Design of Experiment for the Optimization of Pesticide Removal from Wastewater by Photo-Electrochemical Oxidation with TiO2 Nanotubes
Abstract
1. Introduction
2. Results and Discussion
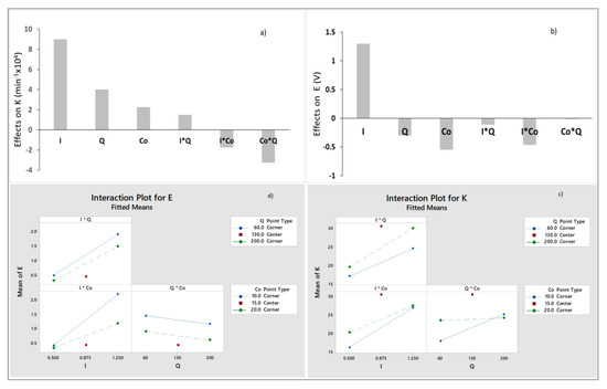
2.1. DoE Model Description
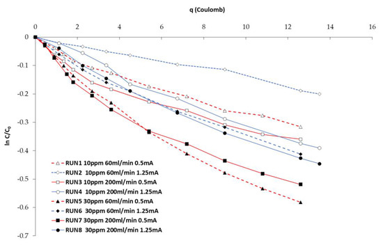
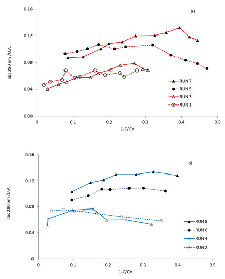
2.2. Degradation Experiments
3. Materials and Methods
4. Conclusions
Author Contributions
Funding
Acknowledgments
Conflicts of Interest
References
- Moreira, F.C.; Boaventura, R.A.R.; Brillas, E.; Vilar, V.J.P. Electrochemical advanced oxidation processes: A review on their application to synthetic and real wastewaters. Appl. Catal. B Environ. 2017, 202, 217–261. [Google Scholar] [CrossRef]
- Särkkä, H.; Bhatnagar, A.; Sillanpää, M. Recent developments of electro-oxidation in water treatment—A review. J. Electroanal. Chem. 2015, 754, 46–56. [Google Scholar] [CrossRef]
- Cao, D.; Wang, Y.; Zhao, X. Combination of photocatalytic and electrochemical degradation of organic pollutants from water. Curr. Opin. Green Sustain. Chem. 2017, 6, 78–84. [Google Scholar] [CrossRef]
- Garcia-Segura, S.; Almeida, L.C.; Bocchi, N.; Brillas, E. Solar photoelectro-Fenton degradation of the herbicide 4-chloro-2-methylphenoxyacetic acid optimized by response surface methodology. J. Hazard. Mater. 2011, 194, 109–118. [Google Scholar] [CrossRef]
- Polcaro, A.M.; Mascia, M.; Palmas, S.; Vacca, A. Electrochemical degradation of diuron and dichloroaniline at BDD electrode. Electrochim. Acta. 2004, 49, 649–656. [Google Scholar] [CrossRef]
- Serpone, N.; Artemev, Y.M.; Ryabchuk, V.K.; Emeline, A.V.; Horikoshi, S. Light-driven advanced oxidation processes in the disposal of emerging pharmaceutical contaminants in aqueous media: A brief review. Curr. Opin. Green Sustain. Chem. 2017, 6, 18–33. [Google Scholar] [CrossRef]
- Mais, L.; Vacca, A.; Mascia, M.; Usai, E.M.; Tronci, S.; Palmas, S. Experimental study on the optimisation of azo-dyes removal by photo-electrochemical oxidation with TiO2 nanotubes. Chemosphere 2020, 248, 125938. [Google Scholar] [CrossRef]
- Bessegato, G.G.; de Almeida, L.C.; Ferreira, S.L.C.; Boldrin Zanoni, M.V. Experimental design as a tool for parameter optimization of photoelectrocatalytic degradation of a textile dye. J. Environ. Chem. Eng. 2019, 7, 103264. [Google Scholar] [CrossRef]
- Hoigné, J.; Bader, H. Rate constants of reactions of ozone with organic and inorganic compounds in water-II. Dissociating organic compounds. Water Res. 1983, 17, 185–194. [Google Scholar]
- Andreozzi, R. Advanced oxidation processes (AOP) for water purification and recovery. Catal. Today 1999, 53, 51–59. [Google Scholar] [CrossRef]
- Daghrir, R.; Drogui, P.; Robert, D. Photoelectrocatalytic technologies for environmental applications. J. Photochem. Photobiol. A Chem. 2012, 238, 41–52. [Google Scholar] [CrossRef]
- Georgieva, J.; Valova, E.; Armyanov, S.; Philippidis, N.; Poulios, I.; Sotiropoulos, S. Bicomponent semiconductor oxide photoanodes for the photoelectrocatalytic oxidation of organic solutes and vapours: A short review with emphasis to TiO2-WO3 photoanodes. J. Hazard. Mater. 2012, 211, 30–46. [Google Scholar] [CrossRef]
- Zhang, Y.; Xiong, X.; Han, Y.; Zhang, X.; Shen, F.; Deng, S.; Xiao, H.; Yang, X.; Yang, G.; Peng, H. Photoelectrocatalytic degradation of recalcitrant organic pollutants using TiO2 film electrodes: An overview. Chemosphere 2012, 88, 145–154. [Google Scholar] [CrossRef]
- Zhou, X.; Zhou, S.; Feng, X. Optimization of the photoelectrocatalytic oxidation of landfill leachate using copper and nitrate co-doped TiO2 (Ti) by response surface methodology. PLoS ONE 2017, 12, e0171234. [Google Scholar] [CrossRef]
- Pan, L.; Liu, Y.; Yao, L.; Ren, D.; Yao, L.; Ren, D.; Sivula, K.; Grätzel, M.; Hagfeldt, A. Cu2O photocathodes with band-tail states assisted hole transport for standalone solar water splitting. Nat. Commun. 2020, 11, 318. [Google Scholar] [CrossRef]
- Liang, X.; Cao, X.; Sun, W.; Ding, Y. Recent Progress in Visible Light Driven Water Oxidation Using Semiconductors Coupled with Molecular Catalysts. Chem. Cat. Chem. 2019, 11, 6190–6202. [Google Scholar] [CrossRef]
- Garcia-Segura, S.; Brillas, E. Applied photoelectrocatalysis on the degradation of organic pollutants in wastewaters. J. Photochem. Photobiol. C Photochem. Rev. 2017, 31, 1–35. [Google Scholar] [CrossRef]
- Russo, D.; Muscetta, M.; Clarizia, L.; Di Somma, I.; Garlisi, C.; Marotta, R.; Palmisano, G.; Andreozzi, R. Photoactivated Fe(III)/Fe(II)/WO3–Pd fuel cell for electricity generation using synthetic and real effluents under visible light. Renew. Energy 2020, 147, 1070–1081. [Google Scholar] [CrossRef]
- Wang, Y.; Zu, M.; Zhou, X.; Lin, H.; Peng, F.; Zhang, S. Designing efficient TiO2-based photoelectrocatalysis systems for chemical engineering and sensing. Chem. Eng. J. 2020, 381, 122605. [Google Scholar] [CrossRef]
- Xiu, Z.; Guo, M.; Zhao, T.; Pan, K.; Xing, Z.; Li, Z.; Zhou, W. Recent advances in Ti3+ self-doped nanostructured TiO2 visible light photocatalysts for environmental and energy applications. Chem. Eng. J. 2020, 382, 123011. [Google Scholar] [CrossRef]
- Nandjou, F.; Haussener, S. Degradation in photoelectrochemical devices: Review with an illustrative case study. J Phys. D Appl. Phys. 2017, 50, 124002. [Google Scholar] [CrossRef]
- Peixoto, A.L.C.; Costalonga, A.G.C.; Esperança, M.N.; Salazar, R.F.S. Design of experiments applied to antibiotics degradation by Fenton’s reagent. In Statistical Approaches with Emphasis on Design of Experiments Applied to Chemical Processes; Silva, V., Ed.; IntechOpen: London, UK, 2017. [Google Scholar]
- Montgomery, D.C. Design and Analysis of Experiments, 6th ed.; John Wiley & Sons Inc.: Hoboken, NJ, USA, 2005. [Google Scholar]
- Myers, R.H.; Montgomery, D.C.; Anderson-Cook, C.M. Response Surface Methodology: Process and Product Optimization Using Designed Experiments, 3rd ed.; John Wiley & Sons Inc.: Hoboken, NJ, USA, 2016. [Google Scholar]
- López-Ramón, M.V.; Rivera-Utrilla, J.; Sánchez-Polo, M.; Polo, A.M.S.; Mota, A.J.; Orellana-García, F.; Álvarez, M.A. Photocatalytic oxidation of diuron using nickel organic xerogel under simulated solar irradiation. Sci. Total Environ. 2019, 650, 1207–1215. [Google Scholar] [CrossRef] [PubMed]
- Mais, L.; Mascia, M.; Palmas, S.; Vacca, A. Photoelectrochemical oxidation of phenol with nanostructured TiO2-PANI electrodes under solar light irradiation. Sep. Purif. Technol. 2019, 208, 153–159. [Google Scholar] [CrossRef]
- Palmas, S.; Ampudia, P.; Mais, L.; Vacca, A.; Mascia, M.; Ricci, P.C. TiO2-WO3 nanostructured systems for photoelectrochemical applications. RSC Adv. 2016, 6, 101671–101682. [Google Scholar] [CrossRef]
- Palmas, S.; Da Pozzo, A.; Delogu, F.; Mascia, M.; Vacca, A.; Guisbiers, G. Characterization of TiO2 nanotubes obtained by electrochemical anodization in organic electrolytes. J. Power. Sources 2012, 204, 265–272. [Google Scholar] [CrossRef]












| Coded Levels | Real Values of Parameters | Observed Responses | ||||||||
|---|---|---|---|---|---|---|---|---|---|---|
| Run | I | Q | C0 | K × 104 | SD K | E [V] | SD E | |||
| x1 | x2 | x3 | [mA] | [mL min−1] | [ppm] | [min−1] | ||||
| 1 | −1 | −1 | −1 | 0.50 | 60 | 10 | 15.0 | 1.41 | 0.6 | 0.053 |
| 2 | 1 | −1 | −1 | 1.25 | 60 | 10 | 21.0 | 1.41 | 2.3 | 0.074 |
| 3 | −1 | 1 | −1 | 0.50 | 200 | 10 | 17.5 | 0.71 | 0.2 | 0.018 |
| 4 | 1 | 1 | −1 | 1.25 | 200 | 10 | 33.0 | 1.41 | 2.1 | 0.057 |
| 5 | −1 | −1 | 1 | 0.50 | 60 | 20 | 19.0 | 1.41 | 0.3 | 0.025 |
| 6 | 1 | −1 | 1 | 1.25 | 60 | 20 | 28.0 | 0.00 | 1.5 | 0.035 |
| 7 | −1 | 1 | 1 | 0.50 | 200 | 20 | 21.5 | 2.12 | 0.4 | 0.035 |
| 8 | 1 | 1 | 1 | 1.25 | 200 | 20 | 27.0 | 0.00 | 0.9 | 0.092 |
© 2020 by the authors. Licensee MDPI, Basel, Switzerland. This article is an open access article distributed under the terms and conditions of the Creative Commons Attribution (CC BY) license (http://creativecommons.org/licenses/by/4.0/).
Share and Cite
Vacca, A.; Mais, L.; Mascia, M.; Usai, E.M.; Palmas, S. Design of Experiment for the Optimization of Pesticide Removal from Wastewater by Photo-Electrochemical Oxidation with TiO2 Nanotubes. Catalysts 2020, 10, 512. https://doi.org/10.3390/catal10050512
Vacca A, Mais L, Mascia M, Usai EM, Palmas S. Design of Experiment for the Optimization of Pesticide Removal from Wastewater by Photo-Electrochemical Oxidation with TiO2 Nanotubes. Catalysts. 2020; 10(5):512. https://doi.org/10.3390/catal10050512
Chicago/Turabian StyleVacca, Annalisa, Laura Mais, Michele Mascia, Elisabetta Maria Usai, and Simonetta Palmas. 2020. "Design of Experiment for the Optimization of Pesticide Removal from Wastewater by Photo-Electrochemical Oxidation with TiO2 Nanotubes" Catalysts 10, no. 5: 512. https://doi.org/10.3390/catal10050512
APA StyleVacca, A., Mais, L., Mascia, M., Usai, E. M., & Palmas, S. (2020). Design of Experiment for the Optimization of Pesticide Removal from Wastewater by Photo-Electrochemical Oxidation with TiO2 Nanotubes. Catalysts, 10(5), 512. https://doi.org/10.3390/catal10050512

