Influence of Water-Miscible Organic Solvent on the Activity and Stability of Silica-Coated Ru Catalysts in the Selective Hydrolytic Hydrogenation of Cellobiose into Sorbitol
Abstract
1. Introduction
2. Results and Discussion
2.1. XPS
2.2. N2 Physisorption
2.3. SEM-EDX
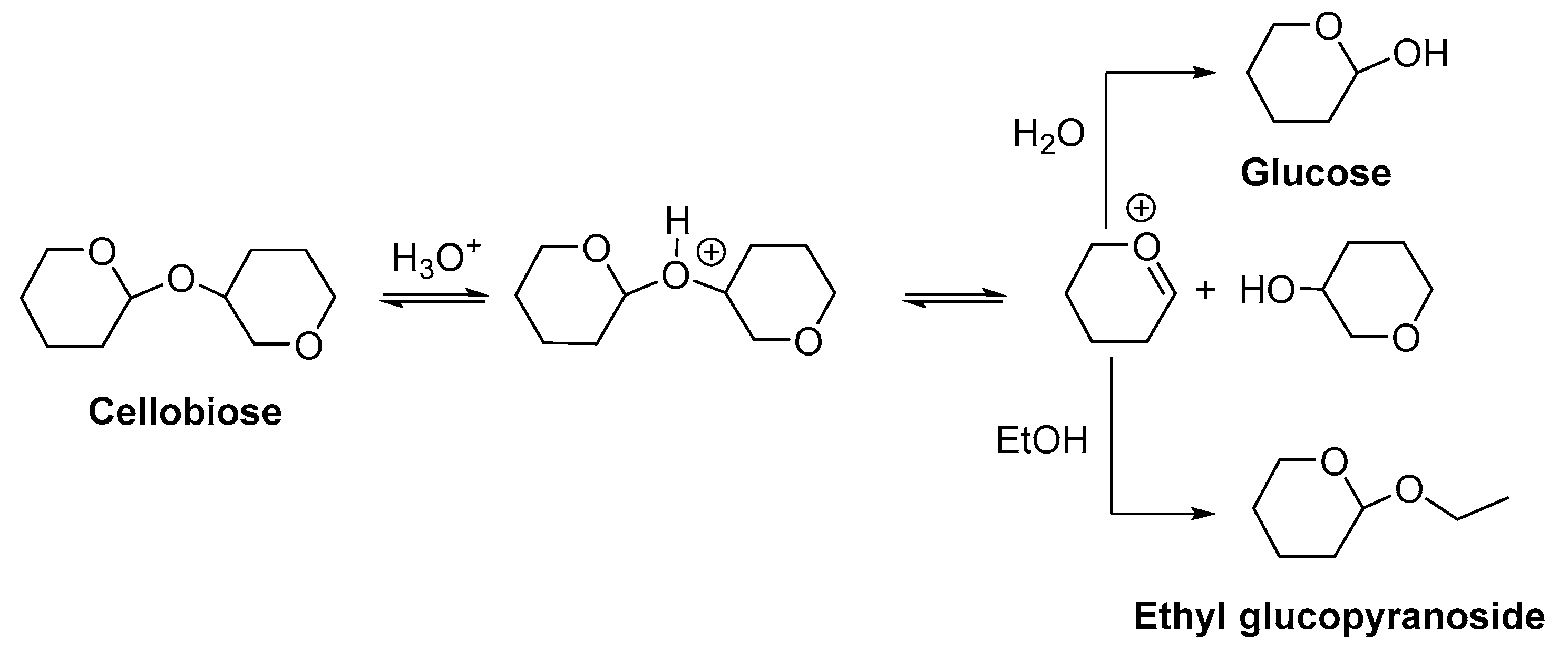
2.4. Catalytic Tests
3. Materials and Methods
3.1. Reagents
3.2. Syntheses
3.2.1. Synthesis of Ru/CB Catalyst (Reference)
3.2.2. Synthesis of Ru/CB@SiO2(C)
3.2.3. Synthesis of Ru/CB@SiO2(P)
3.2.4. Synthesis of CB–SO3H
3.3. Characterizations
3.4. Catalytic Tests
4. Conclusions
Supplementary Materials
Author Contributions
Funding
Acknowledgments
Conflicts of Interest
References
- Brethauer, S.; Studer, M.H. Biochemical conversion processes of lignocellulosic biomass to fuels and chemicals—A review. Chimia (Aarau) 2015, 69, 572–581. [Google Scholar] [CrossRef] [PubMed]
- Zhou, C.; Xia, X.; Lin, C.; Tong, D.; Beltramini, J. Catalytic conversion of lignocellulosic biomass to fine chemicals and fuels. Chem. Soc. Rev. 2011, 40, 5588–5617. [Google Scholar] [CrossRef] [PubMed]
- Climent, M.J.; Corma, A.; Iborra, S. Conversion of biomass platform molecules into fuel additives and liquid hydrocarbon fuels. Green Chem. 2014, 16, 516–547. [Google Scholar] [CrossRef]
- Zhang, Y.-H.P.; Lynd, L.R. Toward an aggregated understanding of enzymatic hydrolysis of cellulose: Noncomplexed cellulase systems. Biotechnol. Bioeng. 2004, 88, 797–824. [Google Scholar] [CrossRef] [PubMed]
- Wang, Y.; Rong, Z.; Wang, Y.; Wang, T.; Du, Q.; Wang, Y.; Qu, J. Graphene-based metal/acid bifunctional catalyst for the conversion of levulinic acid to γ-valerolactone. ACS Sustain. Chem. Eng. 2017, 5, 1538–1548. [Google Scholar] [CrossRef]
- Haynes, T.; Ersen, O.; Dubois, V.; Desmecht, D.; Nakagawa, K.; Hermans, S. Protecting a Pd/CB catalyst by a mesoporous silica layer. Appl. Catal. B Environ. 2019, 241, 196–204. [Google Scholar] [CrossRef]
- Xiong, H.; Pham, H.N.; Datye, A.K. Hydrothermally stable heterogeneous catalysts for conversion of biorenewables. Green Chem. 2014, 16, 4627–4643. [Google Scholar] [CrossRef]
- Yang, H.; Zhang, G.; Hong, X.; Zhu, Y. Silylation of mesoporous silica MCM-41 with the mixture of Cl(CH2)3SiCl3 and CH3SiCl3: Combination of adjustable grafting density and improved hydrothermal stability. Microporous Mesoporous Mater. 2004, 68, 119–125. [Google Scholar] [CrossRef]
- Castricum, H.L.; Mittelmeijer-Hazeleger, M.C.; Sah, A.; ten Elshof, J.E. Increasing the hydrothermal stability of mesoporous SiO2 with methylchlorosilanes—A “structural” study. Microporous Mesoporous Mater. 2006, 88, 63–71. [Google Scholar] [CrossRef][Green Version]
- Karpov, S.I.; Roessner, F.; Selemenev, V.F.; Belanova, N.A.; Krizhanovskaya, O.O. Structure, hydrophobicity, and hydrothermostability of MCM-41 organo-inorganic mesoporous silicates silylated with dimethoxydimethylsilane and dichloromethylphenylsilane. Russ. J. Phys. Chem. A 2013, 87, 1888–1894. [Google Scholar] [CrossRef]
- Ribeiro Carrott, M.M.L.; Conceição, F.L.; Lopes, J.; Carrott, P.J.; Bernardes, C.; Rocha, J.; Ramôa Ribeiro, F. Comparative study of Al-MCM materials prepared at room temperature with different aluminium sources and by some hydrothermal methods. Microporous Mesoporous Mater. 2006, 92, 270–285. [Google Scholar] [CrossRef]
- Russo, P.A.; Carrott, M.M.L.R.; Carrott, P.J.M. Effect of hydrothermal treatment on the structure, stability and acidity of Al containing MCM-41 and MCM-48 synthesised at room temperature. Colloids Surf. A Physicochem. Eng. Asp. 2007, 310, 9–19. [Google Scholar] [CrossRef]
- Li, Y.; Yang, Q.; Yang, J.; Li, C. Mesoporous aluminosilicates synthesized with single molecular precursor (sec-BuO)2AlOSi(OEt)3 as aluminum source. Microporous Mesoporous Mater. 2006, 91, 85–91. [Google Scholar] [CrossRef]
- Haynes, T.; D’hondt, T.; Morritt, A.L.; Khimyak, Y.Z.; Desmecht, D.; Dubois, V.; Hermans, S. Mesoporous aluminosilicate nanofibers with a low Si/Al ratio as acidic catalyst for hydrodeoxygenation of phenol. ChemCatChem 2019, 11, 4054–4063. [Google Scholar] [CrossRef]
- Shuai, L.; Luterbacher, J. Organic solvent effects in biomass conversion reactions. ChemSusChem 2016, 9, 133–155. [Google Scholar] [CrossRef]
- Gallo, J.M.R.; Alonso, D.M.; Mellmer, M.A.; Dumesic, J.A. Production and upgrading of 5-hydroxymethylfurfural using heterogeneous catalysts and biomass-derived solvents. Green Chem. 2013, 15, 85–90. [Google Scholar] [CrossRef]
- Gu, Y.; Jérôme, F. Bio-based solvents: An emerging generation of fluids for the design of eco-efficient processes in catalysis and organic chemistry. Chem. Soc. Rev. 2013, 42, 9550–9570. [Google Scholar] [CrossRef]
- Mellmer, M.A.; Martin Alonso, D.; Luterbacher, J.S.; Gallo, J.M.R.; Dumesic, J.A. Effects of γ-valerolactone in hydrolysis of lignocellulosic biomass to monosaccharides. Green Chem. 2014, 16, 4659–4662. [Google Scholar] [CrossRef]
- Kimura, H.; Yoshida, K.; Uosaki, Y.; Nakahara, M. Effect of water content on conversion of d-cellobiose into 5-hydroxymethyl-2-furaldehyde in a dimethyl sulfoxide–water mixture. J. Phys. Chem. A 2013, 117, 10987–10996. [Google Scholar] [CrossRef]
- Deng, W.; Tan, X.; Fang, W.; Zhang, Q.; Wang, Y. Conversion of cellulose into sorbitol over carbon nanotube-supported ruthenium catalyst. Catal. Lett. 2009, 133, 167–174. [Google Scholar] [CrossRef]
- Adsuar-García, M.; Flores-Lasluisa, J.; Azar, F.; Román-Martínez, M. Carbon-black-supported Ru catalysts for the valorization of cellulose through hydrolytic hydrogenation. Catalysts 2018, 8, 572. [Google Scholar] [CrossRef]
- Zhou, L.; Liu, Z.; Bai, Y.; Lu, T.; Yang, X.; Xu, J. Hydrolysis of cellobiose catalyzed by zeolites—The role of acidity and micropore structure. J. Energy Chem. 2016, 25, 141–145. [Google Scholar] [CrossRef]
- Peña, L.; Ikenberry, M.; Ware, B.; Hohn, K.L.; Boyle, D.; Sun, X.S.; Wang, D. Cellobiose hydrolysis using acid-functionalized nanoparticles. Biotechnol. Bioprocess Eng. 2011, 16, 1214–1222. [Google Scholar] [CrossRef]
- Bootsma, J.A.; Shanks, B.H. Cellobiose hydrolysis using organic–inorganic hybrid mesoporous silica catalysts. Appl. Catal. A Gen. 2007, 327, 44–51. [Google Scholar] [CrossRef]
- Cortright, R.D.; Davda, R.R.; Dumesic, J.A. Hydrogen from catalytic reforming of biomass-derived hydrocarbons in liquid water. Nature. 2002, 418, 964–967. [Google Scholar] [CrossRef]
- Huber, G.W.; Chheda, J.N.; Barrett, C.J.; Dumesic, J.A. Production of liquid alkanes by aqueous-phase processing of biomass-derived carbohydrates. Science 2005, 308, 1446–1450. [Google Scholar] [CrossRef]
- Kamm, B. Production of platform chemicals and synthesis gas from biomass. Angew. Chem. Int. Ed. 2007, 46, 5056–5058. [Google Scholar] [CrossRef]
- Isikgor, F.H.; Becer, C.R. Lignocellulosic biomass: A sustainable platform for the production of bio-based chemicals and polymers. Polym. Chem. 2015, 6, 4497–4559. [Google Scholar] [CrossRef]
- Kruk, M.; Jaroniec, M.; Ko, C.H.; Ryoo, R. Characterization of the porous structure of SBA-15. Chem. Mater. 2000, 12, 1961–1968. [Google Scholar] [CrossRef]
- Kruk, M.; Jaroniec, M.; Sayari, A. Application of large pore MCM-41 molecular sieves to improve pore size analysis using nitrogen adsorption measurements. Langmuir 1997, 13, 6267–6273. [Google Scholar] [CrossRef]
- Quantachrome Instruments. Pore Size Analysis by Gas Adsorption and the Density Functional Theory. 2018. AZoM, viewed 27 August 2019. Available online: https://www.azom.com/article.aspx?ArticleID=5189 (accessed on 27 August 2019).
- Kusserow, B.; Schimpf, S.; Claus, P. Hydrogenation of glucose to sorbitol over nickel and ruthenium catalysts. Adv. Synth. Catal. 2003, 345, 289–299. [Google Scholar] [CrossRef]
- Tronci, S.; Pittau, B. Conversion of glucose and sorbitol in the presence of Ru/C and Pt/C catalysts. RSC Adv. 2015, 5, 23086–23093. [Google Scholar] [CrossRef]
- Zhang, J.; Lin, L.; Zhang, J.; Shi, J. Efficient conversion of d-glucose into d-sorbitol over MCM-41 supported Ru catalyst prepared by a formaldehyde reduction process. Carbohydr. Res. 2011, 346, 1327–1332. [Google Scholar] [CrossRef] [PubMed]
- Romero, A.; Nieto-Márquez, A.; Alonso, E. Bimetallic Ru:Ni/MCM-48 catalysts for the effective hydrogenation of d-glucose into sorbitol. Appl. Catal. A Gen. 2017, 529, 49–59. [Google Scholar] [CrossRef]
- Beck, R.E.; Schultz, J.S. Hindered diffusion in microporous membranes with known pore geometry. Science 1970, 170, 1302–1305. [Google Scholar] [CrossRef]
- Ravenelle, R.M.; Schüβler, F.; D’Amico, A.; Danilina, N.; van Bokhoven, J.A.; Lercher, J.A.; Jones, C.W.; Sievers, C. Stability of zeolites in hot liquid water. J. Phys. Chem. C 2010, 114, 19582–19595. [Google Scholar] [CrossRef]
- Zhao, D. Triblock copolymer syntheses of mesoporous silica with periodic 50 to 300 angstrom pores. Science 1998, 279, 548–552. [Google Scholar] [CrossRef]
- Pollock, R.A.; Gor, G.Y.; Walsh, B.R.; Fry, J.; Ghampson, I.T.; Melnichenko, Y.B.; Kaiser, H.; DeSisto, W.J.; Wheeler, M.C.; Frederick, B.G. Role of liquid vs. vapor water in the hydrothermal degradation of SBA-15. J. Phys. Chem. C 2012, 116, 22802–22814. [Google Scholar] [CrossRef]
- Negahdar, L.; Oltmanns, J.U.; Palkovits, S.; Palkovits, R. Kinetic investigation of the catalytic conversion of cellobiose to sorbitol. Appl. Catal. B Environ. 2014, 147, 677–683. [Google Scholar] [CrossRef]
- Carlier, S.; Hermans, S. Highly efficient and recyclable catalysts for cellobiose hydrolysis: Systematic comparison of carbon nanomaterials functionalized with benzyl sulfonic acids. Front. Chem. 2020. submitted. [Google Scholar]
- Zhou, L.; Liu, Z.; Shi, M.; Du, S.; Su, Y.; Yang, X.; Xu, J. Sulfonated hierarchical H-USY zeolite for efficient hydrolysis of hemicellulose/cellulose. Carbohydr. Polym. 2013, 98, 146–151. [Google Scholar] [CrossRef] [PubMed]
- Liu, Y.; Xiao, W.; Xia, S.; Ma, P. SO3H-functionalized acidic ionic liquids as catalysts for the hydrolysis of cellulose. Carbohydr. Polym. 2013, 92, 218–222. [Google Scholar] [CrossRef] [PubMed]
- Hu, L.; Li, Z.; Wu, Z.; Lin, L.; Zhou, S. Catalytic hydrolysis of microcrystalline and rice straw-derived cellulose over a chlorine-doped magnetic carbonaceous solid acid. Ind. Crop. Prod. 2016, 84, 408–417. [Google Scholar] [CrossRef]
- Suganuma, S.; Nakajima, K.; Kitano, M.; Yamaguchi, D.; Kato, H.; Hayashi, S.; Hara, M. Hydrolysis of cellulose by amorphous carbon bearing SO3H, COOH, and OH groups. J. Am. Chem. Soc. 2008, 130, 12787–12793. [Google Scholar] [CrossRef]
- Rinaldi, R.; Schüth, F. Acid hydrolysis of cellulose as the entry point into biorefinery schemes. ChemSusChem 2009, 2, 1096–1107. [Google Scholar] [CrossRef]
- Soisangwan, N.; Gao, D.-M.; Kobayashi, T.; Khuwijitjaru, P.; Adachi, S. Kinetic analysis for the isomerization of cellobiose to cellobiulose in subcritical aqueous ethanol. Carbohydr. Res. 2016, 433, 67–72. [Google Scholar] [CrossRef]
- Gao, D.M.; Kobayashi, T.; Adachi, S. Production of keto-disaccharides from aldo-disaccharides in subcritical aqueous ethanol. Biosci. Biotechnol. Biochem. 2016, 80, 998–1005. [Google Scholar] [CrossRef]
- Fang, B.; Chaudhari, N.K.; Kim, M.-S.; Kim, J.H.; Yu, J.-S. Homogeneous deposition of platinum nanoparticles on carbon black for proton exchange membrane fuel cell. J. Am. Chem. Soc. 2009, 131, 15330–15338. [Google Scholar] [CrossRef]






| Sample | C1s | O1s | Si2p | N1s | Ru3p |
|---|---|---|---|---|---|
| Ru/CB | 96.0 | 3.4 | / | 0.1 | 0.49 |
| Ru/CB@SiO2(C) | 47.2 | 35.6 | 15.2 | 1.0 | 0.09 |
| Ru/CB@SiO2(P) | 34.3 | 46.2 | 19.3 | 0.1 | 0.07 |
| Entry | Sample | Solvent | Glucose Conversion (%) | Activity 1 (%/mg) | Sorbitol Selectivity (%) |
|---|---|---|---|---|---|
| 1 | Blank | H2O | 21 | / | 2 |
| 2 | CB | H2O | 16 | / | 7 |
| 3 | Ru/CB | H2O | 43 | 47 | 67 |
| 4 | Ru/CB@SiO2(C) | H2O | 30 | 41 | 4 |
| 5 2 | Ru/CB@SiO2(C)-HT | H2O | 41 | 45 | 68 |
| 6 | Blank | EtOH/H2O | 26 | / | 1 |
| 7 | Ru/CB | EtOH/H2O | 92 | 100 | 74 |
| 8 | Ru/CB@SiO2(C) | EtOH/H2O | 69 | 94 | 4 |
| 9 | Ru/CB@SiO2(P) | EtOH/H2O | 43 | 82 | 58 |
| 10 3 | Ru/CB@SiO2(P) | EtOH/H2O | 50 | 81 | 66 |
| Entry | Sample | H2O/EtOH (v/v) | Cellobiose Conversion (%) | Glucose Selectivity (%) | Ethyl Glucopyr. Selectivity (%) | Cellobitol Selectivity (%) | Sorbitol Selectivity (%) |
|---|---|---|---|---|---|---|---|
| 1 | blank | 120/0 | 44 | 14 | 0 | 0 | 0 |
| 2 | Ru/CB@SiO2(P) | 10/110 | 43 | 0 | 0 | 30 | 0 |
| 3 | Ru/CB@SiO2(P) | 40/80 | 38 | 0 | 0 | 27 | 0 |
| 4 | Ru/CB@SiO2(P) | 60/60 | 45 | 0 | 0 | 42 | 0 |
| 5 | Ru/CB@SiO2(P) + CB–SO3H | 10/110 | 69 | 13 | 19 | 6 | 2 |
| 6 1 | Ru/CB@SiO2(P) + CB–SO3H | 10/110 | 94 | 20 | 32 | 0 | 8 |
© 2020 by the authors. Licensee MDPI, Basel, Switzerland. This article is an open access article distributed under the terms and conditions of the Creative Commons Attribution (CC BY) license (http://creativecommons.org/licenses/by/4.0/).
Share and Cite
Haynes, T.; Hubert, S.; Carlier, S.; Dubois, V.; Hermans, S. Influence of Water-Miscible Organic Solvent on the Activity and Stability of Silica-Coated Ru Catalysts in the Selective Hydrolytic Hydrogenation of Cellobiose into Sorbitol. Catalysts 2020, 10, 149. https://doi.org/10.3390/catal10020149
Haynes T, Hubert S, Carlier S, Dubois V, Hermans S. Influence of Water-Miscible Organic Solvent on the Activity and Stability of Silica-Coated Ru Catalysts in the Selective Hydrolytic Hydrogenation of Cellobiose into Sorbitol. Catalysts. 2020; 10(2):149. https://doi.org/10.3390/catal10020149
Chicago/Turabian StyleHaynes, Tommy, Sharon Hubert, Samuel Carlier, Vincent Dubois, and Sophie Hermans. 2020. "Influence of Water-Miscible Organic Solvent on the Activity and Stability of Silica-Coated Ru Catalysts in the Selective Hydrolytic Hydrogenation of Cellobiose into Sorbitol" Catalysts 10, no. 2: 149. https://doi.org/10.3390/catal10020149
APA StyleHaynes, T., Hubert, S., Carlier, S., Dubois, V., & Hermans, S. (2020). Influence of Water-Miscible Organic Solvent on the Activity and Stability of Silica-Coated Ru Catalysts in the Selective Hydrolytic Hydrogenation of Cellobiose into Sorbitol. Catalysts, 10(2), 149. https://doi.org/10.3390/catal10020149

