Synthesis of Alkynyl Ketones by Sonogashira Cross-Coupling of Acyl Chlorides with Terminal Alkynes Mediated by Palladium Catalysts Deposited over Donor-Functionalized Silica Gel
Abstract
1. Introduction
2. Results
2.1. Synthesis of the Catalysts
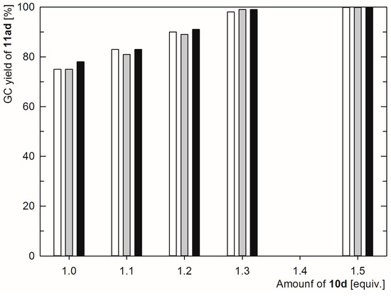
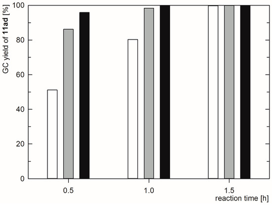
2.2. Catalytic Assessment
3. Experimental
3.1. Methods and Materials
3.2. Description of the Screening Experiments
3.3. Preparative Experiments
3.4. Analytical Data of the Cross-Coupling Products
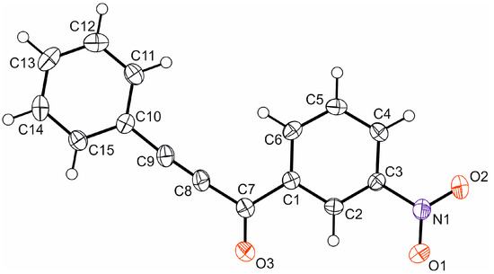
3.5. Structure Determination
4. Conclusions
Supplementary Materials
Author Contributions
Funding
Acknowledgments
Conflicts of Interest
References
- Crisp, G.T.; O’Donoghue, A.I. Palladium-Catalysed Couplings of Halofurans with Activated Alkenes and Terminal Alkynes. A Short Synthesis of Dihydrowyerone. Synth. Commun. 1989, 19, 1745–1758. [Google Scholar] [CrossRef]
- Cox, R.J.; Ritson, D.J.; Dane, T.A.; Berge, J.; Charmant, J.P.H.; Kantacha, A. Room temperature palladium catalysed coupling of acyl chlorides with terminal alkynes. Chem. Commun. 2005, 1037–1039. [Google Scholar] [CrossRef] [PubMed]
- Yin, J.; Wang, X.; Liang, Y.; Wu, X.; Chen, B.; Ma, Y. Synthesis of Ferrocenylethynyl Ketones by Coupling of Ferrocenylethyne with Acyl Chlorides. Synthesis 2004, 331–333. [Google Scholar] [CrossRef]
- Chen, L.; Li, C.-J. A Remarkably Efficient Coupling of Acid Chlorides with Alkynes in Water. Org. Lett. 2004, 6, 3151–3153. [Google Scholar] [CrossRef] [PubMed]
- Lv, Q.-R.; Meng, X.; Wu, J.-S.; Gao, Y.-J.; Li, C.-L.; Zhu, Q.-Q.; Chen, B.-H. Palladium-, copper- and water solvent facile preparation of ferrocenylethynyl ketones by coupling. Catal. Commun. 2008, 9, 2127–2130. [Google Scholar] [CrossRef]
- Debono, N.; Canac, Y.; Duhayon, C.; Chauvin, R. An Atropo-Stereogenic Diphosphane Ligand with a Proximal Cationic Charge: Specific Catalytic Properties of a Palladium Complex Thereof. Eur. J. Inorg. Chem. 2008, 2991–2999. [Google Scholar] [CrossRef]
- Atobe, S.; Masuno, H.; Sonoda, M.; Suzuki, Y.; Shinohara, H.; Shibata, S.; Ogawa, A. Pd-catalyzed coupling reaction of acid chlorides with terminal alkynes using 1-(2-pyridylethynyl)-2-(2-thienylethynyl)benzene ligand. Tetrahedron Lett. 2012, 53, 1764–1767. [Google Scholar] [CrossRef]
- Baxendale, I.R.; Schou, S.C.; Sedelmeier, J.; Ley, S.V. Multi-Step Synthesis by Using Modular Flow Reactors: The Preparation of Yne–Ones and Their Use in Heterocycle Synthesis. Chem. Eur. J. 2010, 16, 89–94. [Google Scholar] [CrossRef]
- Wang, J.-X.; Wei, B.; Huang, D.; Hu, Y.; Bai, L. A Facile Synthesis of Conjugated Acetyl Ketones by Pd(II)-Cu(I) Doped KF/Al2O3-catalyzed Under Microwave Irradiation. Synth. Commun. 2001, 31, 3337–3343. [Google Scholar] [CrossRef]
- Likhar, P.R.; Subhas, M.S.; Roy, M.; Roy, S.; Kantam, M.L. Copper-Free Sonogashira Coupling of Acid Chlorides with Terminal Alkynes in the Presence of a Reusable Palladium Catalyst: An Improved Synthesis of 3-Iodochromenones (=3-Iodo-4H-1-benzopyran-4-ones). Helv. Chim. Acta 2008, 91, 259–264. [Google Scholar] [CrossRef]
- Santra, S.; Dhara, K.; Ranjan, P.; Bera, P.; Dash, J.; Mandal, S.K. A supported palladium nanocatalyst for copper free acyl Sonogashira reactions: One-pot multicomponent synthesis of N-containing heterocycle. Green Chem. 2011, 13, 3238–3247. [Google Scholar] [CrossRef]
- Bakherad, M.; Keivanloo, A.; Bahramian, B.; Jajarmi, S. Synthesis of Ynones via Recyclable Polystyrene-Supported Palladium(0) Complex Catalyzed Acylation of Terminal Alkynes with Acyl Chlorides under Copper- and Solvent-Free Conditions. Synlett 2011, 311–314. [Google Scholar] [CrossRef]
- Yuan, H.; Jin, H.; Li, B.; Shen, Y.; Yue, R.; Shan, L.; Sun, Q.; Zhang, W. Pd/BaSO4-catalyzed cross coupling of acyl chlorides with in situ generated alkynylzinc derivatives for the synthesis of ynones. Can. J. Chem. 2013, 91, 333–337. [Google Scholar] [CrossRef]
- Yuan, H.; Shen, Y.; Yu, S.; Shan, L.; Sun, Q.; Zhang, W. Pd-Catalyzed Cross-Coupling of Acyl Chlorides with In Situ–Generated Alkynylzinc Derivatives for the Synthesis of Ynones. Synth. Commun. 2013, 43, 2817–2823. [Google Scholar] [CrossRef]
- Chen, J.-Y.; Lin, T.-C.; Chen, S.-C.; Chen, A.-J.; Mou, C.-Y.; Tsai, F.-Y. Highly-efficient and recyclable nanosized MCM-41 anchored palladium bipyridyl complex-catalyzed coupling of acyl chlorides and terminal alkynes for the formation of ynones. Tetrahedron 2009, 65, 10134–10141. [Google Scholar] [CrossRef]
- Huang, B.; Yin, L.; Cai, M. A phosphine-free heterogeneous coupling of acyl chlorides with terminal alkynes catalyzed by an MCM-41-immobilized palladium complex. New J. Chem. 2013, 37, 3137–3144. [Google Scholar] [CrossRef]
- Kang, C.; Huang, J.; He, W.; Zhang, F. Periodic mesoporous silica-immobilized palladium(II) complex as an effective and reusable catalyst for water-medium carbon–carbon coupling reactions. J. Organomet. Chem. 2010, 695, 120–127. [Google Scholar] [CrossRef]
- Bakherad, M.; Keivanloo, A.; Bahramian, B.; Rajaie, M. A copper- and solvent-free coupling of acid chlorides with terminal alkynes catalyzed by a polystyrene-supported palladium(0) complex under aerobic conditions. Tetrahedron Lett. 2010, 51, 33–35. [Google Scholar] [CrossRef]
- Sashida, H. An Alternative Facile Preparation of Telluro- and Selenochromones from o-Bromophenyl Ethynyl Ketones. Synthesis 1998, 745–748. [Google Scholar] [CrossRef]
- Waldo, J.P.; Larock, R.C. The Synthesis of Highly Substituted Isoxazoles by Electrophilic Cyclization: An Efficient Synthesis of Valdecoxib. J. Org. Chem. 2007, 72, 9643–9647. [Google Scholar] [CrossRef]
- Takahashi, I.; Morita, F.; Kusagaya, S.; Fukaya, H.; Kitagawa, O. Catalytic enantioselective synthesis of atropisomeric 2-aryl-4-quinolinone derivatives with an N–C chiral axis. Tetrahedron Asymmetry 2012, 23, 1657–1662. [Google Scholar] [CrossRef]
- She, Z.; Niu, D.; Chen, L.; Gunawan, M.A.; Shanja, X.; Hersh, W.H.; Chen, Y. Synthesis of Trisubstituted Isoxazoles by Palladium(II)-Catalyzed Cascade Cyclization–Alkenylation of 2-Alkyn-1-one O-Methyl Oximes. J. Org. Chem. 2012, 77, 3627–3633. [Google Scholar] [CrossRef] [PubMed]
- Nordmann, J.; Breuer, N.; Müller, T.J.J. Efficient Consecutive Four-Component Synthesis of 5-Acylpyrid-2-ones Initiated by Copper-Free Alkynylation. Eur. J. Org. Chem. 2013, 4303–4310. [Google Scholar] [CrossRef]
- Rao, P.N.P.; Chen, Q.-H.; Knaus, E.E. Synthesis and Structure−Activity Relationship Studies of 1,3-Diarylprop-2-yn-1-ones: Dual Inhibitors of Cyclooxygenases and Lipoxygenases. J. Med. Chem. 2006, 49, 1668–1683. [Google Scholar] [PubMed]
- Leblanc, M.; Fagnou, K. Allocolchicinoid Synthesis via Direct Arylation. Org. Lett. 2005, 7, 2849–2852. [Google Scholar] [CrossRef]
- Zhao, H.-Y.; Guo, L.; Chen, S.-F.; Bian, Z.-X. Synthesis, electrochemistry and liquid crystal properties of 1,2,3-(NH)-triazolylferrocene derivatives. J. Mol. Struct. 2013, 1054–1055, 164–169. [Google Scholar] [CrossRef]
- Specht, Z.G.; Grotjahn, D.B.; Moore, C.E.; Rheingold, A.L. Effects of Hindrance in N-Pyridyl Imidazolylidenes Coordinated to Iridium on Structure and Catalysis. Organometallics 2013, 32, 6400–6409. [Google Scholar] [CrossRef]
- Štěpnička, P. Phosphino-carboxamides: The inconspicuous gems. Chem. Soc. Rev. 2012, 41, 4273–4305. [Google Scholar] [CrossRef]
- Semler, M.; Čejka, J.; Štěpnička, P. Synthesis and catalytic evaluation in the Heck reaction of deposited palladium catalysts immobilized via amide linkers and their molecular analogues. Catal. Today 2014, 227, 207–214. [Google Scholar] [CrossRef]
- Semler, M.; Štěpnička, P. Synthesis of aromatic ketones by Suzuki-Miyaura cross-coupling of acyl chlorides with boronic acids mediated by palladium catalysts deposited over donor-functionalized silica gel. Catal. Today 2015, 243, 128–133. [Google Scholar] [CrossRef]
- El-Faham, A.; Albericio, F. Peptide Coupling Reagents, More than a Letter Soup. Chem. Rev. 2011, 111, 6557–6602. [Google Scholar] [CrossRef] [PubMed]
- Valeur, E.; Bradley, M. Amide bond formation: Beyond the myth of coupling reagents. Chem. Soc. Rev. 2009, 38, 606–631. [Google Scholar] [CrossRef] [PubMed]
- Opanasenko, M.; Štěpnička, P.; Čejka, J. Heterogeneous Pd catalysts supported on silica matrices. RSC Adv. 2014, 4, 65137–65162. [Google Scholar] [CrossRef]
- Spek, A.L. CheckCIF validation ALERTS: What they mean and how to respond. Acta Crystallogr. Sect. A Crystallogr. Commun. 2020, 76, 1–11. [Google Scholar] [CrossRef]
- The Cambridge Crystallographic Data Centre (CCDC). Refcode YANLAB. Available online: https://www.ccdc.cam.ac.uk/ (accessed on 17 July 2020).
- Smit, J.B.M.; Marais, C.; Malan, F.P.; Bezuidenhout, C.B. Crystal structure of 3-(4-methoxyphenyl)-1-phenylprop-2-yn-1-one, C16H12O2. Z. Kristallogr. New Cryst. Struct. 2019, 234, 359–360. [Google Scholar] [CrossRef]
- Park, A.; Park, K.; Kim, Y.; Lee, S. Pd-Catalyzed Carbonylative Reactions of Aryl Iodides and Alkynyl Carboxylic Acids via Decarboxylative Couplings. Org. Lett. 2011, 13, 944–947. [Google Scholar] [CrossRef]
- Sun, G.; Lei, M.; Hu, L. A facile and efficient method for the synthesis of alkynone by carbonylative Sonogashira coupling using CHCl3 as the CO source. RCS Adv. 2016, 6, 28442–28446. [Google Scholar] [CrossRef]
- Cui, M.; Wu, H.; Jian, J.; Wang, H.; Liu, C.; Daniel, S.; Zeng, Z. Palladium-catalyzed Sonogashira coupling of amides: Access to ynones via C–N bond cleavage. Chem. Commun. 2016, 52, 12076–12079. [Google Scholar] [CrossRef]
- Feng, L.; Hu, T.; Zhang, S.; Xiong, H.-Y.; Zhang, G. Copper-Mediated Deacylative Coupling of Ynones via C–C Bond Activation under Mild Conditions. Org. Lett. 2019, 21, 9487–9492. [Google Scholar] [CrossRef]
- Friel, D.K.; Snapper, M.L.; Hoveyda, A.H. Aluminum-Catalyzed Asymmetric Alkylations of Pyridyl-Substituted Alkynyl Ketones with Dialkylzinc Reagents. J. Am. Chem. Soc. 2008, 130, 9942–9951. [Google Scholar] [CrossRef]
- Tani, T.; Sawatsugawa, Y.; Sano, Y.; Hirataka, Y.; Takahashi, N.; Hashimoto, S.; Sugiura, T.; Tsuchimoto, T. Alkynyl−B(dan)s in Various Palladium-Catalyzed Carbon−Carbon Bond-Forming Reactions Leading to Internal Alkynes, 1,4-Enynes, Ynones, and Multiply Substituted Alkenes. Adv. Synth. Catal. 2019, 361, 1815–1834. [Google Scholar] [CrossRef]
- Sheldrick, G.M. A short history of SHELX. Acta Crystallogr. Sect. A Found. Crystallogr. 2008, 64, 112–122. [Google Scholar] [CrossRef] [PubMed]
- Sheldrick, G.M. Crystal structure refinement with SHELXL. Acta Crystallogr. Sect. C Struct. Chem. 2015, 71, 3–8. [Google Scholar] [CrossRef] [PubMed]
Publisher’s Note: MDPI stays neutral with regard to jurisdictional claims in published maps and institutional affiliations. |












| Alkyne | Acyl Chloride | Product | Yield (%) b |
|---|---|---|---|
| PhC≡CH (9a) | 2-MeC6H4COCl (10b) | 11ab | 66 |
| PhC≡CH (9a) | 3-MeC6H4COCl (10c) | 11ac | 75 |
| PhC≡CH (9a) | 4-MeC6H4COCl (10d) | 11ad | 85 |
| PhC≡CH (9a) | 2-NO2C6H4COCl (10e) | 11ae | n.d. d,e |
| PhC≡CH (9a) | 3-NO2C6H4COCl (10f) | 11af | 75 d |
| PhC≡CH (9a) | 4-NO2C6H4COCl (10g) | 11ag | 60 d |
| PhC≡CH (9a) | 4-MeOC6H4COCl (10h) | 11ah | 87 |
| PhC≡CH (9a) | 4-ClC6H4COCl (10i) | 11ai | 93 |
| 4-MeC6H4C≡CH (9b) | PhCOCl (10a) | 11ba | 95 |
| 4-MeOC6H4C≡CH (9e) | PhCOCl (10a) | 11ea | 85 |
| 4-CF3C6H4C≡CH (9j) | PhCOCl (10a) | 11ja | 85 |
| PhC≡CH (9a) | (E)-PhCH=CHCOCl (10k) | 11ak | 87 |
| PhC≡CH (9a) | PhCH2CH2COCl (10l) | 11al | n.d. e |
| PhC≡CH (9a) | t-BuCOCl (10m) | 11am | 51 |
| PhC≡CH (9a) | (2-furanyl)COCl (10n) | 11an | 50 |
| PhC≡CH (9a) | (2-thienyl)COCl (10o) | 11ao | 25 d |
| FcC≡CH (9m) c | PhCOCl (10p) | 11pa | 43 f |
© 2020 by the authors. Licensee MDPI, Basel, Switzerland. This article is an open access article distributed under the terms and conditions of the Creative Commons Attribution (CC BY) license (http://creativecommons.org/licenses/by/4.0/).
Share and Cite
Semler, M.; Horký, F.; Štěpnička, P. Synthesis of Alkynyl Ketones by Sonogashira Cross-Coupling of Acyl Chlorides with Terminal Alkynes Mediated by Palladium Catalysts Deposited over Donor-Functionalized Silica Gel. Catalysts 2020, 10, 1186. https://doi.org/10.3390/catal10101186
Semler M, Horký F, Štěpnička P. Synthesis of Alkynyl Ketones by Sonogashira Cross-Coupling of Acyl Chlorides with Terminal Alkynes Mediated by Palladium Catalysts Deposited over Donor-Functionalized Silica Gel. Catalysts. 2020; 10(10):1186. https://doi.org/10.3390/catal10101186
Chicago/Turabian StyleSemler, Miloslav, Filip Horký, and Petr Štěpnička. 2020. "Synthesis of Alkynyl Ketones by Sonogashira Cross-Coupling of Acyl Chlorides with Terminal Alkynes Mediated by Palladium Catalysts Deposited over Donor-Functionalized Silica Gel" Catalysts 10, no. 10: 1186. https://doi.org/10.3390/catal10101186
APA StyleSemler, M., Horký, F., & Štěpnička, P. (2020). Synthesis of Alkynyl Ketones by Sonogashira Cross-Coupling of Acyl Chlorides with Terminal Alkynes Mediated by Palladium Catalysts Deposited over Donor-Functionalized Silica Gel. Catalysts, 10(10), 1186. https://doi.org/10.3390/catal10101186

