Lab-Scale Investigation of Palm Shell Char as Tar Reforming Catalyst
Abstract
1. Introduction
2. Results
2.1. Characteristics of Palm Shell Char (PSC), 5%K-Loaded Palm Shell Char (5%K-PSC), 5%Fe-Loaded Palm Shell Char (5%Fe-PSC), Wood Char (WC), and Straw Char (SC)
| Analyses | Compositions | PS c | PSC | 5%K-PSC | 5%Fe-PSC | WC | SC |
|---|---|---|---|---|---|---|---|
| Proximate Analysis a (wt.%) | Fixed carbon | 4.73 | 89.7 | 59.8 | 69.3 | 77.54 | 53.5 |
| Volatile matters | 80.21 | 3.38 | 13.4 | 7.32 | 10.50 | 8.09 | |
| Ash | 2.64 | 4.61 | 16.9 | 17.8 | 5.36 | 31.1 | |
| Equilibrium moisture b | 12.42 | 2.00 | 9.94 | 5.58 | 6.58 | 7.30 | |
| Ultimate Analysis a (wt.%) | C | 38.8 | 89.8 | 67.5 | 75.3 | 83.8 | 56.7 |
| H | 6.00 | 0.708 | 1.70 | 0.974 | 1.23 | 1.15 | |
| O | 35.3 | 1.82 d | 3.02 d | - | 2.57 d | 1.81 d | |
| N | 0.298 | 0.905 | 0.873 | 0.745 | 0.428 | 1.02 | |
| S | 0.038 | 0.075 | 0.017 | 0.047 | 0.009 | 0.345 | |
| Cl | 0.044 | 0.079 | 0.047 | 0.028 | 0.020 | 0.579 | |
| Ash components a (wt.%) | Al2O3 | - | 1.72 | 0.014 | 0.058 | 0.095 | 0.407 |
| BaO | - | 0.004 | 0.0001 | 0.0001 | 0.019 | 0.008 | |
| CaO | - | 0.215 | 0.430 | 2.08 | 2.03 | 1.62 | |
| Fe2O3 | - | 0.939 | 0.021 | 12.1 | 0.059 | 0.656 | |
| K2O | - | 0.532 | 11.0 | 0.340 | 1.24 | 4.24 | |
| MgO | - | 0.054 | 0.057 | 0.087 | 0.342 | 1.10 | |
| MnO2 | - | 0.002 | 0.004 | 0.020 | 0.255 | 0.525 | |
| Na2O | - | 0.060 | 0.033 | 0.016 | 0.014 | 0.685 | |
| P2O5 | - | 0.028 | 0.029 | 0.045 | 0.215 | 0.731 | |
| SO3 | - | 0.17 | 0.031 | 0.071 | 0.008 | 0.803 | |
| SiO2 | - | 3.22 | 1.74 | 2.68 | 0.656 | 18.1 | |
| SrO | - | 0.008 | 0.001 | 0.002 | 0.006 | 0.005 | |
| TiO2 | - | 0.077 | 0.001 | 0.00 | 0.004 | 0.028 | |
| BET total surface area (m2/g) | - | 469.6 | 6.93 | 220.7 | - | - |
2.2. Tar Reforming over PSC, WC, and SC
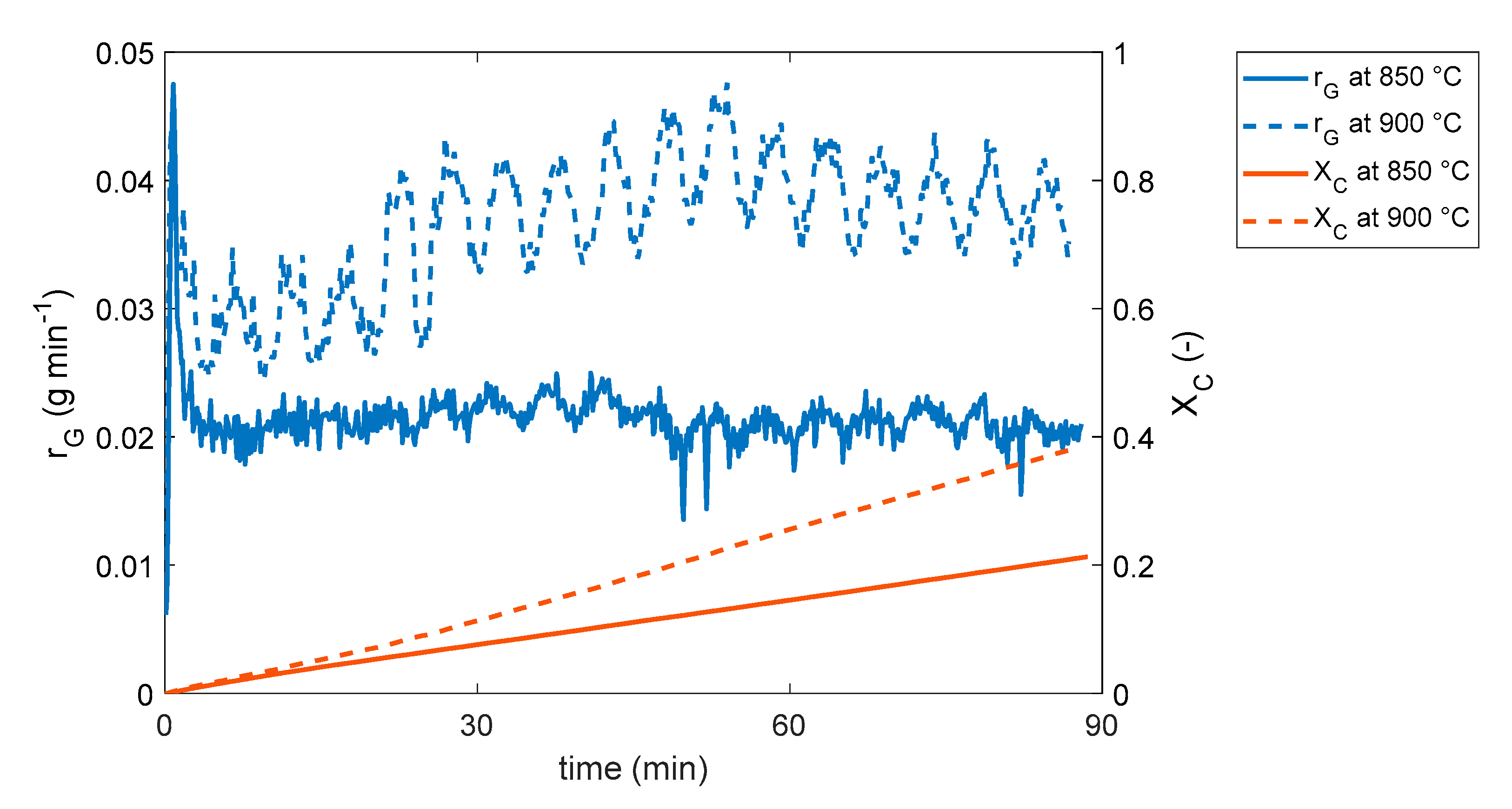
2.2.1. Conversions of Tar and Gasification Rates of PSC at Different Temperatures
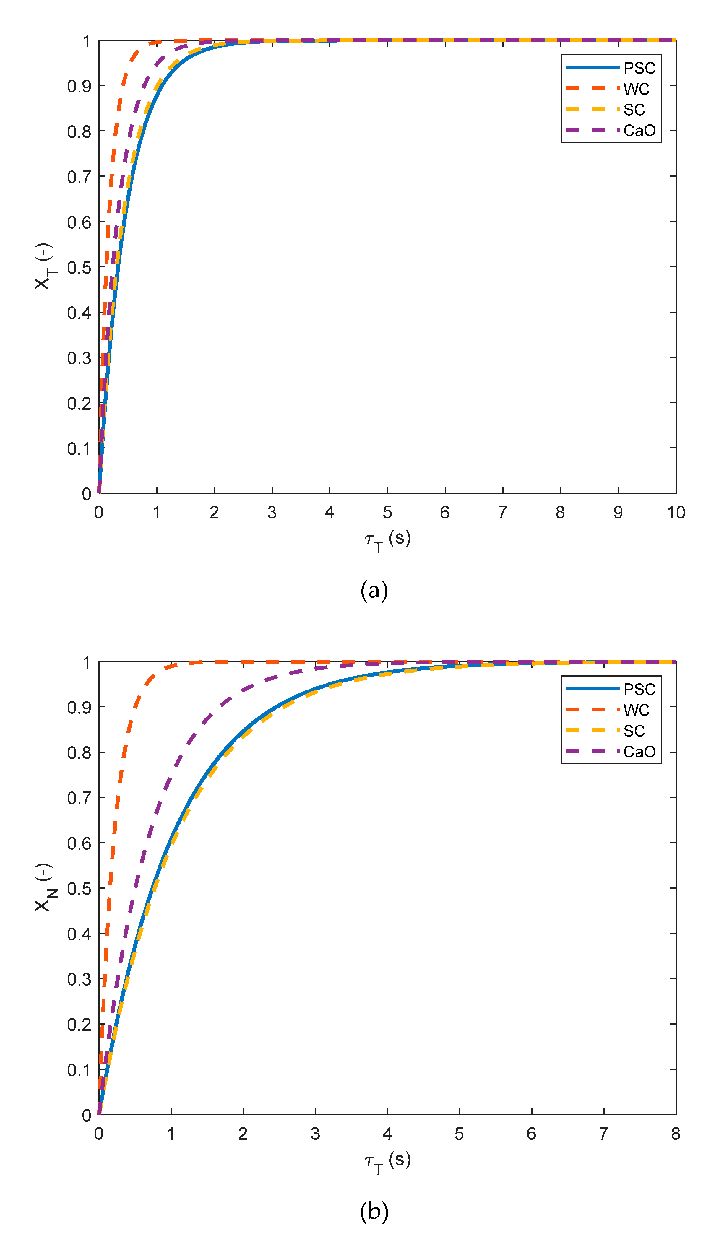
2.2.2. Comparison of Conversions of Tar and Gasification Rates between PSC, WC, and SC
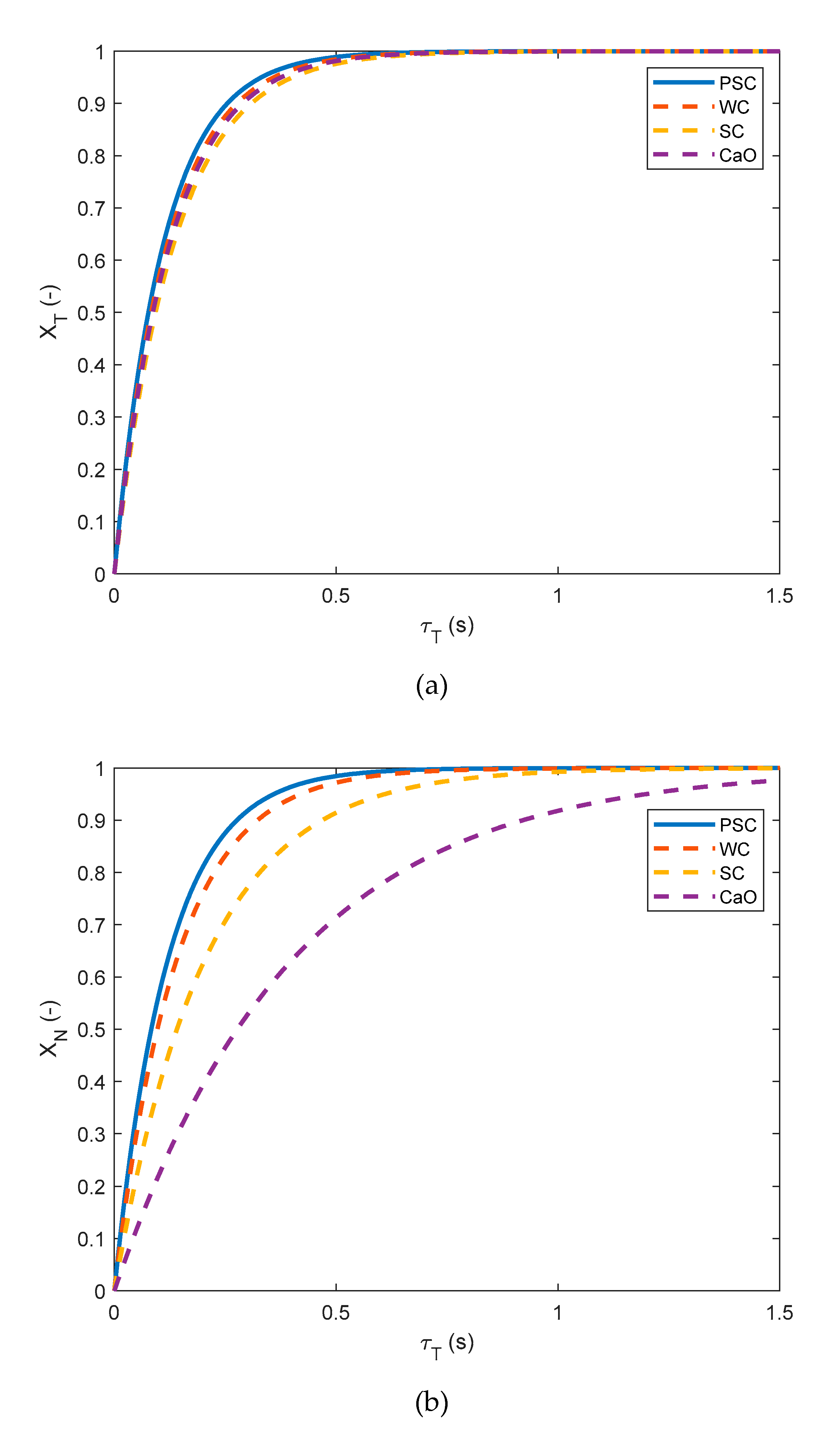
2.3. Tar Reforming over 5%K-PSC and 5%Fe-PSC
2.4. Catalytic Activities of Different Biochar at Different Temperatures
2.5. Benzene Selectivities of Different Biochars
2.6. Kinetics
3. Material and Methods
3.1. Materials
3.2. Experiment Method
3.3. Detection of Gas Components
3.4. Analytical and Characterization Methods
3.5. Toluene and Naphthalene Reforming
3.6. Calculation Formulas
4. Conclusions
Author Contributions
Funding
Acknowledgments
Conflicts of Interest
References
- Hawthorne, C.; Poboss, N.; Dieter, H.; Gredinger, A.; Zieba, M.; Scheffknecht, G. Operation and results of a 200-kWth dual fluidized bed pilot plant gasifier with adsorption-enhanced reforming. Biomass Conv. Bioref. 2012, 2, 217–227. [Google Scholar] [CrossRef]
- Schweitzer, D.; Beirow, M.; Gredinger, A.; Armbrust, N.; Waizmann, G.; Dieter, H.; Scheffknecht, G. Pilot-Scale Demonstration of Oxy-SER steam Gasification: Production of Syngas with Pre-Combustion CO2 Capture. Energy Procedia 2016, 86, 56–68. [Google Scholar] [CrossRef]
- Poboss, N. Experimental investigation of the absorption enhanced reforming of biomass in a 20 kWth dual fluidized bed system. Int. J. Thermodyn. 2012, 15. [Google Scholar] [CrossRef]
- Milne, T.A.; Evans, R.J.; Abatzoglou, N. Biomass Gasifier “Tars”: Their Nature, Formation, and Conversion; National Renewable Energy Laboratory: Golden, CO, USA, 1998.
- Bridgwater, A.V. The technical and economic feasibility of biomass gasification for power generation. Fuel 1995, 74, 631–653. [Google Scholar] [CrossRef]
- Jess, A. Catalytic upgrading of tarry fuel gases: A kinetic study with model components. Chem. Eng. Process 1996, 35, 487–494. [Google Scholar] [CrossRef]
- Depner, H. Untersuchungen Zur Katalytischen Umsetzung Flüchtiger Schwelprodukte in Rohgasen Der Verkokung Und Vergasung Fester Brennstoffe. Ph.D. Thesis, TH Karlsruhe, Karlsruhe, Germany, 1998. [Google Scholar]
- Speidel, M.; Fischer, H. Steam reforming of tars at low temperature and elevated pressure for model tar component naphthalene. Int. J. Hydrog. Energy 2016, 41, 12920–12928. [Google Scholar] [CrossRef]
- Armbrust, N.; Poboss, N.; Eder, T.; Zieba, M.; Scheffknecht, G. Comparison of Two Methods of Sampling and Analyzing Tars during AER Biomass Gasification. In Proceedings of the 19th European Biomass Conference and Exhibition, Berlin, Germany, 6–10 June 2011. [Google Scholar]
- Diehl, A. Experimentelle Untersuchung der Reformierung von Teeren an Katalystisch Aktiven Substanzen. Ph.D. Thesis, Uni Stuttgart, Stuttgart, Germany, 2012. [Google Scholar]
- Soukup, G.; Pfeifer, C.; Kreuzeder, A.; Hofbauer, H. In Situ CO 2 Capture in a Dual Fluidized Bed Biomass Steam Gasifier—Bed Material and Fuel Variation. Chem. Eng. Technol. 2009, 32, 348–354. [Google Scholar] [CrossRef]
- Pfeifer, C.; Koppatz, S.; Hofbauer, H. Steam gasification of various feedstocks at a dual fluidised bed gasifier: Impacts of operation conditions and bed materials. Biomass Conv. Bioref. 2011, 1, 39–53. [Google Scholar] [CrossRef]
- Steiert, S. FuE-Plattform “Biomass-to-Gas”—Energetische Nutzung biogener Reststoffe mit AER-Technologie zur Poly-Generation von Strom, Wasserstoff, Erdgassubstitut und Wärme, Schlussbericht; Zentrums für Sonnenenergie-und Wasserstoff-Forschung Baden-Wüttemberg (ZSW): Stuttgart, Germany, 2013. [Google Scholar]
- Aznar, M.P.; Caballero, M.A.; Gil, J.; Martín, J.A.; Corella, J. Commercial Steam Reforming Catalysts To Improve Biomass Gasification with Steam−Oxygen Mixtures. 2. Catalytic Tar Removal. Ind. Eng. Chem. Res. 1998, 37, 2668–2680. [Google Scholar] [CrossRef]
- Abu El-Rub, Z.; Bramer, E.A.; Brem, G. Review of Catalysts for Tar Elimination in Biomass Gasification Processes. Ind. Eng. Chem. Res. 2004, 43, 6911–6919. [Google Scholar] [CrossRef]
- Kostyniuk, A.; Grilc, M.; Likozar, B. Catalytic Cracking of Biomass-Derived Hydrocarbon Tars or Model Compounds To Form Biobased Benzene, Toluene, and Xylene Isomer Mixtures. Ind. Eng. Chem. Res. 2019, 58, 7690–7705. [Google Scholar] [CrossRef]
- Zeng, X.; Ueki, Y.; Yoshiie, R.; Naruse, I.; Wang, F.; Han, Z.; Xu, G. Recent progress in tar removal by char and the applications: A comprehensive analysis. Carbon Resour. Convers. 2020, 3, 1–18. [Google Scholar] [CrossRef]
- Prasertsan, S.; Prasertsan, P. Biomass residues from palm oil mills in Thailand: An overview on quantity and potential usage. Biomass Bioenergy 1996, 11, 387–395. [Google Scholar] [CrossRef]
- Ani, F.N.; Zailani, R. Characteristics of Pyrolysis Oil and Char from Oil Palm Shells. In Developments in Thermochemical Biomass Conversion, 1st ed.; Bridgwater, A.V., Boocock, D.G.B., Eds.; Springer Netherlands: Dordrecht, The Netherlands, 1997; pp. 425–432. [Google Scholar]
- Kim, S.-J.; Jung, S.-H.; Kim, J.-S. Fast pyrolysis of palm kernel shells: Influence of operation parameters on the bio-oil yield and the yield of phenol and phenolic compounds. Bioresour. Technol. 2010, 101, 9294–9300. [Google Scholar] [CrossRef] [PubMed]
- Wan Daud, W.M.A.; Ali, W.S.W.; Sulaiman, M.Z. Effect of activation temperature on pore development in activated carbon produced from palm shell. J. Chem. Technol. Biotechnol. 2003, 78, 1–5. [Google Scholar] [CrossRef]
- Mani, S.; Kastner, J.R.; Juneja, A. Catalytic decomposition of toluene using a biomass derived catalyst. Fuel Process. Technol. 2013, 114, 118–125. [Google Scholar] [CrossRef]
- Feng, D.; Zhao, Y.; Zhang, Y.; Zhang, Z.; Zhang, L.; Sun, S. In-situ steam reforming of biomass tar over sawdust biochar in mild catalytic temperature. Biomass Bioenergy 2017, 107, 261–270. [Google Scholar] [CrossRef]
- Feng, D.; Zhao, Y.; Zhang, Y.; Sun, S.; Meng, S.; Guo, Y.; Huang, Y. Effects of K and Ca on reforming of model tar compounds with pyrolysis biochars under H2O or CO2. Chem. Eng. J. 2016, 306, 422–432. [Google Scholar] [CrossRef]
- Feng, D.; Zhao, Y.; Zhang, Y.; Zhang, Z.; Che, H.; Sun, S. Experimental comparison of biochar species on in-situ biomass tar H2O reforming over biochar. Int. J. Hydrog. Energy 2017, 42, 24035–24046. [Google Scholar] [CrossRef]
- Feng, D.; Zhao, Y.; Zhang, Y.; Zhang, Z.; Sun, S. Roles and fates of K and Ca species on biochar structure during in-situ tar H2O reforming over nascent biochar. Int. J. Hydrog. Energy 2017, 42, 21686–21696. [Google Scholar] [CrossRef]
- Klinghoffer, N.B.; Castaldi, M.J.; Nzihou, A. Catalyst Properties and Catalytic Performance of Char from Biomass Gasification. Ind. Eng. Chem. Res. 2012, 51, 13113–13122. [Google Scholar] [CrossRef]
- Kastner, J.R.; Mani, S.; Juneja, A. Catalytic decomposition of tar using iron supported biochar. Fuel Process. Technol. 2015, 130, 31–37. [Google Scholar] [CrossRef]
- Nordgreen, T.; Liliedahl, T.; Sjostrom, K. Metallic iron as a tar breakdown catalyst related to atmospheric, fluidised bed gasification of biomass. Fuel 2006, 85, 689–694. [Google Scholar] [CrossRef]
- Chen, Y.-H.; Schmid, M.; Waizmann, G.; Hafner, S.; Scheffknecht, G. Tar Reforming over CAO and Straw Char Produced Inherently in Steam-oxygen Biomass Gasification Processes Using Toluene as Model Component. In Proceedings of the 27th European Biomass Conference and Exhibition, Lisbon, Portugal, 27–30 May 2019. [Google Scholar] [CrossRef]
- Klinghoffer, N.B.; Castaldi, M.J.; Nzihou, A. Influence of char composition and inorganics on catalytic activity of char from biomass gasification. Fuel 2015, 157, 37–47. [Google Scholar] [CrossRef]
- Chen, Y.-H.; Chang, C.-C.; Chang, C.-Y.; Yuan, M.-H.; Ji, D.-R.; Shie, J.-L.; Lee, C.-H.; Chen, Y.-H.; Chang, W.-R.; Yang, T.-Y.; et al. Production of a solid bio-fuel from waste bamboo chopsticks by torrefaction for cofiring with coal. J. Anal. Appl. Pyrolysis 2017, 126, 315–322. [Google Scholar] [CrossRef]
- Kajita, M.; Kimura, T.; Norinaga, K.; Li, C.-Z.; Hayashi, J.-i. Catalytic and Noncatalytic Mechanisms in Steam Gasification of Char from the Pyrolysis of Biomass. Energy Fuels 2010, 24, 108–116. [Google Scholar] [CrossRef]
- Guo, F.; Liu, Y.; Wang, Y.; Li, X.; Li, T.; Guo, C. Pyrolysis kinetics and behavior of potassium-impregnated pine wood in TGA and a fixed-bed reactor. Energy Convers. Manag. 2016, 130, 184–191. [Google Scholar] [CrossRef]
- Industrial Development Bureau of Taiwan. Regional Energy Resource Integration and Efficiency Enhancement Demonstration Counseling Project; Industrial Development Bureau: Taipei, Taiwan, 2016. [Google Scholar]
- Prakash Kumar, B.G.; Shivakamy, K.; Miranda, L.R.; Velan, M. Preparation of steam activated carbon from rubberwood sawdust (Hevea brasiliensis) and its adsorption kinetics. J. Hazard. Mater. 2006, 136, 922–929. [Google Scholar] [CrossRef]
- Fuentes-Cano, D.; Gómez-Barea, A.; Nilsson, S.; Ollero, P. Decomposition kinetics of model tar compounds over chars with different internal structure to model hot tar removal in biomass gasification. Chem. Eng. J. 2013, 228, 1223–1233. [Google Scholar] [CrossRef]
- Nilsson, S.; Gomez-Barea, A.; Fuentes Cano, D. Gasification reactivity of char from dried sewage sludge in a fluidized bed. Fuel 2012, 92, 346–353. [Google Scholar] [CrossRef]
- Zeng, X.; Wang, F.; Han, Z.; Han, J.; Zhang, J.; Wu, R.; Xu, G. Assessment of char property on tar catalytic reforming in a fluidized bed reactor for adopting a two-stage gasification process. Appl. Energy 2019, 248, 115–125. [Google Scholar] [CrossRef]
- Suzuki, T.; Nakajima, H.; Ikenaga, N.-o.; Oda, H.; Miyake, T. Effect of mineral matters in biomass on the gasification rate of their chars. Biomass Conv. Bioref. 2011, 1, 17–28. [Google Scholar] [CrossRef]
- Yip, K.; Tian, F.; Hayashi, J.-I.; Wu, H. Effect of Alkali and Alkaline Earth Metallic Species on Biochar Reactivity and Syngas Compositions during Steam Gasification. Energy Fuels 2010, 24, 173–181. [Google Scholar] [CrossRef]
- Yu, J.; Tian, F.; Chow, M.; Mckenzie, L.; Li, C. Effect of iron on the gasification of Victorian brown coal with steam:enhancement of hydrogen production. Fuel 2006, 85, 127–133. [Google Scholar] [CrossRef]
- Guo, F.; Liu, Y.; Liu, Y.; Guo, C. Catalytic reforming of tar using corncob char and char-supported potassium catalysts. J. Therm. Anal. Calorim. 2017, 130, 1297–1306. [Google Scholar] [CrossRef]
- Fu, P.; Hu, S.; Xiang, J.; Yi, W.; Bai, X.; Sun, L.; Su, S. Evolution of char structure during steam gasification of the chars produced from rapid pyrolysis of rice husk. Bioresour. Technol. 2012, 114, 691–697. [Google Scholar] [CrossRef]
- Song, Y.; Wang, Y.; Hu, X.; Hu, S.; Xiang, J.; Zhang, L.; Zhang, S.; Min, Z.; Li, C.-Z. Effects of volatile–char interactions on in situ destruction of nascent tar during the pyrolysis and gasification of biomass. Part I. Roles of nascent char. Fuel 2014, 122, 60–66. [Google Scholar] [CrossRef]
- Song, Y.; Wang, Y.; Hu, X.; Xiang, J.; Hu, S.; Mourant, D.; Li, T.; Wu, L.; Li, C.-Z. Effects of volatile–char interactions on in-situ destruction of nascent tar during the pyrolysis and gasification of biomass. Part II. Roles of steam. Fuel 2015, 143, 555–562. [Google Scholar] [CrossRef]
- Ducousso, M.; Weiss-Hortala, E.; Nzihou, A.; Castaldi, M.J. Reactivity enhancement of gasification biochars for catalytic applications. Fuel 2015, 159, 491–499. [Google Scholar] [CrossRef]
- Zhang, Y.; Feng, D.; Zhao, Y.; Dong, H.; Chang, G.; Quan, C.; Sun, S.; Qin, Y. Evolution of Char Structure During In-Situ Biomass Tar Reforming: Importance of the Coupling Effect Among the Physical-Chemical Structure of Char-Based Catalysts. Catalysts 2019, 9, 711. [Google Scholar] [CrossRef]
- El-Rub, Z.A.; Bramer, E.A.; Brem, G. Experimental comparison of biomass chars with other catalysts for tar reduction. Fuel 2008, 87, 2243–2252. [Google Scholar] [CrossRef]
- The German Institute for Standardization: DIN EN ISO 18134-3, 18122, 18123, 16948, 16967, and 16994. Available online: https://www.din.de/de (accessed on 4 November 2019).
- Barrett, E.P.; Joyner, L.G.; Halenda, P.P. The Determination of Pore Volume and Area Distributions in Porous Substances. I. Computations from Nitrogen Isotherms. J. Am. Chem. Soc. 1951, 73, 373–380. [Google Scholar] [CrossRef]
- Storck, S.; Bretinger, H.; Maier, W.F. Characterization of micro- and mesoporous solids by physisorption methods and pore-size analysis. Appl. Catal. A 1998, 174, 137–146. [Google Scholar] [CrossRef]
- Taralas, G.; Kontominas, M.G. Kinetic modelling of VOC catalytic steam pyrolysis for tar abatement phenomena in gasification/pyrolysis technologies. Fuel 2004, 83, 1235–1245. [Google Scholar] [CrossRef]
- Swierczynski, D.; Libs, S.; Courson, C.; Kiennemann, A. Steam reforming of tar from a biomass gasification process over Ni/olivine catalyst using toluene as a model compound. Appl. Catal. B 2007, 74, 211–222. [Google Scholar] [CrossRef]
- Taralas, G.; Kontominas, M.G. Numerical modeling of tar species/VOC dissociation for clean and intelligent energy production. Energy Fuels 2005, 19, 87–93. [Google Scholar] [CrossRef]
- Shekhawat, D.; Spivey, J.J.; Berry, D.A. Fuel Cells: Technologies for Fuel Processing, 1st ed.; Elsevier Science: Amsterdem, The Netherlands, 2011. [Google Scholar]
- Taralas, G.; Kontominas, M.G.; Kakatsios, X. Modeling the thermal destruction of toluene (C7H8) as tar-related species for fuel gas cleanup. Energy Fuels 2003, 17, 329–337. [Google Scholar] [CrossRef]
















| Component | Unit | [11,12] | [13] |
|---|---|---|---|
| H2O | vol % | 50–60 | 60 |
| H2 | vol % | 55–71 a | 26 |
| CO | vol % | 5–11 a | 2.4 |
| CO2 | vol % | 7–20 a | 3 |
| CH4 | vol % | 8–13 a | 5.6 |
| Tar | g m−3NTP | 0.3–3 a | 1–5 |
| Sample | BET Total Surface Area (m2 g−1) | Micropore Area (m2 g−1) | Mesopore Area (m2 g−1) | The Ratio of Micropore to Mesopore Area | Micropore Volume (cm3 g−1) | Pore Average Diameter (nm) |
|---|---|---|---|---|---|---|
| PSC | 469.6 | 331.8 | 66.1 | 5.0 | 0.199 | 2.5 |
| PSC-850 | 532.6 | 430.1 | 82.0 | 5.2 | 0.2 | 2.13 |
| PSC-900 | 813.7 | 511.3 | 253.1 | 2.0 | 0.26 | 2.68 |
| Tar Model Compound | Catalyst Type | Tr (°C) | XT (-) | Ea (kJ/mol) | k0 (s−1) | R2 * |
|---|---|---|---|---|---|---|
| Toluene | PSC | 850–900 | 0.31–0.81 | 318.9 | 1.44 × 1015 | 0.973 |
| WC | 730–880 | 0.26–0.70 | 89.0 | 7.66 × 104 | 0.999 | |
| SC | 830–880 | 0.21–0.56 | 259.7 | 2.73 × 1012 | 0.995 | |
| 5%K-PSC | 740–780 | 0.51–0.70 | 116.3 | 4.22 × 106 | - | |
| 5%Fe-PSC | 740–850 | 0.26–0.52 | 82.7 | 3.26 × 104 | 0.999 | |
| CaO | 750–950 | 0.14–0.98 | 218.0 | 4.06 × 1010 | 0.994 | |
| Naphthalene | PSC | 850–900 | 0.15–0.77 | 478.9 | 1.76 × 1022 | 0.996 |
| WC | 730–880 | 0.22–0.68 | 97.2 | 1.51 × 105 | 0.963 | |
| SC | 830–880 | 0.07–0.35 | 372.2 | 1.83 × 1017 | 0.999 | |
| 5%K-PSC | 740–780 | 0.54–0.70 | 99.1 | 5.88 × 105 | - | |
| 5%Fe-PSC | 740–850 | 0.18–0.43 | 100.6 | 1.74 × 105 | 0.999 | |
| CaO | 750–950 | 0.15–0.68 | 130.1 | 1.56 × 106 | 0.986 |
© 2020 by the authors. Licensee MDPI, Basel, Switzerland. This article is an open access article distributed under the terms and conditions of the Creative Commons Attribution (CC BY) license (http://creativecommons.org/licenses/by/4.0/).
Share and Cite
Chen, Y.-H.; Schmid, M.; Chang, C.-C.; Chang, C.-Y.; Scheffknecht, G. Lab-Scale Investigation of Palm Shell Char as Tar Reforming Catalyst. Catalysts 2020, 10, 476. https://doi.org/10.3390/catal10050476
Chen Y-H, Schmid M, Chang C-C, Chang C-Y, Scheffknecht G. Lab-Scale Investigation of Palm Shell Char as Tar Reforming Catalyst. Catalysts. 2020; 10(5):476. https://doi.org/10.3390/catal10050476
Chicago/Turabian StyleChen, Yen-Hau, Max Schmid, Chia-Chi Chang, Ching-Yuan Chang, and Günter Scheffknecht. 2020. "Lab-Scale Investigation of Palm Shell Char as Tar Reforming Catalyst" Catalysts 10, no. 5: 476. https://doi.org/10.3390/catal10050476
APA StyleChen, Y.-H., Schmid, M., Chang, C.-C., Chang, C.-Y., & Scheffknecht, G. (2020). Lab-Scale Investigation of Palm Shell Char as Tar Reforming Catalyst. Catalysts, 10(5), 476. https://doi.org/10.3390/catal10050476

