---|---|---|---|
| 1 | 239 | 12 | 96 | 5600 | 4800 | 5900 | 1.26 | 0.284(12) | 0.8 |
| 2 | 240 | 12 | 92 | 5400 | 5600 | 7800 | 1.19 | 0.260(17) | 1.8 |
| 3 | 242 | 20 | 92 | 5400 | 5200 | 6400 | 1.23 | 0.136(4) | 0.9 |
| 4 | 243 | 25 | 95 | 5500 | 7900 | 8100 | 1.23 | 0.115(8) | 0.8 |
| 5 | 241 | 25 | 90 | 5200 | 5500 | 5200 | 1.21 | 0.105(4) | 2.6 |
| Run | Catalyst | Time (Days) | Conv. (%)a | Mnb | Mw/Mnb | Prc |
|---|---|---|---|---|---|---|
| 1 | 291-Me | 4 | 42 | 8950 | 1.06 | 0.49 |
| 2 | 291-OBn | 4 | 26 | 3750 | 1.08 | 0.54 |
| 3 | 292-Me | 4 | 71 | 12,200 | 1.07 | 0.65 |
| 4 | 292-OBn | 4 | 91 | 19,550 | 1.12 | 0.61 |
| 5 | 293-Me | 4 | 97 | 17,150 | 1.35 | 0.60 |
| 6 | 293-OBn | 4 | 99 | 17,000 | 1.18 | 0.69 |
| 7 | 294-Me | 4 | 83 | 7700 | 1.06 | 0.57 |
| 8 | 294-OBn | 10 | 40 | 6400 | 1.08 | 0.42 |
| 9 | 295-OBn | 4 | 96 | 24,600 | 1.12 | 0.56 |
| 10 | 296-OBn | 4 | 96 | 19,900 | 1.27 | 0.54 |
| 11 | 297-Me | 4 | 61 | 7100 | 1.07 | 0.54 |
| 12 | 297-OBn | 10 | 49 | 8300 | 1.06 | 0.31 |
| 13 | 298-OBn | 4 | 96 | 14,600 | 1.67 | 0.54 |
| 14 | 299-OBn | 4 | 99 | 19,350 | 1.15 | 0.73 |
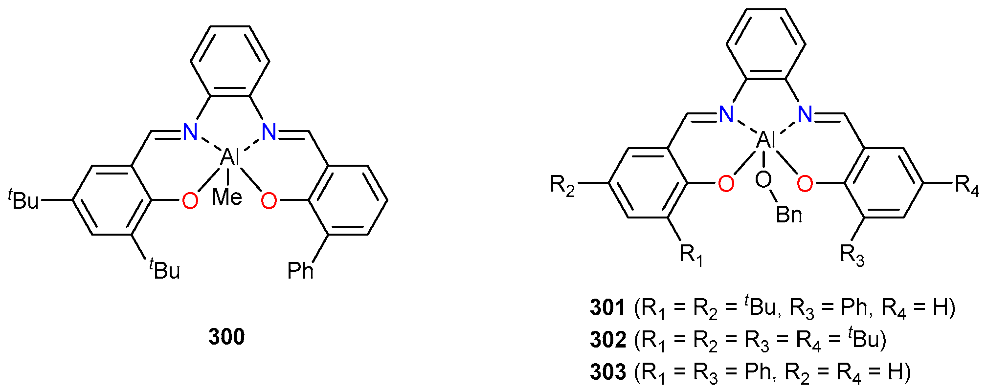
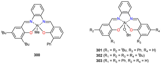
| Entrya | Catalyst | Time (h) | Conv. (%)a | Mnb | Mn(calc.)c | Mw/Mnb | Pid |
|---|---|---|---|---|---|---|---|
| 1 | 300e | 24 | 75 | 9200 | 5500 | 1.24 | 78 |
| 2 | 301 | 12 | 95 | 6700 | 6900 | 1.12 | 77 |
| 3 | 302 | 24 | 85 | 6800 | 6200 | 1.13 | 79 |
| 4 | 303 | 12 | 95 | 6800 | 6900 | 1.12 | 68 |
© 2020 by the authors. Licensee MDPI, Basel, Switzerland. This article is an open access article distributed under the terms and conditions of the Creative Commons Attribution (CC BY) license (http://creativecommons.org/licenses/by/4.0/).
Share and Cite
Santoro, O.; Zhang, X.; Redshaw, C. Synthesis of Biodegradable Polymers: A Review on the Use of Schiff-Base Metal Complexes as Catalysts for the Ring Opening Polymerization (ROP) of Cyclic Esters. Catalysts 2020, 10, 800. https://doi.org/10.3390/catal10070800
Santoro O, Zhang X, Redshaw C. Synthesis of Biodegradable Polymers: A Review on the Use of Schiff-Base Metal Complexes as Catalysts for the Ring Opening Polymerization (ROP) of Cyclic Esters. Catalysts. 2020; 10(7):800. https://doi.org/10.3390/catal10070800
Chicago/Turabian StyleSantoro, Orlando, Xin Zhang, and Carl Redshaw. 2020. "Synthesis of Biodegradable Polymers: A Review on the Use of Schiff-Base Metal Complexes as Catalysts for the Ring Opening Polymerization (ROP) of Cyclic Esters" Catalysts 10, no. 7: 800. https://doi.org/10.3390/catal10070800
APA StyleSantoro, O., Zhang, X., & Redshaw, C. (2020). Synthesis of Biodegradable Polymers: A Review on the Use of Schiff-Base Metal Complexes as Catalysts for the Ring Opening Polymerization (ROP) of Cyclic Esters. Catalysts, 10(7), 800. https://doi.org/10.3390/catal10070800

