CuII- and CoII-Based MOFs: {[La2Cu3(µ-H2O)(ODA)6(H2O)3]∙3H2O}n and {[La2Co3(ODA)6(H2O)6]∙12H2O}n. The Relevance of Physicochemical Properties on the Catalytic Aerobic Oxidation of Cyclohexene
Abstract
1. Introduction
2. Results
2.1. Characterization
2.1.1. Structural Description
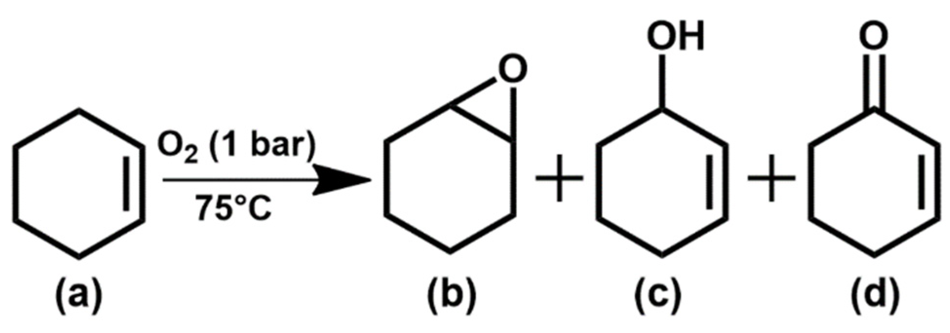
2.1.2. Catalytic Results
3. Discussion
4. Materials and Methods
4.1. Synthesis
4.2. Surface Area Determination
4.3. Catalytic Reactions
4.4. Determination of Acid Strength and Number of Acid Sites
5. Conclusions
Supplementary Materials
Author Contributions
Funding
Conflicts of Interest
References
- Sheldon, A.R.; Kochi, J.K. Metal Complex Catalyzed Oxidation of Organic Compounds; Academic Press: New York, NY, USA, 1981. [Google Scholar]
- Cainelli, G.; Cardillo, G. Chromium Oxidation in Organic Chemistry; Springer: Berlin, Germany; New York, NY, USA, 1984. [Google Scholar]
- Satterfield, C.N. Encyclopedia of Chemical Technology. J. Am. Chem. Soc. 1958, 80, 3487. [Google Scholar] [CrossRef]
- Chadwick, S.S. Ullmann’s Encyclopedia of Industrial Chemistry. Ref. Serv. Rev. 1988, 16, 31–34. [Google Scholar] [CrossRef]
- Dhakshinamoorthy, A.; Alvaro, M.; Garcia, H. Aerobic oxidation of benzylic alcohols catalyzed by metal-organic frameworks assisted by TEMPO. ACS Catal. 2011, 1, 48–53. [Google Scholar] [CrossRef]
- Liniger, M.; Liu, Y.; Stoltz, B.M. Sequential ruthenium catalysis for olefin isomerization and oxidation: Application to the synthesis of unusual amino acids. J. Am. Chem. Soc. 2017, 139, 13944–13949. [Google Scholar] [CrossRef]
- Arai, H.; Uehara, K.; Kinoshita, S.I.; Kunugi, T. Olefin Oxidation-Mercuric Salt-Active Charcoal Catalysis. Ind. Eng. Chem. Prod. Res. Dev. 1972, 11, 308–312. [Google Scholar] [CrossRef]
- Santiago-Portillo, A.; Navalón, S.; Cirujano, F.G.; Xamena, F.X.L.I.; Alvaro, M.; Garcia, H. MIL-101 as reusable solid catalyst for autoxidation of benzylic hydrocarbons in the absence of additional oxidizing reagents. ACS Catal. 2015, 5, 3216–3224. [Google Scholar] [CrossRef]
- Dang, D.; Wu, P.; He, C.; Xie, Z.; Duan, C. Homochiral Metal−Organic Frameworks for Heterogeneous Asymmetric Catalysis. J. Am. Chem. Soc. 2010, 132, 14321–14323. [Google Scholar] [CrossRef]
- Goswami, S.; Jena, H.S.; Konar, S. Study of heterogeneous catalysis by iron-squarate based 3d metal organic framework for the transformation of tetrazines to oxadiazole derivatives. Inorg. Chem. 2014, 53, 7071–7073. [Google Scholar] [CrossRef]
- Long, J.; Liu, H.; Wu, S.; Liao, S.; Li, Y. Selective oxidation of saturated hydrocarbons using Au-Pd alloy nanoparticles supported on metal-organic frameworks. ACS Catal. 2013, 3, 647–654. [Google Scholar] [CrossRef]
- Gascon, J.; Aktay, U.; Hernandez-Alonso, M.D.; Van Klink, G.P.M.; Kapteijn, F. Amino-based metal-organic frameworks as stable, highly active basic catalysts. J. Catal. 2009, 261, 75–87. [Google Scholar] [CrossRef]
- Jiang, H.L.; Akita, T.; Ishida, T.; Haruta, M.; Xu, Q. Synergistic catalysis of Au@Ag core-shell nanoparticles stabilized on metal-organic framework. J. Am. Chem. Soc. 2011, 133, 1304–1306. [Google Scholar] [CrossRef] [PubMed]
- Dhakshinamoorthy, A.; Asiri, A.M.; Garcia, H. Metal-Organic Frameworks as Catalysts for Oxidation Reactions. Chemistry 2016, 22, 8012–8024. [Google Scholar] [CrossRef]
- Tang, Q.; Zhang, Q.; Wu, H.; Wang, Y. Epoxidation of styrene with molecular oxygen catalyzed by cobalt(II)-containing molecular sieves. J. Catal. 2005, 230, 384–397. [Google Scholar] [CrossRef]
- Sebastian, J.; Jinka, K.M.; Jasra, R.V. Effect of alkali and alkaline earth metal ions on the catalytic epoxidation of styrene with molecular oxygen using cobalt(II)-exchanged zeolite X. J. Catal. 2006, 244, 208–218. [Google Scholar] [CrossRef]
- Patil, R.D.; Adimurthy, S. Copper-catalyzed aerobic oxidation of amines to imines under neat conditions with low catalyst loading. Adv. Synth. Catal. 2011, 353, 1695–1700. [Google Scholar] [CrossRef]
- Xu, B.; Lumb, J.P.; Arndtsen, B.A. A TEMPO-free copper-catalyzed aerobic oxidation of alcohols. Angew. Chem. 2015, 54, 4208–4211. [Google Scholar] [CrossRef] [PubMed]
- Meng, X.; Lin, K.; Yang, X.; Sun, Z.; Jiang, D.; Xiao, F.S. Catalytic oxidation of olefins and alcohols by molecular oxygen under air pressure over Cu2(OH)PO4 and Cu4O(PO 4)2 catalysts. J. Catal. 2003, 218, 460–464. [Google Scholar] [CrossRef]
- Fernandes, T.A.; André, V.; Kirillov, A.M.; Kirillova, M.V. Mild homogeneous oxidation and hydrocarboxylation of cycloalkanes catalyzed by novel dicopper(II) aminoalcohol-driven cores. J. Mol. Catal. A 2017, 426, 357–367. [Google Scholar] [CrossRef]
- Chen, S.C.; Lu, S.N.; Tian, F.; Li, N.; Qian, H.Y.; Cui, A.J.; He, M.Y.; Chen, Q. Highly selective aerobic oxidation of alcohols to aldehydes over a new Cu(II)-based metal-organic framework with mixed linkers. Catal. Commun. 2017, 95, 6–11. [Google Scholar] [CrossRef]
- Zhang, A.; Li, L.; Li, J.; Zhang, Y.; Gao, S. Epoxidation of olefins with O2 and isobutyraldehyde catalyzed by cobalt (II)-containing zeolitic imidazolate framework material. Catal. Commun. 2011, 12, 1183–1187. [Google Scholar] [CrossRef]
- Skobelev, I.Y.; Sorokin, A.B.; Kovalenko, K.A.; Fedin, V.P.; Kholdeeva, O.A. Solvent-free allylic oxidation of alkenes with O2 mediated by Fe- and Cr-MIL-101. J. Catal. 2013, 298, 61–69. [Google Scholar] [CrossRef]
- Ha, Y.; Mu, M.; Liu, Q.; Ji, N.; Song, C.; Ma, D. Mn-MIL-100 heterogeneous catalyst for the selective oxidative cleavage of alkenes to aldehydes. Catal. Commun. 2018, 103, 51–55. [Google Scholar] [CrossRef]
- Jones, C.W. Application of Hydrogen Peroxide for the Synthesis of Fine Chemicals; RSC Clean Technology Monographs: York, UK, 2007. [Google Scholar] [CrossRef]
- Luz, I.; Llabrés i Xamena, F.X.; Corma, A. Bridging homogeneous and heterogeneous catalysis with MOFs: “Click” reactions with Cu-MOF catalysts. J. Catal. 2010, 276, 134–140. [Google Scholar] [CrossRef]
- Hoang, T.T.; To, T.A.; Cao, V.T.T.; Nguyen, A.T.; Nguyen, T.T.; Phan, N.T.S. Direct oxidative C–H amination of quinoxalinones under copper-organic framework catalysis. Catal. Commun. 2017, 101, 20–25. [Google Scholar] [CrossRef]
- Wang, Z.; Laddha, G.; Kanitkar, S.; Spivey, J.J. Metal organic framework-mediated synthesis of potassium-promoted cobalt-based catalysts for higher oxygenates synthesis. Catal. Today 2017, 298, 209–215. [Google Scholar] [CrossRef]
- Zhang, G.; Shi, Y.; Wei, Y.; Zhang, Q.; Cai, K. Two kinds of cobalt–based coordination polymers with excellent catalytic ability for the selective oxidation of cis-cyclooctene. Inorg. Chem. Commun. 2017, 86, 112–117. [Google Scholar] [CrossRef]
- Leus, K.; Vandichel, M.; Liu, Y.Y.; Muylaert, I.; Musschoot, J.; Pyl, S.; Vrielinck, H.; Callens, F.; Marin, G.B.; Detavernier, C.; et al. The coordinatively saturated vanadium MIL-47 as a low leaching heterogeneous catalyst in the oxidation of cyclohexene. J. Catal. 2012, 285, 196–207. [Google Scholar] [CrossRef][Green Version]
- Brown, J.W.; Nguyen, Q.T.; Otto, T.; Jarenwattananon, N.N.; Glöggler, S.; Bouchard, L.S. Epoxidation of alkenes with molecular oxygen catalyzed by a manganese porphyrin-based metal-organic framework. Catal. Commun. 2015, 59, 50–54. [Google Scholar] [CrossRef]
- Raupp, Y.S.; Yildiz, C.; Kleist, W.; Meier, M.A.R. Aerobic oxidation of α-pinene catalyzed by homogeneous and MOF-based Mn catalysts. Appl. Catal. A 2017, 546, 1–6. [Google Scholar] [CrossRef]
- Ruano, D.; Díaz-García, M.; Alfayate, A.; Sánchez-Sánchez, M. Nanocrystalline M-MOF-74 as heterogeneous catalysts in the oxidation of cyclohexene: Correlation of the activity and redox potential. ChemCatChem 2015, 7, 674–681. [Google Scholar] [CrossRef]
- Dhakshinamoorthy, A.; Alvaro, M.; Garcia, H. Aerobic oxidation of styrenes catalyzed by an iron metal organic framework. ACS Catal. 2011, 1, 836–840. [Google Scholar] [CrossRef]
- Fu, Y.; Sun, D.; Qin, M.; Huang, R.; Li, Z. Cu(ii)-and Co(ii)-containing metal-organic frameworks (MOFs) as catalysts for cyclohexene oxidation with oxygen under solvent-free conditions. RSC Adv. 2012, 2, 3309. [Google Scholar] [CrossRef]
- Tuci, G.; Giambastiani, G.; Kwon, S.; Stair, P.C.P.C.; Snurr, R.Q.R.Q.; Rossin, A. Chiral Co(II) metal-organic framework in the heterogeneous catalytic oxidation of alkenes under aerobic and anaerobic conditions. ACS Catal. 2014, 4, 1032–1039. [Google Scholar] [CrossRef]
- Wang, J.S.; Jin, F.Z.; Ma, H.C.; Li, X.B.; Liu, M.Y.; Kan, J.L.; Chen, G.J.; Dong, Y.B. Au@Cu(II)-MOF: Highly Efficient Bifunctional Heterogeneous Catalyst for Successive Oxidation-Condensation Reactions. Inorg. Chem. 2016, 55, 6685–6691. [Google Scholar] [CrossRef]
- Chen, G.J.; Wang, J.S.; Jin, F.Z.; Liu, M.Y.; Zhao, C.W.; Li, Y.A.; Dong, Y.B. Pd@Cu(II)-MOF-Catalyzed Aerobic Oxidation of Benzylic Alcohols in Air with High Conversion and Selectivity. Inorg. Chem. 2016, 55, 3058–3064. [Google Scholar] [CrossRef]
- Duan, H.; Zeng, Y.; Yao, X.; Xing, P.; Liu, J.; Zhao, Y. Tuning Synergistic Effect of Au-Pd Bimetallic Nanocatalyst for Aerobic Oxidative Carbonylation of Amines. Chem. Mater. 2017, 29, 3671–3677. [Google Scholar] [CrossRef]
- Cancino, P.; Vega, A.; Santiago-Portillo, A.; Navalon, S.; Alvaro, M.; Aguirre, P.; Spodine, E.; García, H. A novel copper(II)-lanthanum(IIi) metal organic framework as a selective catalyst for the aerobic oxidation of benzylic hydrocarbons and cycloalkenes. Catal. Sci. Technol. 2016, 6, 3727–3736. [Google Scholar] [CrossRef]
- Cancino, P.; Santibáñez, L.; Fuentealba, P.; Olea, C.; Vega, A.; Spodine, E. Heterometallic CuII/LnIII polymers active in the catalytic aerobic oxidation of cycloalkenes under solvent-free conditions. Dalt. Trans. 2018, 47, 13360–13367. [Google Scholar] [CrossRef]
- Cancino, P.; Santibañez, L.; Stevens, C.; Fuentealba, P.; Audebrand, N.; Aravena, D.; Torres, J.; Martinez, S.; Kremer, C.; Spodine, E. Influence of the channel size of isostructural 3d-4f MOFs on the catalytic aerobic oxidation of cycloalkenes. New J. Chem. 2019, 43, 11057–11064. [Google Scholar] [CrossRef]
- Liu, Q.; De Li, J.R.; Gao, S.; Ma, B.Q.; Liao, F.H.; Zhou, Q.Z.; Yu, K.B. Highly stable open frameworks of Ln-Cu (Ln = La, Ce) 3D coordination polymers containing spacious hexagon channels and unusual μ2-H2O bridges. Inorg. Chem. Commun. 2001, 4, 301–304. [Google Scholar] [CrossRef]
- Domínguez, S.; Torres, J.; Peluffo, F.; Mederos, A.; González-Platas, J.; Castiglioni, J.; Kremer, C. Mixed 3d/4f polynuclear complexes with 2,2′-oxydiacetate as bridging ligand: Synthesis, structure and chemical speciation of La-M compounds (M = bivalent cation). J. Mol. Struct. 2007, 829, 57–64. [Google Scholar] [CrossRef]
- Corma, A.; García, H. Lewis acids as catalysts in oxidation reactions: From homogeneous to heterogeneous systems. Chem. Rev. 2002, 102, 3837–3892. [Google Scholar] [CrossRef] [PubMed]
- Cancino, P.; Paredes-García, V.; Aliaga, C.; Aguirre, P.; Aravena, D.; Spodine, E. Influence of the lanthanide(III) ion in {[Cu3Ln2(oda)6(H2O)6]•nH2O}n (LnIII: La, Gd, Yb) catalysts on the heterogeneous oxidation of olefins. Catal. Sci. Technol. 2017, 7, 231–242. [Google Scholar] [CrossRef]
- Sun, D.; Sun, F.; Deng, X.; Li, Z. Mixed-Metal Strategy on Metal-Organic Frameworks (MOFs) for Functionalities Expansion: Co Substitution Induces Aerobic Oxidation of Cyclohexene over Inactive Ni-MOF-74. Inorg. Chem. 2015, 54, 8639–8643. [Google Scholar] [CrossRef] [PubMed]
- Cid, R.; Pecchi, G. Potentiometric method for determing the number and relative strength of acid sites in colored catalysts. Appl. Catal. 1985, 14, 15–21. [Google Scholar] [CrossRef]




| Catalyst | Initial Potential (mV) | Number of Acid Sites (meq/g) |
|---|---|---|
| LaCuODA (1) | 93.7 | 0.783 |
| LaCoODA (2) | 24.5 | 0.295 |
| Catalyst | BET Area (m2/g) | Langmuir Area (m2/g) | Pore Size (nm) |
|---|---|---|---|
| LaCuODA (1) | 514 | 555 | 1.031 |
| LaCoODA (2) | 762 | 783 | 1.031 |
| Catalyst | Conversion (%) | Selectivity (%) | ||
|---|---|---|---|---|
| Cyclohexene Oxide | 2-Cyclohexen-1-ol | 2-Cyclohexen-1-one | ||
| LaCuODA (1) | 67 | 5 | 40 | 55 |
| LaCoODA (2) | 85 | 0 | 25 | 75 |
| Oxidant | Conversion (%) | Selectivity (%) | Reference | ||
|---|---|---|---|---|---|
| Cyclohexene Oxide | 2-Cyclohexen-1-ol | 2-Cyclohexen-1-one | |||
| O2 | 67 | 5 | 40 | 55 | This work |
| TBHP * | 48 | 5 | 31 | 56 | [46] |
| Catalyst | Conversion (%) | Reaction Conditions | Reference | ||
|---|---|---|---|---|---|
| Temperature | Time | O2 Pressure | |||
| (°C) | (h) | (bar) | |||
| {[La2Co3(ODA)6(H2O)6]∙12H2O}n (2) | 73 | 75 | 12 | 1 (flow) | This work |
| {[La2Co3(ODA)6(H2O)6]∙12H2O}n (2) | 84 | 75 | 24 | 1 (flow) | This work |
| [Co2(DOBDC)(H2O)2]·8H2O (I) | 8.1 | 80 | 10 | 1 (balloon) | [35] |
| [Co2(DOBDC)(H2O)2]·8H2O (II) | 50 | 80 | 10 | 1 (balloon) | [47] |
| [Co(L-RR)(H2O)·H2O] (III) | 28 | 70 | 24 | 1 (charged) | [36] |
© 2020 by the authors. Licensee MDPI, Basel, Switzerland. This article is an open access article distributed under the terms and conditions of the Creative Commons Attribution (CC BY) license (http://creativecommons.org/licenses/by/4.0/).
Share and Cite
Santibáñez, L.; Escalona, N.; Torres, J.; Kremer, C.; Cancino, P.; Spodine, E. CuII- and CoII-Based MOFs: {[La2Cu3(µ-H2O)(ODA)6(H2O)3]∙3H2O}n and {[La2Co3(ODA)6(H2O)6]∙12H2O}n. The Relevance of Physicochemical Properties on the Catalytic Aerobic Oxidation of Cyclohexene. Catalysts 2020, 10, 589. https://doi.org/10.3390/catal10050589
Santibáñez L, Escalona N, Torres J, Kremer C, Cancino P, Spodine E. CuII- and CoII-Based MOFs: {[La2Cu3(µ-H2O)(ODA)6(H2O)3]∙3H2O}n and {[La2Co3(ODA)6(H2O)6]∙12H2O}n. The Relevance of Physicochemical Properties on the Catalytic Aerobic Oxidation of Cyclohexene. Catalysts. 2020; 10(5):589. https://doi.org/10.3390/catal10050589
Chicago/Turabian StyleSantibáñez, Luis, Néstor Escalona, Julia Torres, Carlos Kremer, Patricio Cancino, and Evgenia Spodine. 2020. "CuII- and CoII-Based MOFs: {[La2Cu3(µ-H2O)(ODA)6(H2O)3]∙3H2O}n and {[La2Co3(ODA)6(H2O)6]∙12H2O}n. The Relevance of Physicochemical Properties on the Catalytic Aerobic Oxidation of Cyclohexene" Catalysts 10, no. 5: 589. https://doi.org/10.3390/catal10050589
APA StyleSantibáñez, L., Escalona, N., Torres, J., Kremer, C., Cancino, P., & Spodine, E. (2020). CuII- and CoII-Based MOFs: {[La2Cu3(µ-H2O)(ODA)6(H2O)3]∙3H2O}n and {[La2Co3(ODA)6(H2O)6]∙12H2O}n. The Relevance of Physicochemical Properties on the Catalytic Aerobic Oxidation of Cyclohexene. Catalysts, 10(5), 589. https://doi.org/10.3390/catal10050589

