CFD Simulations of Radiative Heat Transport in Open-Cell Foam Catalytic Reactors
Abstract
1. Introduction
2. Results and Discussion
2.1. Model Verification
2.2. Quantification of Heat Flows and Temperature Distributions
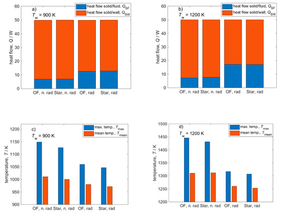
2.2.1. Influence of the Wall Temperature and Solid Thermal Conductivity
2.2.2. Influence of the Superficial Velocity
2.2.3. Comparison with a Homogeneous Model
2.2.4. Influence of the Surface Emissivity
3. Materials and Methods
3.1. General Model and Meshing
3.2. Governing Equations and Thermal Radiation Modeling
4. Conclusions
Author Contributions
Funding
Conflicts of Interest
Appendix A. Geometrical Foam Properties
| Parameter | Symbol | Value |
|---|---|---|
| pore count | 10 ppi | |
| open porosity | ε0 | 0.77 |
| specific surface area | SV | 521.3 m−1 |
| cell diameter | dc | 5.76 ± 1.9 mm |
| window diameter | dw | 3.3 ± 0.9 mm |
| strut diameter | ds | 1.5 ± 0.5 mm |
Appendix B. Geometry for Verification

Appendix C. Analysis of P1 and fvDOM Radiation Models for Suitability in Open-Cell Foams

List of Symbols
| Latin | |
| cp | Isobaric heat capacity, J Kg−1 K−1 |
| dc | Cell diameter, m |
| ds | Strut diameter, m |
| dw | Window diameter, m |
| Erel | Relative error of heat flow, - |
| I | Intensity, W m−2 sr−1 |
| L | Cube dimensions, m |
| Q | Heat flow, W |
| QSF | Heat flow solid to fluid, W |
| QSW | Heat flow solid to wall, W |
| h | Specific enthalpy, J |
| p | Pressure, Pa |
| r | Position vector, - |
| s | Direction vector, - |
| S | Total heat source intensity, W |
| Sv | Specific surface area, m−1 |
| T | Temperature, K |
| Tw | Wall temperature, K |
| Tmax | Maximum temperature, K |
| Tmean | Mean temperature, K |
| U | Velocity, m s−1 |
| v | Superficial velocity, m s−1 |
| Greek | |
| α | Degree of absorption, - |
| γ | Degree of reflection, - |
| τ | Degree of transmission, - |
| Ω | Solid angle, sr |
| κ | Absorption coefficient, m−1 |
| σs | Scattering coefficient, m−1 |
| ε0 | Open porosity, - |
| ε | Surface emissivity, - |
| μ | Dynamic viscosity, Pa s |
| λ | Thermal conductivity, W m−1 K−1 |
References
- Kiewidt, L.; Thöming, J. Predicting optimal temperature profiles in single-stage fixed-bed reactors for CO2-methanation. Chem. Eng. Sci. 2015, 132, 59–71. [Google Scholar] [CrossRef]
- Rönsch, S.; Schneider, J.; Matthischke, S.; Schluter, M.; Götz, M.; Lefebvre, J.; Prabhakaran, P.; Bajohr, S. Review on methanation—From fundamentals to current projects. Fuel 2016, 166, 276–296. [Google Scholar] [CrossRef]
- Kalz, K.F.; Kraehnert, R.; Dvoyashkin, M.; Dittmeyer, R.; Gläser, R.; Krewer, U.; Reuter, K.; Grunwaldt, J.-D. Future Challenges in Heterogeneous Catalysis: Understanding Catalysts under Dynamic Reaction Conditions. ChemCatChem 2016, 9, 17–29. [Google Scholar] [CrossRef]
- Solomon, A.; Kammen, D.M.; Callaway, D. The role of large-scale energy storage design and dispatch in the power grid: A study of very high grid penetration of variable renewable resources. Appl. Energy 2014, 134, 75–89. [Google Scholar] [CrossRef]
- Kiewidt, L.; Thöming, J. Pareto-optimal design and assessment of monolithic sponges as catalyst carriers for exothermic reactions. Chem. Eng. J. 2019, 359, 496–504. [Google Scholar] [CrossRef]
- Kiewidt, L.; Thöming, J. Multiscale modeling of monolithic sponges as catalyst carrier for the methanation of carbon dioxide. Chem. Eng. Sci. X 2019, 2, 100016. [Google Scholar] [CrossRef]
- Graf, I.; Rühl, A.-K.; Kraushaar-Czarnetzki, B. Experimental study of heat transport in catalytic sponge packings by monitoring spatial temperature profiles in a cooled-wall reactor. Chem. Eng. J. 2014, 244, 234–242. [Google Scholar] [CrossRef]
- Reitzmann, A.; Patcas, F.C.; Kraushaar-Czarnetzki, B. Keramische Schwämme—Anwendungspotenzial monolithischer Netzstrukturen als katalytische Packungen. Chem. Ing. Tech. 2006, 78, 885–898. [Google Scholar] [CrossRef]
- Meinicke, S.; Dubil, K.; Wetzel, T.; Dietrich, B. Characterization of heat transfer in consolidated, highly porous media using a hybrid-scale CFD approach. Int. J. Heat Mass Transf. 2020, 149, 119201. [Google Scholar] [CrossRef]
- Bianchi, E.; Heidig, T.; Visconti, C.G.; Groppi, G.; Freund, H.; Tronconi, E. Heat transfer properties of metal foam supports for structured catalysts: Wall heat transfer coefficient. Catal. Today 2013, 216, 121–134. [Google Scholar] [CrossRef]
- Razza, S.; Heidig, T.; Bianchi, E.; Groppi, G.; Schwieger, W.; Tronconi, E.; Freund, H. Heat transfer performance of structured catalytic reactors packed with metal foam supports: Influence of wall coupling. Catal. Today 2016, 273, 187–195. [Google Scholar] [CrossRef]
- Della Torre, A.; Montenegro, G.; Tabor, G.R.; Wears, M. CFD characterization of flow regimes inside open cell foam substrates. Int. J. Heat Fluid Flow 2014, 50, 72–82. [Google Scholar] [CrossRef]
- Regulski, W.; Szumbarski, J.; Łaniewski-Wołłk, Ł.; Gumowski, K.; Skibinski, J.; Wichrowski, M.; Wejrzanowski, T. Pressure drop in flow across ceramic foams—A numerical and experimental study. Chem. Eng. Sci. 2015, 137, 320–337. [Google Scholar] [CrossRef]
- Bracconi, M.; Ambrosetti, M.; Maestri, M.; Groppi, G.; Tronconi, E. A fundamental analysis of the influence of the geometrical properties on the effective thermal conductivity of open-cell foams. Chem. Eng. Process. Process. Intensif. 2018, 129, 181–189. [Google Scholar] [CrossRef]
- Diani, A.; Bodla, K.K.; Rossetto, L.; Garimella, S.V. Numerical investigation of pressure drop and heat transfer through reconstructed metal foams and comparison against experiments. Int. J. Heat Mass Transf. 2015, 88, 508–515. [Google Scholar] [CrossRef]
- Zafari, M.; Panjepour, M.; Emami, M.D.; Meratian, M. Microtomography-based numerical simulation of fluid flow and heat transfer in open cell metal foams. Appl. Therm. Eng. 2015, 80, 347–354. [Google Scholar] [CrossRef]
- Bianchi, E.; Schwieger, W.; Freund, H. Assessment of Periodic Open Cellular Structures for Enhanced Heat Conduction in Catalytic Fixed-Bed Reactors. Adv. Eng. Mater. 2015, 18, 608–614. [Google Scholar] [CrossRef]
- Iasiello, M.; Cunsolo, S.; Bianco, N.; Chiu, W.; Naso, V. Developing thermal flow in open-cell foams. Int. J. Therm. Sci. 2017, 111, 129–137. [Google Scholar] [CrossRef]
- Nie, Z.; Lin, Y.; Tong, Q. Numerical investigation of pressure drop and heat transfer through open cell foams with 3D Laguerre-Voronoi model. Int. J. Heat Mass Transf. 2017, 113, 819–839. [Google Scholar] [CrossRef]
- Mendes, M.; Skibina, V.; Talukdar, P.; Wulf, R.; Gross, U.; Trimis, D.; Ray, S. Experimental validation of simplified conduction–radiation models for evaluation of Effective Thermal Conductivity of open-cell metal foams at high temperatures. Int. J. Heat Mass Transf. 2014, 78, 112–120. [Google Scholar] [CrossRef]
- Bianchi, E.; Heidig, T.; Visconti, C.G.; Groppi, G.; Freund, H.; Tronconi, E. An appraisal of the heat transfer properties of metallic open-cell foams for strongly exo-/endo-thermic catalytic processes in tubular reactors. Chem. Eng. J. 2012, 198, 512–528. [Google Scholar] [CrossRef]
- Fischedick, T.; Kind, M.; Dietrich, B. High temperature two-phase thermal conductivity of ceramic sponges with stagnant fluid—Experimental results and correlation including thermal radiation. Int. J. Therm. Sci. 2015, 96, 1–11. [Google Scholar] [CrossRef]
- Dietrich, B.; Fischedick, T.; Heissler, S.; Weidler, P.; Wöll, C.; Kind, M. Optical parameters for characterization of thermal radiation in ceramic sponges—Experimental results and correlation. Int. J. Heat Mass Transf. 2014, 79, 655–665. [Google Scholar] [CrossRef]
- Zhao, C.; Tassou, S.A.; Lu, T. Analytical considerations of thermal radiation in cellular metal foams with open cells. Int. J. Heat Mass Transf. 2008, 51, 929–940. [Google Scholar] [CrossRef]
- Patel, V.M.; Talukdar, P. Evaluation of radiative properties of a representative foam structure using blocked-off region approach integrated with finite volume method. Int. J. Therm. Sci. 2016, 108, 89–99. [Google Scholar] [CrossRef]
- Fischedick, T.; Kind, M.; Dietrich, B. Radial two-phase thermal conductivity of ceramic sponges up to high temperatures—Experimental results and correlation. Int. J. Therm. Sci. 2017, 114, 98–113. [Google Scholar] [CrossRef]
- Dietrich, B.; Schell, K.G.; Bucharsky, E.C.; Oberacker, R.; Hoffmann, M.; Schabel, W.; Kind, M.; Martin, H. Determination of the thermal properties of ceramic sponges. Int. J. Heat Mass Transf. 2010, 53, 198–205. [Google Scholar] [CrossRef]
- Sinn, C.; Pesch, G.R.; Thöming, J.; Kiewidt, L. Coupled conjugate heat transfer and heat production in open-cell ceramic foams investigated using CFD. Int. J. Heat Mass Transf. 2019, 139, 600–612. [Google Scholar] [CrossRef]
- Wu, Z.; Caliot, C.; Flamant, G.; Wang, Z. Numerical simulation of convective heat transfer between air flow and ceramic foams to optimise volumetric solar air receiver performances. Int. J. Heat Mass Transf. 2011, 54, 1527–1537. [Google Scholar] [CrossRef]
- Wehinger, G.D.; Heitmann, H.; Kraume, M. An artificial structure modeler for 3D CFD simulations of catalytic foams. Chem. Eng. J. 2016, 284, 543–556. [Google Scholar] [CrossRef]
- Wehinger, G.D.; Kraume, M.; Berg, V.; Korup, O.; Mette, K.; Schlögl, R.; Behrens, M.; Horn, R. Investigating dry reforming of methane with spatial reactor profiles and particle-resolved CFD simulations. AIChE J. 2016, 62, 4436–4452. [Google Scholar] [CrossRef]
- Dong, Y.; Korup, O.; Gerdts, J.; Cuenya, B.R.; Horn, R. Microtomography-based CFD modeling of a fixed-bed reactor with an open-cell foam monolith and experimental verification by reactor profile measurements. Chem. Eng. J. 2018, 353, 176–188. [Google Scholar] [CrossRef]
- Behnam, M.; Dixon, A.G.; Wright, P.M.; Nijemeisland, M.; Stitt, E.H. Comparison of CFD simulations to experiment under methane steam reforming reacting conditions. Chem. Eng. J. 2012, 207, 690–700. [Google Scholar] [CrossRef]
- Hettel, M.; Daymo, E.; Deutschmann, O. 3D modeling of a CPOX-reformer including detailed chemistry and radiation effects with DUO. Comput. Chem. Eng. 2018, 109, 166–178. [Google Scholar] [CrossRef]
- Wehinger, G.D.; Flaischlen, S. Computational Fluid Dynamics Modeling of Radiation in a Steam Methane Reforming Fixed-Bed Reactor. Ind. Eng. Chem. Res. 2019, 58, 14410–14423. [Google Scholar] [CrossRef]
- Wehinger, G.D. Radiation Matters in Fixed-Bed CFD Simulations. Chem. Ing. Tech. 2019, 91, 583–591. [Google Scholar] [CrossRef]
- Dixon, A.G.; Partopour, B. Computational Fluid Dynamics for Fixed Bed Reactor Design. Annu. Rev. Chem. Biomol. Eng. 2020, 11, 109–130. [Google Scholar] [CrossRef]
- Della Torre, A.; Lucci, F.; Montenegro, G.; Onorati, A.; Eggenschwiler, P.D.; Tronconi, E.; Groppi, G. CFD modeling of catalytic reactions in open-cell foam substrates. Comput. Chem. Eng. 2016, 92, 55–63. [Google Scholar] [CrossRef]
- Güttel, R.; Turek, T. Improvement of Fischer-Tropsch Synthesis through Structuring on Different Scales. Energy Technol. 2015, 4, 44–54. [Google Scholar] [CrossRef]
- Jang, W.-J.; Shim, J.-O.; Kim, H.-M.; Yoo, S.-Y.; Roh, H.-S. A review on dry reforming of methane in aspect of catalytic properties. Catal. Today 2019, 324, 15–26. [Google Scholar] [CrossRef]
- Meloni, E.; Martino, M.; Palma, V. A Short Review on Ni Based Catalysts and Related Engineering Issues for Methane Steam Reforming. Catalysts 2020, 10, 352. [Google Scholar] [CrossRef]
- Bianchi, E.; Groppi, G.; Schwieger, W.; Tronconi, E.; Freund, H. Numerical simulation of heat transfer in the near-wall region of tubular reactors packed with metal open-cell foams. Chem. Eng. J. 2015, 264, 268–279. [Google Scholar] [CrossRef]
- Modest, M.F. Radiative Heat Transfer, 3rd ed.; Academic Press: New York, NY, USA, 2013; Available online: https://doi.org/10.1016/C2010-0-65874-3 (accessed on 6 April 2020).
- Weller, H.G.; Tabor, G.; Jasak, H.; Fureby, C. A tensorial approach to computational continuum mechanics using object-oriented techniques. Comput. Phys. 1998, 12, 620. [Google Scholar] [CrossRef]
- STAR-CCM+ (n.d.). Available online: https://www.plm.automation.siemens.com/global/en/products/simcenter/STAR-CCM.html (accessed on 6 April 2020).
- Gräf, I.; Ladenburger, G.; Kraushaar-Czarnetzki, B. Heat transport in catalytic sponge packings in the presence of an exothermal reaction: Characterization by 2D modeling of experiments. Chem. Eng. J. 2016, 287, 425–435. [Google Scholar] [CrossRef]
- Habibi, A.; Merci, B.; Heynderickx, G. Impact of radiation models in CFD simulations of steam cracking furnaces. Comput. Chem. Eng. 2007, 31, 1389–1406. [Google Scholar] [CrossRef]
- Versteeg, H.K.; Malasekera, W. An Introduction to Computational Fluid Dynamics: The Finite Volume Method, 2nd ed.; Pearson Education Ltd.: Harlow, UK, 2007. [Google Scholar]
- Sazhin, S.; Sazhina, E.; Faltsi-Saravelou, O.; Wild, P. The P-1 model for thermal radiation transfer: Advantages and limitations. Fuel 1996, 75, 289–294. [Google Scholar] [CrossRef]











| Property | Assumption | |
|---|---|---|
| Fluid dynamic viscosity | µ | Sutherland equation |
| Fluid heat capacity | cp,f | Janaf model (OpenFOAM); |
| polynomial (STAR-CCM+) | ||
| Fluid thermal conductivity | λf | Eucken approximation (OpenFOAM); |
| polynomial (STAR-CCM+) | ||
| Fluid density | δf | ideal gas law |
| Superficial velocity | v | const. (0.1–0.5 m s−1) |
| Pore Reynolds number | const. (1–20) | |
| Fluid absorption coefficient | κ | const. (10−9) |
| Solid heat capacity | cp,s | const. (1000 J kg−1 K−1) |
| Solid thermal conductivity | λs | const. (1–200 W m−1 K−1 [46]) |
| Solid density | δs | const. (3950 kg m−3) |
| Solid heat source | S | const. (total: 50 W; |
| specific: 1.9 × 107 W m−3) | ||
| Solid surface emissivity | ε | const. (0.1–1) |
| Wall surface emissivity | εw | const. (0.65) |
| Gravitational acceleration | - | neglected |
| Radiation | - | fvDOM model (OpenFOAM); |
| DOM model (STAR-CCM+) | ||
| Turbulence | - | neglected |
© 2020 by the authors. Licensee MDPI, Basel, Switzerland. This article is an open access article distributed under the terms and conditions of the Creative Commons Attribution (CC BY) license (http://creativecommons.org/licenses/by/4.0/).
Share and Cite
Sinn, C.; Kranz, F.; Wentrup, J.; Thöming, J.; Wehinger, G.D.; Pesch, G.R. CFD Simulations of Radiative Heat Transport in Open-Cell Foam Catalytic Reactors. Catalysts 2020, 10, 716. https://doi.org/10.3390/catal10060716
Sinn C, Kranz F, Wentrup J, Thöming J, Wehinger GD, Pesch GR. CFD Simulations of Radiative Heat Transport in Open-Cell Foam Catalytic Reactors. Catalysts. 2020; 10(6):716. https://doi.org/10.3390/catal10060716
Chicago/Turabian StyleSinn, Christoph, Felix Kranz, Jonas Wentrup, Jorg Thöming, Gregor D. Wehinger, and Georg R. Pesch. 2020. "CFD Simulations of Radiative Heat Transport in Open-Cell Foam Catalytic Reactors" Catalysts 10, no. 6: 716. https://doi.org/10.3390/catal10060716
APA StyleSinn, C., Kranz, F., Wentrup, J., Thöming, J., Wehinger, G. D., & Pesch, G. R. (2020). CFD Simulations of Radiative Heat Transport in Open-Cell Foam Catalytic Reactors. Catalysts, 10(6), 716. https://doi.org/10.3390/catal10060716

