Abstract
In this Review, we consider all the publications since the beginning of the century that describe tandem reactions resulting in the formation of five-membered aromatic nitrogen heterocycles (thiazole, imidazole, indole, tetrazole, triazole, and isoxazole). The contents of this review are organized by taxonomy and type of tandem catalysis. It covers orthogonal, auto-, and assisted tandem catalysis, providing an overview of tandem reactions applied tonitrogen heterocycles reported in the literature up to March 2020. We believe that this compilation of data will provide a necessary starting reference to developthe applications of tandem catalysis in medicinal chemistry.
1. Introduction
The concept of drug-like space is widely used in modern medicinal chemistry. Key scaffold components in medicinal chemistry are the ring systems, the fundamental building blocks of most drugs on the market today. Nitrogen heterocycles (Figure 1) are among the structural components most commonly found in pharmaceuticals. Among the five-membered aromatic nitrogen heterocycles, the top five most commonly used in this class are: Thiazole, imidazole, indole, tetrazole, and benzimidazole. These five main aromatic heterocycles are found in a hundred drugs [1,2].
Figure 1.
Five-membered aromatic nitrogen heterocycles.
Recent examples have shown that multifunctional catalytic systems can reduce the number of synthetic steps by conducting sequential catalytic processes in one synthetic operation [3,4]. Tandem catalysis is becoming increasingly important for synthesizing molecules that are relevant for medicinal chemistry. This paper is a comprehensive review of the studies reported in the literature from 2000 to March 2020 that mention tandem reactions generating five-membered aromatic nitrogen heterocycles: Thiazole, imidazole, indole, tetrazole, triazole, and isoxazole.
2. Taxonomy
In view of the numerous research advances in chemistry reported in the literature, it is important to establish a taxonomy as it allows one to represent the evolution and bring out the differences and similarities among the various methods. Especially well-documented is the recent perspective of Hayashi concerning one-pot synthesis [5]. In 2004, Fogg and dos Santos published an excellent review on tandem catalysis in which they proposed a taxonomy, distinguishing between tandem catalysis and processes that are not included in the tandem category [6].
2.1. One-Pot Synthesis of Biologically Active Molecules
One-pot reactions have always been an active research field, and in recent years, interest in catalysis research in this field has significantly increased. One of the methods that can be used to make methodologies greener is reactions in which multiple catalytic events are conducted in the same reaction flask. As pointed out by Hayashi, several terms are used to describe multi-step reactions that take place in one pot, such as: “Domino reaction”, “cascade reaction” and “tandem reaction” [5].
Medicinal chemists have the ability to replicate some of the most intriguing molecules of nature in the laboratory. By applying catalytic reactions and appropriately designed synthetic processes, natural molecules and their analogs can be synthesized; the ideal strategy will always be to mimic processes that occur in nature.
2.2. Processes That Are Not Tandem Catalyses
Before discussing tandem catalysis, it is necessary to clarify the usage of other commonly encountered names such as domino or cascade reactions. Fogg and dos Santos defined one-pot catalytic processes that are not tandem catalyses [6].
3. Tandem Catalysis
Tandem catalytic transformations have been described as “coupled catalyses in which sequential formation of the substrate occurs via two (or more) mechanistically distinct processes” (see reference of Fogg and dos Santos [6]). They indicate that this catalytic reaction can be divided into three subtypes: Orthogonal, auto, and assisted, as summarized below [7,8].
3.1. Orthogonal Tandem Catalysis
Orthogonal tandem catalysis (Figure 2) uses two or more catalysts that have distinct mechanisms operating concurrently, and the substrate is transformed sequentially [6,7,8].
Figure 2.
Schematic illustration of orthogonal tandem catalysis.
3.2. Auto-Tandem Catalysis
The so-called “auto-tandem catalysis” (Figure 3) involves several mechanistically distinct reactions that are favored by a single catalyst, the various catalytic cycles occurring spontaneously due to a cooperative interaction of all the species that are present from the beginning [6,7].
Figure 3.
Schematic illustration of auto-tandem catalysis.
3.3. Assisted Tandem Catalysis
Assisted tandem catalysis (Figure 4) uses a single catalyst and requires a change in reaction conditions to bring about a shift from one catalytic mechanism to another [6,7].
Figure 4.
Schematic illustration of assisted tandem catalysis.
4. Review of Tandem Reactions Generating the Formation of Five-Membered Aromatic Nitrogen Heterocycles
4.1. Scope of Review
A comprehensive survey of the literature on tandem catalysis clearly showed that there is no systematic and comprehensive overview covering tandem reactions applied to nitrogen heterocycles [9,10,11,12,13,14,15,16,17,18,19,20,21]. This review, therefore, lists the uses of tandem reactions allowing the obtaining of five-membered aromatic nitrogen heterocycles since 2000.
4.2. Five-Membered Aromatic Nitrogen Heterocycles
To simplify the overview of the synthesis of five-membered aromatic nitrogen heterocycles, we have organized them into six sections: Thiazole, imidazole, indole, tetrazole, triazole, and isoxazole.
4.2.1. Thiazole
Analysis of drug structures containing a thiazole group shows a high frequency in drugs comprising the nitrogen heterocycles discussed herein and used in different pathologies (Figure 5) [2,22].
Figure 5.
Drugs containing a thiazole ring.
Singh et al. described a green approach for the development of 2,4-disubstituted hydrazinyl—thiazoles 4 in glycerol micellar medium using different carbonyl compounds 1, thiosemicarbazide 2, and α-bromocarbonyl derivatives 3 (Scheme 1). The use of micellar catalysis in glycerol was the key aspect of this methodology that proved superior to glycerol alone. The methodology presented excellent yields, a short reaction time, and gram-scale viability [23].
Scheme 1.
Singh et al. (2018).
In 2016, Hao and co-workers described an efficient method to synthesize benzo[d]imidazo[5,1-b]thiazoles 7 by the reaction of 2-haloaryl isothiocyanates 5 with isocyanides 6 (Scheme 2); this copper (I)-catalyzed tandem [3+2] cycloaddition followed by aC–S coupling reaction allowed the authors to have a simple way of developing benzo[d]imidazo[5,1-b]thiazoles in good to excellent yields [24].
Scheme 2.
Hao et al. (2016).
Shahvelayati and co-workers described a direct method for the synthesis of new α-thiazolodepsipeptide derivatives 12 via a multi-component reaction. Thiazole-containing depsipeptides were produced easily in 1-methyl-3-pentylimidazolium bromide from phenacyl bromides 8, ketones 9, thiourea carboxylic acid derivatives 10, and isocyanides 11 in one step by a four-component sequence: Condensation/Passerini tandem reaction (Scheme 3) [25].
Scheme 3.
Shahvelayati et al. (2016).
Bodireddy and co-workers, in 2016, generated Hantzsch 2-aminothiazole derivatives 15 in good yields within 10–15 min from aralkyl ketones 13 through in situ regioselective α-bromination followed by heterocyclization in the presence of thiourea 14 in lactic acid at 90–100 °C. This sequence in a single step (Scheme 4) using lactic acid as solvent and catalyst allowed the tandem one-pot synthesis of Hantzsch 2-aminothiazole derivatives 15 [26].
Scheme 4.
Bodireddy et al. (2016).
Khodaei et al. obtained tetracyclic imidazo[2,1-b]thiazoles 18 via electrochemically induced tandem heteroannulation reactions. The catechol-fused tetracyclic compounds were synthesized in aqueous solution through the anodic oxidation of catechols in the presence of 2-mercaptobenzimidazole. The benzimidazo[2,1-b]thiazoles 18 were obtained through a domino reaction of commercially available starting materials 16–17 [27]. Besides the high efficiency and atom economy as a domino process, this reaction where only electrons are used as reagents is an environmentally benign transformation compared to oxidative ones (Scheme 5).
Scheme 5.
Khodaei et al. (2013).
The Beresneva group developed a simple method for the preparation of benzo-fusedimidazo[2,1-b]thiazoles and [1,2,4]triazolo[5,1-b][1,3]benzothiazole 21 in the system solid KOH/CuI/1,10-phen/TBAB/DMF from 1-bromo-2-iodobenzene 19 and corresponding thiols 20 by S,N-tandem arylation reactions (Scheme 6) [28].
Scheme 6.
Beresneva et al. (2013).
Madhav and co-workers reported, for the first time, the use of the one-pot tandem procedure for the synthesis of thiazoles/selenazoles from alkynes 22, forming 2,2-dibromo-1-phenylethanone as an intermediate. The group developed a convenient one-pot aqueous phase synthesis of substituted thiazoles 24 under mild conditions in good yields (Scheme 7) [29].
Scheme 7.
Madhav et al. (2012).
Pagano et al. developed a tandem approach via the multistep continuous flow assembly of 2-(1H-indol-3-yl)thiazoles using a Syrris AFRICA® synthesis station (Scheme 8). In this work, the team imagined the formation of heterocycles byconsecutive reactions using anautomated continuous flow process. This one allowed them to access a novel class of indolylthiazoles 30 [30].
Scheme 8.
Pagano et al. (2012).
In 2012, the Kwak group reported the synthesis of N-substituted-2-aminothiazolo[4,5-b] pyrazine 33 by tandem reaction of o-aminohalopyrazines 31 with isothiocyanates 32 (Scheme 9) [31].
Scheme 9.
Kwak et al. (2012).
In 2005, Shklyarenko et al. reported a convenient procedure by S,N-tandem alkylation of 1,2,4-triazole-3-thiol 35 with vicinal dibromopropyl sulfones 34 for the synthesis of triazolothiazolidines 36 in ethanol at room temperature for 8 h (Scheme 10) [32].
Scheme 10.
Shklyarenko et al. (2005).
Tandem nucleophilic addition (AN—AN) of bifunctional reagents to azines, tandem substitutions (SNH—SNH), and their various combinations (AN—SNipso) have found increasing use as convenient procedures for the synthesis of fused heterocyclic systems. Mochulskaya et al. demonstrated the tandem AN—AN reactions of 3-aryl-1,2,4-triazines 37 with aromatic thioamides and thiosemicarbazides in acetic anhydride at room temperature. This provided a convenient approach to the synthesis of thiazolo[4,5-e]annelated tetrahydrotriazines, which underwent aromatization under the action of potassium permanganate to give thiazolo[4,5-e][1,2,4]triazines, thus completing the tandem SNH—SNH reactions (Scheme 11) [33].
Scheme 11.
Mochulskaya et al. (2004).
You and co-workers described an efficient biomimetic synthesis of thiazolines by treating N-acylated cysteine substrates 40 with hexaphenyloxodiphosphonium tri-fluoromethanesulfonate to activate the amide group. The reaction proceeded in high yield with a retention of configuration at the C4-and C2-exomethine carbon atoms of the thiazoline 41. The application of this method to tandem dehydrocyclizations afforded a thiazole-thiazoline product with excellent stereocontrol and in good overall yield (Scheme 12) [34].
Scheme 12.
You et al. (2003).
In 2000, Wang et al. synthesized pyrazolo[5,1-b]thiazole 43 by a tandem reaction, in whichethyl1-pyrazolacetatereacted with carbon disulfide and an iodo derivative. From 42, prepared previously by the Vilsmeier–Haack reaction and using a tandem reaction, compounds 43 were synthesized. For the preparation of 43, compound 42, carbon disulfide, and potassium hydroxide were stirred overnight, and the iodo derivative was then added to give the ring-closed expected compound (Scheme 13) [35].
Scheme 13.
Wang et al. (2000).
The Raman group studied the possible extent of TiCl4-mediated ∆2-thiazoline synthesis by deprotection−dehydrocyclization of trityl-protected cysteine N-amides 44 in a tandem procedure (Scheme 14) [36]. The TiCl4-mediated tandem deprotection-cyclodehydration of simple trityl-protected cysteine N-amide derivatives proved to be a versatile process for the synthesis of thiazolines 45 with generally good stereoselectivities.
Scheme 14.
Raman et al. (2000).
Final note on Thiazole: The synthesis methodologies reported by the different teams demonstrated a preference for the use of Cu as a catalyst system for thiazole derivative synthesis reactions.
4.2.2. Imidazole
The second most common five-membered aromatic nitrogen heterocycle is imidazole. Imidazole is an important biological interesting heterocycle that is present in the amino acid histidine and possesses catalyst and acid–base functionalities. Imidazole-containing drugs were subdivided into two classes: Monocyclic imidazoles and benzimidazoles; in this review we focus on monocyclic imidazoles (Figure 6) [2,22].
Figure 6.
Drugs containing an imidazole ring.
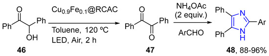
Banerjee et al. reported a tandem one-pot process for the sequential oxidation of alcohol 46 followed by condensation to functionalized imidazole 48 in excellent yields using Cu0.9Fe0.1@RCAC as a catalyst (Scheme 15). The study validated the visible light-emitting diode light-driven selective and efficient aerobic oxidation of primary/secondary alcohols to aldehydes/ketones and oxidative azo-coupling of anilines [37].
Scheme 15.
Banerjee et al. (2019).
Yu et al. achieved the synthesis of [1,3]oxazine N-fused imidazole-2-thiones 51 from glyoxal monohydrates 49, amino alcohols 50, and KSCN (Potassium thiocyanate) (Scheme 16). This strategy resulting from a tandem reaction underwent imine formation/intramolecular cyclization/[3+2] cycloaddition. The final products demonstrated a wide variation in functional groups and additionally high efficiency on the gram-large scale [38].
Scheme 16.
Yu et al. (2018).
Kumar et al. reported a protocol for the enantiospecific synthesis of novel (S)-3-substituted imidazo[2,l-b]quinazoline-2-ones 53 via the tandem reaction of substituted (S)-3-amino-4-aminomethyl benzoates 52 and cyanogen bromide under basic conditions. This process involved the addition reaction of substituted (S)-3-amino-4-aminomethylbenzoatesto CNBr to yield 2-iminotetrahydroquinazoline carboxylate intermediates. After an in situ intramolecular aminolysis, the triheterocyclicimidazo[2,l-b]quinazoline-2-ones 53 were obtained in good yields (Scheme 17) [39].
Scheme 17.
Kumar et al. (2017).
Yan and co-workers carried out a very efficient tandem process for the synthesis of pyridoimidazo-fused ß-carbolines 57. These compounds were obtained by a one-pot three-component reaction of 1-benzyl-1H-indole-3-carbaldehyde 54, 2-aminopyridine 55, and trimethylsilyl cyanide via the Groebke–Blackburn–Bienaymé reaction; then, acyclization through the Pictet–Spengler reaction of the resulting imidazo[1,2-a]pyridine 56 allowed access to the desiredheterocycles 57 (Scheme 18) [40].
Scheme 18.
Yan et al. (2017).
Wang et al. investigated an I2/DMAP-promoted amination/cyclization of methyl ketones or 1,3-dicarbonylcompounds with 2-aminopyridines 59. This team showed that a wide range of acetophenones were suitable substrates for this tandem cyclization reaction, including both electron-rich and electron-deficient groups on the para-, meta-, or ortho-position of the aryl ring.Theexpected2-aryl-imidazo[1,2-a]pyridines 60 were synthesized in good yields (Scheme 19) [41].
Scheme 19.
Wang et al. (2016).
Devi et al. managed to obtain pyrazolopyridinone-fused imidazopyridines 64 from 4-formyl-1H-pyrazole-3-carboxylates 62, 2-aminopyridines 61, and tert-butyl isonitrile as the starting materials in moderate to good yields. The results were achieved using In(OTf)3-HBF4 as an efficient catalytic system (Scheme 20) [42].
Scheme 20.
Devi et al. (2016).
The group of An, through a tandem reaction of Michael addition and oxidative coupling, developed a metal-free approach to the obtaining of imidazo[1,2-a]pyridine 67 using iodine–t-butyl hydroperoxide–pyridine as a catalyst. The catalytic system was obtained sequentially (Scheme 21) [43].
Scheme 21.
An et al. (2016).
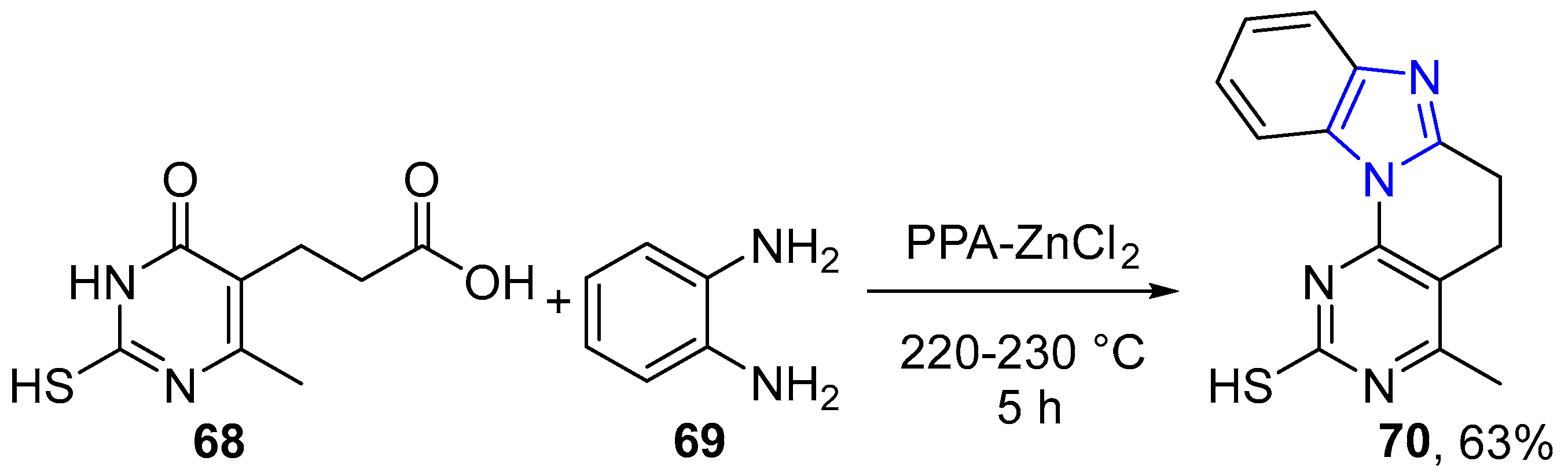
In 2015, Harutyunyan monitored the reaction of substituted 2-mercaptopyrimidin-5-yl propanoic acid 68 with 1,2-benzenediamine 69 in polyphosphoric acid (PPA) with the presence of ZnCl2 (Scheme 22) [44].
Scheme 22.
Harutyunyan (2016).
The group of Li reported the rhodium catalysis synthesis of 11-acylated imidazo[1,2-a:3,4-a′]dipyridin-5-ium-4-olates 73. These results were achieved using rhodium-catalyzed/copper-mediated tandem C(sp2)−H alkynylation followed by intramolecular annulation of 2H-[1,2′-bipyridin]-2-ones 71 with various propargyl alcohols 72 (Scheme 23) [45].
Scheme 23.
Li et al. (2016).
Balijapalli and Iyer, by adopting a one-pot tandem process using D-glucose and a copper(II) oxide-copper(II) aluminate composite, were able to synthesize imidazo[1,2-a]pyridines 77 from 2-aminopyridines 74, phenylacetylene, and aromatic aldehydes 76 (Scheme 24) [46]. For that, the D-glucose and the copper(II)oxide/copper aluminate composite (5 wt.% CuO-CuAl2O4)-catalyzed conditions were previously optimized.
Scheme 24.
Balijapalli and Iyer (2015).
The Cai group successfully employed an I2/CuO-promoted tandem strategy for the synthesis of zolimidine pharmaceutical drug derivatives. The I2/CuO-promoted one-pot protocol was developed to generate 2-substituted imidazo[1,2-a]pyridines 80 via 2-aminopyridines 78 reacting on α-iodo acetophenones generated in situ from aryl methyl ketones 79 in MeOH in good yields (Scheme 25) [47].
Scheme 25.
Cai et al. (2015).
The Milišiūnaitė group performed tandem cyclization for the synthesis of pyrazolo[4,3:3,4]pyrido[1,2-a]benzimidazoles 83. By heating 3-alkynyl- or 5-alkynyl pyrazole-4-carbaldehydes 81 and benzene-1,2-diamines 82 in DMF, the team was able to synthesize several derivatives using copper-free tandem cyclization (Scheme 26) [48].
Scheme 26.
Milišiūnaitė et al. (2015).
Stasyuk and co-workers employed a tandem [8+2] cycloaddition [2+6+2] dehydrogenation protocol for the preparation of benzo[a]imidazo[5,1,2-cd]indolizines 86. The synthesis of several derivatives capable of undergoing the ESIPT (excited state intramolecular proton transfer) process was achieved from 2-(20-hydroxy-phenyl)-imidazo[1,2-a]pyridines 85. Compounds 85 were prepared from acetophenones 84 and 2-aminopyridine via an Ortoleva–King reaction followed by Chichibabin ring closure. Then, 85 were subsequently reacted with a benzyne precursor in the presence of cesium fluoride and an 18-crown-6 ether (Scheme 27) [49]. This work comes from the continuation of the study of these procedures by this team [50].
Scheme 27.
Stasyuk et al. (2014).
Manna and Panda published the synthesis of benzimidazoles 89 through a metal-catalyzed endo-cyclization approach involving imine and alkyne activation. The team developed a microwave-assisted protocol to synthesize benzimidazole-fused derivatives with high regioselectivity. This procedure involved the nucleophilic addition of ortho-alkynyl aldehydes 87 and benzenediamines 88 using [RuCl2(p-cymene)2]2-catalyzed tandem cyclization followed by the formation of three new N–C bonds and two heterocyclic rings. This process in one pot gave fused polycyclic heterocycles (Scheme 28) [51].
Scheme 28.
Manna and Panda (2014).
Silvani and co-workers prepared 6,11-dihydro-5H-imidazo[1′,5′:1,2]pyrido[3,4-b]indol-2-ium salt and indole 91–92 derivativesthrough a sequential Ugi reaction followed by a Bischler–Napieralski/heterocyclization tandem closure (Scheme 29) [52]. This protocol was achieved successfully from readily available starting materials and can be applied to the elaboration of a wide range of heterocyclic compounds. These structuresalso carriedup to three points of interesting chemical diversity.
Scheme 29.
Silvani et al. (2014).
The Zhao group efficiently catalyzed a domino reaction that involved the selective dual amination of sp3 C–H bonds using n-Bu4NI as a catalyst (Scheme 30) [53]. The imidazo[1,5-c]quinazolines 95 were prepared via a tandem reaction following sp3 C–H functionalization under metal-free conditions and they also reported the rare method of benzylic primary C–H oxidative amination with primary amines.
Scheme 30.
Zhao et al. (2014).
The Ciuciu group adopted the Ortoleva–King–Chichibabin tandem process for the preparation of complex imidazo[1,2-a]pyridine 98. A short and efficient route to obtain imidazo[1,2-a]pyridine from 2-amino-5-(trifluoromethyl)pyridine 96 and acetophenones 97 was achieved (Scheme 31) [54].
Scheme 31.
Ciuciu et al. (2014).
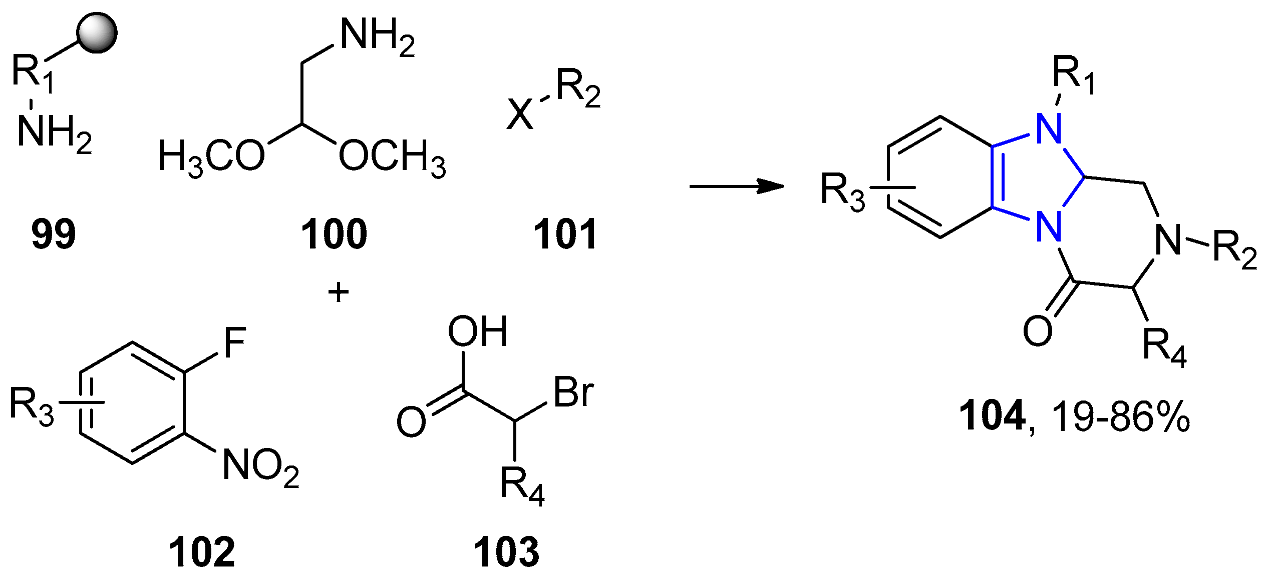
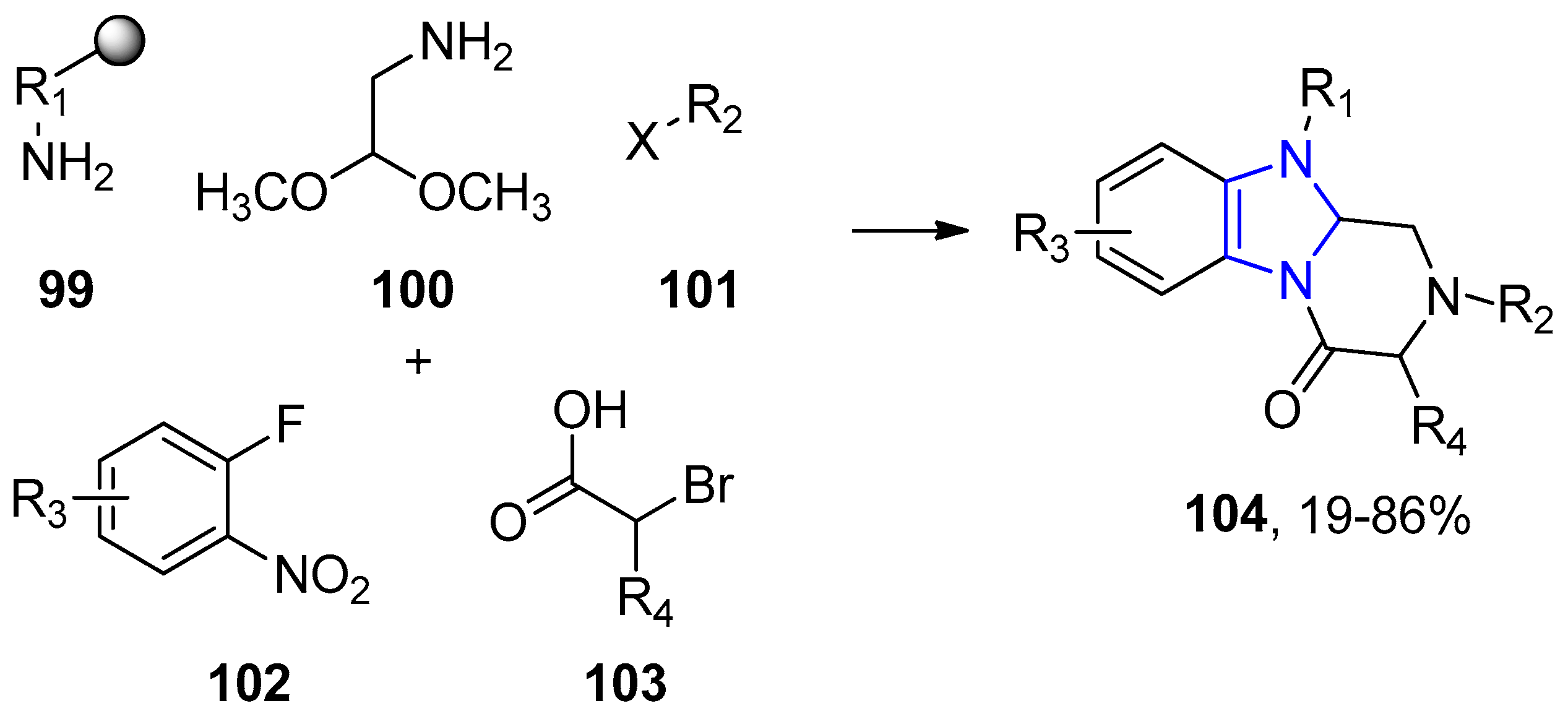
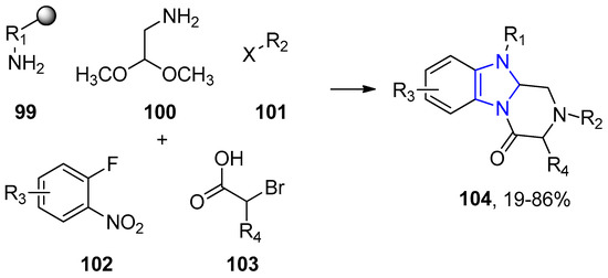
Ventosa-Andrés et al. reported the synthesis of benzimidazolinopiperazinones 104 via a tandem N-acyl-N-aryliminium ion cyclization–nucleophilic addition reaction using commercially available building blocks 99–103 (Scheme 32) [55]. This work is the logical continuation of the study of these procedures by this team [56].
Scheme 32.
Ventosa-Andrés et al. (2014).
The group of Chanu reported the synthesis of tetrahydroimidazopyridines 108 under water in a one-pot procedure and using three-component 105–107 tandem annulation from α-oxoketene S,S–acetals (Scheme 33) [57]. The authors concluded that heterocyclic ketene aminals with an enamine moiety (HN–C=C) were found to act as ambident nucleophiles. Due to the conjugation effect of the electron-donating amino groups and the electron-withdrawing substituents, the double bond was highly polarized, which made it particularly convenient to usein the Michael addition reactions with DMAD (dimethyl acetylenedicarboxylate). Moreover, it should be noted that among the benzoylketene N,N-acetals, ortho-halo group substituted ones broaden the scope of this reaction to diversity-oriented synthesis by further intramolecular tandem annulations.
Scheme 33.
Chanu et al. (2014).
Cherney and co-workers performed the tandem cyclization reactions of electron-rich arylethylamino acid amides (Scheme 34) [58]. A straightforward route to the dihydroimidazo-isoquinolin-3(2H)-one 111 ring system was achieved using a tandem cyclization strategy under Bishler–Napieralski conditions. This approach, in enabling the preparation of a 3,4-dihydroisoquinoline ring system through an intramolecular dehydration reaction of an arylethylamide 109,was typically accomplished under strongly acidic conditions.
Scheme 34.
Cherney et al. (2014).
The group of Hao succeeded in the rapid synthesis of 5H-benzo[d]imidazo-[5,1-b][1,3]thiazines 114 by a copper(I)-catalyzed tandem reaction of o-alkynylphenyl isothiocyanates 112 with isocyanides 113 in THF with Cs2CO3 as a base in good yields (Scheme 35) [59].
Scheme 35.
Hao et al. (2014).
In 2014, again, the same group of Hao reported a route to build indolyl imidazole derivatives 117 using a tandem approach. The reaction was performed under mild conditions with high efficiency (Scheme 36) [60]. In the reaction, a [3+2] cycloaddition of isocyanide to carbodiimide and intramolecular cyclization were involved.
Scheme 36.
Hao et al. (2014).
Santra et al. investigated the synthesis of imidazo[1,2-a]pyridines 120 using Iron(III) as a catalyst and showed a new route to obtain Zolimidine, a useful drug implied for the treatment of peptic ulcer. This reaction was achieved in two steps. The first step of the reaction was the Michael addition of 2-aminopyridine 118 with nitroolefin 119; the second step was intramolecular cyclization, leading to the final product 120 after removal of water and nitroxyl (Scheme 37) [61].
Scheme 37.
Santra et al. (2013).
Ge and co-workers achieved an aerobic multicomponent tandem synthesis of sulfenylimidazo[1,2-a]pyridines 123 (Scheme 38) [62]. This one-pot reaction protocol involved the formation of imidazo[1,2-a]pyridines followed by Friedel–Crafts sulfenylation under mild conditions. From 2-aminopyridine 55, ketones 121, disulfides 122, and CeCl3·7H2O/NaI as catalysts, the team was able to develop the synthesis of 3-sulfenylimidazopyridines 123.
Scheme 38.
Ge et al. (2013).
The Pericherla team reported a copper-catalyzed tandem process to achieve imidazo[1,2-a]pyridines 126. The strategy privileged was the copper-catalyzed tandem imine formation and intramolecular aerobic oxidative C–H bond amination/cyclizations. The various derivatives were prepared from 2-aminopyridines 124 and acetophenones 125 in good yields (Scheme 39) [63].
Scheme 39.
Pericherla et al. (2013).
Bagdi et al. demonstrated that the same system could be used under ambient air. Some functionalized imidazo[1,2-a]pyridines were synthesized, and the protocol developed also successfully provided the direct preparation of zolimidine (128) on a large scale (Scheme 40) [64].
Scheme 40.
Bagdi et al. (2013).
Ramesha and co-workers published a tandem approach for the synthesis from a variety of alcohols 130. Alcohols were oxidized in situ to aldehydes, which, in turn, underwent a three-component reaction with various 2-amino derivatives 129 and isocyanides 131 to afford imidazo[1,2-a]pyridines 132 in excellent yields (Scheme 41) [65].
Scheme 41.
Ramesha et al. (2013).
The team of Nie worked on the preparation of 1,2,4-trisubstituted imidazoles and imidazo[1,2-c] quinazolines. These reactions were conducted with a tandem aza-Wittig/electrocyclic ring-closure process (Scheme 42) [66]. The library of 1,2,4-trisubstituted imidazoles 136 was synthesized efficiently from vinyliminophosphoranes 133 and aldehydes. A tandem aza-Wittig reaction of iminophosphorane 135 with isocyanate generated imidazo[1,2-c]quinazolines 136 in high yields.
Scheme 42.
Nie et al. (2012).
Lach and Koza successfully developed a cascade ureidation/palladium-catalyzed cyclization to access the imidazo[4,5-b] and [4,5-c]pyridine-2-ones 138 series from carbamoyl chlorides 137 (Scheme 43) [67].
Scheme 43.
Lach and Koza (2012).
Liu and co-workers reported the synthesis of 2- and 3-substituted imidazo[1,2-a]pyridines 141 from 2-aminopyridine 139 derivatives and gem-dibromovinyl compounds 140 by the tandem nucleophilic substitution (or nucleophilic addition)/cyclization reaction. The team assumed that the reaction probably involved 1-bromoalkyne generated in situ from the dehydrohalogenation of gem-dibromovinyl substrates. They suggested that subsequently, the nucleophilic substitution and nucleophilic addition of 1-bromoalkyne took place simultaneously and competitively (Scheme 44) [68].
Scheme 44.
Liu et al. (2012).
In 2012, Rosenberg and Clark demonstrated the total reaction protocol of pentosidine (143), an advanced glycation end product discovered as an extracellular protein cross-link. The total synthesis was achieved via a six-step sequence starting with 3-amino-2-chloropyridine 142 and featuring a palladium-catalyzed tandem cross-coupling/cyclization to generate the imidazo[4,5-b]pyridine core (Scheme 45) [69].
Scheme 45.
Rosenberg and Clark (2012).
Qiu and Wu described the generation of benzoimidazo[1,5-a]imidazoles 146 via a copper-catalyzed tandem reaction. In this approach, the carbodiimides 144 reacted with isocyanides 145 catalyzed by copper(I) iodide, leading to benzoimidazo[1,5-a]imidazoles 146 and proceeded through a formal [3+2] cycloaddition and C–N coupling (Scheme 46) [70].
Scheme 46.
Qiu and Wu (2012).
The team of Liu reported a tandem amination/cycloisomerization of aryl propargylic alcohols 148 with 2-aminopyridines 147 to synthesize imidazo[1,2-a]pyridines. They developed a ZnCl2/CuCl system to achieve the direct amination and their subsequent intramolecular cycloisomerization (Scheme 47) [71].
Scheme 47.
Liu et al. (2011).
In 2011, Kim et al. reported a little study to obtain imidazo[1,5-d][1,3,4]thiadiazines 151. The reaction was performed with iodine and accompanied by a tandem closure of heterocyclic systems 150 (Scheme 48) [72].
Scheme 48.
Kim et al. (2011).
Ouyang and co-workers developeda protocol for the synthesis of iodoisoquinoline-fused benzimidazoles 154 by a tandem approach. In the presence of CuI, a variety of 2-ethynylbenzaldehydes 153 reacted with various benzenediamines 152 and iodine to afford the corresponding benzimidazoles in good yields. The protocol reported allowed the formation, through electrophilic annulation, of two heterocyclic rings in a one-pot reaction (Scheme 49) [73].
Scheme 49.
Ouyang et al. (2011).
In 2010, Xu and co-workers employed a tandem aza-Wittig/heterocumulene-mediated annulation to accessbenzothieno[3,2-d]-imidazo[1,2-a]pyrimidine-2,5-(1H,3H)-diones. Carbodiimide 156, generated from the aza-Wittig reaction of iminophosphorane 155 with diverse aromatic isocyanate, reacted with the α-amino ester to give selectively tetracyclic 157 in the presence of a catalytic amount of sodium ethoxide (Scheme 50) [74].
Scheme 50.
Xu et al. (2010).
Hirota and collaborators designed sequential ring closure methodologies to synthesize imidazo benzo-1,2,4-benzothiadiazine-1,1-dioxide 159 and quinazolinone derivatives (Scheme 51) [75]. The protocol involved a one-pot synthetic method for diazaheterocyclic ring-closure via the tandem aza-Wittig reaction/intramolecular NH-nucleophilic addition/NH-nucleophilic substitution cyclization, mediated by the sulfonamide ester–carbodiimide bifunctions.
Scheme 51.
Hirota et al. (2010).
Guchhait and Madaan developed the tandem dealkylation of derived tert-butyl amine in the one-step Ugi-type multicomponent reaction (MCR) product (Scheme 51). The tert-butyl isocyanide is a useful convertible isonitrile affording one-pot preparation of diverse polycyclic N-fused heterocycles including N-fused imidazole-amines 161 and tetracyclic heterocycles 162. These compounds are therapeutically relevant core structures (Scheme 52) [76].
Scheme 52.
Guchhait and Madaan (2010).
In 2009, Okamoto et al. reported an efficient methodology for the construction of the benzimidazo[2,1-a]isoquinoline ring system 166 from 2-bromoarylaldehydes 163, 1,2-phenylenediamines 164, and terminal alkynes 165 via a microwave-accelerated tandem process (Scheme 53) [77]. This approach successfully involved imine formation, a copper-ligand-free Sonogashira reaction, 5-endo-trig cyclization, oxidative aromatization, and 6-endo-dig cyclization.
Scheme 53.
Okamoto et al. (2009).
In 2007, the Che group adopted a tandem reaction to achieve quinoline-based tetracycles 169 (Scheme 54) [78]. The key step was a tandem three-component reaction of heteroaromatic amine 167, methyl 2-formylbenzoates 168, and t-butyl isonitrile 63, followed by TFA-mediated lactamization via intramolecular aminolysis of the adjacent ester.
Scheme 54.
Che et al. (2007).
In the same year, the group of Loones reported the synthesis of imidazo[4,5-b]quinoline and their benzo and aza analogs. The group developed regioselective tandem metal-catalyzed aminations on dihaloquinolines with amino(benzo)(di)azines (Scheme 55) [79]. The team achieved two libraries via auto- (173) and orthogonal (174) tandem amination.
Scheme 55.
Loones et al. (2007).
Scott described the two-step synthesis of 3-aryl-1,3-dihydro-2H-imidazo[4,5-b]pyridin-2-ones 177 in good yields. For their preparation, a one-pot tandem palladium-catalyzed amination and intramolecular amidation of t-butyl (2-chloropyridin-3-yl)carbamate 175 with several substituted primary anilines was developed (Scheme 56) [80].
Scheme 56.
Scott (2006).
The team of Beresnev published in 2000 atandem synthetic approach to obtain 6-azapurines. They reported access to imidazo[4,5-e]-1,2,4-trazines 179–180 from 5-methoxy-3-phenyl-1,2,4-triazine 178 and ureas in the presence of acylating agents (Scheme 57) [81]. The presence of an acylating agent was a decisive factor. Trifluoroacetic anhydride was a stronger activator and played a crucial role in the aromatization of acylated compounds.
Scheme 57.
Beresnev et al. (2000).
Final note on Imidazole: The bibliographic study of the synthesis approaches for the production of imidazoles using a tandem strategy revealed the use of different catalysts (Rh, I, Cu, Fe, or Ce). Iodine and Cu were applied in most cases.
4.2.3. Indole
Indole rings continue to be discovered in natural products and their interesting molecular architecture makes them suitable candidates for drug development (Figure 7). The presence of an indole nucleus in the amino acid tryptophan makes it an important heterocyclic system [2,22].
Figure 7.
Drugs containing an indole ring.
To the best of our knowledge, so far, only one team, that of Weiping Tang, has focused on the development of a tandem strategy to synthesize indole rings. The team published three studies between 2013 and 2014 [82,83,84].
In the most recent example, the library of diindolylmethanes 183 was achieved from propargylic alcohols 181 and indole nucleophiles 182 via a Cu-catalyzed tandem indole annulation/arylation reaction (Scheme 58) [82]. This team also assumed that indole nucleophiles could be replaced by other electron-rich arenes or alcohols.
Scheme 58.
Tang et al. (2014).
The group of Tang studied anindole annulation/[4+3] cycloaddition sequence for the synthesis of various substituted cyclohepta[b]indoles 186 using rhodium and platinum as catalysts(Scheme 59) [83]. Both acyclic and cyclic dienes participated in this tandem reaction, and high regio-selectivity was observed.
Scheme 59.
Tang et al. (2013).
In the same year and again using platinum as a catalyst, Tang et al. reported the synthesis of diindolylmethanes 189 from propargylic ethers 187 and substituted indoles 188 via a platinum-catalyzed tandem indole annulation/arylation cascade (Scheme 60) [84].
Scheme 60.
Tang et al. (2013).
Final note on Indole: For the synthesis of the indole ring using a tandem-catalyzed approach, three different catalysts were found: Cu, Pt, and Rh.
4.2.4. Tetrazole
Tetrazoles are a class of synthetic organic heterocyclic compounds with the highest nitrogen contents among the stable heterocycles. In the present review, we focus on studies reporting tetrazole achieved by a tandem procedure. The interesting tetrazole function is metabolically stable, and this feature and a close similarity between the acidic character of the tetrazole group and the carboxylic group have inspired its possible use for syntheses of potential medicinal agents (Figure 8) [2,22].
Figure 8.
Drugs containing a tetrazole ring.
Chapyshev and Ushakov developed a theoretical study of tandem deprotonation/azide—tetrazole tautomerization of 4,6-diazido-N-nitro-1,3,5-triazin-2-amine 191 in dimethylsulfoxide solutions. The transformations 192 found may be of interest in their reaction with various electrophilic agents (Scheme 61) [85].
Scheme 61.
Chapyshev and Ushakov (2015).
Ek et al. synthesized fused tricyclic tetrazoles 195 from allylic bromides performed by the DiazAll reaction. This tandem procedure comprised a cycloaddition between a nitrile and Azidotrimethylsilane (TMSN3) induced by dibutyltin oxide (DBTO) and followed by an intramolecular N-allylation (Scheme 62) [86].
Scheme 62.
Ek et al. (2004).
Shie and Fang adopted a one-pot tandem reaction for the direct conversion of substituted benzaldehydes and heterocyclic aromatic aldehydes 196 to 5-aryltetrazoles 197 with I2/aq NH3 at room temperature and NaN3/ZnBr2 at reflux (Scheme 63) [87]. This protocol was conducted smoothly in aqueous media, and the desired products were obtained simply by extraction or filtration.
Scheme 63.
Shie and Fang (2003).
Final note on Tetrazole: In the three studies found in the literature for the formation of the tetrazole ring, only the use of iodine was reported.
4.2.5. Triazole
The triazole ring is one of the most important heterocycles and has been found in the structure of various natural products and pharmaceutical drugs (Figure 9) [2,22]. This review may help medicinal chemists to develop new leads possessing a triazole ring as a linker between two molecules, or embedded in a polyheterocycle, using a tandem approach.
Figure 9.
Drugs containing a triazole ring.
Jonnalagadda et al. established an efficient ultrasonic-assisted one-pot tandem protocol for the synthesis of triazole derivatives 200 with excellent yields. The desired products were obtained via single-step tandem (Knoevenagel-cyclic condensation) reactions of aldehydes 198 and semicarbazide 199 in ethanol in the absence of a catalyst at room temperature (Scheme 64) [88].
Scheme 64.
Jonnalagadda et al. (2020).
Ma et al. demonstrated a practical method for the construction of [4.3.0]-bicyclic 1,2,3-triazole derivatives 203 via a palladium-catalyzed three-component tandem reaction of allenynes 201, organic iodides 202, and NaN3. The reaction resulted from a cascade allene difunctionalization/Winstein allylic azide rearrangement/intramolecular azide-alkyne cycloaddition route (Scheme 65) [89].
Scheme 65.
Ma et al. (2019).
Nanduri et al. designed an approach for the synthesis of fused 1,2,3-triazole indolo- and pyrrolodiazepine derivatives 206 via a tandem pathway of an initial Knoevenagel condensation followed by azide–alkyne 1,3-dipolar cycloaddition at room temperature with good to high yields (Scheme 66) [90].
Scheme 66.
Nanduri et al. (2019).
Chandrasekhar et al. accomplished a metal-free domino β-azidation/[3+2] cycloaddition under room temperature with good yields for the synthesis of 1,2,3-triazole-fused dihydrobenzoxazinons 208.The team obtained cis-fused triazoles containing dihydrobenzoxazenones from a varied scope of alkynylated cyclohexa 2,5-dienones (Scheme 67) [91].
Scheme 67.
Chandrasekhar et al. (2019)
Chu et al. performed tandem reactions of halides and sodium azide with various terminal alkynes to synthesize 1,4-disubstituted 1,2,3-triazoles 211 using a catalyst developed by the team (Scheme 68). Cu-Cu2O@RGO as a heterogeneous catalyst showed excellent recyclability performance, good separation, and high stability in the tandem process for the synthesis of 1,2,3-triazole compounds [92].
Scheme 68.
Chu et al. (2018).
Boobalan et al. accomplished the desired product 215 by the A3 coupling reaction of various benzaldehydes 212, secondary amines 213, and terminal alkynes 214 in toluene at room temperature. All substrates produced the corresponding 4-amino-4H-triazoloindole products in good yields. However, with acyclic secondary amines, the yields were lower. This methodology for the formation of 3-aryl/alkyl/silyl-4-amino-4H-triazoloindoles via a Cu(I)-mediatedtandem A3 coupling/[3+2] cycloaddition reaction was developed successfully (Scheme 69) [93].
Scheme 69.
Boobalan et al. (2018).
Nandwana and co-workers carried out a copper-catalyzed tandem reaction from 2-(2-bromo-aryl)imidazoles/2-(2-bromoaryl)benzimidazoles 216, alkynes 217,and sodium azide. This methodology involved the well-known copper-catalyzed azide–alkyne cycloaddition (CuAAC), followed by intramolecular cross-dehydrogenative C–N bond formation, and anUllmann-type C–N coupling was then allowed to close the sequence, the air serving as oxidant. The team also declared that the conditions applied for the synthesis of imidazo-[1,2-c][1,2,3]triazolo[1,5-a]quinazolines 218 can be performed with high efficiency with a wide range of substrates (Scheme 70) [94].
Scheme 70.
Nandwana et al. (2017).
Hosseini and co-workers described a tandem approach for the synthesis of triazoles using CuI@SBA-15/PrEn/ImPF6 as a catalyst. The catalyst developed showed high activity, high stability, and no appreciable leaching of CuI, owing to its strong binding via the coordination with PrEn functionality. This catalyst was successfully applied in tandem methods for the synthesis of 1,4-diphenyl-1H-1,2,3-triazole 222, 223 from different substrate pairs: Either aryl halides 219 and aryl acetylenes 220 or arylboronic acids 221 and aryl acetylenes 220, under aqueous conditions in excellent yields (Scheme 71) [95].
Scheme 71.
Hosseini et al. (2017).
Zheng et al. obtained 5-sulfamide-1-(N-sulfonyl)-1,2,3-triazoles 227 via the tandem Huisgen [3+2] cycloaddition/amidation reaction of terminal alkynes 224 and sulfonyl azides 225. The Zheng group developed direct access to 5-sulfamide-1-(N-sulfonyl)-1,2,3-triazoles in high chemo- and regioselectivity using copper-catalyzed conversion of sulfonyl azides and terminal alkynes with stoichiometric amounts of LiOtBu in DMF at 30 °C under air atmosphere (Scheme 72) [96].
Scheme 72.
Zheng et al. (2017).
The Amdouni group performed tandem procedures for the synthesis of 1,4,5-trisubstituted-1,2,3-triazole using click/electrophilic addition 230 or click/oxidative coupling strategies 231 (Scheme 73) [97].
Scheme 73.
Amdouni et al. (2017).
Yakovenko and co-workers attained triazolo[1,5-b][2,4]benzodiazepine 234 by tandem cyclization. The derivatives were achieved successfully from tandem anionic cyclization of o-(azidomethyl)benzoates 232 with 2-cyanoacetamides 233 (Scheme 74) [98].
Scheme 74.
Yakovenko et al. (2017).
Phanindrudu et al. carried out a tandem nano Cu0/Fe3O4-catalyzed reaction of terminal alkynes 235 and trimethylsilyl azide. In this procedure developed to synthesize sulfur-containing triazoles 236, the trimethylsilyl azide and dimethyl sulfoxide acted as nitrogen and sulfur sources, respectively. The authors showed that the catalyst was magnetically recovered and can be reused six times without any significant loss of activity (Scheme 75) [99].
Scheme 75.
Phanindrudu et al. (2016).
The team of Palchak performed a tandem copper-catalyzed silyl deprotection/azide cycloaddition to access alpha-tetrasubstituted triazole derivatives 239 from propargylamines 237. The better activity of copper(II) triflate in the formation of triazoles from sensitive alkyne substrates was effectively extended to simple terminal alkynes. The catalyst combination of copper(II) triflate and sodium ascorbate allowed the use of sensitive and hindered substrates (Scheme 76) [100].
Scheme 76.
Palchak et al. (2015).
The Rakshit group described a tandem Sonogashira coupling-CuAAC reaction to obtain some annulated 1,2,3-triazoles 242. This protocol was applied successfully by the palladium(0)-copper(I)-catalyzed intramolecular heteroannulation of various 2-/1-azido-methyl-1-/2-bromodihydro-naphthalenes, -arene, and -cyclo alkenes 240 with some terminal alkynes 241 (Scheme 77) [101].
Scheme 77.
Rakshit et al. (2015).
Wen and co-workers attempted and achieved benzo[4,5]thiazolo[2,3-c][1,2,4]triazoles 245 via a tandem intermolecular C−N bond and intramolecular C−S bond formation sequence. The derivatives were prepared from o-bromo-arylisothiocyanates 243 and aroylhydrazides 244 under water with CuCl2·2H2O/11,10-phenanthroline as the catalyst (Scheme 78) [102].
Scheme 78.
Wen et al. (2015).
The Wang team achieved the synthesis of 1,4,5-trisubstituted 5-dialkylamino-1,2,3-triazoles 249 using a tandem approach. Various derivatives were obtained, at room temperature, from the reaction of 1-copper alkynes 246, azides 247, and o-benzoyl hydroxylamines 248 for only five minutes (Scheme 79) [103]. The authorsalso presented the results when the reaction was carried out in 1,2-dichloroethane for 5h.
Scheme 79.
Wang et al. (2015).
Ning and co-workers obtained a library offused 1,2,3-triazoles 251 by performing a tandem cyclization of diynes 250 with TMSN3 and silver catalysis in the presence of H2O. This protocol involved a cascade hydroazidation and alkyne−azide 1,3-dipolar cycloaddition of diynes, and it was shown to be compatible with a broad substrate scope and have a good functional group tolerance and high efficiency (Scheme 80) [104].
Scheme 80.
Ning et al. (2015).
The group of Verma reported the successful construction of several 1,2,3-triazole-containing pyridines 254–255 by performing one-pot tandem copper-catalyzed azidation and CuAAC reaction from sodium azide and the corresponding halides (Scheme 81) [105].
Scheme 81.
Verma et al. (2015).
Roy et al. achieved the synthesis of tetrahydro[1,2,3]triazolopyrazines 257 in mixed aqueous–organic media by employing a one-pot 1,3-dipolar cycloaddition reaction followed by a tandem intramolecular 6-exo-dig cycloaddition reaction. The construction of triazole-fused pyrazines was prepared with several amino acids and primary amines 256. The authors pointed out that the method reported was limited to substrates bearing terminal alkynes (Scheme 82) [106].
Scheme 82.
Roy et al. (2014).
Shaabani and co-workers described the synthesis of trifunctional coumarin-amide-triazole containing compounds 264 via a one-pot tandem Knoevenagel/Ugi/click reaction, six-component sequence (258–263), from readily available starting materials at room temperature in ethanol in excellent overall yields. This methodology involved the preparation in situ of coumarin-3-carboxylic acid and a terminal triazole ring (Scheme 83) [107].
Scheme 83.
Shaabani et al. (2014).
The Prasanna team introduced a tandem double 1,3-dipolar cycloaddition reaction for the synthesis of heterocycle-grafted sugar macrocycles 268. The team developed triazole-linked macrocycles grafted with a glycospiro heterocycle using a stereo and regioselective tandem approach (Scheme 84) [108].
Scheme 84.
Prasanna et al. (2014).
Das and co-workers generated a [Ru(dppp)2Cl][BPh4] complex to catalyze a homocoupling reaction of alkynes and subsequent tandem alkyne–azide cycloaddition. The ruthenium complex was successfully used for the one-pot synthesis of 4-substituted-5-alkynyl-1,2,3-trazoles 270 (Scheme 85) [109].
Scheme 85.
Das et al. (2014).
Gomes et al. prepared 5-amino-1H-1,2,3-triazoles 273 using a tandem cycloaddition between azides 271 and nitriles 272 in THF at room temperature (Scheme 86) [110].
Scheme 86.
Gomes et al. (2013).
Niu and co-workers monitored a classical one-pot tandem Ugi multicomponent reaction (MCR)/click reaction sequence not requiring protecting groups. Several 1H-1,2,3-triazole-modified Ugi-reaction products were synthesized successfully [111]. Encouraged by these results, the team attempted to carry out the analogous reaction with azidobenzaldehyde 275 and azidobenzoic acid 276 in one pot; benzylamine (274) and tert-butyl isocyanide (63) were used to form the amide of the amino acid moiety of the triazole-modified Ugi-reaction product. Thus, a triazole-modified Ugi-reaction product 277 containing two 1H-1,2,3-triazole units in both the terminal and side-chain positions was successfully synthesized (Scheme 87).
Scheme 87.
Niu et al. (2012).
Reddy and Swamy managed a route to the construction of [6,6]-, [6,7]-, [6,8]-, and [6,9] ring-fused triazoles 282–285 by copper-catalyzed, tandem, one-pot click and intramolecular arylation reactions. This procedure used two distinct mechanisms: First one was the well-known atom-economical click reaction and the second was the direct arylation of 1,2,3-triazole. Furthermore, the difference of reactivity between the fused triazoles prepared from 2-bromobenzyl azide and 2-bromophenyl azide led to a fused pentacyclic heterocycle for the former and a C–C-coupled, biphenyl-fused, tricyclic product for the latter under Pd catalysis (Scheme 88) [112].
Scheme 88.
Reddy and Swamy (2012).
The group of García-Álvarez prepared triazol-enol-lactones 290 via a one-pot tandem orthogonal reaction. The protocol developed in water was catalyzed using two complexes: Trans-[PdCl2{μ2-N,S-(PTA)=NP(=S)(OEt)2}]2(288) and [Cu{μ2-N,S-(-(PTA)=NP(=S)(OEt)2}]x[SbF6]x (289). The reaction to synthesize bicyclic triazol-enol-lactones was conducted at room temperature under aerobic conditions and involved the cycloisomerization of γ-alkynoic acids, followed by a 1,3-dipolar cycloaddition of azides 287 with terminal alkynes 286 (Scheme 89) [113].
Scheme 89.
García-Álvarez et al. (2012).
Yan and co-workers carried out the preparation of [1,2,3]triazolo-[1,5-a]quinoxalin-4(5H)-ones 292 through a copper-catalyzed tandem approach. The methodology was based on the copper-promoted reaction of a variety of 1-(2-haloaryl)propamides 291 with sodium azide via a tandem azide alkyne cycloaddition/Ullmann CN coupling process (Scheme 90) [114].
Scheme 90.
Yan et al. (2012).
The Barange team obtained triazolothiadiazepine-1,1-dioxide derivatives 294 via copper-catalyzed [3+2] cycloaddition, followed by N-arylation. The synthetic route studied was successfully used to also synthesize indoline- and thiophene-fused triazolothiadiazepine 1,1-dioxide derivatives in moderate to good yields (Scheme 91) [115].
Scheme 91.
Barange et al. (2011).
Fletcher and Reilly employed two-step one-pot tandem reactions with terminal alkynes 296 and three-step one-pot tandem reactions with trimethylsilyl-protected alkynes 297 to prepare 1,2,3-triazole derivatives 298. The various azidoarenes were achieved under click reaction conditions of CuSO4/Na ascorbate catalyst with a 1:1 t-BuOH/H2O mixture as solvent (Scheme 92) [116].
Scheme 92.
Fletcher and Reilly (2011).
Kolarovic et al. investigated a decarboxylative Cu(I)-catalyzed azide alkyne cycloaddition under tandem catalysis conditions. The methodology involved the decarboxylative coupling of alkynoic acids 300 and 1,3-dipolar cycloaddition of azides, enabling a highly efficient production of a variety of functionalized 1,2,3-triazoles 301. The three-step, one-pot method avoided the use of highly volatile terminal alkynes, reduced the handling of often unstable and sometimes explosive azides to a minimum, and furnished the target structures in excellent purity and yields (Scheme 93) [117].
Scheme 93.
Kolarovic et al. (2011).
Gulevskaya and co-workers demonstrated a possible tandem cyclization of 2,3-dialkynylpyrazines 302 into [1,2,3]triazolo[1′,5′;1,2]pyrido[3,4-b]pyrazines 303 using sodium azide in DMF at room temperature. The reaction performed involved a 1,3-dipolar cycloaddition of an azide ion to the carbon–carbon triple bond followed by intramolecular nucleophilic addition of the generated intermediate 1,2,3-triazole N-anion to another C–C bond (Scheme 94) [118].
Scheme 94.
Gulevskaya et al. (2010).
Proulx and Lubell described the synthesis of aza-1,2,3-triazole-3-alaninyl 305 in a copper-catalyzed tandem aryl azide formation/1,3-dipolar cycloaddition approach. For that, a 1,3-dipolar cycloaddition with aryl iodides, sodium azide, and copper iodide must be carried out in a tandem aryl azide formation/cycloaddition reaction cascade (Scheme 95) [119].
Scheme 95.
Proulx and Lubell (2010).
Campbell-Verduyn et al. attained the combination of the azide-induced ring opening of epoxides 306 with the copper-catalyzed 1,3-dipolar cycloaddition of azides 307 and alkynes 309. The reaction protocol was carried out by the one-pot tandem biocatalytic enantioselective epoxide ring opening and click reaction to obtain hydroxy triazoles 310 in aqueous solution with neutral pH at room temperature (Scheme 96) [120].
Scheme 96.
Campbell-Verduyn et al. (2010).
The team of Pokhodylo reported the synthesis of 1-(R-phenyl)-5-(R-methyl)-1H-1,2,3-triazole-4-carboxylic acids 313. Various substituted 1,2,3-triazole acids were obtained in good yields by a three-component reaction involving arylazides 311, ethyl 4-chloro-3-oxobutanoate 312, and either O- or S-nucleophiles in the presence of a base. The reaction most probably proceeded as a [3+2] cyclocondensation reaction between arylazide and ethyl 4-chloro-3-oxobutanoate followed by an additional nucleophilic substitution of chlorine in the chloromethyl group (Scheme 97) [121].
Scheme 97.
Pokhodylo et al. (2010).
Malnuit and co-workers also published a three-component approach to synthesize 4,5-functionalized triazolyl-nucleosides 316. Their method involved the one-pot azide–alkyne 1,3-cycloaddition/electrophilic addition tandem reaction (Scheme 98) [122].
Scheme 98.
Malnuit et al. (2009).
The group of Kaliappan studied click chemistry on sugar-derived alkynes 318. The methodology presented showed a tandem ‘click–click’ approach to the synthesis of 1,4-disubstituted 1,2,3-bistriazoles 320 from sugar-derived alkynes in moderate yields (Scheme 99) [123].
Scheme 99.
Kaliappan et al. (2009).
Zou et al. achieved 1,5-disubstituted triazole-fused sugars 322, 323 by applying a tandem 1,3-dipolar cycloaddition and intramolecular Michael addition approach. The team prepared triazole-fused carbohydrates by treating nitroalkene-containing C-glycosides 321 with sodium azide (Scheme 100) [124].
Scheme 100.
Zou et al. (2009).
Van Berkel et al. prepared the stable 1,2,3-triazole-linked compounds 327, 328 using a tandem [3+2] cycloaddition–retro-Diels–Alder ligation method. The library was obtained from trifluoromethyl-substituted oxanorbornadiene 324 and azides 325, 326 (Scheme 101) [125].
Scheme 101.
Van Berkel et al. (2007).
Marco and Kuduk performed the synthesis of fused [5,5]-1,2,4-triazoles 331 with a tandem cyclopropane rearrangement–cyclization sequence. Optimization of the cyclization of the amidrazone 330 was achieved thermally using isopropanol (iPrOH) with trimethylamine (Et3N). The strategy was applied to the synthesisof 3-substituted-7-aryl-pyrrolo-1,2,4-triazoles (Scheme 102) [126].
Scheme 102.
Marco and Kuduk (2006).
The group of van Maarseveen reported a tandem dimerization−macrocyclization approach. To achieve this, they used 1,3-dipolar azide−alkyne cycloaddition reactions in solution phase syntheses of C2 symmetric cyclic peptide scaffolds bearing triazole E2-amino acids 333 as dipeptide surrogates (Scheme 103) [127].
Scheme 103.
Van Maarseveen et al. (2005).
Chibale and co-workers synthesized arenesulfonamide derivatives of 3,5-diamino-1,2,4-triazole 336. The formation of the triazole ring on a large scale, in pure form and high yield, was obtained by tandem reaction promoted by sulfuryl chloride. The expected compounds were synthesized without the use of the highly hazardous hydrazine (Scheme 104) [128].
Scheme 104.
Chibale et al. (2002).
The team of Guo optimized a three-component tandem click/alkynylation reaction using an efficient catalyst complex prepared previously by them. The desired triazoles 340 were obtained from bromoalkyne 337, benzyl azide 338, and terminal alkynes 339 (Scheme 105) [129].
Scheme 105.
Guo et al. (2018).
Jadhav and co-workers developed an approach to obtain 1,2,3-triazole-fused isoindolines 342. This methodology applied a Cu(I)-catalyzed 1,6-conjugate addition of azides to o-alkynylated p-quinone methides and then an intramolecular click cycloaddition (Scheme 106) [130].
Scheme 106.
Jadhav et al. (2018).
Final note on Triazole: In all the studies that described the synthesis of the triazole ring using a tandem-catalyzed reaction, Cu, Pd, Ag, or Ru was used. More than 90% of the cases reported the use of copper.
4.2.6. Isoxazole
The isoxazole ring is an important pharmacophore in modern drug discovery. This nitrogen heterocyclic compound presents a wide variety of medicinal and biological activities (Figure 10) [2,22].
Figure 10.
Drugs containing the isoxazole ring.
Li et al. developed a procedure to obtain 5-hydroxy-4,5-dihydroisoxazoles 344 via a tandem reaction including ring-opening, Michael addition, and ring-closure. This metal-free approach afforded several 5-hydroxy-4,5-dihydroisoxazoles in excellent yields from 4-iodo-5-hydroxy-furan-2-ones 343 and hydroxylamine hydrochloride (Scheme 107) [131].
Scheme 107.
Li et al. (2019).
Kavala and co-workers described the reaction of 2-(2-halophenyl)halobenzamides 345 with nitrogen nucleophiles 346 for the preparation of benzoxazole derivatives 347. This procedure involved copper-catalyzed one-pot tandem C–N/C–O coupling reactions (Scheme 108) [132].
Scheme 108.
Kavala et al. (2012).
Wei and co-workers reported a one-pot tandem Cloke−Wilson/Boulton−Katritzky reaction of cyclopropylketones 348 with a hydroxylamine. In this study, the hydroxylamine was recycled internally and served as both a catalyst and a reactant. (Scheme 109) [133].
Scheme 109.
Wei et al. (2018).
Mishra and co-workers successfully developed a route to prepare 2-aryl benzoxazoles 351 using triazolyl derivatives of D-glucose as potential ligands for Cu(I)-catalyzed cross-coupling (Scheme 110). The approach involved an intramolecular Ullmann-type C-heteroatom coupling. Additionally, it was applied for the synthesis of other heterocycles (2-arylbenzothiazoles, 2-arylbenzimidazoles, 2-aminobenzothiazoles, and benzimidazo[2,1-b]quinazolin-12(6H)-ones) [134].
Scheme 110.
Mishra et al. (2019).
Motornov et al. developed a tandem [4+1]/[3+2] cycloaddition from various fluoronitroalkenes, halogenated dicarbonyl compounds, and dipolarophiles. The group proposed a mechanism that included the intermediate formation of elusive 3-fluoro-isoxazoline-N-oxides as a key point in the preparation of the desired products 355 (Scheme 111) [135].
Scheme 111.
Motornov et al. (2018).
Final note on Isoxazole: The teams that have demonstrated isoxazole ring synthesis using a tandem-catalyzed approach used CuI as a complex.
5. Conclusions
As showcased by the examples in this review, tandem catalysis can be a valid tool for medicinal chemists because of the high atom economy generated. Tandem reactions have often been used particularly in the total synthesis sequences of natural products, and we have seen its applicability to interesting heterocyclic substrates. Tandem reactions, in which several catalysts and reagents are combined in a single reaction flask with a sequence of catalytic steps, are attractive from the point of view of reducing waste and time. These reactions can be carried out by radical and pericyclic cascades or by nucleophilic and electrophilic attack, but when this type of reaction is combined with transition-metal-catalytic processes, we increase the power of the sequences in terms of atom economy, and reduction of reaction time and waste. Being able to carry out this type of sequence in so-called green solvents would, of course, be an additional step toward limiting the environmental impact of the development of interesting molecules.
Author Contributions
Conceptualization and methodology, J.F.C. and S.B.-R.; investigation, J.F.C.; data curation, J.F.C. and S.B.-R.; writing—original draft preparation, J.F.C.; writing—review and editing, S.B.-R.; supervision, project administration, and funding acquisition, S.B.-R. All authors have read and agreed to the published version of the manuscript.
Funding
This research received no external funding.
Conflicts of Interest
The authors declare no conflict of interest.
References
- Taylor, R.D.; MacCoss, M.; Lawson, A.D.G. Rings in Drugs. J. Med. Chem. 2014, 57, 5845–5859. [Google Scholar] [CrossRef]
- Vitaku, E.; Smith, D.T.; Njardarson, J.T. Analysis of the Structural Diversity, Substitution Patterns, and Frequency of Nitrogen Heterocycles among U.S. FDA Approved Pharmaceuticals. J. Med. Chem. 2014, 57, 10257–10274. [Google Scholar] [CrossRef]
- Climent, M.J.; Corma, A.; Iborra, S. Heterogeneous Catalysts for the One-Pot Synthesis of Chemicals and Fine Chemicals. Chem. Rev. 2011, 111, 1072–1133. [Google Scholar] [CrossRef] [PubMed]
- Climent, M.J.; Corma, A.; Iborra, S. Homogeneous and heterogeneous catalysts for multicomponent reactions. RSC Adv. 2012, 2, 16–58. [Google Scholar] [CrossRef]
- Hayashi, Y. Pot economy and one-pot synthesis. Chem. Sci. 2016, 7, 866–880. [Google Scholar] [CrossRef]
- Fogg, D.E.; dos Santos, E.N. Tandem catalysis: A taxonomy and illustrative review. Coord. Chem. Rev. 2004, 248, 2365–2379. [Google Scholar] [CrossRef]
- Abou-Shehada, S.; Williams, J.M.J. Separated tandem catalysis: It’s about time. Nat. Chem. 2014, 6, 12–13. [Google Scholar] [CrossRef]
- Lohr, T.L.; Marks, T.J. Orthogonal tandem catalysis. Nat. Chem. 2015, 7, 477–482. [Google Scholar] [CrossRef] [PubMed]
- Serrano-Molina, D.; Martín-Castro, A.M. Tandem Sequences Involving Michael Additions and Sigmatropic Rearrangements. Synthesis 2016, 48, 3459–3469. [Google Scholar] [CrossRef]
- Sears, J.E.; Boger, D.L. Tandem Intramolecular Diels–Alder/1,3-Dipolar Cycloaddition Cascade of 1,3,4-Oxadiazoles: Initial Scope and Applications. Acc. Chem. Res. 2016, 49, 241–251. [Google Scholar] [CrossRef]
- Kou, K.G.M.; Dong, V.M. Tandem rhodium catalysis: Exploiting sulfoxides for asymmetric transition-metal catalysis. Org. Biomol. Chem. 2015, 13, 5844–5847. [Google Scholar] [CrossRef] [PubMed]
- Climent, M.J.; Corma, A.; Iborra, S.; Sabater, M.J. Heterogeneous Catalysis for Tandem Reactions. ACS Catal. 2014, 4, 870–891. [Google Scholar] [CrossRef]
- Pellissier, H. Recent Developments in Enantioselective Multicatalysed Tandem Reactions. Tetrahedron 2013, 69, 7171–7210. [Google Scholar] [CrossRef]
- Robert, C.; Thomas, C.M. Tandem catalysis: A new approach to polymers. Chem. Soc. Rev. 2013, 42, 9392–9402. [Google Scholar] [CrossRef] [PubMed]
- Behr, A.; Vorholt, A.J.; Ostrowskia, K.A.; Seidensticker, T. Towards resource efficient chemistry: Tandem reactions with renewables. Green Chem. 2014, 16, 982–1006. [Google Scholar] [CrossRef]
- Foster, R.A.A.; Willis, M.C. Tandem inverse-electron-demand hetero-/retro-Diels–Alder reactions for aromatic nitrogen heterocycle synthesis. Chem. Soc. Rev. 2013, 42, 63–76. [Google Scholar] [CrossRef]
- Albert, M.; Fensterbank, L.; Lacôte, E.; Malacria, M. Tandem Radical Reactions. In Radicals in Synthesis II, Topics in Current Chemistry; Springer: Berlin/Heidelberg, Germany, 2006; Volume 264, pp. 1–62. ISBN 978-3-540-31326-7. [Google Scholar]
- Wasilke, J.-C.; Obrey, S.J.; Baker, R.T.; Bazan, G.C. Concurrent Tandem Catalysis. Chem. Rev. 2005, 105, 1001–1020. [Google Scholar] [CrossRef]
- Nicolaou, K.C.; Montagnon, T.; Snyder, S.A. Tandem reactions, cascade sequences, and biomimetic strategies in total synthesis. Chem. Commun. 2003, 5, 551–564. [Google Scholar] [CrossRef]
- Schmalz, H.-G.; Geis, O. Reactions of Acylpalladium Derivatives with Oxygen, Nitrogen, and Other Group 15, 16, and 17 Atom Nucleophiles: Tandem and Cascade Processes Terminated by Carbonylative Esterification, Amidation, and Related Reactions. In Handbook of Organopalladium Chemistry for Organic Synthesis; Negishi, E.-I., Ed.; John Wiley & Sons, Inc.: New York, NY, USA, 2002; Volume 6, pp. 2377–2397. ISBN 9780471212461. [Google Scholar]
- Camp, J.E. Auto-Tandem Catalysis: Activation of Multiple, Mechanistically Distinct Process by a Single Catalyst. Eur. J. Org. Chem. 2017, 2017, 425–433. [Google Scholar] [CrossRef]
- Baumann, M.; Baxendale, I.R.; Ley, S.V.; Nikbin, N. An overview of the key routes to the best selling 5-membered ring heterocyclic pharmaceuticals. Beilstein J. Org. Chem. 2011, 7, 442–495. [Google Scholar] [CrossRef] [PubMed]
- Tiwari, J.; Singh, S.; Tufail, F.; Jaiswal, D.; Singh, J.; Singh, J. Glycerol Micellar Catalysis: An Efficient Multicomponent-Tandem Green Synthetic Approach to Biologically Important 2,4-Disubstituted Thiazole Derivatives. ChemistrySelect 2018, 3, 11634–11642. [Google Scholar] [CrossRef]
- Hao, W.; Sang, X.; Jiang, J.; Cai, M. Copper(I)-catalyzed cascade reaction of 2-haloaryl isothiocyanates with isocyanides: A strategy to construct benzo[d]imidazo[5,1-b]thiazoles. Tetrahedron Lett. 2016, 57, 1511–1514. [Google Scholar] [CrossRef]
- Shahvelayati, A.S.; Ashouri, A.; Delbari, A.S. Ionic Liquid as a Green Media for the One-Pot Synthesis of New α- Thiazolodepsipeptide Derivatives via a Four-Component Reaction. Lett. Org. Chem. 2016, 13, 100–106. [Google Scholar] [CrossRef]
- Bodireddy, M.R.; Mohinuddin, P.M.K.; Gundala, T.R.; Reddy, N.C.G. Lactic acid-mediated tandem one-pot synthesis of 2-aminothiazole derivatives: A rapid, scalable, and sustainable process. Cogent Chem. 2016, 2, 1154237. [Google Scholar] [CrossRef]
- Khodaei, M.M.; Alizadeh, A.; Kanjouri, T. An Efficient, One-Pot, Green Synthesis of Tetracyclic Imidazo[2,1-b]Thiazoles via Electrochemically Induced Tandem Heteroannulation Reactions. J. Heterocycl. Chem. 2013, 50, 23–28. [Google Scholar] [CrossRef]
- Beresneva, T.; Popelis, J.; Abele, E. Novel Cu-catalyzed methods for the synthesis of fused thiazoles using S,N-diarylation reaction. Chem. Heterocycl. Compd. 2013, 49, 345–347. [Google Scholar] [CrossRef]
- Madhav, B.; Murthy, S.N.; Kumar, B.S.P.A.; Ramesh, K.; Nageswar, Y.V.D. A tandem one-pot aqueous phase synthesis of thiazoles/selenazoles. Tetrahedron Lett. 2012, 53, 3835–3838. [Google Scholar] [CrossRef]
- Pagano, N.; Heil, M.L.; Cosford, N.D.P. Automated Multistep Continuous Flow Synthesis of 2-(1H-Indol-3-yl)thiazole Derivatives. Synthesis 2012, 44, 2537–2546. [Google Scholar] [CrossRef]
- Kwak, S.H.; Lee, G.-H.; Gong, Y.-D. Synthesis of N-Substituted-2-Aminothiazolo[4,5-b]pyrazines by Tandem Reaction of o-Aminohalopyrazines with Isothiocyanates. Bull. Korean Chem. Soc. 2012, 33, 4271–4274. [Google Scholar] [CrossRef][Green Version]
- Shklyarenko, A.A.; Nasledov, D.G.; Yakovlev, V.V. (2,3-Dibromopropylsulfonyl)arenes in S,N-Tandem Heterocyclizations. New Synthesis of Triazolothiazolidines. Russ. J. Org. Chem. 2005, 41, 627–628. [Google Scholar] [CrossRef]
- Mochulskaya, N.N.; Andreiko, A.A.; Kodess, M.I.; Vasileva, E.B.; Filyakova, V.I.; Gubaidullin, A.T.; Litvinov, I.A.; Sinyashin, O.G.; Aleksandrov, G.G.; Charushin, V.N. Annelation of the thiazole ring to 1,2,4-triazines by tandem AN—AN or SN H—SN H reactions. Russ. Chem. Bull. 2004, 53, 1279–1289. [Google Scholar] [CrossRef]
- You, S.-L.; Razavi, H.; Kelly, J.W. A Biomimetic Synthesis of Thiazolines Using Hexaphenyloxodiphosphonium Trifluoromethanesulfonate. Angew. Chem. Int. Ed. 2003, 42, 83–85. [Google Scholar] [CrossRef]
- Wang, Z.; Ren, J.; Li, Z. A Novel Method for the Synthesis of Pyrazolo[5,1-b]Thiazole. Synth. Commun. 2000, 30, 763–769. [Google Scholar] [CrossRef]
- Raman, P.; Razavi, H.; Kelly, J.W. Titanium(IV)-Mediated Tandem Deprotection−Cyclodehydration of Protected Cysteine N-Amides: Biomimetic Syntheses of Thiazoline- and Thiazole-Containing Heterocycles. Org. Lett. 2000, 2, 3289–3292. [Google Scholar] [CrossRef] [PubMed]
- Patel, A.R.; Patel, G.; Banerjee, S. Visible Light-Emitting Diode Light-Driven Cu0.9Fe0.1@RCAC- Catalyzed Highly Selective Aerobic Oxidation of Alcohols and Oxidative Azo-Coupling of Anilines: Tandem One Pot Oxidation− Condensation to Imidazoles and Imines. ACS Omega 2019, 4, 22445–22455. [Google Scholar] [CrossRef] [PubMed]
- Chen, E.; Shao, J.; Tang, P.; Shu, K.; Chen, W.; Yu, Y. Catalyst-free three-component sequencing for efficient assembly of [1,3]oxazine N-fused imidazole-2-thiones. Green Chem. 2018, 20, 3696–3699. [Google Scholar] [CrossRef]
- Kumar, S.; Ho, P.-H.; Barve, I.J.; Sun, C.-M. Enantiospecific Synthesis of Imidazoquinazolin-2-ones via Base-Catalyzed Tandem Cyclization. ChemistrySelect 2017, 2, 8917–8921. [Google Scholar] [CrossRef]
- Yan, L.; Wang, D.-L.; Qian, J.-H. A Facile Synthesis of Novel Pyrido[2′,1′:2,3]Imidazo[4,5-c]β-Carbolines. Heterocycles 2017, 94, 334–341. [Google Scholar] [CrossRef]
- Wang, F.-J.; Xu, H.; Xin, M.; Zhang, Z. Ι₂-mediated amination/cyclization of ketones with 2-aminopyridines under high-speed ball milling: Solvent- and metal-free synthesis of 2,3-substituted imidazo[1,2-a]pyridines and zolimidine. Mol. Divers. 2016, 20, 659–666. [Google Scholar] [CrossRef]
- Devi, N.; Singh, D.; Sunkaria, R.K.; Malakar, C.C.; Mehra, S.; Rawal, R.K.; Singh, V. In(OTf) 3-HBF4 Assisted Multicomponent Approach for One-Pot Synthesis of Pyrazolopyridinone Fused Imidazopyridines. ChemistrySelect 2016, 1, 4696–4703. [Google Scholar] [CrossRef]
- An, L.; Sun, X.; Lv, M.; Zhou, J.; Zhu, F.; Zhong, H. Metal-free oxidative coupling of aminopyridines with nitroolefins to imidazo[1,2-a]pyridine in the presence of I2–TBHP–pyridine. Z. Nat. B 2016, 71, 141–147. [Google Scholar] [CrossRef]
- Harutyunyan, A.A. One-stage synthesis of condensed pyrimidines by reaction of substituted 3-(pyrimidin-5-yl)propanoic acids with ortho-diamines: Extension of limits. Russ. J. Org. Chem. 2016, 52, 235–239. [Google Scholar] [CrossRef]
- Li, T.; Wang, Z.; Xu, K.; Liu, W.; Zhang, X.; Mao, W.; Guo, Y.; Ge, X.; Pan, F. Rhodium-Catalyzed/Copper-Mediated Tandem C(sp2)–H Alkynylation and Annulation: Synthesis of 11-Acylated Imidazo[1,2-a:3,4-a′]dipyridin-5-ium-4-olates from 2H-[1,2′-Bipyridin]-2-ones and Propargyl Alcohols. Org. Lett. 2016, 18, 1064–1067. [Google Scholar] [CrossRef] [PubMed]
- Balijapalli, U.; Iyer, S.K. CuO-CuAl2O4 and D-glucose catalyzed synthesis of a family of excited state intramolecular proton transfer imidazo[1,2-a]pyridine analogues and their optical properties. Dyes Pigments 2015, 121, 88–98. [Google Scholar] [CrossRef]
- Cai, Q.; Liu, M.-C.; Mao, B.-M.; Xie, X.; Jia, F.-C.; Zhu, Y.-P.; Wu, A.-X. Direct one-pot synthesis of zolimidine pharmaceutical drug and imidazo[1,2-a]pyridine derivatives via I2/CuO-promoted tandem strategy. Chin. Chem. Lett. 2015, 26, 881–884. [Google Scholar] [CrossRef]
- Milišiūnaitė, V.; Arbačiauskienė, E.; Bieliauskas, A.; Vilkauskaitė, G.; Šačkus, A.; Holzer, W. Synthesis of pyrazolo[4′,3′:3,4]pyrido[1,2-a]benzimidazoles and related new ring systems by tandem cyclisation of vic-alkynylpyrazole-4-carbaldehydes with (het) aryl-1,2-diamines and investigation of their optical properties. Tetrahedron 2015, 71, 3385–3395. [Google Scholar] [CrossRef]
- Stasyuk, A.J.; Banasiewicz, M.; Ventura, B.; Cyranski, M.K.; Gryko, D.T. Benzo[a]imidazo[5,1,2-cd]indolizines—A new class of molecules displaying excited state intramolecular proton transfer. New J. Chem. 2014, 38, 189–197. [Google Scholar] [CrossRef]
- Stasyuk, A.J.; Banasiewicz, M.; Cyrański, M.K.; Gryko, D.T. Imidazo[1,2-a]pyridines Susceptible to Excited State Intramolecular Proton Transfer: One-Pot Synthesis via an Ortoleva–King Reaction. J. Org. Chem. 2012, 77, 5552–5558. [Google Scholar] [CrossRef]
- Manna, S.K.; Panda, G. Microwave assisted [RuCl2(p-cymene)2]2 catalyzed regioselective endo-tandem cyclization involving imine and alkyne activation: An approach to benzo[4,5]imidazo[2,1-a]pyridine scaffold. RSC Adv. 2014, 4, 21032–21041. [Google Scholar] [CrossRef]
- Silvani, A.; Lesma, G.; Crippa, S.; Vece, V. Multicomponent access to novel dihydroimidazo[1′,5′:1,2]pyrido[3,4-b]indol-2-ium salts and indoles by means of Ugi/Bischler–Napieralski/heterocyclization two step strategy. Tetrahedron 2014, 70, 3994–4001. [Google Scholar] [CrossRef]
- Zhao, D.; Wang, T.; Shen, Q.; Li, J.-X. n-Bu4NI-catalyzed selective dual amination of sp3 C–H bonds: Oxidative domino synthesis of imidazo[1,5-c]quinazolines on a gram-scale. Chem. Commun. 2014, 50, 4302–4304. [Google Scholar] [CrossRef] [PubMed]
- Ciuciu, A.I.; Firmansyah, D.; Hugues, V.; Blanchard-Desce, M.; Gryko, D.T.; Flamigni, L. Non-classical donor–acceptor–donor chromophores. A strategy for high two-photon brightness. J. Mater. Chem. C 2014, 2, 4552–4565. [Google Scholar] [CrossRef]
- Ventosa-Andrés, P.; Hradilová, L.; Krchňák, V. Privileged Structures as Peptide Backbone Constraints: Polymer-Supported Stereoselective Synthesis of Benzimidazolinopiperazinone Peptides. ACS Comb. Sci. 2014, 16, 359–366. [Google Scholar] [CrossRef]
- Cankarova, N.; Krchňák, V. Polymer-Supported Stereoselective Synthesis of Benzimidazolinopiperazinones. J. Org. Chem. 2012, 77, 5687–5695. [Google Scholar] [CrossRef] [PubMed]
- Chanu, L.G.; Singh, T.P.; Jang, Y.J.; Yoon, Y.-J.; Singh, O.M.; Lee, S.-G. Synthesis of Imidazo[1,2-a]pyridines and Pyrido[1,2-a]pyrimidines in Water and their SNAr Cyclizations. Bull. Korean Chem. Soc. 2014, 35, 994–1000. [Google Scholar] [CrossRef]
- Cherney, E.; Macor, J.; Papanagapolous, C.; Hunt, D.A. Tandem cyclization reactions of electron rich arylethylamino acid amides. An entry to the dihydroimidazoisoquinolin-3(2H)-one ring system. Tetrahedron Lett. 2014, 55, 4837–4839. [Google Scholar] [CrossRef]
- Hao, W.; Zeng, J.; Cai, M. The copper(i)-catalyzed tandem reaction of o-alkynylphenyl isothiocyanates with isocyanides: A rapid synthesis of 5H-benzo[d]imidazo[5,1-b][1,3]thiazines. Chem. Commun. 2014, 50, 11686–11689. [Google Scholar] [CrossRef]
- Hao, W.; Jiang, Y.; Cai, M. Synthesis of Indolyl Imidazole Derivatives via Base-Promoted Tandem Reaction of N-[2-(1-Alkynyl)phenyl]carbodiimides with Isocyanides. J. Org. Chem. 2014, 79, 3634–3640. [Google Scholar] [CrossRef]
- Santra, S.; Bagdi, A.K.; Majee, A.; Hajra, A. Iron (III)-Catalyzed Cascade Reaction between Nitroolefins and 2-Aminopyridines: Synthesis of Imidazo[1,2-a]pyridines and Easy Access towards Zolimidine. Adv. Synth. Catal. 2013, 355, 1065–1070. [Google Scholar] [CrossRef]
- Ge, W.; Zhu, X.; Wei, Y. Aerobic Multicomponent Tandem Synthesis of 3-Sulfenylimidazo[1,2-a]pyridines from Ketones, 2-Aminopyridines, and Disulfides. Eur. J. Org. Chem. 2013, 27, 6015–6020. [Google Scholar] [CrossRef]
- Pericherla, K.; Kaswan, P.; Khedar, P.; Khungar, B.; Parang, K.; Kumar, A. Copper catalyzed tandem oxidative C-H amination/cyclizations: Direct access to imidazo[1,2-a]pyridines. RSC Adv. 2013, 3, 18923–18930. [Google Scholar] [CrossRef]
- Bagdi, A.K.; Rahman, M.; Santra, S.; Majee, A.; Hajra, A. Copper-Catalyzed Synthesis of Imidazo[1,2-a]pyridines through Tandem Imine Formation-Oxidative Cyclization under Ambient Air: One-Step Synthesis of Zolimidine on a Gram-Scale. Adv. Synth. Catal. 2013, 355, 1741–1747. [Google Scholar] [CrossRef]
- Ramesha, A.B.; Raghavendra, G.M.; Nandeesh, K.N.; Rangappa, K.S.; Mantelingu, K. Tandem approach for the synthesis of imidazo[1,2-a]pyridines from alcohols. Tetrahedron Lett. 2013, 54, 95–100. [Google Scholar] [CrossRef]
- Nie, Y.-B.; Duan, Z.; Ding, M.-W. New efficient synthesis of 1,2,4-trisubstituted imidazoles and imidazo[1,2-c]quinazolines by a tandem aza-Wittig/electrocyclic ring-closure process. Tetrahedron 2012, 68, 965–971. [Google Scholar] [CrossRef]
- Lach, F.; Koza, P. Practical Way to Imidazo[4,5-b] and [4,5-c]Pyridine-2-ones via Cascade Ureidation/Palladium-Catalyzed Cyclization. ACS Comb. Sci. 2012, 14, 491–495. [Google Scholar] [CrossRef]
- Liu, G.; Cong, X.; He, J.; Luo, S.; Wu, D.; Lan, J. Regioselective Synthesis of 2- and 3-Substituted Imidazo[1,2-a]pyridines. J. Chem. Res. 2012, 36, 687–690. [Google Scholar] [CrossRef]
- Rosenberg, A.J.; Clark, D.A. Total Synthesis of Pentosidine. Org. Lett. 2012, 14, 4678–4681. [Google Scholar] [CrossRef]
- Qiu, G.; Wu, J. Generation of benzoimidazo[1,5-a]imidazoles via a copper-catalyzed tandem reaction of carbodiimide and isocyanoacetate. Chem. Commun. 2012, 48, 6046–6048. [Google Scholar] [CrossRef] [PubMed]
- Liu, P.; Deng, C.-L.; Lei, X.; Lin, G.-Q. Tandem Amination/Cycloisomerization of Aryl Propargylic Alcohols with 2-Aminopyridines as an Expedient Route to Imidazo[1,2-a]pyridines. Eur. J. Org. Chem. 2011, 36, 7308–7316. [Google Scholar] [CrossRef]
- Kim, D.G.; Il’inykh, E.S.; Slepuhin, P.A. Tandem heterocyclization in the synthesis of novel imidazo[1,5-d][1,3,4]thiadiazine. Chem. Heterocycl. Compd. 2011, 46, 1418–1419. [Google Scholar] [CrossRef]
- Ouyang, H.-C.; Tang, R.-Y.; Zhong, P.; Zhang, X.-G.; Li, J.-H. CuI/I2-Promoted Electrophilic Tandem Cyclization of 2-Ethynylbenzaldehydes with ortho-Benzenediamines: Synthesis of Iodoisoquinoline-Fused Benzimidazoles. J. Org. Chem. 2011, 76, 223–228. [Google Scholar] [CrossRef] [PubMed]
- Xu, S.-Z.; Wu, J.; Cao, M.-H.; Ding, M.-W. Efficient synthesis of benzothieno[3,2-d]-imidazo[1,2-a]pyrimidine-2,5-(1H, 3H)-diones via a tandem aza-wittig/heterocumulene-mediated annulation. J. Heterocycl. Chem. 2010, 47, 68–71. [Google Scholar] [CrossRef]
- Hirota, S.; Sakai, T.; Kitamura, N.; Kubokawa, K.; Kutsumura, N.; Otani, T.; Saito, T. Synthesis of nitrogen heterocycle-fused 1,2,4-benzothiadiazine-1,1-dioxide, quinazolinone, and pyrrolidinone derivatives with a guanidine joint via sequential aza-Wittig reaction/intramolecular NH-addition cyclization/nucleophilic substitution ring closure methodology, using functionalyzed carbodiimides as key intermediates. Tetrahedron 2010, 66, 653–662. [Google Scholar] [CrossRef]
- Guchhait, S.K.; Madaan, C. Towards molecular diversity: Dealkylation of tert-butyl amine in Ugi-type multicomponent reaction product establishes tert-butyl isocyanide as a useful convertible isonitrile. Org. Biomol. Chem. 2010, 8, 3631–3634. [Google Scholar] [CrossRef] [PubMed]
- Okamoto, N.; Sakurai, K.; Ishikura, M.; Takeda, K.; Yanada, R. One-pot concise syntheses of benzimidazo[2,1-a]isoquinolines by a microwave-accelerated tandem process. Tetrahedron Lett. 2009, 50, 4167–4169. [Google Scholar] [CrossRef]
- Che, C.; Xiang, J.; Wang, G.-X.; Fathi, R.; Quan, J.-M.; Yang, Z. One-Pot Synthesis of Quinoline-Based Tetracycles by a Tandem Three-Component Reaction. J. Comb. Chem. 2007, 9, 982–989. [Google Scholar] [CrossRef]
- Loones, K.T.J.; Maes, B.U.W.; Dommisse, R.A. Synthesis of pyrido[2′,1′:2,3]imidazo[4,5-b]quinoline and pyrido[1′,2′:1,2]imidazo[4,5-b]quinoline and their benzo and aza analogs via tandem catalysis. Tetrahedron 2007, 63, 8954–8961. [Google Scholar] [CrossRef]
- Scott, J.P. Two-Step Synthesis of 3-Aryl-1,3-Dihydro-2H-imidazo[4,5-b]pyridin-2-ones. Synlett 2006, 13, 2083–2086. [Google Scholar] [CrossRef]
- Beresnev, D.G.; Rusinov, G.L.; Chupakhin, O.N.; Neunhoeffer, H. Interaction of 5-methoxy-1,2,4-triazines with ureas as a new route to 6-azapurines. Mendeleev Commun. 2000, 10, 58–59. [Google Scholar] [CrossRef]
- Li, H.; Li, X.; Wang, H.-Y.; Winston-McPherson, G.N.; Geng, H.-M.J.; Guzeic, I.A.; Tang, W. Copper-catalyzed tandem annulation/arylation for the synthesis of diindolylmethanes from propargylic alcohols. Chem. Commun. 2014, 50, 12293–12296. [Google Scholar] [CrossRef]
- Shu, D.; Song, W.; Li, X.; Tang, W. Rhodium- and Platinum-Catalyzed[4+3]Cycloaddition with Concomitant Indole Annulation: Synthesis of Cyclohepta[b]indoles. Angew. Chem. Int. Ed. 2013, 52, 3237–3240. [Google Scholar] [CrossRef] [PubMed]
- Shu, D.; Winston-McPherson, G.N.; Song, W.; Tang, W. Platinum-Catalyzed Tandem Indole Annulation/Arylation for the Synthesis of Diindolylmethanes and Indolo[3,2-b]carbazoles. Org. Lett. 2013, 15, 4162–4165. [Google Scholar] [CrossRef] [PubMed][Green Version]
- Chapyshev, S.V.; Ushakov, E.N. Tandem deprotonation/azide–tetrazole tautomerization of 4,6-diazido-N-nitro-1,3,5-triazin-2-amine in dimethylsulfoxide solutions: A theoretical study. Phys. Chem. Chem. Phys. 2015, 17, 17296–17300. [Google Scholar] [CrossRef] [PubMed]
- Ek, F.; Manner, S.; Wistrand, L.-G.; Frejd, T. Synthesis of Fused Tetrazole Derivatives via a Tandem Cycloaddition and N-Allylation Reaction and Parallel Synthesis of Fused Tetrazole Amines. J. Org. Chem. 2004, 69, 1346–1352. [Google Scholar] [CrossRef] [PubMed]
- Shie, J.-J.; Fang, J.-M. Direct Conversion of Aldehydes to Amides, Tetrazoles, and Triazines in Aqueous Media by One-Pot Tandem Reactions. J. Org. Chem. 2003, 68, 1158–1160. [Google Scholar] [CrossRef]
- Venigalla, L.S.; Maddila, S.; Jonnalagadda, S.B. Facile, efficient, catalyst-free, ultrasound-assisted one-pot green synthesis of triazole derivatives. J. Iran. Chem. Soc. 2020. [Google Scholar] [CrossRef]
- Duan, X.; Huang, X.; Fu, C.; Ma, S. Palladium-Catalyzed Highly Selective Three-Component Tandem Reaction to Bicyclic 1,2,3-Triazole Derivatives. Adv. Synth. Catal. 2019, 362, 627–647. [Google Scholar] [CrossRef]
- Gour, J.; Gatadi, S.; Pooladanda, V.; Ghouse, S.M.; Malasala, S.; Madhavi, Y.V.; Godugu, C.; Nanduri, S. Facile synthesis of 1,2,3-triazole-fused Indolo- and Pyrrolo[1,4]diazepines, DNA-binding and evaluation of their anticancer activity. Bioorg. Chem. 2019, 93, 103306. [Google Scholar] [CrossRef]
- Donikela, S.; Mainkar, P.S.; Nayani, K.; Chandrasekhar, S. Metal Free Domino β-Azidation/[3+2]Cycloaddition Reaction for the Synthesis of 1,2,3-Triazole-Fused Dihydrobenzoxazinones. J. Org. Chem. 2019, 84, 10546–10553. [Google Scholar] [CrossRef]
- Li, Z.; Zhao, H.; Han, H.; Song, J.; Liu, Y.; Guo, W.; Sun, Z.; Chu, W. A one-pot method for synthesis of reduced graphene oxide- supported Cu–Cu2O and catalytic application in tandem reaction of halides and sodium azide with terminal alkynes. Appl. Organomet. Chem. 2018, 32, e4301. [Google Scholar] [CrossRef]
- Boobalan, R.; Chen, C.; Lee, G.-H. Copper (I)-mediated tandem A3 coupling/[3+2] cycloaddition chemoselective synthesis of 4H-[1,2,3]triazolo[1,5-a]indoles. Catal. Commun. 2018, 107, 33–38. [Google Scholar] [CrossRef]
- Nandwana, N.K.; Shinde, V.N.; Saini, H.K.; Kumar, A. Copper-Catalyzed One-Pot Tandem Reaction for the Synthesis of Imidazo[1,2-c][1,2,3]triazolo[1,5-a]quinazolines. Eur. J. Org. Chem. 2017, 43, 6445–6449. [Google Scholar] [CrossRef]
- Hosseini, H.G.; Doustkhah, E.; Kirillova, M.V.; Rostamnia, S.; Mahmoudi, G.; Kirillov, A.M. Combining ethylenediamine and ionic liquid functionalities within SBA-15: A promising catalytic pair for tandem Cu–AAC reaction. Appl. Catal. A 2017, 548, 96–102. [Google Scholar] [CrossRef]
- Zheng, X.; Wan, Y.; Ling, F.; Ma, C. Copper-Catalyzed Tandem Reaction of Terminal Alkynes and Sulfonyl Azides for the Assembly of Substituted Aminotriazoles. Org. Lett. 2017, 19, 3859–3862. [Google Scholar] [CrossRef]
- Amdouni, H.; Robert, G.; Driowya, M.; Furstoss, N.; Métier, C.; Dubois, A.; Dufies, M.; Zerhouni, M.; Orange, F.; Lacas-Gervais, S.; et al. In Vitro and in Vivo Evaluation of Fully Substituted (5-(3-Ethoxy-3-oxopropynyl)-4-(ethoxycarbonyl)-1,2,3-triazolyl-glycosides as Original Nucleoside Analogues to Circumvent Resistance in Myeloid Malignancies. J. Med. Chem. 2017, 60, 1523–1533. [Google Scholar] [CrossRef] [PubMed]
- Yakovenko, G.G.; Yagodkina, M.S.; Bol’but, A.V.; Shishkina, S.V.; Vovk, M.V. Synthesis of new triazolo[1,5-b][2,4]benzodiazepines via tandem cyclization of o-(azidomethyl)benzoates with cyanoacetamides. Monatsh. Chem. 2017, 148, 1035–1041. [Google Scholar] [CrossRef]
- Phanindrudu, M.; Tiwari, D.K.; Aravilli, V.K.; Bhardwaj, K.C.; Sabapathi, G.; Likhar, P.R.; Tiwari, D.K. Magnetically Recoverable Cu0/Fe3O4-Catalysed One-Pot Tandem Synthesis of Sulfur-Containing Triazoles from Alkynes and Azide: DMSO Acts as an Alkylating Agent. Eur. J. Org. Chem. 2016, 27, 4629–4634. [Google Scholar] [CrossRef]
- Palchak, Z.L.; Nguyen, P.T.; Larsen, C.H. Synthesis of alpha-tetrasubstituted triazoles by copper-catalyzed silyl deprotection/azide cycloaddition. Beilstein J. Org. Chem. 2015, 11, 1425–1433. [Google Scholar] [CrossRef] [PubMed]
- Rakshit, M.; Kar, G.K.; Chakrabarty, M. A new general synthesis of annulated 1,2,3-triazoles using tandem Sonogashira-CuAAC reaction. Monatsh. Chem. 2015, 146, 1681–1688. [Google Scholar] [CrossRef]
- Wen, L.-R.; Li, S.-L.; Zhang, J.; Li, M. Convenient synthesis of benzo[4,5]thiazolo[2,3-c][1,2,4]triazoles with 1 mol% CuCl2·2H2O as catalyst in water. Green Chem. 2015, 17, 1581–1588. [Google Scholar] [CrossRef]
- Wang, B.; Liu, N.; Chen, W.; Huang, D.; Wang, X.; Hu, Y. Minutes Synthesis of 1,4,5-Trisubstituted 5-Dialkylamino-1,2,3-triazoles by 1-Copper(I)-Alkyne Controlled Tandem Process. Adv. Synth. Catal. 2015, 357, 401–407. [Google Scholar] [CrossRef]
- Ning, Y.; Wu, N.; Yu, H.; Liao, P.; Li, X.; Bi, X. Silver-Catalyzed Tandem Hydroazidation/Alkyne–Azide Cycloaddition of Diynes with TMS-N3: An Easy Access to 1,5-Fused 1,2,3-Triazole Frameworks. Org. Lett. 2015, 17, 2198–2201. [Google Scholar] [CrossRef] [PubMed]
- Verma, M.; Luxami, V.; Paul, K. Synthesis of new 2,3-disubstituted pyridines containing a 1,2,3-triazole in the side-chain via one-pot copper-catalyzed azide-alkyne cycloaddition. Arch. Org. Chem. 2015, 7, 28–41. [Google Scholar] [CrossRef]
- Roy, B.; Mondal, D.; Hatai, J.; Bandyopadhyay, S. A highly efficient tandem [3+2] “click” cycloaddition/6-exo-cyclization strategy for the construction of triazole fused pyrazines. RSC Adv. 2014, 4, 56952–56956. [Google Scholar] [CrossRef]
- Shaabani, S.; Shaabani, A.; Ng, S.W. One-Pot Synthesis of Coumarin-3-carboxamides Containing a Triazole Ring via an Isocyanide-Based Six-Component Reaction. ACS Comb. Sci. 2014, 16, 176–183. [Google Scholar] [CrossRef] [PubMed]
- Prasanna, R.; Purushothaman, S.; Raghunathan, R. Rapid assembly of heterocycle grafted macrocycles via tandem one-pot double 1,3-dipolar cycloaddition reaction. Org. Biomol. Chem. 2014, 12, 9375–9383. [Google Scholar] [CrossRef] [PubMed]
- Das, U.K.; Jena, R.K.; Bhattacharjee, M. Synthesis, structure and catalytic properties of [Ru(dppp)2(CH3CN)Cl][BPh4] and isolation of catalytically active [Ru(dppp)2Cl][BPh4]: Ruthenium catalysed alkyne homocoupling and tandem alkyne–azide cycloaddition. RSC Adv. 2014, 4, 21964–21970. [Google Scholar] [CrossRef]
- Gomes, A.T.P.C.; Martins, P.R.C.; Rocha, D.R.; Neves, M.G.P.M.S.; Ferreira, V.F.; Silva, A.M.S.; Cavaleiro, J.A.S.; da Silva, F.C. Consecutive Tandem Cycloaddition between Nitriles and Azides; Synthesis of 5-Amino-1H-[1,2,3]-triazoles. Synlett 2013, 24, 41–44. [Google Scholar] [CrossRef]
- Niu, T.-F.; Cai, C.; Yi, L. A One-Pot Tandem Ugi Multicomponent Reaction (MCR)/Click Reaction as an Efficient Protecting-Group-Free Route to 1H-1,2,3-Triazole-Modified α-Amino Acid Derivatives and Peptidomimetics. Helv. Chim. Acta 2012, 95, 87–99. [Google Scholar] [CrossRef]
- Reddy, M.N.; Swamy, K.C.K. Facile Construction of [6,6]-, [6,7]-, [6,8]-, and [6,9]Ring-Fused Triazole Frameworks by Copper-Catalyzed, Tandem, One-Pot, Click and Intramolecular Arylation Reactions: Elaboration to Fused Pentacyclic Derivatives. Eur. J. Org. Chem. 2012, 10, 2013–2022. [Google Scholar] [CrossRef]
- García-Álvarez, J.; Díez, J.; Vidal, C. Pd(ii)-catalyzed cycloisomerisation of γ-alkynoic acids and one-pot tandem cycloisomerisation/CuAAC reactions in water. Green Chem. 2012, 14, 3190–3196. [Google Scholar] [CrossRef]
- Yan, J.; Zhou, F.; Qin, D.; Cai, T.; Ding, K.; Cai, Q. Synthesis of [1,2,3]Triazolo[1,5-a]quinoxalin-4(5H)-ones through Copper-Catalyzed Tandem Reactions of N-(2-Haloaryl)propiolamides with Sodium Azide. Org. Lett. 2012, 14, 1262–1265. [Google Scholar] [CrossRef]
- Barange, D.K.; Tu, Y.-C.; Kavala, V.; Kuo, C.-W.; Yao, C.-F. One-Pot Synthesis of Triazolothiadiazepine1,1-Dioxide Derivatives via Copper-Catalyzed Tandem[3+2]Cycloaddition/N-Arylation. Adv. Synth. Catal. 2011, 353, 41–48. [Google Scholar] [CrossRef]
- Fletcher, J.T.; Reilly, J.E. Fast dye salts provide fast access to azidoarene synthons in multi-step one-pot tandem click transformations. Tetrahedron Lett. 2011, 52, 5512–5515. [Google Scholar] [CrossRef] [PubMed]
- Kolarovic, A.; Schnürch, M.; Mihovilovic, M.D. Tandem Catalysis: From Alkynoic Acids and Aryl Iodides to 1,2,3-Triazoles in One Pot. J. Org. Chem. 2011, 76, 2613–2618. [Google Scholar] [CrossRef] [PubMed]
- Gulevskayaa, A.V.; Danga, S.V.; Tyaglivya, A.S.; Pozharskiia, A.F.; Kazhevab, O.N.; Chekhlovb, A.N.; Dyachenko, O.A. A novel tandem cyclization of condensed 2,3-dialkynylpyrazines into[1,2,3]triazolo[1′,5′;1,2]pyrido[3,4-b]pyrazines promoted by sodium azide. Tetrahedron 2010, 66, 146–151. [Google Scholar] [CrossRef]
- Proulx, C.; Lubell, W.D. Aza-1,2,3-triazole-3-alanine Synthesis via Copper-Catalyzed 1,3-Dipolar Cycloaddition on Aza-progargylglycine. J. Org. Chem. 2010, 75, 5385–5387. [Google Scholar] [CrossRef]
- Campbell-Verduyn, L.S.; Szymański, W.; Postema, C.P.; Dierckx, R.A.; Elsinga, P.H.; Janssen, D.B.; Feringa, B.L. One pot ‘click’ reactions: Tandem enantioselective biocatalytic epoxide ring opening and [3+2]azide alkyne cycloaddition. Chem. Commun. 2010, 46, 898–900. [Google Scholar] [CrossRef]
- Pokhodylo, N.T.; Matiychuk, V.S.; Obushak, M.D. Synthesis of 1-(R-Phenyl)-5-(R-Methyl)-1H-1,2,3-triazole-4-carboxylic Acids by One-Pot Tandem Reaction. Synth. Commun. 2010, 40, 1932–1938. [Google Scholar] [CrossRef]
- Malnuit, V.; Duca, M.; Manout, A.; Bougrin, K.; Benhida, R. Tandem Azide-Alkyne 1,3-Dipolar Cycloaddition/Electrophilic Addition: A Concise Three-Component Route to 4,5-Disubstituted Triazolyl-Nucleosides. Synlett 2009, 13, 2123–2128. [Google Scholar] [CrossRef]
- Kaliappan, K.P.; Kalanidhi, P.; Mahapatra, S. ‘Click’ Chemistry on Sugar-Derived Alkynes: A Tandem ‘Click-Click’ Approach to Bistriazoles. Synlett 2009, 13, 2162–2166. [Google Scholar] [CrossRef]
- Zou, W.; Bhasin, M.; Vembaiyan, K.; Williams, D.T. Triazole-fused sugars from nitroalkene-containing C-glycosides by a tandem 1,3-dipolar cycloaddition and intramolecular Michael addition. Carbohydr. Res. 2009, 344, 1024–1027. [Google Scholar] [CrossRef] [PubMed]
- van Berkel, S.S.; Dirks, A.T.J.; Debets, M.F.; van Delft, F.L.; Cornelissen, J.J.L.M.; Nolte, R.J.M.; Rutjes, F.P.J.T. Metal-Free Triazole Formation as a Tool for Bioconjugation. ChemBioChem 2007, 8, 1504–1508. [Google Scholar] [CrossRef] [PubMed]
- Marco, C.N.D.; Kuduk, S.D. Synthesis of Fused[5,5]-1,2,4-Triazoles via Tandem Thioimidate Cyclopropane Rearrangement–Cyclization. Synth. Commun. 2006, 36, 3377–3386. [Google Scholar] [CrossRef]
- van Maarseveen, J.H.; Horne, W.S.; Ghadiri, M.R. Efficient Route to C2 Symmetric Heterocyclic Backbone Modified Cyclic Peptides. Org. Lett. 2005, 7, 4503–4506. [Google Scholar] [CrossRef]
- Chibale, K.; Dauvergne, J.; Wyatt, P.G. A Novel and Efficient Regiospecific Preparation of Arenesulfonamide Derivatives of 3,5-Diamino-1,2,4-triazole. Synthesis 2002, 2, 185–190. [Google Scholar] [CrossRef]
- Guo, X.; Huang, C.; Yang, H.; Shao, Z.; Gao, K.; Qin, N.; Li, G.; Wu, J.; Hou, H. Cu (i) coordination polymers (CPs) as tandem catalysts for three-component sequential click/alkynylation cycloaddition reaction with regiocontrol. Dalton Trans. 2018, 47, 16895–16901. [Google Scholar] [CrossRef] [PubMed]
- Jadhav, A.S.; Pankhade, Y.A.; Anand, R.V. Tandem One-Pot Approach to Access 1,2,3-Triazole-fused Isoindolines through Cu-Catalyzed 1,6-Conjugate Addition of Me3SiN3 to p-Quinone Methides followed by Intramolecular Click Cycloaddition. J. Org. Chem. 2018, 83, 8596–8606. [Google Scholar] [CrossRef] [PubMed]
- Wang, X.; Chen, Y.; Chen, X.; Zhang, X.; Guan, W.; Li, Y. A Tandem Ring-Opening/Michael Addition/Ring-Closure Sequence for the Regiospecific Synthesis of 5-Hydroxy-4,5-dihydroisoxazoles. Asian J. Org. Chem. 2019, 8, 1479–1483. [Google Scholar] [CrossRef]
- Kavala, V.; Janreddy, D.; Raihan, M.J.; Kuo, C.-W.; Ramesh, C.; Yao, C.-F. One-Pot Tandem Synthesis of 2-Arylbenzoxazole Derivatives via Copper-Catalyzed C-N and C-O Bond Formation. Adv. Synth. Catal. 2012, 354, 2229–2240. [Google Scholar] [CrossRef]
- Wei, W.; Tang, Y.; Zhou, Y.; Deng, G.; Liu, Z.; Wu, J.; Li, Y.; Zhang, J.; Xu, S. Recycling Catalyst as Reactant: A Sustainable Strategy to Improve Atom Efficiency of Organocatalytic Tandem Reactions. Org. Lett. 2018, 20, 6559–6563. [Google Scholar] [CrossRef] [PubMed]
- Mishra, N.; Singh, A.S.; Agrahari, A.K.; Singh, S.K.; Singh, M.; Tiwari, V.K. Synthesis of Benz-Fused Azoles via C-Heteroatom Coupling Reactions Catalyzed by Cu (I) in the Presence of Glycosyltriazole Ligands. ACS Comb. Sci. 2019, 21, 389–399. [Google Scholar] [CrossRef] [PubMed]
- Motornov, V.A.; Tabolin, A.A.; Novikov, R.A.; Nelyubina, Y.V.; Nenajdenko, V.G.; Ioffe, S.L. Fluoronitroalkenes in tandem[4+1]/[3+2]-cycloaddition: One-pot three-component assembly of fluorinated bicyclic nitroso acetals. Org. Chem. Front. 2018, 5, 2588–2594. [Google Scholar] [CrossRef]
© 2020 by the authors. Licensee MDPI, Basel, Switzerland. This article is an open access article distributed under the terms and conditions of the Creative Commons Attribution (CC BY) license (http://creativecommons.org/licenses/by/4.0/).
























































































































