Next Article in Journal
Cooperation or Confrontation? An Evolutionary Game Study on Content Clipping Authorization in Live Streaming E-Commerce Under Platform Regulation
Previous Article in Journal
Measuring Pitcher Production Fairly in Baseball Using the Shapley Value
 
 
Font Type:
Arial Georgia Verdana
Font Size:
Aa Aa Aa
Line Spacing:
Column Width:
Background:
Article

Platform Empowerment and Digital Inclusion in Industrial Clusters: A Complex Network Game Analysis with Performance Feedback

1
School of Business, Guangxi City Vocation University, Chongzuo 532200, China
2
School of Business, Guangxi University, Nanning 530004, China
3
School of Management, Universiti Sains Malaysia, George Town 11700, Malaysia
*
Author to whom correspondence should be addressed.
Games 2026, 17(2), 16; https://doi.org/10.3390/g17020016
Submission received: 13 January 2026 / Revised: 25 February 2026 / Accepted: 27 February 2026 / Published: 10 March 2026

Abstract

The digital divide between large enterprises and SMEs (Small and Medium-sized Enterprises) within industrial clusters poses a significant challenge to achieving collective digital transformation, exacerbated by the quasi-public goods, attributes of digital inclusion ecosystems, and the prevalence of free-riding behavior. This paper investigates whether platform enterprises, as core actors occupying structural holes in cluster networks, can foster the co-construction of a digitally inclusive ecosystem. We developed a complex network public goods game model, incorporating performance feedback into a modified Fermi learning to capture firms’ adaptive decision-making based on historical and social aspirations. The model simulates strategic interactions on both small-world and scale-free networks, characteristic of industrial clusters. Numerical simulations reveal that: (1) The core driver of co-construction is the investment return coefficient; (2) Performance feedback amplifies individual rationality, accelerating the formation or collapse of cooperation depending on the investment return coefficient; (3) Platform empowerment—specifically, selectively connecting and incentivizing cooperative firms—effectively promotes ecosystem co-construction, with this strategy proving most impactful when investment returns are moderate. Furthermore, while this selective empowerment strategy benefits the cluster overall, its effect on the platform’s own revenue is network-dependent, showing a more pronounced decline in small-world structures. This study provides a novel analytical framework for understanding strategic interactions in digital inclusion and offers practical insights for policymakers and platform leaders in orchestrating collaborative digital transformation.

1. Introduction

The rapid development of digital technologies has brought unprecedented “digital dividends” to the global economy. However, this has been accompanied by a growing “Matthew Effect” in the digital age—the increasingly prominent issue of the digital divide (Shakina et al., 2021). The digital divide among enterprises refers to the systemic disparities in the application of digital technologies, access to, and utilization of digital resources and digital capabilities, leading to information asymmetry and a polarization in digital maturity levels between firms. The digital economy accounted for 60% of global GDP, with the scale of the digital economy in the top five economies, including the United States, China, and Germany, being particularly significant—exceeding $33 trillion in total and maintaining an annual growth rate of over 8% (China Academy of Information and Communications Technology, 2024). Against this backdrop, accelerating technological iteration makes digital transformation a critical pathway for enterprises to maintain competitiveness and achieve sustainable development (Luo & Liu, 2024). As indispensable components of industrial clusters, large enterprises and small- and medium-sized enterprises (SMEs) have distinct yet complementary functional roles. Their synergistic coexistence is crucial for enhancing the resilience and overall security of national industrial systems (Brink, 2017). SMEs form the micro-foundation of the global economy, constituting 90% of all businesses and contributing approximately 70% of employment and GDP (International Labour Organization, 2019). They are vital sources of technological innovation and social employment. Nevertheless, the widening digital divide between SMEs and large enterprises not only exacerbates the former’s disadvantages in resource acquisition and technology adoption (Inegbedion et al., 2024), leading to their marginalization and low-end lock-in within industrial chains, but also constrains high-quality innovation within the digital ecosystem and the sustainable evolution of industrial clusters as a whole (Qiu & Guo, 2019).
Building an inclusive digital ecosystem is fundamental to addressing the digital divide. The United Nations’ Global Digital Compact aims to “expand inclusion in and benefits from the digital economy for all” (United Nations, 2024). A Digital Inclusion Ecosystem is defined as a combination of programs and policies that meet a geographic community’s unique and diverse needs (National Digital Inclusion Alliance, 2023). Governance of the digital divide primarily encompasses three dimensions: first, narrowing the structural gap in digital technology access opportunities among different organizations and individuals by strengthening communication infrastructure construction and optimizing regional coverage (Lentz & Oden, 2001); second, alleviating skill asymmetries in the use of digital tools by enhancing IT literacy and operational competencies (Schleife, 2010); and third, mitigating practical obstacles in accessing and using digital resources for various actors by reducing the cost of online services and improving their accessibility (Çilan et al., 2009). Correspondingly, the implementation framework for digital inclusion consists of five core elements: (1) affordable and stable broadband Internet services; (2) Internet-enabled devices that meet user needs; (3) systematic digital literacy training resources; (4) high-quality technical support systems; and (5) applications and online content that facilitate autonomous participation and collaboration (National Digital Inclusion Alliance, 2023). The implementation of this infrastructure not only provides a necessary prerequisite for SMEs to achieve digital transformation but also lays a systematic foundation for the entire industrial cluster to move toward digital integration (Hussain et al., 2025). Therefore, constructing a digital inclusion ecosystem within industrial clusters is of strategic importance. Its impact extends beyond merely bridging the digital divide among enterprises to enhancing the overall competitiveness and strengthening the sustainable development capabilities of the industrial cluster.
However, a fundamental tension exists between the diverse interests of cluster firms and the public-good nature of the digital inclusion ecosystem. While digital transformation presents both opportunities and challenges for industrial clusters (D. Chen & Wang, 2024), representing a strategic choice to break path dependency and achieve an upward shift in global value chains, its success relies on the co-construction of the cluster’s ecosystem. A critical barrier lies in the cluster’s composition, which is predominantly characterized by a concentration of small- and medium-sized enterprises (SMEs). These SMEs often face a triple bind of low value capture, small scale, and fragmented distribution (Sun & Fan, 2023). The implementation of digital transformation requires significant resource commitments, which can be perceived as a heavy burden by SMEs (S. Wang & Esperança, 2023). These structural obstacles collectively inhibit the digital leap of the industrial cluster. Furthermore, firms, as rational economic actors, frequently exhibit free-riding behavior. By externalizing the costs of building the digital inclusion ecosystem, individual firms can avoid investment risks while still appropriating the positive externalities generated by the digital ecosystem. This strategic choice stems from a structural conflict between individual and collective rationality, a phenomenon known as “Olson’s Dilemma”.
Platform enterprises, positioned at the core of industrial clusters, occupy the structural holes of digital transformation, acting as pivotal “bridging nodes” and assuming a quasi-governmental role. The remarkable success of the digital platform ecosystem business model is evident, as platforms have rapidly attained dominant positions across numerous economic sectors. A telling example is that, as of early 2024, five of the world’s ten most valuable companies by market capitalization were digital platform ecosystems—including Microsoft, Apple, Alphabet, Amazon, and Meta [ ]. These digital platforms provide the foundational infrastructure for a wide spectrum of economic, social, and political interactions (Rovenskaya et al., 2025). Platform empowerment fundamentally alters the paradigm of firms operating in isolation, enabling them to leverage the platform’s capabilities for resource exchange, technology sharing, and value co-creation. It is a process through which stakeholders acquire and enhance advanced capabilities in transaction, innovation, competition, and resilience (Zaki, 2019). By providing robust support for socialized production and serving as a low-cost infrastructure for efficient interaction, platform enterprises are perceived as having the capacity and a degree of responsibility to organize public goods and safeguard social welfare, thereby functioning as quasi-governmental actors (Farrell, 2003). For SMEs, engaging with and being empowered by platform enterprises constitutes a critical pathway to bridge the digitalization gap and undertake business transformation (W. Chen & Wang, 2021). Consequently, clarifying the following questions is paramount for resolving cooperation dilemmas within industrial clusters, bridging the digital divide, and fostering a digitally inclusive society:
RQ1: What are the driving mechanisms of digital inclusion ecosystem co-construction in industrial clusters?
RQ2: How does performance feedback influence the evolution of cooperation?
RQ3: Can platform enterprises, as inter-organizational network managers, promote digital inclusion?
RQ4: Under what conditions is their role positive or negative?
This study, therefore, employs a complex network game approach to investigate corporate investment behavior in the co-construction of a digital inclusion ecosystem, examining the strategic interactions between industrial clusters and platform enterprises to identify optimal pathways for bridging the digital divide. While a limited number of studies have recognized the externality and public-good nature of digital inclusion (Yan, 2022) and have noted the tension between high investment requirements and the imperative for broad accessibility in building digital public goods within such ecosystems (W. Li & Zhang, 2022), some research has even utilized evolutionary game theory to study the digital transformation of small- and medium-sized manufacturing enterprises (Zhu et al., 2023). However, the distinctive role of platform enterprises within the network structure has not yet been thoroughly explored. We posit that the investment behavior of cluster firms in the digital inclusion ecosystem not only exhibits characteristics of a public goods game but also involves complex network interactions, wherein the platform enterprise plays a pivotal role.
Compared to prior research, this research makes three distinct marginal contributions. First, it pioneers an analytical framework for public goods games that integrates “complex networks + platform enterprises”. While the existing literature acknowledges both the public-good nature of digital inclusion ecosystems and the resource integration function of platform enterprises within digital ecosystems—such as Internet platforms fostering industrial chain synergy (Yang, 2025)—few studies have situated this within an evolutionary game framework under a complex network perspective. Specifically, none have systematically combined the leadership role of platform enterprises with the efficient information transmission of small-world networks and the scale-free characteristics of power-law distribution to analyze the supply dynamics of digital inclusion public goods, such as data sharing, technology accessibility, and infrastructure co-construction. Second, this study incorporates a performance feedback mechanism into a modified Fermi learning rule. This integration addresses a key limitation in prior applications of the Fermi rule, which primarily considered social expectations (D. Li et al., 2024). By establishing an adaptive learning benchmark based on historical aspirations, our approach more accurately captures the “action-feedback” decision-making process of firms within a digital ecosystem. Third, we further investigate the impact of platform enterprises’ strategic choices and exercise of power on evolutionary outcomes. Although some research has applied complex network theory to model the diffusion of digital decision-making among SMEs within industrial clusters (Shu et al., 2024), these studies have not accounted for the catalytic role of platform enterprises. Our research explicitly models the process through which a platform enterprise stimulates technological investment among cluster firms and fosters collaborative cluster development. This perspective uniquely considers the dual role of platform enterprises as both market participants and quasi-governmental actors while also examining the effects of their resource allocation and rule-setting capabilities.
The remainder of this study is structured as follows. Section 2 systematically examines the small-world and scale-free characteristics of industrial cluster networks, the network governance role of platform enterprises, and the public goods attributes of digital inclusion ecosystems. The “Evolutionary Game Model Analysis” constructs a public goods game model incorporating performance feedback, capturing firms’ strategic interactions under historical and social aspirations. Section 4 employs Monte Carlo simulations to verify the mechanisms through which the investment return coefficient and platform empowerment strategies influence the evolution of cooperation. Finally, Section 6 synthesizes the pathways through which platform empowerment fosters the co-construction of digital inclusion ecosystems and proposes governance insights for governments, platform enterprises, and cluster firms.

2. Theoretical Analysis

2.1. Small-World and Scale-Free Characteristics of Industrial Clusters

Industrial clusters are defined as agglomerations of organizations within a geographic space that form networked interconnections through competitive and cooperative relationships, encompassing diverse entities such as suppliers, manufacturers, financial institutions, and research institutes, and play a significant role in global competition (Delgado et al., 2016). This theoretical construct not only reveals the spatial organization characteristics of industrial clusters but also emphasizes their strategic value as vehicles for regional competitiveness. Vertically, clusters exhibit gradient differences in the depth of industrial chain integration, the density of knowledge networks, and the intensity of innovation synergy. Horizontally, clusters have transcended traditional industrial boundaries, evolving into regional innovation ecosystems characterized by multi-industry integration and multi-actor symbiosis. This organizational form, with its multi-layered nested structure supporting real economic development, makes industrial clusters an important indicator for measuring regional economic development levels (Wu & Cai, 2010). The permeation of digital technologies is reconstituting the spatial logic of clusters, making the digital transformation of industrial clusters a key focus for both academia and industry (Khurana et al., 2022). On the one hand, digital platforms propel clusters toward greater networking; on the other hand, the flow and sharing of data elements accelerate value co-creation and diffusion.
Industrial clusters exhibit the characteristics of small-world networks, featuring high clustering coefficients and short average path lengths. Real-world networks are neither completely regular nor entirely random; instead, they typically contain numerous tightly-knit subgroups where any two nodes can be connected through just a few steps (Watts & Strogatz, 1998). This configuration, known as a small-world network, is characterized by its specific topological properties of high clustering and short path lengths. Such small-world properties are ubiquitous, from social and biological neural networks to the Internet of Things, including their presence in industrial clusters (Bagley, 2018). Within industrial clusters, entities such as suppliers, manufacturers, and financial institutions form a network structure marked by a relatively high clustering coefficient through complex interactions and linkages (Wen & Wang, 2013). Despite the large number of firms within a cluster, geographical proximity and cross-sector collaboration enable information and resources to propagate rapidly via short average path lengths (Cai et al., 2006). Extensive research confirms that various industrial clusters—from electric vehicles (Hu et al., 2020) to finance (Huang et al., 2015)—display small-world properties, with some studies even directly employing small-world characteristics to represent cluster network features (J. Chen & Hu, 2010).
Industrial clusters demonstrate the growth and preferential attachment features characteristic of scale-free networks. The scale-free network model explains network formation, statistical characteristics, and robustness, defined by its growth and preferential attachment mechanisms (Barabási & Albert, 1999). In this model, an initial network with N nodes expands over time as new nodes are added; these newcomers preferentially link to existing well-connected nodes with a probability proportional to their degree (Barabási et al., 1999). This heterogeneous growth and attachment process leads to a network structure with a power-law degree distribution (Barabási, 2016). Industrial clusters display analogous scale-free characteristics, manifested as power-law connectivity distributions within supply systems (Hearnshaw & Wilson, 2013).
The small-world and scale-free networks employed in this study are not intended as representative models of cluster networks, but rather as specific scenarios. As classic and extensively researched models within complex network science, these two network types provide a controlled and comparable theoretical framework for investigating the evolution of firm behaviors under different topological structures. Although real-world industrial cluster networks may encompass more complex features, such as modularity and spatial embedding, the use of these foundational models allows us to strip away extraneous complexity and focus on the global connectivity efficiency of small-world networks and the effects of connection heterogeneity and hub nodes in scale-free networks. Through this stylized modeling approach, this study aims to reveal the general mechanisms and differences in how platform empowerment strategies operate within these two typical network structures.

2.2. The Inter-Organizational Network Manager Position of Platform Enterprises

In the digital economy, platform enterprises serve as pivotal intermediaries, connecting diverse stakeholders through digital platforms to facilitate communication, transaction, and collaborative innovation among multiple participants. A digital platform is defined as an extensible codebase of a software-based system that provides core functionality shared by the applications that interoperate with it, along with the interfaces that facilitate this interoperability (Tilson et al., 2010). The platform owner designs the platform’s architecture, which delineates a relatively stable core, flexibly organizing digital storage, digital flows, and digital aggregation while providing technical services to numerous firms (Gorwa, 2019). The scalable nature of digital platforms enables owners to leverage the productive potential of third-party developers for value co-creation (Parker et al., 2017). Digital platforms are typically centered around a focal firm that owns or sponsors the platform—this entity constitutes the platform enterprise (Kretschmer et al., 2022). By constructing an open ecosystem, platform enterprises offer diversified services to participants, thereby enabling value co-creation between the platform and its users (Hou & Shi, 2021). The core operational paradigm lies in leveraging technological infrastructure and platform governance to reduce interaction costs, optimize resource allocation efficiency, and foster innovation-driven value creation (Hein et al., 2020).
Platform enterprises play a critical role in managing inter-organizational networks. Such networks are defined as comprising three or more legally autonomous organizations that collaborate not only to achieve their individual objectives but also to realize shared cluster-level goals (Provan & Kenis, 2008). Formally, a network consists of nodes and edges, where the organizations represent the nodes and their relationships constitute the edges (Brass et al., 2004). Although networks vary in nomenclature, structure, and type (Inkpen & Tsang, 2005), member organizations invariably share a common objective, typically oriented toward value creation, realization, or gaining competitive advantage (Lusch & Nambisan, 2015). Such networks may be centrally governed by a leading organization or formally established as a network administrative organization that encompasses all participants. Platform enterprises act as such network administrators, and their central position within industrial clusters endows them with significant leadership, control, and visibility, alongside market and technological advantages and substantial externalities (Autor et al., 2020). In the field of management, leadership is crucial to group dynamics; regardless of the degree of power concentration, leaders’ actions and statements serve as exemplars. Through a “demonstration–imitation” mechanism, they facilitate the internalization of behavioral norms among members, thereby influencing outcomes in public goods games (Y. Zhang & Zhang, 2017). Although platform enterprises centralize the network, they can, to some extent, share decision-making authority among participating actors (Kenis et al., 2019). A representative example is Apple’s investment in developing the iOS platform, which provides developers with a standardized way to create applications that run on Apple devices. These applications are subsequently distributed through the App Store, enhancing the value of Apple’s products to customers. This effect fosters a thriving ecosystem that benefits Apple, third-party developers, and users alike (Schreieck et al., 2025).

2.3. Quasi-Public Goods Attributes of the Digital Inclusion Ecosystem

The digital inclusion ecosystem within an industrial cluster is a systemic framework collaboratively constructed by diverse actors, including digital platforms, enterprises, governments, and community organizations (National Digital Inclusion Alliance, 2023). Its core objective is to provide universal access to digital resources and developmental opportunities—particularly for small and medium-sized enterprises of varying scales and capabilities within the cluster—through open industrial data platforms, shared cloud-based technology toolchains, collaborative digital skills training systems, and other similar mechanisms (R. Zhang & Qian, 2023). The essence of this ecosystem lies in its institutional and technological design, which promotes equitable access to digital knowledge, tools, and services. Its aim is to systematically lower the barriers to digital transformation, enabling all participants to integrate into and benefit from the digital economy (Hussain et al., 2025).
From an economic perspective, digital inclusion ecosystems exhibit significant public goods characteristics, namely non-rivalry and non-excludability. Non-rivalry is evident in ecosystem components such as open-source software, public API interfaces, and shared knowledge repositories, where increased usage does not significantly raise the marginal costs or diminish utility for other users (Queiroz et al., 2020). Non-excludability is manifested through the establishment of inclusive digital access systems, which strive to prevent any enterprise from being excluded from basic digital services (R. Zhang & Qian, 2023). These attributes primarily stem from three mechanisms. First, knowledge spillover effects, whereby the enhancement of digital literacy within enterprises facilitates technology transfer and collaborative innovation across the cluster network (L. Chen & Liu, 2024). Second, the synergistic effect of value co-creation and network effects. Value co-creation mechanisms in the industrial domain are constructed through the knowledge coupling between digital platforms and ecosystem participants, along with modular and systematic rules (Hanelt et al., 2021). The digital enhancement of individual nodes can amplify the value of the entire network, generating a synergistic effect where “1 + 1 > 2” (Zeng & Zhang, 2021). Third, human capital accumulation, as the outcomes of digital skills training diffuse across firms through labor mobility (W. Wei et al., 2025). These public goods attributes are reflected not only in economic benefits such as improvements in total factor productivity but also in social benefits, including bridging the digital divide and optimizing employment structures.
Within the context of inter-organizational networks, the public goods attributes of digital inclusion ecosystems diffuse throughout industrial clusters via neighborhood effects. Due to knowledge spillovers, network effects, and human capital mobility, the benefits of a firm’s digital practices or the provision of inclusive digital services within the ecosystem are not confined to that firm. Instead, they spread to surrounding enterprises through established industrial linkages, personnel movement, or social networks (Träskman & Skoog, 2022). This implies that investment in, or empowerment of, a node within the ecosystem can generate social returns extending beyond that specific node, fostering an overall enhancement of the digitalization level and collaborative development within the entire regional or industrial network, thereby strengthening the collective innovation capacity and competitiveness of the industrial cluster (Queiroz et al., 2020).

3. Model Construction

3.1. Network Construction

Suppose n cluster firms constitute an industrial cluster network G 0   =   ( D 0 ,   L 0 ) , where D 0   =   { d 1 ,   d 2 ,   ,   d n } is the set of nodes representing the n firms, and L 0   =   { l 11 ,   l 12 ,   ,   l nn } is the set of directed edges. A neighbor is defined as a firm that has direct business transactions with a given firm. For firms that are mutual neighbors, their business interactions are realized through the multi-dimensional coupling of resource flows, capital flows, and information flows. This coupling relationship determines the compatibility of the digital inclusion ecosystem. Firms engaged in business transactions exhibit system compatibility, while those lacking such connections demonstrate system heterogeneity. This neighborhood effect results in investment returns from the digital inclusion ecosystem having a localized spillover characteristic, where only neighboring nodes within the network topology can absorb the non-excludable benefits of ecosystem construction. If firm d i ( d i D 0 ) is a neighbor of firm d j ( d j D 0 ) , then l ij   =   1 ; otherwise, l ij   =   0 . Here, firm d i is the source node initiating the business flow, and firm d j is the target node receiving it. Conversely, if d j is the source and d i the target, then l ji   =   1 . Resource, capital, and information flows follow the business direction from the source to the target node, with the target node receiving the investment return spillovers from the source. After firm d i initiates a business flow, the set of neighbour firms receiving this business is N i   =   { j     i   |   l ij   =   1 } , and the total number of such neighbors is l i   =   j = 1 n l ij . All parameters are provided in Abbreviations.
A single “platform-type chain leader” is embedded into this network structure, forming bidirectional links with the cluster firms. The cluster firms display product information and provide services (e.g., purchasing, after-sales, booking) along with their data elements on the platform. In return, the platform provides the cluster firms with data elements such as logistics, industry, competitor product, and competitor store information. This integration yields a new network G   =   ( D , L ) , where the platform firm is denoted as node d n + 1 . The new node set is D   =   { d 1 ,   d 2 ,   ,   d n ,   d n + 1 } , and the new edge set is L   =   { l 11 ,   l 12 ,   ,   l ( n + 1 ) ( n + 1 ) } . Finally, we employed the Watts–Strogatz model (Watts & Strogatz, 1998) to construct the small-world network and the Barabási–Albert model (Barabási & Albert, 1999) to construct the scale-free network, reflecting the distinct topological characteristics of each.
The small-world industrial cluster network is generated through the following steps. First, a scalable two-dimensional plane is generated where each cluster firm is placed as a node. All nodes are arranged in a ring on the plane, and each node connects to its k nearest neighbors. The parameter k = i = 1 n l i n ,   represents the initial network’s average out-degree, meaning each node d i has an out-degree of l i   =   k . Second, for each node, with probability q , an existing edge is randomly rewired: a connection to one neighbor is severed, and a new connection is established to a randomly selected other node, prohibiting self-loops and duplicate links. Third, after considering rewiring for every node in the original lattice with probability q , the small-world network for the cluster firms is obtained. Finally, the platform firm node is established and connected to all nodes in the network. Although connections in the classical Watts–Strogatz small-world model are undirected, we assigned a bidirectional direction to each edge to align with the payoff model, representing the flow of business transactions.
The scale-free industrial cluster network is generated as follows. First, a scalable two-dimensional plane is generated, and m 0 firms are placed as initial nodes. Second, new firms join the network sequentially as additional nodes, connecting to existing nodes. The probability q i that a new node connects to an existing node d i follows a preferential attachment rule: q i   =   l i + j = 1 n l ji L 0 ,   where the denominator L 0 is the total degree of all nodes. Self-loops and duplicate connections are prohibited. Third, the process of adding nodes stops when the total number of firms reaches n , resulting in a directed scale-free network for the industrial cluster. Throughout this process, the network’s average out-degree k is controlled. Finally, the platform firm node is established and forms bidirectional links with the nodes in the network.

3.2. Game-Theoretic Model

Building upon the networked characteristics of industrial clusters and the quasi-public goods attributes of the digital inclusion ecosystem, we adopted a non-standard public goods game model with neighborhood effects as its analytical framework. The model’s core assumptions include non-excludable spillover benefits that players can obtain from their neighbors’ strategic choices, and a binary strategy set of ‘Invest’ or ‘Not Invest’. When a firm chooses to invest, it signifies participation in the co-construction of the digital inclusion ecosystem and bears the associated costs. Conversely, choosing not to invest represents free-riding behavior, allowing the firm to avoid construction costs. The strategy profile for all participating cluster firms is denoted as λ   =   { λ 1 ,   λ 2 , ,   λ n + 1 } .
Within the digital inclusion ecosystem, the platform enterprise assumes a dual role as both a public actor and an economic agent. Its public actor attribute compels it to aim for the maximization of benefits for the affiliated industrial cluster; as a market-oriented entity, its economic agent attribute drives it to pursue its own profit maximization. Consequently, the platform enterprise must strategically balance between empowering the industrial cluster and pursuing its own developmental objectives.
Each firm participates in the network as a game player. We considered a finite population, meaning the total number of firms was fixed at n   +   1 . The number of neighbors and the direction of business flows differ among firms, leading to variations in their respective payoff matrices. From the perspective of firm d i , the number of players in its local interaction is 1   +   l i , comprising itself and its neighbors. Each player’s investment cost is c ( c   >   0 ) , and the return coefficient on investment is r ( r   >   1 ) . Due to the neighborhood effect, only neighbor firms that are the target (receiving) nodes of business flows can share in the investment returns from a firm that chooses to invest.
Therefore, a firm d i that adopts the investment strategy ( λ i =   1) obtains a return of rc 1 + l i - c from its own investment. The neighbors receiving business from d i will each gain a spillover return of rc 1 + l i from d i . A firm d i that chooses not to invest ( λ i = 0) receives no return from its own action and confers no benefits to its neighbors. If d j is a source node and d i a target node (i.e., l j i = 1 ), then d i will receive a spillover return of rc 1 + l j from an investing neighbor d j (where λ j = 1 ). Consequently, the actual payoff R i for firm d i after one game round is given by:
R i   =   λ i ( rc 1   +   l i c )   + j = 1 n + 1 l ji λ j rc 1   +   l j
Within this model, the platform enterprise’s objective of profit maximization exhibits dual dependency. Its position, being on par with all cluster firms within the industrial cluster and engaging in bidirectional business exchanges, means that its revenue level is closely tied to the strategic choices of its neighbor firms. Specifically, the platform enterprise benefits from positive externalities when all of its neighbor nodes adopt the investment strategy. Simultaneously, profit maximization also depends on the density of business connections between the platform and cluster firms; establishing an extensive network of business interfaces with firms engaged in digital inclusion co-construction can significantly enhance the platform’s revenue.
From the perspective of the cluster firms’ strategic choices, their decision-making exhibits a threshold effect. When 1   +   l i   <   r , individual rationality aligns with collective rationality. In this scenario, a cluster firm adopting the investment strategy not only maximizes its individual payoff but also promotes the overall payoff of the industrial cluster. When r   =   1   +   l i , the system reaches a critical tipping point in the game dynamics, marking the threshold where strategic choice shifts from being dominated by individual rationality to being dominated by collective rationality. When 1   <   r   <   1   +   l i , individual and collective rationality diverge. Cluster firms are inclined to choose not to invest to maximize their individual payoffs. However, from the collective perspective of the industrial cluster, optimal overall payoff is achieved only when all cluster firms choose to invest. This contradiction reveals the “Prisoner’s Dilemma” faced by cluster firms in the co-construction of the digital inclusion ecosystem.

3.3. Evolutionary Rules

Evolutionary rules describe the behavioral logic by which participants dynamically adjust their strategies in pursuit of higher payoffs, constituting a core mechanism in complex network game analysis. Within the evolutionary game framework, the emergence and sustainability of cooperative behavior are influenced not only by network structure but also crucially by the evolutionary rules themselves. Under the assumption of bounded rationality, individuals select and compare payoff differences with reference entities, iteratively updating their own strategies to gradually optimize their payoffs. This strategy update mechanism is not only a key element in capturing the fundamental dynamics of complex network evolution but is also a vital perspective for understanding the emergence of collaborative behaviors such as co-construction and co-creation. Evolutionary game theory often draws upon biological evolution strategies or social decision-making mechanisms to design evolutionary rules, such as replicator dynamics (Vukov & Szabó, 1998), Fermi learning (Ohtsuki et al., 2006), and the Moran process (Pan et al., 2015). The problem of digital inclusion ecosystem co-construction examined in this study is analogous to a public goods game. However, learning mechanisms that are overly complex or tailored to specific environments often fail to adapt to a heterogeneous real world, potentially undermining model interpretability (K. Chen & Meng, 2020). Balancing considerations of classical foundation and general applicability, we incorporated Fermi learning into our system of evolutionary rules. The fundamental logic of the classical Fermi algorithm is as illustrated below (Figure 1).
The core mechanism of Fermi learning involves a game participant randomly selecting a neighbor as a reference and comparing payoffs via the Fermi function to decide whether to imitate that neighbor’s strategy (Ohtsuki et al., 2006). According to organizational learning theory, however, firms base their strategic responses on both social and historical aspirations. Therefore, this study adopted a modified Fermi learning algorithm incorporating performance feedback as the evolutionary rule. The basic logic of the algorithm is illustrated in Figure 2.
To simplify the game process, this study used only the payoff obtained from the game as the performance indicator. Performance indicator indicators were divided into social aspiration and historical aspiration (Greve, 1998). Social aspiration refers to a firm’s performance target derived from peer firms within its social context. Historical aspiration refers to a performance benchmark set by the firm based on its own past performance levels. Organizational performance feedback theory contains two core tenets (Greve, 2003): first, when performance meets or exceeds aspiration levels, firms tend to persist with their past strategic actions to maintain satisfactory performance; second, when performance falls below the aspiration levels, firms engage in strategic change to ameliorate performance shortfalls or rebuild competitive advantage. The specific rules are as follows:
After randomly setting the strategies for the initial round and calculating the resulting payoffs for all firms in the supply network, only one firm updates its strategy per unit of time. In the selection stage, a firm d i is chosen at random to update its strategy. Firm d i then randomly selects a firm d j as its reference. In the social aspiration stage, firm d i decides with probability θ i j whether to consider learning firm d j ’s strategy. If firm d i decides not to learn, it proceeds directly to the response stage, manifesting as maintaining the status quo. If firm d i decides to learn, it enters the historical aspiration stage. This stage constitutes a trial phase for firm d i to test the new strategy. In this stage, firm d i tentatively changes its strategy to match firm d j ’s strategy, while the strategies of all other firms in the network remain unchanged. The actual payoff for firm d i after this hypothetical change is recalculated. If the post-learning performance is lower than the pre-learning performance (i.e., the payoff after the change is lower than before), then firm d i ultimately rejects firm d j ’s strategy, manifesting in the response stage as maintaining the status quo. Conversely, if the post-learning performance is not lower than the pre-learning performance, firm d j ultimately adopts firm d j ’s strategy, manifesting in the response stage as a strategy change.
The probability θ i j is determined by the Fermi function, specifically expressed as:
θ i j   =   1   1   +   exp ( R i R i σ )
In this formula, θ i j denotes the probability that firm i imitates firm d j , and R i and R i represent the payoffs of firms d i and d j from the most recent game round. σ represents the noise value, capturing decision-making uncertainty. When σ 0 , firm d i tends toward perfectly rational decision-making, and the learning process becomes deterministic, entirely governed by payoff differences. When σ , firm d i tends toward irrational decision-making, and the learning process becomes random, entirely independent of payoff comparisons.

3.4. Monte Carlo Simulation

Monte Carlo simulation serves as a numerical computation method grounded in probability and statistics, whose essence lies in approximating the behavioral characteristics of complex systems through stochastic sampling processes. By generating a large number of random samples and leveraging the law of large numbers, this method achieves statistical estimation of the target problem. It is particularly well-suited for systems too complex for analytical solutions or problems lacking closed-form analytical expressions (S. Li & Feng, 2022). In this study, the digital inclusion ecosystem within industrial clusters involved multifaceted complexities, including multi-agent interactions, nonlinear feedback, and high stochasticity, rendering traditional analytical methods inadequate for capturing the system’s dynamic evolution. To better approximate real-world conditions, multiple stochastic mechanisms were introduced into the simulation process: firstly, randomness in generating the topology of the directed scale-free network; secondly, randomness in the initial strategy set; thirdly, randomness in the selection of agents for asynchronous strategy updates via Fermi learning; and fourthly, randomness in the selection of reference agents during the Fermi learning process. These stochastic elements can influence game outcomes and may even lead to extreme scenarios. Consequently, this study employed the Monte Carlo simulation method, conducting a substantial number of independent repeated experiments to mitigate the effects of randomness and ensure the robustness and reliability of the findings.
Each iteration of the Fermi learning process is followed by a calculation of the proportion of cluster firms in the network adopting the investment strategy relative to the total number of cluster firms, denoted as P ( x t ) . To ensure data comparability, the platform enterprise, acting as an opinion leader, was excluded from the calculation of P ( x t ) . Following Monte Carlo simulations, the mean proportion of cluster firms adopting the investment strategy—referred to as investors—across all cluster firms, denoted as P y , can be calculated as follows:
P y   =   1 T t = 1 T P ( x t )
In this formula, x represents the number of game iterations, t denotes the t -th Monte Carlo simulation, and T is the total number of Monte Carlo simulations. According to the law of large numbers and method of moments estimation, the sample average in Monte Carlo simulations converges to the expected value as the sample size T approaches infinity. The Monte Carlo step is an important temporal unit for measuring the progress of the game evolution. Within one Monte Carlo step, the system typically executes a number of game iterations equal to the number of nodes in the network. This ensures, in a statistical sense, that each cluster firm node has at least one opportunity to be selected as the agent for Fermi learning within that step.

4. Numerical Simulation and Analysis

4.1. Network Generation

To derive valid and robust conclusions, network parameters were configured based on the established literature. We generated complex networks with parameters n   =   20 and k   =   4 (Watts & Strogatz, 1998), n   =   200 and k   =   6 (Q. Wei & Shi, 2017) for model simulation. For the small-world network, the edge-rewiring probability was set to q   =   0.05 (Q. Wei & Shi, 2017), while for the scale-free network, the initial number of firms was set to m 0   =   4 or m 0   =   20 , respectively (Y. Zhang & Qian, 2014). The evolutionary process involved T   =   100   independent Monte Carlo simulations (H. Wang et al., 2023). To enhance the comparability and controllability of the simulated data, a progressive approach was adopted for constructing the complex networks. The parameter values for the four types of industrial cluster networks are summarized in Table 1.
The construction process comprised three stages. In the first stage, small-world and scale-free industrial cluster networks were generated separately, establishing the initial network structures. In the second stage, a platform enterprise was added to the network as node n   +   1 , creating connections with the co-constructing firms. In the third stage, the platform enterprise was linked to all firms within the industrial cluster. An example of the complex network establishment process for n   =   20 and k   =   4 following these steps is illustrated in Figure 3.
This progressive construction method offers dual advantages. On the one hand, it preserves the potential randomness inherent in real-world networks through the introduction of stochastic connection mechanisms. On the other hand, by controlling the gradual increase in connections, it renders the network embedding process of the opinion leader observable and regular, thereby significantly enhancing data comparability across different simulation scenarios and providing a reliable network foundation for subsequent evolutionary game analysis.

4.2. Impact of Investment Return Coefficient on Evolution

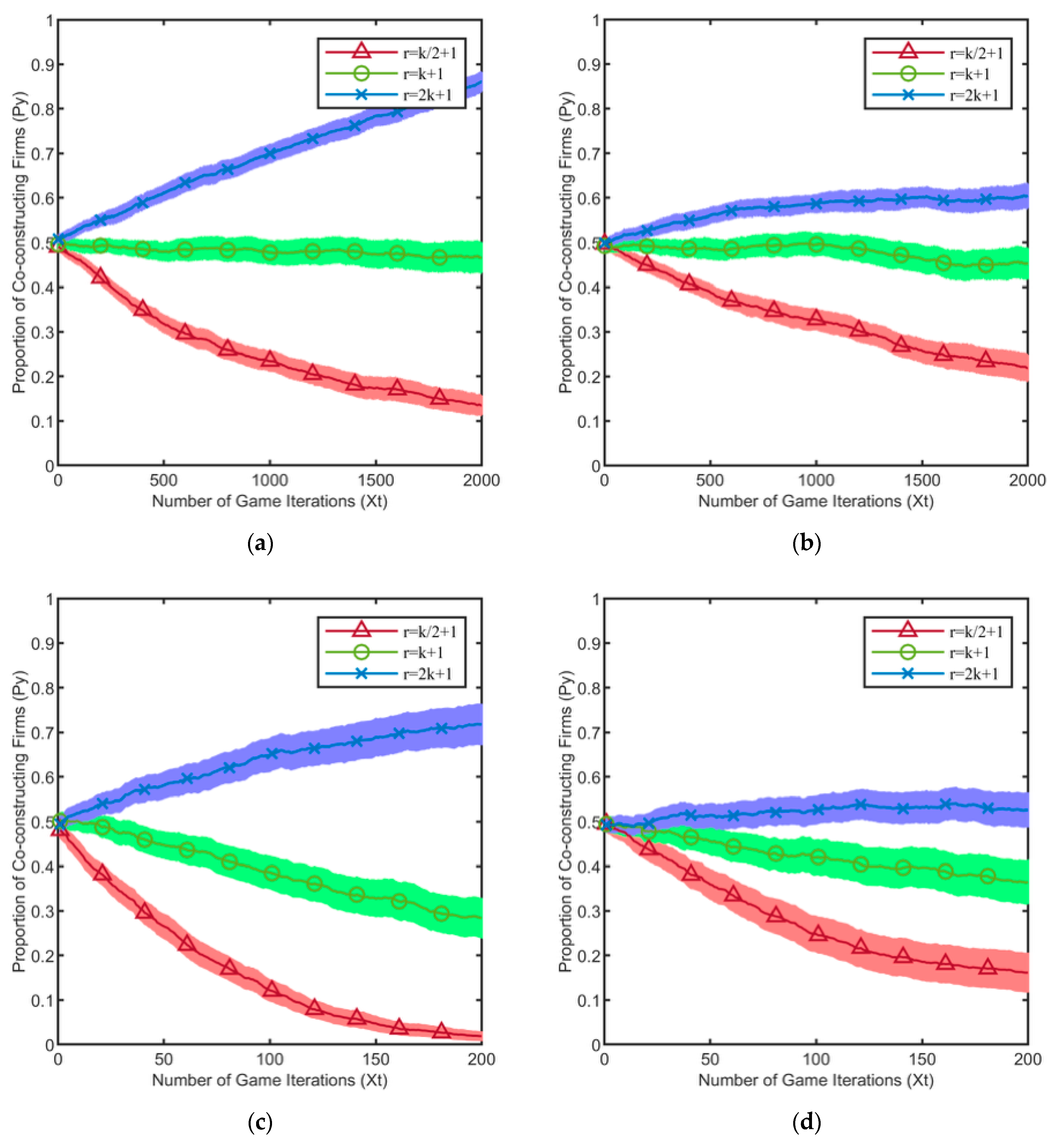
In the public goods game model, the investment return coefficient is a key variable determining the evolutionary outcome. Given the heterogeneity in the number of neighbors among firms in an industrial cluster, the effective number of players for firm i can be expressed as 1   +   l i . To comprehensively investigate the investment return effect, we examined three scenarios: r   =   k / 2   +   1 ,   r   =   k   +   1 and r   =   2 k   +   1 . In all three cases, the investment return coefficient r was greater than 1, meaning that any cluster firm’s investment increases the total payoff of the industrial cluster.
When r   =   k / 2   +   1 , cluster firms in both complex network types satisfied 1   <   r   <   1   +   l i , indicating the return is insufficient to incentivize widespread cooperation. When r   =   k   +   1 , most cluster firms reached the critical threshold r   =   1   +   l i , placing the game dynamics at a phase transition point between cooperation and free-riding. When r   =   2 k   +   1 , the condition 1   +   l i   <   r was satisfied, creating favorable conditions for the evolution of cooperation.
Simultaneously, the investment cost was fixed at c   =   10 to isolate the effect of c . on the evolution. To control for the influence of the noise value σ , it was fixed at σ = 0.1 , indicating that the decision-making process of game participants is boundedly rational (Q. Wang et al., 2018). To ensure data comparability, the network from the first stage without the platform enterprise and the standard Fermi learning rule and without performance feedback were used as the baseline scenario, thereby excluding the interference from the performance feedback mechanism and platform intervention. To ensure data comparability, the first-stage network (without platform enterprise intervention) served as the baseline. The game evolution results within 10 Monte Carlo steps are shown in Figure 4.
The results indicate that increasing the investment return coefficient demonstrates a clear incentivizing effect. As r increases, cluster firms, motivated by higher returns, exhibit a stronger tendency to adopt the investment strategy. As shown in Figure 4, regardless of whether the network was small or large, both small-world and scale-free industrial cluster networks exhibited similar evolutionary patterns. When r is below the critical value k   +   1 , free-riding behavior is prevalent among cluster firms. When r   =   k   +   1 , the proportion of co-constructing firms still declines gradually. When k   +   1   <   r   =   2 k   +   1 , the proportion of co-constructing firms increases progressively with the number of game iterations.

4.3. Impact of Performance Feedback on Evolution

Across the four types of industrial cluster networks examined in Figure 4, under the three return coefficients r   =   k / 2   +   1 , r   =   k   +   1 , and r   =   2 k   +   1 , the number of firms adopting the investment strategy within the complex network was positively correlated with collective payoff. Under these conditions, where r   >   1 , the supply network achieves the optimal payoff when all firms choose the investment strategy. The impact of performance feedback on the evolutionary process within 10 Monte Carlo steps is illustrated in Figure 5.
Performance feedback inclines firms toward greater individual rationality. As shown in Figure 5, the four network types yielded similar evolutionary outcomes and exhibited comparable trends. When r = k/2 + 1, individual and collective rationality are in opposition, and performance feedback accelerates the decline in the proportion of co-constructing firms within the industrial cluster. When r = k +1, the system reaches the critical transition point in game dynamics; with performance feedback considered, the number of co-constructing firms approaches the number of non-co-constructing firms. When r = 2k + 1, individual and collective rationality align, and performance feedback accelerates the increase in the proportion of co-constructing firms within the industrial cluster.

4.4. Impact of Platform Enterprise Strategies on Evolution

To streamline the analysis, the network models focused on Network Type 1 and Network Type 2. With fixed parameters of c   =   10 and T   =   100 , three investment return coefficients were examined: r   =   k / 2   +   1 ,   r   =   k   +   1 , and r   =   2 k   +   1 . Under these coefficients, maximizing the industrial cluster’s payoff requires all firms within the cluster to adopt the investment strategy. Since maximizing the industrial cluster’s payoff is the objective of the platform enterprise in its “public actor” role, it consistently maintains an investment strategy, i.e., λ n + 1   =   1 . Concurrently, maximizing its own payoff is the goal of the platform enterprise as an “economic agent”. Therefore, connecting exclusively with co-constructing firms to capture their spillover benefits constitutes the platform’s optimal connection strategy.
Furthermore, as a market participant, the platform can also choose to leverage its resource allocation function to reward cooperative behavior. Within the digital ecosystem of an industrial cluster, the platform enterprise functions as a central hub for resource orchestration and value integration. It possesses the capacity to formulate and implement policies that direct the flow and intensity of resource allocation across the cluster network. To incentivize participation in the co-construction of a digital inclusion ecosystem, the platform may, for instance, offer additional payoff subsidies to cooperative firms. We modeled such value empowerment as a closed-loop transfer process: when a co-constructing firm receives an empowerment value e from the platform, this value is not created ex nihilo but is transferred directly from the platform’s own payoff, which is correspondingly reduced by e . This assumption reflects the inherent redistribution constraint underlying platform-enabled value transfer.
In formulating specific empowerment policies, the platform takes into account both the external market environment and the internal structural characteristics of the network. We assume that the platform determines the empowerment value e according to the following formula, which responds dynamically to the macro-level investment return coefficient and the network density of the industrial cluster: e   =   rc 2 ( 2 + k ) . This design implies that the platform institutes an incentive policy that allocates resources in response to the average node degree k and the investment return coefficient r , guided by a principle of quasi-average redistribution. The policy seeks to strike a balance between incentivizing co-construction behavior and maintaining the platform’s own sustainability. “Platform Connecting to Entire Industrial Cluster” and “No Platform Access” served as control groups. To ensure data comparability, the platform’s investment behavior was excluded from the calculation of P . The resulting effects of platform enterprise strategies on the evolutionary dynamics are presented in Figure 6.
Platform empowerment incentivizes cluster firms to co-construct the digital inclusion ecosystem. As shown in Figure 6, for both Network Type 1 and Network Type 2, and regardless of the magnitude of the investment return, the strategy of “Platform Empowering Co-constructing Firms” resulted in a higher proportion of co-constructing firms among all cluster firms compared to the strategy of “Platform Connecting to Co-constructing Firms” and also exceeded the “No Platform Access” strategy. This indicates that under the “Platform Empowering Co-constructing Firms” strategy, cluster firms are more inclined to adopt the investment strategy. As seen in Figure 6, when r   =   k + 1 , the proportion of co-constructing firms showed the most rapid growth. This suggests that when individual and collective rationality are at the critical transition between opposition and alignment, the platform’s selective empowerment more effectively incentivizes the industrial cluster to co-construct the digital inclusion ecosystem.
Notably, when r   =   k   +   1 , simply embedding the platform within the industrial cluster without active empowerment led to a decline in the willingness to co-construct, regardless of whether the cluster had a small-world or scale-free structure. As shown in Figure 6c,d, under both the “Platform Connecting to Co-constructing Firms” and “Platform Connecting to Entire Industrial Cluster” conditions, the proportion of co-constructing firms decreased rapidly as the number of game iterations increased. Furthermore, network structure also influences the willingness to cooperate. In Figure 6c,d, where all conditions except network structure were identical, when the platform adopted the “Connect to Entire Industrial Cluster” strategy, the proportion of co-constructing firms declined faster in the scale-free network than in the small-world network.

5. Further Analysis

5.1. Impact of Investment Return Coefficient on the Effectiveness of Platform Enterprise Strategies

Building upon the established finding that platform enterprise empowerment incentivizes cluster firms to co-construct the digital inclusion ecosystem, we now examine the incentive utility of platform strategies under different investment return coefficients. To ensure data comparability, parameters were fixed at c   =   10 ,   T   =   100 ,   λ n + 1   =   1 , and e   =   rc 2 ( 2 + k ) . The evolutionary outcome of cluster firms at the conclusion of the 10th Monte Carlo step is shown in Figure 7.
The incentive effect of platform empowerment is most pronounced when the investment return coefficient approaches the average out-degree of the network nodes. As shown in Figure 7, regardless of changes in network size or structure, two patterns emerged. First, as the investment return coefficient increased, the proportion of firms adopting the investment strategy—referred to as co-constructing firms—also increased. Second, when the investment return coefficient approached the network density k , the proportion of co-constructing firms rose sharply. It is worth noting that the closer the investment return coefficient is to k , the larger the gap between the P y value under the “Platform Empowers Co-constructing Firms” strategy and that under the “No Platform Access” scenario.
Furthermore, network structure influenced the effectiveness of the “Platform Empowers Co-constructing Firms” strategy, while network scale influenced the effectiveness of the “Platform Connects to Co-constructing Firms” strategy. As illustrated in Figure 7, under identical conditions, the upper bound of the P y value in small-world networks exceeded that in scale-free networks.

5.2. Impact of Platform Enterprise Strategies on Platform Revenue

While platform empowerment has been shown to promote the co-construction of the digital inclusion ecosystem—fulfilling its public actor role—the economic agent role requires the platform to pursue its own profit maximization. This section examines the impact of different platform strategies on the platform’s revenue under varying investment return coefficients. To ensure data comparability, parameters were fixed at c   =   10 , T   =   100 , λ n + 1   =   1 and e   = rc   2 ( 2 + k ) . The trajectory of platform revenue as a function of r at the conclusion of the 10th Monte Carlo step is shown in Figure 8.
Platform revenue under the “empowerment” strategy declined more markedly in small-world networks than in scale-free networks. As shown in Figure 7, the total revenue for the platform enterprise increased with the investment return coefficient r under both the “Platform Connecting to Co-constructing Firms” and “Platform Connecting to Entire Industrial Cluster” strategies. Notably, under identical conditions, the “Platform Empowering Co-constructors” strategy resulted in a balanced revenue outcome for the platform in scale-free networks, whereas in small-world networks, this strategy led to a gradual decline in total platform revenue as the investment return coefficient increased. This indicates that despite continuous optimization of the investment environment, the platform’s losses may actually widen under certain network structures.
Furthermore, once the investment return coefficient r exceeded the network density k , an interval emerges—regardless of whether the cluster had a small-world or scale-free structure—where the total revenue from the “Platform Connecting to Co-constructing Firms” strategy diverged significantly from that of the “Platform Connecting to Entire Industrial Cluster” strategy. For Network Types 1 and 2, this interval spanned r   =   6 to r   =   9 ; for Network Types 3 and 4, it spanned r   =   3 to r   =   7 . Crucially, within this interval, the platform’s selective connection to co-constructing firms yielded greater utility for ecosystem co-construction than connecting to the entire cluster. This suggests that the “Platform Connecting to Co-constructing Firms” strategy represents a superior approach for the platform enterprise, better aligning with its dual identity as both a public actor and an economic agent.

5.3. Impact of Platform Enterprise Strategies on Industrial Cluster Revenue

While platform empowerment strategies facilitate the co-construction of the digital inclusion ecosystem, they may also reduce the platform’s own total game payoff. An industrial cluster comprises producers, distributors, suppliers, and other economically-driven entities. If the platform’s actions fail to generate net benefits for the cluster, their practical relevance would be limited. This section examines the impact of platform strategies on total cluster revenue under different investment return coefficients. To ensure comparability, total revenue was calculated inclusive of the platform enterprise, with parameters fixed at c   =   10 , T   =   100 , λ n + 1   =   1 and e   =   rc 2 ( 2 + k ) . The trajectory of total cluster revenue as a function of r at the conclusion of the 10th Monte Carlo step is shown in Figure 9.
The positive impact of platform enterprise empowerment on the overall revenue generated from the co-construction of a digitally inclusive ecosystem within industrial clusters is greatest when the investment return coefficient approaches the average out-degree of the network nodes. As shown in Figure 9a,b, regardless of whether the industrial cluster exhibited a small-world or scale-free network structure, the “Platform Empowers Co-constructing Firms” strategy demonstrated a distinct interval of influence. When the investment return coefficient gradually increased toward k, the total revenue generated by the “Platform Empowers Co-constructing Firms” strategy for the industrial cluster gradually surpassed that generated under the “No Platform Access” condition. When the investment return coefficient continued to increase beyond and move away from k, the gap between the total revenue generated by the “Platform Empowers Co-constructing Firms” strategy and that generated under the “No Platform Access” condition gradually narrowed. It is worth noting that when the network scale is large, the effect of selective empowerment by the platform becomes more pronounced. As illustrated in Figure 9, for Network Types 1 and 2, this interval of influence for the “Platform Empowers Co-constructing Firms” strategy spanned from r   =   4 to r   =   8 , whereas for Network Types 3 and 4, the corresponding interval spanned from r   =   2 to r   =   6 .

6. Conclusions, Recommendations and Limitations

6.1. Conclusions

Based on the small-world and scale-free characteristics of industrial clusters, the pivotal role of platform enterprises as chain leaders, and the public goods nature of digital inclusion, this study constructed a complex network public goods evolutionary game model, utilizing a Fermi learning algorithm incorporating performance feedback as the evolutionary rule. Through Monte Carlo simulations, we analyzed the impact of investment cost, investment return coefficient, and performance feedback on network evolution. Furthermore, we investigated the effect of the investment return coefficient on the effectiveness of platform strategies, as well as the impact of these strategies on both platform revenue and overall industrial cluster revenue. The main findings are summarized as follows. (1) The investment return coefficient serves as the core driving mechanism for the co-construction of digital inclusion ecosystems within industrial clusters. (2) The introduction of a performance feedback mechanism renders firm decision-making more closely aligned with individual rationality. (3) Platform enterprises, acting as inter-organizational network managers, can effectively advance the co-construction of digital inclusion ecosystems through their empowerment behaviors. (4) The empowerment behaviors of platform enterprises exert a significantly positive role in the co-construction of digital inclusion ecosystems. This positive effect is manifested not only in an increased proportion of cooperative firms but also in the improvement of overall industrial cluster revenue. However, platform enterprises face a trade-off dilemma while fulfilling their public functions, as they experience a decline in their own revenue—a loss that is particularly pronounced in scale-free network structures. This study confirms that the optimal strategy for platform enterprises is not to indiscriminately connect with all firms, but rather to selectively empower co-constructing firms. Such a strategy not only maximizes the digital inclusion benefits of the industrial cluster but also achieves a dynamic balance between the platform’s dual roles as a public actor and an economic agent.

6.2. Recommendations

Based on the aforementioned conclusions, the following recommendations are proposed to foster a pattern of digital inclusion ecosystem co-construction within industrial clusters.
Government Level: Exercising Macro-Level Guidance and Institutional Safeguarding. As policymakers and shapers of the market environment, the government’s core responsibility is to rectify market failures through top-level design, providing positive incentives and institutional guarantees for the co-construction of the digital inclusion ecosystem. Firstly, implement precise fiscal and financial policy instruments. For instance, offer tax credits for corporate digital transformation investments, establish dedicated subsidy funds, or provide low-interest loans. The key is to align the intensity of such support with the cluster’s network density and the critical investment return threshold, ensuring effective intervention during the most vulnerable phases of cooperation. Secondly, take a leading role in advancing the development of digital public infrastructure. Invest in building open data platforms, industry-specific clouds, and public computing centers to lower the access barriers and costs for SMEs in acquiring and using digital technologies, fundamentally altering the accessibility of digital resources. Furthermore, it is crucial to establish robust data governance and benefit-sharing rules. Clarify data ownership, circulation standards, and security protocols to alleviate firms’ concerns regarding data sharing. Concurrently, enact legislation and regulations to prevent platform enterprises from abusing market dominance, ensure fair competition within the ecosystem, and foster a policy environment that encourages both innovation and inclusive prosperity.
Platform Enterprise Level: Fulfilling ‘Chain Leader’ Responsibilities and Innovating Empowerment Models. Platform enterprises, occupying central structural holes within the industrial cluster network, wield influence through their behavioral choices that serve as a bellwether for the entire ecosystem. They must transcend the purely profit-driven “economic agent” role and proactively assume “quasi-public” functions, leading inclusive development through technology spillovers, rule-setting, and resource coordination. Specifically, platforms should move away from one-size-fits-all connection strategies and instead implement differentiated empowerment based on firms’ digital maturity. For example, prioritize providing high-quality resources—such as traffic support, data insights, technical tools, and financing channels—to actively co-constructing firms, creating a virtuous cycle where “contributors gain preferential treatment”. Simultaneously, platforms should leverage their data advantage to establish transparent performance feedback and credit rating systems. This makes the cooperative efforts and contributions of cluster firms quantifiable, visible, and recognized, thereby reducing information asymmetry and building mutual trust. Furthermore, platform enterprises should explore novel cooperation mechanisms featuring shared benefits and risks with the industrial cluster, such as jointly investing in new digital infrastructure projects. This deeply embeds their own development within the long-term value creation of the cluster, facilitating a transition from the role of a “resource extractor” to that of an “irrigator”.
Industrial Cluster Firm Level: Strengthening Agency and Collaborative Synergy. SMEs constitute the main body of industrial clusters, and their collective action choices form the micro-foundation determining the success of the digital inclusion ecosystem. Cluster firms must overcome short-sighted “free-riding” mentalities and recognize that digital investment is not merely a cost but a strategic imperative for long-term survival and competitiveness. Firms should proactively integrate into the platform ecosystem, utilizing the tools and services provided to undertake digital “catch-up”—conducting comprehensive upgrades from production process optimization and industrial cluster management to marketing—and transforming external empowerment into endogenous capabilities. More importantly, firms should build trust-based collaborative networks among themselves. By forming industrial alliances, shared laboratories, or talent training consortia, they can facilitate technical exchange and knowledge sharing, generating a multiplier effect from knowledge spillovers. Firms should also adeptly utilize performance feedback mechanisms for learning, using their own historical performance and the social expectations derived from peers as benchmarks for strategy adjustment. Through imitation and experimentation, they can gradually identify stable, cooperative, and win–win strategies, thereby collectively overcoming the “Prisoner’s Dilemma” at the group level and transforming their role from passive adaptors to active co-constructors.

6.3. Limitations

Although this study developed a game model integrating complex networks and a performance feedback mechanism, yielding a series of insightful conclusions, several limitations remain. Future research could build upon this work for further depth and expansion.
First, the model assumes that digital inclusion ecosystems are pure public goods. While this captures the essence of free-riding, some digital assets exhibit partial excludability, and resources like computing power or bandwidth become congestible. Our uniform spillover rule simplifies reality but may miss heterogeneous benefit distribution. Future research could incorporate complex payoff functions or threshold mechanisms under club good or common-pool resource conditions.
Second, the network topologies are stylized. Using small-world and scale-free networks helps isolate structural effects, yet digital inclusion co-construction involves multiple stakeholders—industrial policy, non-profit training, and consumer preferences all shape outcomes. Real networks likely exhibit modularity, spatial embeddedness, and core-periphery structures that basic models underrepresent. Subsequent work should employ empirically calibrated networks or advanced generators such as stochastic block models and spatial networks to test robustness under more realistic topologies.
Third, the game-theoretic representation remains parsimonious. Performance feedback triggers strategy change only when payoffs do not decline—a simple learning heuristic based on historical and social comparison. To foreground public good logic, we modeled uniform spillovers along randomly directed edges, ignoring heterogeneity in tie strength, power asymmetry, or technical compatibility. Richer specifications—heterogeneous aspiration formation, adaptive search probabilities, or weighted networks—could better capture learning dynamics and payoff distribution.
Fourth, we assumed costless, perfect monitoring of cooperative firms for selective empowerment. This idealized case illustrates the platform’s maximal efficacy as an information hub and resource orchestrator. In practice, monitoring entails costs and faces information asymmetry, data noise, and strategic camouflage. Although modern platforms approximate high-precision monitoring via APIs, transaction streams, credit ratings, and algorithmic inference, imperfect observability and monitoring costs remain real governance constraints. Future studies could relax this assumption by introducing signal noise, monitoring cost functions, or Bayesian learning mechanisms to assess the effectiveness and robustness of platform empowerment under more realistic conditions.

Author Contributions

Conceptualization, D.W. and C.L.; methodology, D.W.; software, C.L.; validation, D.W.; formal analysis, D.W.; investigation, D.W.; resources, D.W. and C.L.; data curation, D.W.; writing—original draft preparation, D.W. and C.L.; writing—review and editing, S.W.; visualization, D.W.; supervision, S.W.; project administration, S.W. All authors have read and agreed to the published version of the manuscript.

Funding

This work was supported by the Key Project of Guangxi Science and Technology Think Tank (Grant No. K-88) from the Guangxi Association for Science and Technology, the Basic Ability Improvement Project for Young and Middle-aged Teachers in Guangxi Universities (Grant No. 2024KY1937) from the Education Department of Guangxi Zhuang Autonomous Region, and the Guangxi Vocational Education Teaching Reform Research Project (Grant No. GXGZJG2024A004) from the Education Department of Guangxi Zhuang Autonomous Region.

Data Availability Statement

The original data and code presented in the study are openly available in OSF Open Science Framework. https://osf.io/9wq87/overview?view_only=c5a3d8d42ddb452a936d6e0e9d92fee2 (accessed on 7 February 2006).

Acknowledgments

The authors would like to acknowledge the computing power support provided by Guangxi City Vocational University.

Conflicts of Interest

The authors declare no conflicts of interest.

Abbreviations

n Total number of firms (nodes) in the industrial cluster
G 0 Initial industrial cluster network
D 0 Set of firms (nodes) in the initial network
L 0 Set of directed edges in the initial network
d i The i -th firm (node) in the network
l ij Directed edge, from node d i to node d j
N i Set of neighbor nodes that receive business from firm d i
l i Total number of neighbor nodes that receive business from d i
G The network after integrating the platform firm
D Set of nodes after integrating the platform firm
L Set of directed edges after integrating the platform firm
d n + 1 The platform enterprise node
k Average out-degree of nodes in the initial network
q Edge rewiring probability in the small-world network
m 0 Number of initial nodes in the scale-free network
q i Connection preference probability for node d i in the scale-free network
λ i Strategy of firm d i
c Single-round investment cost for a firm
r Investment return coefficient
R i Single-round game payoff for firm d i
θ i j Probability that firm d i imitates firm d j
σ Noise parameter in the Fermi function
T Total number of Monte Carlo simulation runs
λ n + 1 Strategy of the platform firm
P ( x t ) Proportion of co-constructing firms (excluding the platform) in the t -th round
P y Monte Carlo average of the proportion of co-constructing firms
x Number of game iterations
t The t -th Monte Carlo simulation run

References

  1. Autor, D., Dorn, D., Katz, L. F., Patterson, C., & Van Reenen, J. (2020). The fall of the labor share and the rise of superstar firms. The Quarterly Journal of Economics, 135(2), 645–709. [Google Scholar] [CrossRef]
  2. Bagley, M. J. O. (2018). Small worlds, inheritance networks and industrial clusters. Industry and Innovation, 26(7), 741–768. [Google Scholar] [CrossRef]
  3. Barabási, A.-L. (2016). Network science. Cambridge University Press. [Google Scholar]
  4. Barabási, A.-L., & Albert, R. (1999). Emergence of scaling in random networks. Science, 286(5439), 509–512. [Google Scholar] [CrossRef]
  5. Barabási, A.-L., Albert, R., & Jeong, H. (1999). Mean-field theory for scale-free random networks. Physica A: Statistical Mechanics and its Applications, 272(1–2), 173–187. [Google Scholar] [CrossRef]
  6. Brass, D. J., Galaskiewicz, J., Greve, H. R., & Tsai, W. (2004). Taking stock of networks and organizations: A multilevel perspective. Academy of Management Journal, 47(6), 795–817. [Google Scholar] [CrossRef]
  7. Brink, T. (2017). SME routes for innovation collaboration with larger enterprises. Industrial Marketing Management, 64, 122–134. [Google Scholar] [CrossRef]
  8. Cai, N., Wu, J., & Yin, M. (2006). The structure and function of industrial clusters’ complex network. Economic Geography, 26(3), 378–382. [Google Scholar]
  9. Chen, D., & Wang, S. (2024). Digital transformation, innovation capabilities, and servitization as drivers of ESG performance in manufacturing SMEs. Scientific Reports, 14(1), 24516. [Google Scholar] [CrossRef]
  10. Chen, J., & Hu, H. (2010). Research on knowledge transfer in industrial cluster network—A case from daminglu automobile sale & service cluster. Science of Science and Management of S & T, 31(2), 100–104. [Google Scholar] [CrossRef]
  11. Chen, K., & Meng, X. (2020). Interpretation and understanding in machine learning. Journal of Computer Research and Development, 57(9), 1971–1986. [Google Scholar] [CrossRef]
  12. Chen, L., & Liu, X. (2024). Industrial spatial coagglomeration, knowledge spillovers and innovation performance: Discussion on the construction path of regional diversified industrial clusters. Economic Research Journal, 59(4), 78–95. [Google Scholar]
  13. Chen, W., & Wang, J. (2021). Platform-dependent upgrade: Digital transformation strategy of complementors in platform-based ecosystem. Journal of Management World, 37(10), 195–213. [Google Scholar] [CrossRef]
  14. China Academy of Information and Communications Technology. (2024). The global digital economy white paper. In Global digital economy conference 2024. China National Convention Center. [Google Scholar]
  15. Çilan, Ç., Bolat, B., & Coşkun, E. (2009). Analyzing digital divide within and between member and candidate countries of European Union. Government Information Quarterly, 26(1), 98–105. [Google Scholar] [CrossRef]
  16. Delgado, M., Porter, M. E., & Stern, S. (2016). Defining clusters of related industries. Journal of Economic Geography, 16(1), 1–38. [Google Scholar] [CrossRef]
  17. Farrell, J. (2003). Integration and independent innovation on a network. American Economic Review, 93(2), 420–424. [Google Scholar] [CrossRef][Green Version]
  18. Gorwa, R. (2019). What is platform governance? Information, Communication & Society, 22(6), 854–871. [Google Scholar] [CrossRef]
  19. Greve, H. R. (1998). Performance, aspirations and risky organizationalchange. Administrative Science Quality, 43(1), 58–86. [Google Scholar] [CrossRef]
  20. Greve, H. R. (2003). A behavioral theory of R&D expenditures and innovations: Evidence from shipbuilding. Academy of Management Journal, 46(6), 685–702. [Google Scholar] [CrossRef]
  21. Hanelt, A., Bohnsack, R., Marz, D., & Marante, C. A. (2021). A systematic review of the literature on digital transformation: Insights and implications for strategy and organizational change. Journal of Management Studies, 58(5), 1159–1197. [Google Scholar] [CrossRef]
  22. Hearnshaw, E. J., & Wilson, M. M. (2013). A complex network approach to supply chain network theory. International Journal of Operations & Production Management, 33(4), 442–469. [Google Scholar] [CrossRef]
  23. Hein, A., Schreieck, M., Riasanow, T., Setzke, D. S., Wiesche, M., Böhm, M., & Krcmar, H. (2020). Digital platform ecosystems. Electronic Markets, 30, 87–98. [Google Scholar] [CrossRef]
  24. Hou, H., & Shi, Y. (2021). Ecosystem-as-structure and ecosystem-as-coevolution: A constructive examination. Technovation, 100, 102193. [Google Scholar] [CrossRef]
  25. Hu, Y., Wang, Z., & Li, X. (2020). Impact of policies on electric vehicle diffusion: An evolutionary game of small world network analysis. Journal of Cleaner Production, 265, 121703. [Google Scholar] [CrossRef]
  26. Huang, J., Ma, C., & Zheng, Y. (2015). Modeling and empirical research on social networks for financial industry clusters. Systems Engineering, 33(11), 11. [Google Scholar]
  27. Hussain, H., Jun, W., & Radulescu, M. (2025). Innovation performance in the digital divide context: Nexus of digital infrastructure, digital innovation, and e-knowledge. Journal of the Knowledge Economy, 16, 3772–3792. [Google Scholar] [CrossRef]
  28. Inegbedion, H. E., Thikan, P. R., David, J. O., Ajani, J. O., & Peter, F. O. (2024). Small and medium enterprise (SME) competitiveness and employment creation: The mediating role of SME growth. Humanities & Social Sciences Communications, 11(1), 1–10. [Google Scholar] [CrossRef]
  29. Inkpen, A. C., & Tsang, E. W. K. (2005). Social capital, networks, and knowledge transfer. Academy of Management Review, 30(1), 146–165. [Google Scholar] [CrossRef]
  30. International Labour Organization. (2019). The power of small: Unlocking the potential of SMEs. Available online: https://www.ilo.org/infostories/en-GB/Stories/Employment/SMEs#power-of-small (accessed on 19 September 2025).
  31. Kenis, P., Schol, L. G. C., Kraaij-Dirkzwager, M. M., & Timen, A. (2019). Appropriate governance responses to infectious disease threats: Developing working hypotheses. Risk, Hazards & Crisis in Public Policy, 10(3), 275–293. [Google Scholar] [CrossRef]
  32. Khurana, I., Dutta, D. K., & Ghura, A. S. (2022). SMEs and digital transformation during a crisis: The emergence of resilience as a second-order dynamic capability in an entrepreneurial ecosystem. Journal of Business Research, 150, 623–641. [Google Scholar] [CrossRef]
  33. Kretschmer, T., Leiponen, A., Schilling, M., & Vasudeva, G. (2022). Platform ecosystems as meta-organizations: Implications for platform strategies. Strategic Management Journal, 43(3), 405–424. [Google Scholar] [CrossRef]
  34. Lentz, R. G., & Oden, M. D. (2001). Digital divide or digital opportunity in the Mississippi delta region of the US. Telecommunications Policy, 25(5), 291–313. [Google Scholar] [CrossRef]
  35. Li, D., Mei, X., & Yi, X. (2024). Research on influence of industry chain linkage effect on diffusion of digital decision making in small and medium-sized manufacturing enterprises: Based on complex network game models. Operations Research and Management Science, 33(11), 218–225. [Google Scholar]
  36. Li, S., & Feng, H. (2022). Study on Mahjong game strategy based on tile prediction and Monte Carlo simulation. Journal of Chongqing University of Technology (Natural Science), 36(12), 148–154. [Google Scholar]
  37. Li, W., & Zhang, G. (2022). Bridging “digital divide” on digital infrastructure supply policy. Contemporary Economic Management, 44(11), 24–30. [Google Scholar] [CrossRef]
  38. Luo, S., & Liu, J. (2024). Enterprise service-oriented transformation and sustainable development driven by digital technology. Scientific Reports, 14(1), 10047. [Google Scholar] [CrossRef]
  39. Lusch, R. F., & Nambisan, S. (2015). Service innovation: A service-dominant logic perspective. MIS Quarterly, 39(1), 155–176. [Google Scholar] [CrossRef]
  40. National Digital Inclusion Alliance. (2023). Definitions. Available online: https://www.digitalinclusion.org/definitions/ (accessed on 21 July 2025).
  41. Ohtsuki, H., Hauert, C., Lieberman, E., & Nowak, M. A. (2006). A simple rule for the evolution of cooperation on graphs and social networks. Nature, 441(7092), 502–505. [Google Scholar] [CrossRef]
  42. Pan, L., Hao, D., Rong, Z., & Zhou, T. (2015). Zero-determinant strategies in iterated public goods game. Scientific Reports, 5(1), 13096. [Google Scholar] [CrossRef] [PubMed]
  43. Parker, G., Van Alstyne, M., & Jiang, X. (2017). Platform ecosystems: How developers invert the firm. MIS Quarterly, 41(1), 255–266. [Google Scholar] [CrossRef]
  44. Provan, K. G., & Kenis, P. (2008). Modes of network governance: Structure, management, and effectiveness. Journal of Public Administration Research and Theory, 18(2), 229–252. [Google Scholar] [CrossRef]
  45. Qiu, Y., & Guo, Z. (2019). Research on the mechanism and policy of digital economy for promoting the upgrading along global value chains of Chinese SMEs. Intertrade, 11, 12–20+66. [Google Scholar] [CrossRef]
  46. Queiroz, M., Tallon, P., Coltman, T., & Sharma, R. (2020, January 6–9). Digital infrastructure, business unit competitiveness, and firm performance growth: The moderating effects of business unit IT autonomy. 53rd Hawaii International Conference on System Sciences, Hyatt Regency Maui, Honolulu, HI, USA. [Google Scholar] [CrossRef]
  47. Rovenskaya, E., Ivanov, A., Hathiari, S., Kotova, D., Scharler, U. M., & Boza, G. (2025). An ecological perspective to master the complexities of the digital economy. npj Complexity, 2(1), 16. [Google Scholar] [CrossRef]
  48. Schleife, K. (2010). What really matters: Regional versus individual determinants of the digital divide in Germany. Research Policy, 39(1), 173–185. [Google Scholar] [CrossRef]
  49. Schreieck, M., Ondrus, J., Wiesche, M., & Krcmar, H. (2025). Platform governance for established companies. California Management Review, 67(4), 48–74. [Google Scholar] [CrossRef]
  50. Shakina, E., Parshakov, P., & Alsufiev, A. (2021). Rethinking the corporate digital divide: The complementarity of technologies and the demand for digital skills. Technological Forecasting and Social Change, 162, 120405. [Google Scholar] [CrossRef]
  51. Shu, H., Tang, F., & Wan, M. (2024). How can industrial internet platform enterprise build a digital inclusive ecosystem? Break the digital divide by combining empowerment and trust. Business and Management Journal, 46(11), 25–46. [Google Scholar] [CrossRef]
  52. Sun, X., & Fan, R. (2023). The gap effect of the digital economy on the total factor productivity of large enterprises and SMEs. Business and Management Journal, 45(8), 45–64. [Google Scholar] [CrossRef]
  53. Tilson, D., Lyytinen, K., & Sørensen, C. (2010). Research commentary—Digital infrastructures: The missing is research agenda. Information Systems Research, 21(4), 748–759. [Google Scholar] [CrossRef]
  54. Träskman, T. I., & Skoog, M. (2022). Performing openness: How the interplay between knowledge sharing and digital infrastructure creates multiple accountabilities. Journal of Strategy and Management, 15(2), 194–219. [Google Scholar] [CrossRef]
  55. United Nations. (2024). Global digital compact. Available online: https://www.un.org/global-digital-compact/en (accessed on 19 September 2025).
  56. Vukov, J., & Szabó, G. (1998). Evolutionary prisoner’s dilemma game on a square lattice. Physical Review E, 58(1), 69–73. [Google Scholar] [CrossRef]
  57. Wang, H., Wei, C., & Deng, Y. (2023). Excitation and control of group intelligence cooperation in network evolutionary game based on special individuals. Scientia Sinica (Technologica), 53(2), 167–176. [Google Scholar] [CrossRef]
  58. Wang, Q., Wang, H., Zhang, Z., Li, Y., Liu, Y., & Perc, M. (2018). Heterogeneous investments promote cooperation in evolutionary public goods games. Physica A: Statistical Mechanics and Its Applications, 502, 570–575. [Google Scholar] [CrossRef]
  59. Wang, S., & Esperança, J. P. (2023). Can digital transformation improve market and ESG performance? Evidence from Chinese SMEs. Journal of Cleaner Production, 419, 137980. [Google Scholar] [CrossRef]
  60. Watts, D. J., & Strogatz, S. H. (1998). Collective dynamics of ‘Small-Word’ networks. Nature, 393(6684), 440–442. [Google Scholar] [CrossRef] [PubMed]
  61. Wei, Q., & Shi, L. (2017). A study of knowledge network structure evolution based on small-world network. Soft Science, 31(7), 135–140. [Google Scholar] [CrossRef]
  62. Wei, W., Wei, Z., & Wang, Y. (2025). The mechanisms and pathways of the mutual promotion between enhancing human capital and bridging the digital divide. Journal of Beijing Normal University (Social Sciences), 1, 53–61. [Google Scholar]
  63. Wen, X., & Wang, L. (2013). Application of small-word and scale-free properties in industrial cluster. Journal of Xidian University (Social Science Edition), 23(1), 56–61. [Google Scholar] [CrossRef]
  64. Wu, Y., & Cai, N. (2010). The ‘Springboard’ strategy of Chinese cluster’s leaping upgrading. China Industrial Economics, 10, 55–64. [Google Scholar] [CrossRef]
  65. Yan, H. (2022). Study on externality in process of digital equity. Journal of the National Library of China, 31(1), 3–12. [Google Scholar] [CrossRef]
  66. Yang, Z. (2025). The impact of chain owner enterprises on the breakthrough innovation of enterprises on the chain: Based on empirical evidence of SRDI enterprises. Journal of Technical Economics & Management, 1, 23–29. [Google Scholar]
  67. Zaki, M. (2019). Digital transformation: Harnessing digital technologies for the next generation of services. Journal of Services Marketing, 33(4), 429–435. [Google Scholar] [CrossRef]
  68. Zeng, K., & Zhang, X. (2021). Co-evolution of digital commerce and external economy of industrial cluster: A path of industrial digital transformation. Science & Technology Progress and Policy, 38(16), 53–62. [Google Scholar]
  69. Zhang, R., & Qian, Z. (2023). The cultural construction of a community with a shared future for mankind and its world significance. Zhejiang Social Sciences, 7, 13–22. [Google Scholar] [CrossRef]
  70. Zhang, Y., & Qian, X. (2014). Supply chain modeling and simulation research based on complex network. Science and Technology Management Research, 34(22), 183–186. [Google Scholar]
  71. Zhang, Y., & Zhang, H. (2017). Is the power of example infinite in group actions—Evidence from a dynamic public goods experiment. Finance & Trade Economics, 38(12), 80–94. [Google Scholar]
  72. Zhu, J., Baker, J. S., Song, Z., Yue, X., & Li, W. (2023). Government regulatory policies for digital transformation in small and medium-sized manufacturing enterprises: An evolutionary game analysis. Humanities & Social Sciences Communications, 10(1), 751. [Google Scholar] [CrossRef]
Figure 1. Basic Logic of the Fermi Learning Algorithm.
Figure 1. Basic Logic of the Fermi Learning Algorithm.
Games 17 00016 g001
Figure 2. Basic Logic of the Fermi Learning algorithm with Performance Feedback.
Figure 2. Basic Logic of the Fermi Learning algorithm with Performance Feedback.
Games 17 00016 g002
Figure 3. Example of the establishment process for two types of industrial cluster complex networks. (a) Establishment process of a small-world industrial cluster network with n = 20, k = 4 and q = 0.05. (b) Establishment process of a scale-free industrial cluster network with n = 20, k = 4 and m0 = 4.
Figure 3. Example of the establishment process for two types of industrial cluster complex networks. (a) Establishment process of a small-world industrial cluster network with n = 20, k = 4 and q = 0.05. (b) Establishment process of a scale-free industrial cluster network with n = 20, k = 4 and m0 = 4.
Games 17 00016 g003aGames 17 00016 g003b
Figure 4. Impact of investment return coefficient on evolution. The light-colored shaded areas represent the 95% confidence intervals corresponding to the line charts. (a) Network Type 1: n   =   200 , q   =   0.05 ,   k   =   6 and Small-World network; (b) Network Type 2: n   =   200 , m 0   =   20 , k   =   6 and Scale-Free network; (c) Network Type 3: n   =   20 , q   =   0.05 , k   =   4 and Small-World network; (d) Network Type 4: n   =   20 , m 0   =   4 , k   =   4 and Scale-Free network.
Figure 4. Impact of investment return coefficient on evolution. The light-colored shaded areas represent the 95% confidence intervals corresponding to the line charts. (a) Network Type 1: n   =   200 , q   =   0.05 ,   k   =   6 and Small-World network; (b) Network Type 2: n   =   200 , m 0   =   20 , k   =   6 and Scale-Free network; (c) Network Type 3: n   =   20 , q   =   0.05 , k   =   4 and Small-World network; (d) Network Type 4: n   =   20 , m 0   =   4 , k   =   4 and Scale-Free network.
Games 17 00016 g004
Figure 5. Impact of performance feedback on evolution. The light-colored shaded areas represent the 95% confidence intervals corresponding to the line charts. (a) Network Type 1: n   =   200 , q   =   0.05 , k   =   6 and Small-World network; (b) Network Type 2: n   =   200 , m 0   =   20 , k   =   6 and Scale-Free network; (c) Network Type 3: n   =   20 , q   =   0.05 , k   =   4 and Small-World network, (d) Network Type 4: n   =   20 , m 0   =   4 , k   =   4 and Scale-Free network.
Figure 5. Impact of performance feedback on evolution. The light-colored shaded areas represent the 95% confidence intervals corresponding to the line charts. (a) Network Type 1: n   =   200 , q   =   0.05 , k   =   6 and Small-World network; (b) Network Type 2: n   =   200 , m 0   =   20 , k   =   6 and Scale-Free network; (c) Network Type 3: n   =   20 , q   =   0.05 , k   =   4 and Small-World network, (d) Network Type 4: n   =   20 , m 0   =   4 , k   =   4 and Scale-Free network.
Games 17 00016 g005
Figure 6. Impact of platform enterprise strategies on evolution. The light-colored shaded areas represent the 95% confidence intervals corresponding to the line charts. (a) Network Type 1 and r = k / 2 + 1 ; (b) Network Type 2 and r = k / 2 + 1 ; (c) Network Type 1 and r = k + 1 ; (d) Network Type 2 r = k + 1 ; (e) Network Type 1 and r = 2 k + 1 ; (f) Network Type 2 r = 2 k + 1 .
Figure 6. Impact of platform enterprise strategies on evolution. The light-colored shaded areas represent the 95% confidence intervals corresponding to the line charts. (a) Network Type 1 and r = k / 2 + 1 ; (b) Network Type 2 and r = k / 2 + 1 ; (c) Network Type 1 and r = k + 1 ; (d) Network Type 2 r = k + 1 ; (e) Network Type 1 and r = 2 k + 1 ; (f) Network Type 2 r = 2 k + 1 .
Games 17 00016 g006aGames 17 00016 g006b
Figure 7. Impact of investment return coefficient on the effectiveness of platform enterprise strategies. The light-colored shaded areas represent the 95% confidence intervals corresponding to the line charts. (a) Network Type 1: n = 200, q = 0.05, k = 6 and Small-World network; (b) Network Type 2: n   =   200 , m 0   =   20 , k   =   6 and Scale-Free network; (c) Network Type 3: n   =   20 , q   =   0.05 , k   =   4 and Small-World network; (d) Network Type 4: n   =   20 , m 0   =   4 , k   =   4 and Scale-Free network.
Figure 7. Impact of investment return coefficient on the effectiveness of platform enterprise strategies. The light-colored shaded areas represent the 95% confidence intervals corresponding to the line charts. (a) Network Type 1: n = 200, q = 0.05, k = 6 and Small-World network; (b) Network Type 2: n   =   200 , m 0   =   20 , k   =   6 and Scale-Free network; (c) Network Type 3: n   =   20 , q   =   0.05 , k   =   4 and Small-World network; (d) Network Type 4: n   =   20 , m 0   =   4 , k   =   4 and Scale-Free network.
Games 17 00016 g007aGames 17 00016 g007b
Figure 8. Impact of investment return coefficient on platform enterprise revenue. The light-colored shaded areas represent the 95% confidence intervals corresponding to the line charts. (a) Network Type 1: n   =   200 , q   =   0.05 , k   =   6 and Small-World network; (b) Network Type 2: n   =   200 , m 0   =   20 , k   =   6 and Scale-Free network; (c) Network Type 3: n   =   20 , q   =   0.05 , k   =   4 and Small-World network; (d) Network Type 4: n   =   20 , m 0   =   4 , k   =   4 and Scale-Free network.
Figure 8. Impact of investment return coefficient on platform enterprise revenue. The light-colored shaded areas represent the 95% confidence intervals corresponding to the line charts. (a) Network Type 1: n   =   200 , q   =   0.05 , k   =   6 and Small-World network; (b) Network Type 2: n   =   200 , m 0   =   20 , k   =   6 and Scale-Free network; (c) Network Type 3: n   =   20 , q   =   0.05 , k   =   4 and Small-World network; (d) Network Type 4: n   =   20 , m 0   =   4 , k   =   4 and Scale-Free network.
Games 17 00016 g008
Figure 9. Impact of investment return coefficient on industrial cluster revenue. The light-colored shaded areas represent the 95% confidence intervals corresponding to the line charts. (a) Network Type 1: n   =   200 , q   =   0.05 , k   =   6 and Small-World network; (b) Network Type 2: n   =   200 , m 0   =   20 , k   =   6 and Scale-Free network; (c) Network Type 3: n   =   20 , q   =   0.05 , k   =   4 and Small-World network; (d) Network Type 4: n   =   20 , m 0   =   4 , k   =   4 and Scale-Free network.
Figure 9. Impact of investment return coefficient on industrial cluster revenue. The light-colored shaded areas represent the 95% confidence intervals corresponding to the line charts. (a) Network Type 1: n   =   200 , q   =   0.05 , k   =   6 and Small-World network; (b) Network Type 2: n   =   200 , m 0   =   20 , k   =   6 and Scale-Free network; (c) Network Type 3: n   =   20 , q   =   0.05 , k   =   4 and Small-World network; (d) Network Type 4: n   =   20 , m 0   =   4 , k   =   4 and Scale-Free network.
Games 17 00016 g009aGames 17 00016 g009b
Table 1. Four types of industrial cluster networks.
Table 1. Four types of industrial cluster networks.
Network NumberTypen Valuesk Valuesq Valuesm0 Values
Network Type 1Small-world20060.05/
Network Type 2Scale-free2006/20
Network Type 3Small-world2040.05/
Network Type 4Scale-free204/4
Disclaimer/Publisher’s Note: The statements, opinions and data contained in all publications are solely those of the individual author(s) and contributor(s) and not of MDPI and/or the editor(s). MDPI and/or the editor(s) disclaim responsibility for any injury to people or property resulting from any ideas, methods, instructions or products referred to in the content.

Share and Cite

MDPI and ACS Style

Wang, D.; Liu, C.; Wang, S. Platform Empowerment and Digital Inclusion in Industrial Clusters: A Complex Network Game Analysis with Performance Feedback. Games 2026, 17, 16. https://doi.org/10.3390/g17020016

AMA Style

Wang D, Liu C, Wang S. Platform Empowerment and Digital Inclusion in Industrial Clusters: A Complex Network Game Analysis with Performance Feedback. Games. 2026; 17(2):16. https://doi.org/10.3390/g17020016

Chicago/Turabian Style

Wang, Dingteng, Chengwei Liu, and Shuping Wang. 2026. "Platform Empowerment and Digital Inclusion in Industrial Clusters: A Complex Network Game Analysis with Performance Feedback" Games 17, no. 2: 16. https://doi.org/10.3390/g17020016

APA Style

Wang, D., Liu, C., & Wang, S. (2026). Platform Empowerment and Digital Inclusion in Industrial Clusters: A Complex Network Game Analysis with Performance Feedback. Games, 17(2), 16. https://doi.org/10.3390/g17020016

Note that from the first issue of 2016, this journal uses article numbers instead of page numbers. See further details here.

Article Metrics

Back to TopTop