Abstract
The potential of Hg(II), a metal ion so-far overlooked in the development of artificial nucleases, to cleave RNA and DNA has been assessed. Accordingly, Hg(II)-promoted cleavage and isomerization of the RNA model compound adenylyl-3′,5′-(2′,3′-O-methyleneadenosine) and depurination of 2′-deoxyadenosine were followed by HPLC as a function of pH (5.0–6.0) and the desulfurization of both diastereomers of the phosphoromonothioate analog of adenylyl-3′,5′-(2′,3′-O-methyleneadenosine) at a single pH (6.9). At 5 mM [Hg(II)], cleavage of the RNA model compound was accelerated by two orders of magnitude at the low and by one order of magnitude at the high end of the pH range. Between 0 and 5 mM [Hg(II)], the cleavage rate showed a sigmoidal dependence on [Hg(II)], suggesting the participation of more than one Hg(II) in the reaction. Isomerization and depurination were also facilitated by Hg(II), but much more modestly than cleavage, less than 2-fold over the entire pH range studied. Phosphoromonothioate desulfurization was by far the most susceptible reaction to Hg(II) catalysis, being accelerated by more than four orders of magnitude.
Keywords:
mercury; catalysis; RNA; DNA; phosphodiester; phosphoromonothioate; cleavage; depurination; desulfurization 1. Introduction
Metal ion-catalyzed cleavage of both RNA and DNA phosphodiester linkages has been investigated extensively to understand the mechanism of action of natural nucleases (including ribozymes) [,,,,], as well as to develop artificial ones [,,,,]. Comparative studies with phosphodiester and phosphorothioate model compounds have been instrumental in revealing coordination of catalytically important metal ions to the scissile linkage [,,,,,]. The catalytic activities of various metal ions reflect their binding affinities to oxygen and sulfur, with hard metal ions being more efficient in the cleavage of phosphates and soft ones in the cleavage of phosphorothioates. Hg(II) lies at the thiophilic end of the spectrum and has indeed been reported to affect very rapid cleavage and desulfurization of RNA phosphorothioate linkages while leaving phosphodiester linkages largely intact []. On the other hand, the very low pKa of an aqua ligand of Hg(II) [] would predict high activity also in the cleavage of RNA phosphodiester linkages []. Interestingly, Hg(II) is also the only metal ion reported to accelerate depurination [], potentially offering a novel approach for the cleavage of DNA. However, to the best of our knowledge, detailed kinetic data on the catalytic effect of Hg(II) on the cleavage, isomerization or depurination of nucleosides and dinucleoside phosphodiesters is not available.
We report herein a detailed kinetic study on the cleavage and isomerization of adenylyl-3′,5′-(2′,3′-O-methyleneadenosine) and the desulfurization of the Rp and Sp diastereomers of its phosphoromonothioate analog, as well as the depurination of 2′-deoxyadenosine in the presence and absence of Hg(II). Adenine was chosen as the base moiety for its relatively rapid depurination. The permanent methylene protection on the 5′-linked nucleoside, in turn, facilitates analysis of the cleavage reaction by ensuring that distinct sets of products would be obtained from the 3′- and 5′-linked nucleosides even after possible dephosphorylation. The greatest accelerations by Hg(II) were observed with phosphoromonothioate desulfurization and phosphodiester cleavage, the reactions being four and two orders of magnitude faster in the presence of Hg(II) than in the absence thereof. Much more modest (less than two-fold) accelerations were observed with depurination and isomerization reactions.
2. Results and Discussion
2.1. Synthesis
Phosphodiester 1a and its phosphoromonothioate analog 2a (as RP and SP diastereomers) were prepared as described in Scheme 1 by displacing the diisopropylamino ligand of an appropriately protected adenosine 3′-(2-cyanoethyl-N,N-diisopropylphosphoramidite) by N6,N6-dibenzoyl-2′,3′-O-methyleneadenosine (3), using 5-(benzylthio)-1H-tetrazole as an activator. The phosphite triester formed was oxidized to either phosphate or thiophosphate ester by treatment with either elemental iodine in a mixture of tetrahydrofuran, water and 2,6-lutidine or elemental sulfur in dicholoromethane. The cyanoethyl group was removed in a mixture of pyridine and Et3N and the benzoyl groups in a mixture of aqueous ammonia and methylamine to afford intermediates 4 and 5. Finally, removal of tert-butyldimethylsilyl and dimethoxytrityl groups by treatment with triethylamine trihydrofluoride, followed by RP-HPLC purification, gave the desired products 1a and 2a. The two diastereomers of the phosphorothioate product 2a were separable by RP-HPLC and were assigned absolute configurations based on their 31P NMR chemical shifts, as described in the literature [].

Scheme 1.
Synthesis of the dinucleoside monophosphate and phosphorothioate model compounds 1a and 2a. Reagents and conditions: (i) 3,5-(benzylthio)-1H-tetrazole, MeCN; (ii) I2, THF, H2O, 2,6-lutidine; (iii) S8, CH2Cl2; (iv) Et3N, pyridine; (v) NH3, MeNH2, H2O; (vi) Et3N•3HF, CH2Cl2.
2.2. Reaction Kinetics
2.2.1. Cleavage and Isomerization of Adenylyl-3′,5′-(2′,3′-O-Methyleneadenosine) (1a)
Hydrolytic reactions of the phosphodiester model compound 1a were followed by RP-HPLC at 90 °C over a pH range of 5.0–6.0 (30 mM MES buffer) and at a constant ionic strength of 0.10 M (adjusted with sodium nitrate). At pH 6.0, the reactions were also followed at various Hg(II) concentrations ranging from 0 to 5 mM. The narrow pH range was dictated by the low solubility of Hg(II) under more alkaline conditions. Prior to analysis, sodium chloride was added to the samples to precipitate Hg(II) out as the tetrachlorido complex.
Over the pH and [Hg(II)] range studied, the expected reactions, namely, cleavage to adenosine 2′,3′-cyclic monophosphate (cAMP) and 2′,3′-O-methyleneadenosine (6) and isomerization to adenylyl-2′,5′-(2′,3′-O-methyleneadenosine) (1b), predominated (Scheme 2, k1, k2 and k−2, respectively). cAMP was further converted to adenosine without accumulation of 2′- and 3′-monophosphate intermediates. Finally, depurination of the various adenosine derivatives was also observed. The rates of these last two reactions were, however, too slow to be quantified reliably.

Scheme 2.
Hydrolytic reaction pathways of 1a and 1b.
The dependence of the rate of cleavage and isomerization of 1a on [Hg(II)] was studied over a concentration range of 0–5 mM at pH 6.0 (Figure 1). Both reactions exhibited a similar pattern of [Hg(II)]-dependence of rate at low [Hg(II)] and leveling-off at high [Hg(II)], and in both cases, the dependence of the observed pseudo first-order rate constant on [Hg(II)] may be expressed by Equation (1).
k0 and kHg are the first- and second-order rate constants for the Hg(II)-independent and Hg(II) catalyzed reactions, respectively, Kd is the dissociation constant of the reactive complex and n is the reaction order with respect to Hg(II) ion. The rate constants obtained by non-linear least-squares fitting of the experimental data to Equation (1) are summarized in Table 1.

Figure 1.
[Hg(II)]-dependence of the rate of cleavage (k1, ■) and isomerization (k2 + k−2, ●) of 1a and 1b; T = 90 °C; pH = 6.0; [buffer] = 30 mM; I(NaNO3) = 100 mM.

Table 1.
Kinetic parameters for Hg(II)-catalyzed cleavage (k1) and isomerization (k2 + k-2) of 1a and 1b; T = 90 °C; pH = 6.0; [buffer] = 30 mM; I(NaNO3) = 100 mM.
The rate constants for the Hg(II)-independent reactions were consistent with those reported previously for similar model compounds under the same conditions []. The observation that cleavage is catalyzed more efficiently than isomerization (kHg = 7.0 and 1.3 × 10−6 M−n s−1, respectively) is also in line with previous reports on catalysis by other metal ions [], and suggests that Hg(II) exerts its catalytic effect mainly by assisting in the departure of the 5′-linked nucleoside. This assistance could take the form of either direct coordination of Hg(II) to the departing oxygen or proton transfer from an aqua ligand. The dissociation constants for the reactive complex were very similar for both cleavage and isomerization (Kd = 0.8 and 0.63 mM, respectively) and comparable to the respective value determined for the Hg(II)—adenosine complex []. Adenosine 5′-monophosphate, on the other hand, has been reported to form indirect chelates with divalent transition metal ions, with an aqua ligand of an N7-coordinated metal ion hydrogen-bonded to the phosphate [,,]. Such a binding mode seems likely also in the present case and would be consistent with the observed catalysis. Finally, fitting of the experimental data suggested a third-order dependence of the rate of cleavage and isomerization on Hg(II). This value is highly uncertain, but the sigmoidal plots obtained for both reactions would seem to indicate the participation of more than one Hg(II) ions. Participation of two metal ions has been demonstrated with several other metals, and the most efficient metal catalysts for the cleavage of RNA phosphodiester linkages are, indeed, dinuclear complexes [,,,,,,,].
In the absence of Hg(II), mutual isomerization of 1a and 1b was pH-independent, whereas, cleavage to monomeric products was gradually turning first-order in hydroxide ion on increasing pH (Figure 2). Isomerization was an order of magnitude faster than cleavage, allowing k2 and k−2 to be determined based on the relative concentrations of 1a and 1b at equilibrium. The ratio of [1a] to [1b] approached unity, corresponding to essentially equal values for k2 and k−2. With cleavage, the contributions of pH-independent and hydroxide ion catalyzed reactions to the observed pseudo first-order rate constant may be expressed by Equation (2).
KW is the ion product of water under the experimental conditions (6.2 × 10−13 M2) and k1W and k1OH the first- and second-order rate constants for the pH-independent and hydroxide ion catalyzed reactions, respectively. The rate constants obtained (Table 2) were in good agreement with those reported previously for similar model compounds [].

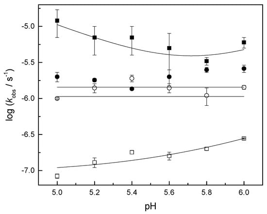
Figure 2.
pH–rate profiles for the cleavage (k1, squares) and isomerization (k2 + k−2, circles) of 1a in the absence (open symbols) and presence (filled symbols) of Hg(II); T = 90 °C; [Hg(II)] = 0/5 mM; [buffer] = 30 mM; I(NaNO3) = 100 mM.

Table 2.
Rate constants for the partial reactions contributing to the cleavage and isomerization of 1a and 1b; T = 90 °C; [Hg(II)] = 0/5 mM; [buffer] = 30 mM; I(NaNO3) = 100 mM.
At a saturating (5.0 mM) concentration of Hg(II), mutual isomerization of 1a and 1b was pH-independent and only marginally faster than in the absence of Hg(II) (Figure 2). Cleavage, in turn, appeared to be first-order in hydronium ion at low pH and first-order in hydroxide ion at high pH, the rate acceleration by Hg(II) ranging from 140-fold at pH 5.0 to 20-fold at pH 6.0. Comparable acceleration has been reported previously for other divalent transition metal ions, such as Zn(II) []. Over the entire pH range studied, cleavage was also significantly faster than isomerization and the 2′-isomer 1b did not accumulate sufficiently for reliable determination of k2 and k−2. The observed pseudo first-order rate constant for the cleavage reaction was broken down to contributions of hydronium and hydroxide ion catalyzed reactions by Equation (3).
KW is the ion product of water under the experimental conditions (6.2 × 10−13 M2) and k1H and k1OH the second-order rate constants for the hydronium and hydroxide ion catalyzed reactions, respectively. Rate constants obtained for all partial reactions are summarized in Table 2.
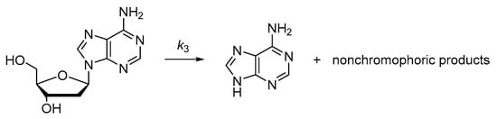
2.2.2. Depurination of 2′-Deoxyadenosine
Depurination of 2′-deoxyadenosine was studied under the same conditions as the hydrolytic reactions of 1a and 1b. Conversion of 2′-deoxyadenosine to adenine and nonchromophoric products (Scheme 3, k3) was the only reaction over the entire pH range studied and regardless of the presence of Hg(II). The reaction was first-order in hydronium ion both in the absence and presence of Hg(II) (Figure 3), the second-order rate constants being k3H = 1.16 ± 0.06 and 2.2 ± 0.2 M−1 s−1, respectively. Similar modest acceleration by Hg(II) has been reportedly previously for 9-(1-ethoxyethyl)purine and attributed to additive electron-withdrawing effects of simultaneous protonation at N1 and Hg(II) coordination at N7 [].

Scheme 3.
Depurination of 2′-deoxyadenosine.

Figure 3.
pH–rate profiles for the depurination (k3) of 2′-deoxyadenosine in the absence (open triangles) and presence (filled triangles) of Hg(II); T = 90 °C; [Hg(II)] = 0/5 mM; [buffer] = 30 mM; I(NaNO3) = 100 mM.
2.2.3. Desulfurization of Adenylyl-3′,5′-(2′,3′-O-Methyleneadenosine) Phosphoromonothioate (2a)
The rate of desulfurization was determined separately for both diastereomers of adenylyl-3′,5′-(2′,3′-O-methyleneadenosine) phosphoromonothioate (2a) at 0 °C and pH 6.9 and either in the absence or at a saturating concentration of Hg(II). The ionic strength was adjusted to 0.10 M with sodium nitrate. Desulfurization of 2a (Scheme 4, k4) was accompanied with apparent isomerization and cleavage of the immediate product 1a, the observed products being 1a, 1b, cAMP and 6 in a 5:4:1:1 ratio. As discussed in the literature [], desulfurization of ribonucleoside phosphoromonothioates is initiated by nucleophilic attack of the neighboring OH group to give a pentacoordinate intermediate. Loss of hydrogen (or, in the presence of Hg(II), mercuric) sulfide from this intermediate leads to a cyclic phosphotriester that rapidly decomposes by rupture of either one of the endocyclic P-O bonds, affording 1a or 1b, or the exocyclic P-O bond, affording cAMP and 6. This mechanism also explains the apparent competition between cleavage and desulfurization reported previously []—desulfurization always occurs first, and the competition is actually between endo- and exocyclic P-O bond fission. In the absence of Hg(II), desulfurization of both diastereomers of 2a proceeded at nearly equal rates (k4 = 7 ± 2 and 6 ± 2 × 10−8 s−1 for Sp and Rp diastereomers). The product distribution was unaffected by the presence of Hg(II), but the rate of desulfurization was increased by more than four orders of magnitude (k4 = 4 ± 1 and 1.4 ± 0.1 × 10−3 s−1 for Sp and Rp diastereomers).

Scheme 4.
Desulfurization of 2a yields both cleavage and isomerization products.
3. Materials and Methods
3.1. General
Pyridine, CH2Cl2 and MeCN were dried over 4 Å molecular sieves. Et3N and MeNH2 were distilled before use. NMR spectra were recorded on a Bruker Biospin 500 MHz NMR spectrometer (Bruker, Billerica, MA, USA), and the chemical shifts (δ, ppm) are quoted relative to the residual solvent peak as an internal standard. High resolution mass spectra were recorded on a Bruker Daltonics micrOTOF-Q mass spectrometer (Bruker, Billerica, MA, USA) using electrospray ionization.
3.2. Materials
2′-O-(tert-Butyldimethylsilyl)-5′-O-(4,4′-dimethoxytrityl)-N6-benzoyladenosine 3′-(2-cyanoethyl-N,N-diisopropylphosphoramidite) was a product of Innovassynth Technologies (Khopoli, MH, India). 2′-Deoxyadenosine, I2 oxidizer solution, HEPES (free acid and sodium salt) and Et3N•3HF were products of Sigma-Aldrich (Saint Louis, MO, USA). 5-(Benzylthio)-1H-tetrazole was a product of Glen Research (Sterling, VA, USA). Et3N and MES monohydrate were products of Acros Organics (Geel, Belgium) and MeNH2 and S8 of Fluka (Seelze, Germany) and Merck (Darmstadt, Germany), respectively.
3.3. Kinetic Measurements
Reactions of 2′-deoxyadenosine and adenylyl-3′,5′-(2′,3′-O-methyleneadenosine) (1a) were carried out in sealed tubes immersed in a thermostated water bath (90 °C ± 0.1 °C), while the desulfurization of adenylyl-3′,5′-(2′,3′-O-methyleneadenosine) phosphoromonothioate (2a) was carried out in an ice/water bath (0 °C). The hydronium ion concentration of the reaction solutions was adjusted with 2-(N-morpholino)ethanesulfonic acid (MES) and N-(2-hydroxyethyl)piperazine-N′-2-ethanesulfonic acid (HEPES) buffers. The buffer concentration used was 0.030 M. The ionic strength of the solutions was adjusted to 0.1 M with NaNO3. Hg(II) ions were added as mercuric acetate. After addition of mercuric acetate, the pH of the reaction solutions was adjusted back to the value observed in the absence of Hg(II) by titrating with 1.00 M NaOH.
The aliquots (200 µL) withdrawn from the reaction solutions at appropriate time intervals were cooled in an ice/water bath to quench the reactions. Before analysis, Hg(II) was precipitated out as the tetrachloride complex by the addition of 10 μL of 2.0 M NaCl. Composition of the samples was determined by RP-HPLC on a Thermo Scientific Aquasil column (4 × 150 mm, 5 μm) using UV detection at λ = 260 nm and a flow rate of 1.0 mL min−1. For depurination of 2′-deoxyadenosine, isocratic elution with 6% MeCN in 50 mM aqueous NH4OAc was used, the retention times of adenine and 2′-deoxyadenosine being 8.1 and 12.7 min, respectively. For the reactions of 1a and 2a, the samples were eluted with linear gradients (3–15% over 30 min and 3–19% over 40 min, respectively) of MeCN in 50 mM aqueous NH4OAc. The observed retention times (min) for the starting materials and products were 9.7 (2′,3′-cAMP), 14.6 (adenosine), 19.9 (1b), 26.1 (6), 26.8 (1a), 29.1 (2a, Sp diastereomer) and 34.5 (2a, Rp diastereomer). The products were identified by spiking with authentic samples and by HPLC/MS analysis. Representative examples of the chromatograms of the product mixtures can be found in the Supporting Information (Figures S18–S21).
3.4. 2′-O-(tert-Butyldimethylsilyl)-5′-O-(4,4′-dimethoxytrityl)-adenylyl-3′,5′-(2′,3′-O-methyleneadenosine) (4)
N6,N6-Dibenzoyl-2′,3′-O-methyleneadenosine (200 mg, 0.410 mmol) was co-evaporated three times from anhydrous pyridine, after which it was dried in a vacuum desiccator over P2O5 for 16 h. The dried N6,N6-dibenzoyl-2′,3′-O-methyleneadenosine was dissolved in anhydrous MeCN (3.3 mL) and a solution of 2′-O-(tert-butyldimethylsilyl)-5′-O-(4,4′-dimethoxytrityl)-N6-benzoyladenosine 3′-(2-cyanoethyl-N,N-diisopropylphosphoramidite) (405 mg, 0.410 mmol) in anhydrous MeCN (3.3 mL) was added, followed by a solution of 5-(benzylthio)-1H-tetrazole (0.82 mmol) in anhydrous MeCN (3.3 mL). The reaction mixture was stirred at 25 °C under N2 for 15 min, after which it was divided into two equal portions for the synthesis of compounds 4 and 5.
For the synthesis of compound 4, a solution of I2 (0.24 mmol) in a mixture of THF (6.9 mL), H2O (3.4 mL) and pyridine (1.7 mL) was added. After stirring at 25 °C for 5 min, the reaction was quenched by addition of 5% aqueous NaHSO3 (100 mL). Phases were separated, the aqueous phase was extracted with CH2Cl2 (2 × 100 mL), the combined organic phases were dried on Na2SO4 and evaporated to dryness. The residue was dissolved in a mixture of pyridine (15 mL) and Et3N (5 mL) and the resulting solution was stirred 25 °C for 16 h, after which it was evaporated to dryness. The crude phosphodiester intermediate thus obtained was dissolved in a mixture of 33% aqueous NH3 (3 mL) and 40% aqueous MeNH2 (3 mL). After being stirred at 25 °C for 1 h, the solution was evaporated to dryness and the residue purified on a silica gel column eluting with a mixture of CH2Cl2, MeOH and Et3N (94:5:1, v/v). Compound 4 was obtained as a solid triethylammonium salt in 25% yield (58.0 mg). 1H NMR (500 MHz, CDCl3) δ: 8.39 (s, 1H, H8), 8.32 (s, 1H, H2), 8.22 (s, 1H, H2), 8.06 (s, 1H, H8), 7.46 (m, 2H, DMTr), 7.35 (m, 4H, DMTr), 7.27–7.18 (m, 3H, DMTr), 6.80 (m, 4H, DMTr), 6.30 (br, 2H, NH2), 6.20 (d, J = 3.0 Hz, 1H, H1′), 6.13 (d, J = 5.5 Hz, 1H, H1′), 6.01 (br, 2H, NH2), 5.23 (s, 1H, OCH2O), 5.16 (dd, J = 6.0, 3.0 Hz, 1H, H2′), 5.06 (s, 1H, OCH2O), 5.00 (m, 1H, H2′), 5.04 (dd, J = 6.5, 2.5 Hz, 1H, H3′), 4.78 (m, 1H, H3′), 4.59 (m, 1H, H4′), 4.40 (m, 1H, H4′), 4.02 (m, 1H, H5′), 3.97 (m, 1H, H5′), 3.756 (s, 3H, OCH3), 3.755 (s, 3H, OCH3), 3.55 (dd, J = 10.5, 3.0 Hz, 1H, H5′), 3.46 (m, 1H, H5′′), 0.77 (s, 9H, SiC(CH3)3), 0.04 (s, 3H, SiCH3), −0.08 (s, 3H, SiCH3). 13C NMR (126 MHz, CDCl3) δ: 158.5 (DMTr), 155.6 (C6), 155.4 (C6), 153.2 (C2), 152.9 (C2), 150.1 (C4), 149.7 (C4), 144.6 (DMTr), 139.7 (C8), 139.1 (C8), 135.7 (DMTr), 130.2 (DMTr), 128.3 (DMTr), 127.9 (DMTr), 126.9 (DMTr), 119.9 (C5), 119.4 (C5), 113.2 (DMTr), 96.4 (OCH2O), 89.3, (C1′), 87.9 (C1′), 86.6 (DMTr), 84.4 (d, J = 7.2 Hz, C4′), 84.2 (C2′), 83.2 (d, J = 7.2 Hz, C4′), 81.6 (C3′), 75.2 (d, J = 5.3 Hz, C2′), 74.7 (d, J = 5.3 Hz, C3′), 65.6 (d, J = 5.0 Hz, C5′), 63.7 (C5′), 55.2 (OCH3), 25.6 (SiC(CH3)3), 18.3 (SiC(CH3)3), −4.8 (SiCH3), −5.2 (SiCH3). 31P NMR (202 MHz, CDCl3): δ = −1.6. HRMS (ESI) m/z: [M − H]− calcd for C48H56N10O12Psi- 1023.3592, found 1023.3625.
3.5. 2′-O-(tert-Butyldimethylsilyl)-5′-O-(4,4′-dimethoxytrityl)-adenylyl-3′,5′-(2′,3′-O-methyleneadenosine) phosphoromonothioate (5)
For the synthesis of compound 5, S8 (20 mg, 0.62 mmol) and CH2Cl2 (5.0 mL) were added to the other half of the MeCN solution containing the crude phosphite triester (approximately 0.205 mmol) prepared above. The resulting mixture was stirred at 25 °C for 16 h, after which H2O (100 mL) and CH2Cl2 (100 mL) were added. Phases were separated and the organic phase dried on Na2SO4 and evaporated to dryness. The residue was dissolved in a mixture of pyridine (15 mL) and Et3N (5 mL) and the resulting solution was stirred 25 °C for 16 h, after which it was evaporated to dryness. The crude phosphorothioate diester intermediate, thus, obtained was dissolved in a mixture of 33% aqueous NH3 (3 mL) and 40% aqueous MeNH2 (3 mL). After being stirred at 25 °C for 1 h, the solution was evaporated to dryness and the residue purified on a silica gel column eluting with a mixture of CH2Cl2, MeOH and Et3N (97:2:1, v/v). Compound 5 was obtained as a solid triethylammonium salt in 27% yield (65.0 mg, mixture of two diastereomers in approximately 2:3 ratio). 1H NMR (500 MHz, CDCl3, major diastereomer) δ: 8.42 (s, 1H, H8), 8.31 (s, 1H, H2), 8.18 (s, 1H, H2), 8.04 (s, 1H, H8), 7.47 (m, 2H, DMTr), 7.36 (m, 4H, DMTr), 7.26 (m, 2H, DMTr), 7.18 (m, 1H, DMTr), 6.80 (d, J = 8.5 Hz, 4H, DMTr), 6.46 (br, 2H, NH2), 6.28 (br, 2H, NH2), 6.21 (d, J = 3.0 Hz, 1H, H1′), 6.14 (d, J = 6.5 Hz, 1H, H1′), 5.25 (s, 1H, OCH2O), 5.22 (dd, J = 6.5, 3.0 Hz, 1H, H2′), 5.12 (s, 1H, OCH2O), 5.11–5.06 (m, 2H, 2 × H3′), 4.97 (dd, J = 6.0, 2.5 Hz, 1H, H2′), 4.70 (m, 1H, H4′), 4.52 (m, 1H, H4′), 4.20 (m, 2H, H5′ & H5′′), 3.75 (s, 3H, OCH3), 3.74 (s, 3H, OCH3), 3.52–3.40 (m, 2H, H5′ & H5′′), 0.68 (s, SiC(CH3)3), −0.06 (s, 3H, SiCH3), −0.20 (s, 3H, SiCH3). 1H NMR (500 MHz, CDCl3, minor diastereomer) δ: 8.38 (s, 1H, H8), 8.28 (s, 1H, H2), 8.23 (s, 1H, H2), 8.05 (s, 1H, H8), 7.47 (m, 2H, DMTr), 7.36 (m, 4H, DMTr), 7.26 (m, 2H, DMTr), 7.18 (m, 1H, DMTr), 6.33 (br, 2H, NH2), 6.16 (d, J = 2.5 Hz, 1H, H1′), 6.10 (d, J = 6.0 Hz, 1H, H1′), 5.99 (br, 2H, NH2), 5.17 (s, 1H, OCH2O), 5.13 (m, 1H, H2′), 5.11–5.06 (m, 3H, H2′ & 2 × H3′), 5.01 (s, 1H, OCH2O), 4.52 (m, 1H, H4′), 4.36 (m, 1H, H4′), 4.07 (m, 1H, H5′), 3.99 (m, 1H, H5′′), 3.75 (s, 3H, OCH3), 3.74 (s, 3H, OCH3), 3.52–3.40 (m, 2H, H5′ & H5′′), 0.71 (s, SiC(CH3)3), 0.03 (s, 3H, SiCH3), −0.11 (s, 3H, SiCH3). 13C NMR (126 MHz, CDCl3, major diastereomer) δ: 158.5 (DMTr), 155.6 (C6), 155.5 (C6), 153.0 (C2), 152.7 (C2), 150.1 (C4), 149.6 (C4), 144.7 (DMTr), 139.7 (C8), 139.4 (C8), 135.8 (DMTr), 130.2 (DMTr), 128.3 (DMTr), 127.9 (DMTr), 126.5 (DMTr), 119.8 (C5), 119.6 (C5), 113.3 (DMTr), 96.4 (OCH2O), 89.9 (C1′), 87.5 (C1′), 86.7 (DMTr), 84.5 (d, J = 9.1 Hz, C4′), 84.3 (C2′), 83.7 (C4′), 82.0 (C3′), 75.7 (d, J = 5.2 Hz, C2′), 75.1 (d, J = 8.7 Hz, C3′), 66.2 (d, J = 5.6 Hz, C5′), 64.0 (C5′), 55.2 (OCH3), 25.5 (SiC(CH3)3), 17.9 (SiC(CH3)3), −4.8 (SiCH3), −5.4 (SiCH3). 13C NMR (126 MHz, CDCl3, minor diastereomer) δ: 158.5 (DMTr), 155.6 (C6), 155.4 (C6), 153.0 (C2), 152.7 (C2), 150.0 (C4), 149.5 (C4), 144.6 (DMTr), 139.6 (C8), 139.0 (C8), 135.7 (DMTr), 130.2 (DMTr), 128.3 (DMTr), 127.9 (DMTr), 126.5 (DMTr), 119.7 (C5), 119.4 (C5), 113.2 (DMTr), 96.3 (OCH2O), 89.4 (C1′), 87.6 (C1′), 86.7 (DMTr), 84.4 (C4′), 84.1 (C2′), 83.1 (C4′), 81.7 (C3′), 75.2 (d, J = 7.6 Hz, C2′), 75.4 (d, J = 6.9 Hz, C3′), 65.6 (d, J = 5.6 Hz, C5′), 63.8 (C5′), 55.2 (OCH3), 25.6 (SiC(CH3)3), 18.0 (SiC(CH3)3), −4.6 (SiCH3), −5.3 (SiCH3). 31P NMR (202 MHz, CDCl3, major diastereomer): δ: 57.8. 31P NMR (202 MHz, CDCl3, minor diastereomer): δ: 58.3. HRMS (ESI) m/z: [M − H]− calcd for 1039.3363 C48H56N10O11PSSi-, found 1039.3397.
3.6. Adenylyl-3′,5′-(2′,3′-O-methyleneadenosine) (1a)
Compound 4 (37.0 mg, 0.0361 mmol) and triethylamine trihydrofluoride (44.0 µL, 0.270 mmol) were dissolved in anhydrous CH2Cl2 (2.0 mL). After stirring for 72 h, the precipitation formed was recovered and washed with CH2Cl2 (3 × 5 mL). The crude product was purified by reverse phase chromatography on a ThermoHypersil Hyperprep column (10 × 250 mm, 8 µm) eluting with a mixture of MeCN and 50 mM aqueous ammonium formate (11:89, v/v). Compound 1a was obtained as a solid ammonium salt in 31% yield (6.8 mg). 1H NMR (500 MHz, D2O) δ: 8.25 (s, 1H, H8), 8.17 (s, 1H, H8), 8.09 (s, 1H, H2), 8.05 (s, 1H, H2), 6.14 (d, J = 3.0 Hz, 1H, H1′), 5.75 (d, J = 5.0 Hz, 1H, H1′), 5.22 (dd, J = 6.5, 3.0 Hz, 1H, H2′), 5.20 (s, 1H, OCH2O), 5.17 (s, 1H, OCH2O), 5.04 (dd, J = 6.5, 4.0 Hz, 1H, H3′), 4.56–4.52 (m, 3H, H2′, H3′& H4′), 4.20 (dt, J = 11.5, 3.0 Hz, 1H, H5′), 4.15–4.12 (m, 2H, H4′, H5′′), 3.65 (d, J = 3.0, 2H, H5′, H5′′). 13C NMR (126 MHz, D2O) δ: 154.8 (C6), 154.5 (C6), 151.5 (C2), 151.4 (C2), 148.3 (C4), 148.0 (C4), 140.7 (C8), 140.4 (C8), 119.1 (C5), 118.5 (C5), 95.7 (OCH2O), 88.7 (C1′), 88.6 (C1′), 84.2 (d, J = 3.9 Hz, C4′), 83.4 (d, J = 9.2 Hz, C4′), 83.2 (C2′), 80.1 (C3′), 74.4 (d, J = 5.5 Hz, C3′), 73.1 (d, J = 5.5 Hz, C2′), 65.7 (d, J = 5.6 Hz, C5′), 60.9 (C5′). 31P NMR (202 MHz, D2O): δ = -0.93. HRMS (ESI) m/z: [M − H]− calcd for C21H23N10O10P− 607.1420; found 607.1424.
3.7. Adenylyl-3′,5′-(2′,3′-O-methyleneadenosine) phosphoromonothioate (2a)
Compound 5 (70 mg, 0,068 mmol) and triethylamine trihydrofluoride (44.0 µL, 0.270 mmol) were dissolved in anhydrous CH2Cl2 (2.0 mL). After stirring for 72 h, the precipitation formed was recovered and washed with CH2Cl2 (3 × 5 mL). The crude product was purified by reverse phase chromatography on a ThermoHypersil Hyperprep column (10 × 250 mm, 8 µm) eluting with a mixture of MeCN and 50 mM aqueous ammonium formate (15:85, v/v). Compound 2a was obtained as a solid ammonium salt in a 27% overall yield (6.5 and 4.5 mg of the faster and slower eluting diastereomers, respectively). The faster and slower eluting diastereomers were assigned as the Sp and Rp diastereomers based on their 31P chemical shifts, as described in the literature []. 1H NMR (500 MHz, (CD3)2SO, Rp diastereomer) δ: 8.53 (s, 1H, H8), 8.45 (s, 1H, H8), 8.26 (s, 1H, H2), 8.22 (s, 1H, H2), 7.81 (br, 4H, NH2), 6.20 (d, J = 3.0 Hz, 1H, H1′), 5.91 (d, J = 7.0 Hz, 1H, H1′), 5.31 (dd, J = 6.5, 3.0 Hz, 1H, H2′), 5.19 (s, 1H, OCH2O), 5.15 (s, 1H, OCH2O), 5.03 (dd, J = 6.5, 3.0 Hz, 1H, H3′), 4.83 (m, 1H, H3′), 4.70 (m, 1H, H2′), 4.41 (m, 1H, H4′), 4.14 (m, 1H, H4′), 4.07 (m, 1H, H5′), 4.02 (m, 1H, H5′′), 3.65 (dd, J = 12.5, 3.0 Hz, 1H, H5′), 3.56 (dd, J = 12.5, 3.0 Hz, 1H, H5′′). 1H NMR (500 MHz, (CD3)2SO, Sp diastereomer) δ: 8.55 (s, 1H, H8), 8.43 (s, 1H, H8), 8.26 (s, 1H, H2), 8.21 (s, 1H, H2), 7.78 (br, 4H, NH2), 6.19 (d, J = 3.0 Hz, 1H, H1′), 5.91 (d, J = 6.5 Hz, 1H, H1′), 5.29 (dd, J = 6.3, 3.0 Hz, 1H, H2′), 5.19 (s, 1H, OCH2O), 5.14 (s, 1H, OCH2O), 5.02 (dd, J = 6.3, 3.3 Hz, 1H, H3′), 4.74–4.70 (m, 2H, H2′ & H3′), 4.41 (m, 1H, H4′), 4.15 (m, 1H, H4′), 4.07 (m, 1H, H5′), 3.99 (m, 1H, H5′′), 3.60 (dd, J = 12.0, 3.0 Hz, 3.51 (dd, J = 12.0, 3.0 Hz, 1H, H5′′). 13C NMR (126 MHz, (CD3)2SO, Rp diastereomer) δ: 155.4 (C6), 155.2 (C6), 151.5 (C2), 151.3 (C2), 149.31 (C4), 149.26 (C4), 140.8 (C8), 140.7 (C8), 119.7 (C5), 119.3 (C5), 95.7 (OCH2O), 88.6 (C1′), 88.4 (C1′), 85.4 (d, J = 6.8 Hz, C4′), 83.6 (d, J = 8.1 Hz, C4′), 83.2 (C2′), 81.4 (C3′), 75.2 (d, J = 8.1 Hz, C3′), 73.6 (C2′), 65.8 (d, J = 5.5 Hz, C5′), 61.9 (C5′). 13C NMR (126 MHz, (CD3)2SO, Sp diastereomer) δ: 155.4 (C6), 155.1 (C6), 151.5 (C2), 151.3 (C2), 149.33 (C4), 149.26 (C4), 140.8 (2 × C8), 119.7 (C5), 119.2 (C5), 95.7 (OCH2O), 88.5 (C1′), 88.3 (C1′), 85.7 (d, J = 4.5 Hz, C4′), 83.5 (d, J = 8.7 Hz, C4′), 83.3 (C2′), 81.4 (C3′), 75.8 (d, J = 5.9 Hz, C3′), 73.3 (d, J = 3.3 Hz, C2′), 65.8 (d, J = 5.6 Hz, C5′), 62.0 (C5′). 31P NMR (202 MHz, (CD3)2SO, Rp diastereomer): δ = 58.7. 31P NMR (202 MHz, (CD3)2SO, Sp diastereomer): δ = 57.2. HRMS (ESI) m/z: [M − H]− calcd for C21H23N10O9PS− 623.1192, found 623.1221.
3.8. N6,N6-dibenzoyl-2′,3′-O-methyleneadenosine (3)
Compound 3 was prepared from 2′,3′-O-methyleneadenosine [] as described previously for N6,N6-dibenzoyladenosine []. 1H NMR (500 MHz, CDCl3) δ: 8.76 (s, 1H, H2), 8.21 (s, 1H, H8), 8.09 (m, 2H, Bz), 7.83 (m, 2H, Bz), 7.60 (m, 1H, Bz), 7.52 (m, 2H, Bz), 7.45 (m, 3H, Bz), 6.03 (d, J = 4.3 Hz, 1H, H1′), 5.34 (s, 1H, OCH2O), 5.25 (d, J = 6.0, 4.3 Hz, 1H, H2′), 5.12 (s, 1H, OCH2O), 5.01 (dd, J = 6.1, 1.9 Hz, 1H, H3′), 4.53 (m, 1H, H4′), 4.00 (dd, J = 12.7, 1.9 Hz, 1H, H5′), 3.84 (dd, J = 12.6, 2.5 Hz, 1H, H5′′). 13C NMR (126 MHz, CDCl3) δ: 170.5 (C=O), 170.2 (C=O), 152.2 (C2), 150.9 (C6), 150.5 (C4), 142.6 (C8), 133.3 (Bz), 133.2 (Bz), 132.9 (Bz), 132.1 (Bz), 130.2 (Bz), 130.0 (Bz), 128.8 (Bz), 128.6 (Bz), 128.4 (Bz), 128.2 (Bz), 127.4 (Bz), 124.3 (C5), 97.0 (OCH2O), 92.2 (C1′), 85.7 (C4′), 82.9 (C2′), 81.8 (C3′), 63.0 (C5′). HRMS (ESI) m/z: [M + Na]+ calcd for C25H21N5O6Na+ 510.1384, found 510.1373.
4. Conclusions
Hg(II) accelerates the cleavage of RNA phosphodiester linkages by as much as two orders of magnitude, comparable to other divalent transition metal ions. At least two Hg(II) ions seem to participate in the catalysis, again in line with results obtained with other metal ions. While the observed modest acceleration of isomerization can be explained in terms of electrophilic catalysis by the Hg(II) ions coordinated to the scissile phosphate and/or general base catalysis by a Hg(II) hydroxo ligand, the much more pronounced acceleration of cleavage suggests additional general acid catalysis by a Hg(II) aqua ligand. Together with the unique ability of Hg(II) to accelerate depurination, these findings make Hg(II) an interesting new addition to the repertoire of metal ions usable in the development of artificial nucleases. It is also worth pointing out that while the state-of-the-art artificial metallonucleases are coordination complexes, the high stability of Hg(II)—carbon bonds would allow the design of a novel class of essentially covalent metallanucleases.
Supplementary Materials
The following are available online at https://www.mdpi.com/2073-4344/10/2/219/s1, Figures S1–S17: Copies of 31P NMR, 13C NMR and 1H NMR spectra of compounds 1a, 2a, 3, 4 and 5; Figures S18–S21: HPLC trace of the product mixtures of the kinetic studies.
Author Contributions
Conceptualization, T.L.; methodology, T.L. and M.O.; validation, T.L. and M.O.; formal analysis, T.L. and M.O.; investigation, L.Y.S.; resources, T.L.; data curation, T.L., M.O. and L.Y.S.; writing—original draft preparation, L.Y.S.; writing—review and editing, T.L. and M.O.; visualization, T.L.; supervision, T.L. and M.O.; project administration, T.L.; funding acquisition, T.L. All authors have read and agreed to the published version of the manuscript.
Funding
This research was funded by the Academy of Finland, grant number 286478, and the Finnish National Agency for Education, grant number TM-19-11029.
Conflicts of Interest
The authors declare no conflict of interest. The funders had no role in the design of the study; in the collection, analyses, or interpretation of data; in the writing of the manuscript, or in the decision to publish the results.
References
- Dallas, A.; Vlassov, A.V.; Kazakov, S.A. Principles of Nucleic Acid Cleavage by Metal Ions. In Artificial Nucleases; Zenkova, M.A., Ed.; Springer: Berlin/Heidelberg, Germany, 2004; pp. 61–88. [Google Scholar]
- Lönnberg, T. Understanding Catalysis of Phosphate-Transfer Reactions by the Large Ribozymes. Chem. Eur. J. 2011, 17, 7140–7153. [Google Scholar] [CrossRef] [PubMed]
- Forconi, M.; Herschlag, D. Metal ion-based RNA cleavage as a structural probe. Methods Enzymol. 2009, 468, 91–106. [Google Scholar] [PubMed]
- Pyle, A.M. Ribozymes: A distinct class of metalloenzymes. Science 1993, 261, 709–714. [Google Scholar] [CrossRef] [PubMed]
- Sigel, R.K.O.; Sigel, H. 3.21-Metal-Ion Interactions with Nucleic Acids and Their Constituents. In Comprehensive Inorganic Chemistry II, 2nd ed.; Reedijk, J., Poeppelmeier, K., Eds.; Elsevier: Amsterdam, The Netherlands, 2013; pp. 623–660. [Google Scholar]
- Ghidini, A.; Murtola, M.; Strömberg, R. Oligonucleotide Based Artificial Ribonucleases (OBANs). DNA Supramol. Chem. Nanotechnol. 2014. [Google Scholar] [CrossRef]
- Komiyama, M. Cut-and-paste of DNA using an artificial restriction DNA cutter. Int. J. Mol. Sci. 2013, 14, 3343–3357. [Google Scholar] [CrossRef]
- Aiba, Y.; Sumaoka, J.; Komiyama, M. Artificial DNA cutters for DNA manipulation and genome engineering. Chem. Soc. Rev. 2011, 40, 5657–5668. [Google Scholar] [CrossRef]
- Kuzuya, A.; Komiyama, M. Site-selective artificial ribonucleases and their applications. Curr. Org. Chem. 2007, 11, 1450–1459. [Google Scholar] [CrossRef]
- Morrow, J.R.; Iranzo, O. Synthetic metallonucleases for RNA cleavage. Curr. Opin. Chem. Biol. 2004, 8, 192–200. [Google Scholar] [CrossRef]
- Mikkola, S.; Lönnberg, T.; Lönnberg, H. Phosphodiester models for cleavage of nucleic acids. Beilstein J. Org. Chem. 2018, 14, 803–837. [Google Scholar] [CrossRef]
- Ora, M.; Lönnberg, T.; Lönnberg, H. Thio Effects as a Tool for Mechanistic Studies of the Cleavage of RNA Phosphodiester Bonds: The Chemical Basis. In From Nucleic Acids Sequences to Molecular Medicine; Erdmann, V.A., Barciszewski, J., Eds.; Springer: Berlin/Heidelberg, Germany, 2012; pp. 47–65. [Google Scholar]
- Harris, M.E. Identification and Characterization of Metal Ion Coordination Interactions with RNA by Quantitative Analysis of Thiophilic Metal Ion Rescue of Site-Specific Phosphorothioate Modifications. In Handbook of RNA Biochemistry, 2nd ed.; Wiley-VCH: Weinheim, Germany, 2014; Volumes 1 and 2, pp. 285–299. [Google Scholar]
- Forconi, M.; Herschlag, D. Use of phosphorothioates to identify sites of metal-ion binding in RNA. Methods Enzymol. 2009, 468, 311–333. [Google Scholar]
- Frederiksen, J.K.; Piccirilli, J.A. Identification of catalytic metal ion ligands in ribozymes. Methods 2009, 49, 148–166. [Google Scholar] [CrossRef]
- Christian, E.L. Identification and Characterization of Metal Ion Binding by Thiophilic Metal Ion Rescue. In Handbook of RNA Biochemistry; Wiley-VCH: Weinheim, Germany, 2008; pp. 319–344. [Google Scholar]
- Huang, P.-J.J.; Wang, F.; Liu, J. Cleavable Molecular Beacon for Hg2+ Detection Based on Phosphorothioate RNA Modifications. Anal. Chem. 2015, 87, 6890–6895. [Google Scholar] [CrossRef]
- Sjöberg, S. Metal-Complexes with Mixed-Ligands 11 formation of ternary mononuclear and polynuclear mercury (II) complexes in system Hg2+-Cl-OH-potentiometric study in 3.0 M (Na)ClO4, Cl media. Acta Chem. Scand. 1977, 31, 705–717. [Google Scholar] [CrossRef][Green Version]
- Lönnberg, H. Mechanisms for the solvolytic decompositions of nucleoside analogs.4. The effect of metal-ions on the acidic hydrolysis of 9-(1-ethoxyethyl) purine. Acta Chem. Scand. 1980, 34, 703–708. [Google Scholar] [CrossRef]
- Almer, H.; Stawinski, J.; Strömberg, R.; Thelin, M. Synthesis of diribonucleoside phosphorothioates via stereospecific sulfuration of H-phosphonate diesters. J. Org. Chem. 1992, 57, 6163–6169. [Google Scholar] [CrossRef]
- Järvinen, P.; Oivanen, M.; Lönnberg, H. Interconversion and phosphoester hydrolysis of 2′,5′-and 3′,5′-dinucleoside monophosphates: Kinetics and mechanisms. J. Org. Chem. 1991, 56, 5396–5401. [Google Scholar] [CrossRef]
- Simpson, R.B. Association Constants of Methylmercuric and Mercuric Ions with Nucleosides. J. Am. Chem. Soc. 1964, 86, 2059–2065. [Google Scholar] [CrossRef]
- Leroy, J.L.; Guéron, M. Demonstration of different complexation modes between cobalt and 5′ AMP, by direct NMR observation of the low-temperature complex. Biochimie 1982, 64, 297–299. [Google Scholar] [CrossRef]
- Leroy, J.L.; Guéron, M. Demonstration and characterization of two complexes of cobalt(II) to mononucleotides by phosphorus-31 and proton NMR. J. Am. Chem. Soc. 1986, 108, 5753–5759. [Google Scholar] [CrossRef]
- Collins, A.D.; Demeester, P.; Goodgame, D.M.L.; Skapski, A.C. Site of metal-ion binding in a nickel derivative of adenosine 5′-monophosphate-X-ray study. Biochim. Biophys. Acta 1975, 402, 1–6. [Google Scholar] [CrossRef]
- Chapman, W.H.; Breslow, R. Selective Hydrolysis of Phosphate Esters, Nitrophenyl Phosphates and UpU, by Dimeric Zinc Complexes Depends on the Spacer Length. J. Am. Chem. Soc. 1995, 117, 5462–5469. [Google Scholar] [CrossRef]
- Wall, M.; Hynes, R.C.; Chin, J. Double Lewis Acid Activation in Phosphate Diester Cleavage. Angew. Chem. Int. Ed. 1993, 32, 1633–1635. [Google Scholar] [CrossRef]
- Liu, S.D.; Hamilton, A. Rapid and highly base selective RNA cleavage by a dinuclear Cu(II) complex. Chem. Commun. 1999, 587–588. [Google Scholar] [CrossRef]
- Iranzo, O.; Elmer, T.; Richard, J.P.; Morrow, J.R. Cooperativity between Metal Ions in the Cleavage of Phosphate Diesters and RNA by Dinuclear Zn(II) Catalysts. Inorg. Chem. 2003, 42, 7737–7746. [Google Scholar] [CrossRef] [PubMed]
- Feng, G.; Mareque-Rivas, J.C.; Williams, N.H. Comparing a mononuclear Zn(ii) complex with hydrogen bond donors with a dinuclear Zn(ii) complex for catalysing phosphate ester cleavage. Chem. Commun. 2006, 1845–1847. [Google Scholar] [CrossRef]
- Feng, G.; Natale, D.; Prabaharan, R.; Mareque-Rivas, J.C.; Williams, N.H. Efficient Phosphodiester Binding and Cleavage by a ZnII Complex Combining Hydrogen-Bonding Interactions and Double Lewis Acid Activation. Angew. Chem. Int. Ed. 2006, 45, 7056–7059. [Google Scholar] [CrossRef]
- Linjalahti, H.; Feng, G.; Mareque-Rivas, J.C.; Mikkola, S.; Williams, N.H. Cleavage and Isomerization of UpU Promoted by Dinuclear Metal Ion Complexes. J. Am. Chem. Soc. 2008, 130, 4232–4233. [Google Scholar] [CrossRef]
- Korhonen, H.; Mikkola, S.; Williams, N.H. The Mechanism of Cleavage and Isomerisation of RNA Promoted by an Efficient Dinuclear Zn2+ Complex. Chem. Eur. J. 2012, 18, 659–670. [Google Scholar] [CrossRef] [PubMed]
- Breslow, R.; Huang, D.L. Effects of metal ions, including Mg2+ and lanthanides, on the cleavage of ribonucleotides and RNA model compounds. Proc. Natl. Acad. Sci. USA 1991, 88, 4080. [Google Scholar] [CrossRef] [PubMed]
- Oivanen, M.; Ora, M.; Almer, H.; Strömberg, R.; Lönnberg, H. Hydrolytic Reactions of the Diastereomeric Phosphoromonothioate Analogs of Uridylyl(3′,5′)uridine: Kinetics and Mechanisms for Desulfurization, Phosphoester Hydrolysis, and Transesterification to the 2′,5′-Isomers. J. Org. Chem. 1995, 60, 5620–5627. [Google Scholar] [CrossRef]
- Norman, D.G.; Reese, C.B.; Serafinowska, H.T. 2′,3′-O-Methylene derivatives of ribonucleosides. Synthesis 1985, 1985, 751–754. [Google Scholar] [CrossRef]
- Busca, P.; Etheve-Quelquejeu, M.; Valéry, J.-M. Synthesis of 2′-O,3′-O bicyclic adenosine analogues using ring closing metathesis. Tetrahedron Lett. 2003, 44, 9131–9134. [Google Scholar] [CrossRef]
© 2020 by the authors. Licensee MDPI, Basel, Switzerland. This article is an open access article distributed under the terms and conditions of the Creative Commons Attribution (CC BY) license (http://creativecommons.org/licenses/by/4.0/).